ORIGINAL RESEARCH article
Front. Earth Sci.
Sec. Geochemistry
Behaviour of Li isotopes in leachate during granite weathering: the Xunwu profile, southeastern China
Provisionally accepted- 1Chang’an University, Xi'an, China
- 2Chinese Academy of Sciences State Key Laboratory of Environmental Geochemistry, Guiyang, China
Select one of your emails
You have multiple emails registered with Frontiers:
Notify me on publication
Please enter your email address:
If you already have an account, please login
You don't have a Frontiers account ? You can register here
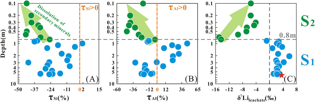
Lithium (Li) isotopes are powerful tracers of silicate weathering processes. Here we report Li isotope compositions of leachates from a granite weathering profile in southeastern China. The leachate δ7Li values exhibit distinct vertical variations, reflecting contrasting geochemical processes along the profile. Below 0.8 m, δ7Li values are comparable to those of the parent granite, indicating limited isotopic fractionation during early weathering. In contrast, markedly lower δ7Li values above 0.8 m suggest the release of 6Li from the dissolution of secondary minerals. This interpretation is supported by increased τSi and τAl values and their negative correlations with δ7Lileachate, implying co-migration of 6Li, Si, and Al during mineral dissolution. A positive correlation between δ7Li and the Chemical Index of Alteration (CIA) in the upper profile further indicates enhanced secondary mineral dissolution under intensified weathering. Our results suggest that as weathering progressed, the Li isotopic composition of the leachate from the upper weathering profile became gradually heavier towards the top, positively correlating with weathering intensity, indicating the dissolution of surface secondary minerals under intense weathering conditions.
Keywords: Li isotopes, Granite weathering, leachate, Secondary mineral, weathering intensity
Received: 22 Sep 2025; Accepted: 11 Nov 2025.
Copyright: © 2025 Liu, Zhang, Gao and Zhao. This is an open-access article distributed under the terms of the Creative Commons Attribution License (CC BY). The use, distribution or reproduction in other forums is permitted, provided the original author(s) or licensor are credited and that the original publication in this journal is cited, in accordance with accepted academic practice. No use, distribution or reproduction is permitted which does not comply with these terms.
* Correspondence:
Jun-Wen Zhang, zhangjunwen@chd.edu.cn
Zhi-Qi Zhao, zhaozhiqi@chd.edu.cn
Disclaimer: All claims expressed in this article are solely those of the authors and do not necessarily represent those of their affiliated organizations, or those of the publisher, the editors and the reviewers. Any product that may be evaluated in this article or claim that may be made by its manufacturer is not guaranteed or endorsed by the publisher.
