ORIGINAL RESEARCH article
Front. Earth Sci.
Sec. Solid Earth Geophysics
Earthquake Recurrence Probability Assessment Using Integrated Multi-Fault Paleoseismic Data: Application to the East Kunlun Fault Zone
Provisionally accepted- 1Nuclear and Radiation Safety Center, Beijing, China
- 2Institute of Geophysics China Earthquake Administration, Beijing, China
Select one of your emails
You have multiple emails registered with Frontiers:
Notify me on publication
Please enter your email address:
If you already have an account, please login
You don't have a Frontiers account ? You can register here
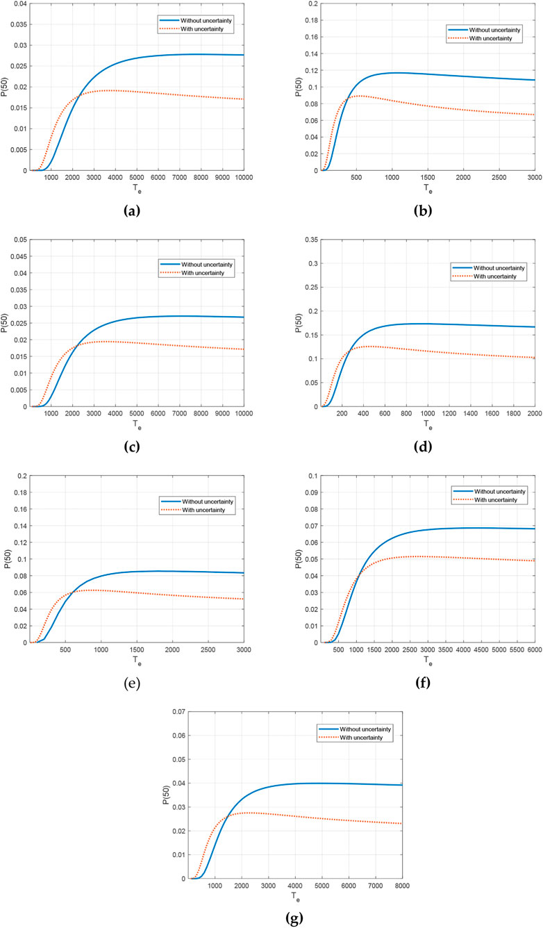
Reliable earthquake recurrence probability assessment is crucial for seismic hazard mitigation but remains challenging due to sparse paleoseismic data on individual faults. We present an enhanced integrated multi-fault approach that addresses critical limitations in existing methods by incorporating both local and regional paleoseismic data through Monte Carlo simulation. Our method addresses these limitations by: (1) including local fault variability data rather than relying solely on non-local sources, (2) restricting analysis to tectonically similar fault zones, and (3) explicitly accounting for epistemic uncertainties in mean recurrence intervals. Applied to seven segments of the East Kunlun Fault Zone in China using Brownian Passage Time (BPT) models, our analysis reveals that mean recurrence intervals are systematically higher than simple arithmetic averages. When dating uncertainties are not considered, coefficients of variation range from 0.48 to 0.60. However, when dating uncertainties are incorporated, coefficients of variation increase substantially to 0.59-0.81, highlighting the crucial role of chronological uncertainty in hazard assessment. Fifty-year earthquake probabilities vary significantly among segments, with Dongxidatan (0.115), Maqu (0.054), Maqin (0.040), and Tazang (0.026) showing highest probabilities. This methodology provides a robust framework for seismic hazard assessment in data-sparse regions, offering improved reliability for earthquake risk evaluation and disaster preparedness.
Keywords: Brownian passage time model, Earthquake recurrence probability, EastKunlun Fault Zone, Monte Carlo simulation, Paleoseismic data
Received: 24 Sep 2025; Accepted: 10 Nov 2025.
Copyright: © 2025 Guo and Li. This is an open-access article distributed under the terms of the Creative Commons Attribution License (CC BY). The use, distribution or reproduction in other forums is permitted, provided the original author(s) or licensor are credited and that the original publication in this journal is cited, in accordance with accepted academic practice. No use, distribution or reproduction is permitted which does not comply with these terms.
* Correspondence: Jinchen Li, lijinchen1979@163.com
Disclaimer: All claims expressed in this article are solely those of the authors and do not necessarily represent those of their affiliated organizations, or those of the publisher, the editors and the reviewers. Any product that may be evaluated in this article or claim that may be made by its manufacturer is not guaranteed or endorsed by the publisher.
