ORIGINAL RESEARCH article
Front. Earth Sci.
Sec. Earth and Planetary Materials
This article is part of the Research TopicAdvances in Structure, Characterization, and Failure Mechanisms of Geomaterials: Theoretical, Experimental, and Numerical ApproachesView all 20 articles
Brittle mechanical behavior and damage constitutive model of deep mylonite under the high geo-stress state
Provisionally accepted- Jiangxi Institute of Applied Science and Technology, Nanchang, China
Select one of your emails
You have multiple emails registered with Frontiers:
Notify me on publication
Please enter your email address:
If you already have an account, please login
You don't have a Frontiers account ? You can register here
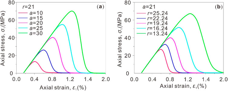
During the excavation of deep underground engineering, stress redistribution in rock mass often leads to obvious stress-deformation failure characteristics. It is important to study the stress-strain characteristics of rock for the safety construction and protection of underground engineering. Based on rock basic density test, rock and mineral microscopic test and triaxial compression test, brittle deformation failure mechanical characteristics of a deep mylonite under high in-situ stress state are obtained. A rock damage constitutive model is established and compared with triaxial test results. Finally, the physical significance of model parameter (a) and parameter (r) is analyzed. The main results are as follows: mylonite exhibits obvious brittle mechanical characteristics under high stress state, and the established rock damage constitutive model can well describe this brittle deformation characteristic. The damage degree increases from 0 to 1 gradually, and the damage rate increases first and then decreases.
Keywords: Mylonite, Triaxial compression, Brittle mechanical behavior, Constitutive model, Damage degree
Received: 18 Sep 2025; Accepted: 24 Oct 2025.
Copyright: © 2025 Peng, Lin and Zhao. This is an open-access article distributed under the terms of the Creative Commons Attribution License (CC BY). The use, distribution or reproduction in other forums is permitted, provided the original author(s) or licensor are credited and that the original publication in this journal is cited, in accordance with accepted academic practice. No use, distribution or reproduction is permitted which does not comply with these terms.
* Correspondence: Wei Lin, jxykjzxy666@163.com
Disclaimer: All claims expressed in this article are solely those of the authors and do not necessarily represent those of their affiliated organizations, or those of the publisher, the editors and the reviewers. Any product that may be evaluated in this article or claim that may be made by its manufacturer is not guaranteed or endorsed by the publisher.
