ORIGINAL RESEARCH article
Front. Earth Sci.
Sec. Geohazards and Georisks
Experimental Study on Moisture-Dependent Energy Stage Evolution and Damage Mechanisms of Siltstone Under Cyclic Loading-Unloading in Brazilian Splitting Tests
Provisionally accepted- 1China Energy Group Shendong Coal Group Liuta Coal Mine, Ordos, Inner Mongolia,, China
- 2State Key Laboratory of Coal Mine Disaster Dynamics and Control, Chongqing University, Chongqing University, Chongqing, China
- 3Chongqing University State Key Laboratory of Coal Mine Disaster Dynamics and Control, Chongqing, China
- 4China Energy Group Shendong Coal Group Liuta Coal Mine, , Ordos, Inner Mongolia, China
- 5China Energy Group Shendong Coal Group Liuta Coal Mine, Ordos, Inner Mongolia, China
- 6College of Safety Science and Engineering, Liaoning Technical University, Huludao, Liaoning, China
Select one of your emails
You have multiple emails registered with Frontiers:
Notify me on publication
Please enter your email address:
If you already have an account, please login
You don't have a Frontiers account ? You can register here
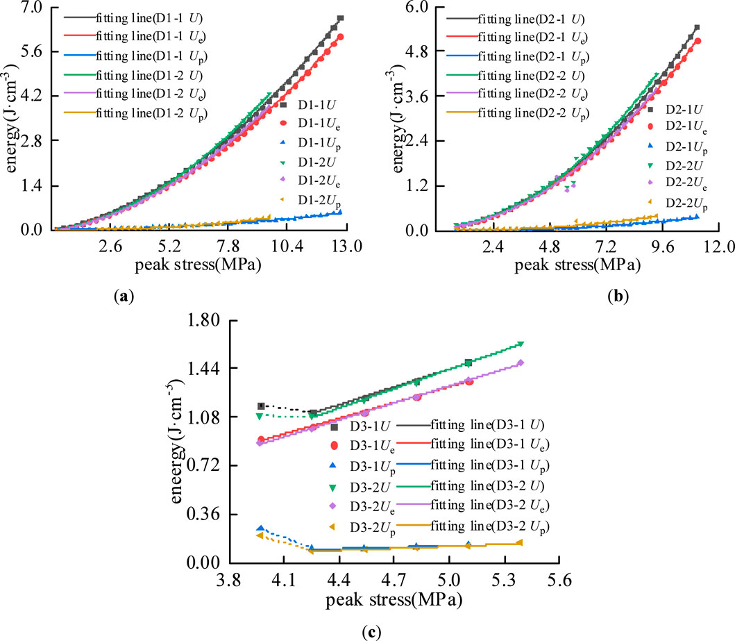
To investigate the tensile damage mechanism of rock mass under the coupled effects of cyclic loading and water-bearing conditions in deep engineering, this study conducts Brazilian splitting cyclic loading-unloading tests on dry and water-saturated siltstone specimens. The stress-strain characteristics, energy evolution patterns, and damage properties of rock mass under various stress path conditions are systematically analyzed. Results indicate that the plastic deformation of rock mass accumulates continuously with increasing peak stress and number of cycles, while the hysteresis loops shift toward higher strain levels. Saturated specimens exhibit a more pronounced hysteresis loop migration during initial cycles, confirming the significant influence of moisture on rock mass deformation behavior. In terms of energy evolution, both moisture content and stress path jointly govern the energy evolution mode and damage progression of rock mass. Under low to medium stress paths, energy evolution demonstrates a typical nonlinear growth pattern, with elastic energy consistently dominating. Under high stress paths, initial plastic deformation leads to a unique phenomenon where the energy curve initially decreases before rising. Moisture exerts a dual effect on energy dissipation: in the initial stage, it promotes rapid accumulation of dissipated energy through lubrication, whereas near the failure stage, the weakening effect causes instability and failure of rock mass at a lower energy threshold. The evolution stages of dissipated energy closely correspond to the characteristics of the stress-strain curves and can more sensitively reflect the internal damage evolution process of rock mass. Damage evolution analysis further reveals that saturated specimens exhibit an abrupt inflection point in damage and overlapping curve characteristics at specific stress thresholds, with their damage growth rates significantly exceeding those of dry specimens across all stress paths. The damage variable based on energy dissipation shows a strong correlation with the dissipated energy evolution stages, serving as an effective indicator for predicting rock mass damage evolution and failure.
Keywords: Energy evolution, Siltstone, Brazilian splitting, damage variable, Moisture condition
Received: 13 Sep 2025; Accepted: 11 Nov 2025.
Copyright: © 2025 Chen, Yuan, Zhang, Liu, Bai and Chen. This is an open-access article distributed under the terms of the Creative Commons Attribution License (CC BY). The use, distribution or reproduction in other forums is permitted, provided the original author(s) or licensor are credited and that the original publication in this journal is cited, in accordance with accepted academic practice. No use, distribution or reproduction is permitted which does not comply with these terms.
* Correspondence: Qiang Yuan, qiangyuan@cqu.edu.cn
Disclaimer: All claims expressed in this article are solely those of the authors and do not necessarily represent those of their affiliated organizations, or those of the publisher, the editors and the reviewers. Any product that may be evaluated in this article or claim that may be made by its manufacturer is not guaranteed or endorsed by the publisher.
