Abstract
Conservation paleobiology has coalesced over the last two decades since its formal coining, united by the goal of applying geohistorical records to inform the conservation, management, and restoration of biodiversity and ecosystem services. Yet, the field is still attempting to form an identity distinct from its academic roots. Here, we ask a deceptively simple question: What is conservation paleobiology? To track its development as a field, we synthesize complementary perspectives from a survey of the scientific community that is familiar with conservation paleobiology and a systematic literature review of publications that use the term. We present an overview of conservation paleobiology’s research scope and compare survey participants’ perceptions of what it is and what it should be as a field. We find that conservation paleobiologists use a variety of geohistorical data in their work, although research is typified by near-time records of marine molluscs and terrestrial mammals collected over local to regional spatial scales. Our results also confirm the field’s broad disciplinary basis: survey participants indicated that conservation paleobiology can incorporate information from a wide range of disciplines spanning conservation biology, ecology, historical ecology, paleontology, and archaeology. Finally, we show that conservation paleobiologists have yet to reach a consensus on how applied the field should be in practice. The survey revealed that many participants thought the field should be more applied but that most do not currently engage with conservation practice. Reflecting on how conservation paleobiology has developed over the last two decades, we discuss opportunities to promote community cohesion, strengthen collaborations within conservation science, and align training priorities with the field’s identity as it continues to crystallize.
Introduction
Conservation paleobiology (CPB) has emerged as a named area of study in the last 20 years that aims to deepen the temporal perspective of conservation science (Dietl and Flessa, 2011; Dietl et al., 2015). Monitoring and instrumental records have documented the transformation of ecosystems over the last several decades, but they often follow in the wake of millennial-scale human impacts (Jackson, 1997; Dayton et al., 1998; Lotze et al., 2006). To track longer trends of environmental change, CPB uses an assortment of natural archives including tree rings, middens, cores, death assemblages, and other fossil deposits—also known as geohistorical data (National Research Council, 2005; Dietl and Flessa, 2011). For example, these records have been analyzed to reconstruct historical variability in ecosystems (Foster and Motzkin, 1998; Wolfe et al., 2001; Keane et al., 2009), disentangle the rates and drivers of degradation (Pandolfi et al., 2003; Lotze et al., 2006; Cramer et al., 2020), evaluate extinction risk (Harnik et al., 2012; Finnegan et al., 2015; Spalding and Hull, 2021), and measure biotic responses to stressors over decades to millions of years (Willis et al., 2010; Sibert et al., 2016; Fraser et al., 2021). Collectively, CPB research links our past and future: it can illuminate how ecosystems fared under previous environmental conditions, contextualize present-day ecosystem states, and inform predictions about future scenarios (Burnham, 2001; Davies and Bunting, 2010; Dietl and Flessa, 2011; Dietl et al., 2015; Dietl, 2019; Grace et al., 2019).
Although the field was formally named in 2002 (Flessa, 2002), research topics that might now be described as CPB have a long history of study. We refer to CPB as a field here for consistency but encourage ongoing discussion about its disciplinary status (Dietl, 2016). Thematically similar research occurred for several decades previous to and in parallel with CPB’s development as a field, pushed forward by allied disciplines such as archaeology, historical ecology, paleoecology, and paleolimnology (Vegas-Vilarrúbia et al., 2011). For example, these studies recorded the environmental effects of acid rain (Cumming et al., 1992; Smol, 1992; Wilson et al., 1996; Battarbee, 1999; Battarbee et al., 1999; Smol et al., 2002), fire disturbance (Heinselman and Wright, 1973; Swain, 1973; Wright, 1974; Timbrook et al., 1982; Clark, 1989, 1990), climate change (Wright, 1966, 1983, 1993; Graham, 1988; Davis, 1989; Delcourt and Delcourt, 1998), overharvesting (Betancourt and Van Devender, 1981; Pauly, 1995; Jackson, 1997; Grayson, 2001; Jackson et al., 2001), and extinctions (e.g., Pleistocene megafauna extinction, Martin and Wright, 1967; Barnosky, 1986; Martin and Klein, 1989) across lacustrine (Davis et al., 1986, 2000; Zabinski and Davis, 1989; Smol, 1992; Brenner et al., 1993; Cole et al., 1998), marine (Baumgartner et al., 1992; Dayton et al., 1998; Finney et al., 2000; Jackson, 2001), and terrestrial (Van Devender and Spaulding, 1979; Betancourt et al., 1990; Hadly, 1996, 1999; Jackson and Overpeck, 2000) habitats. The collection of studies showcased here is not exhaustive and represents only a fraction of the extensive body of work from which CPB has grown (for an overview of historical developments contributing to CPB, see: Swetnam et al., 1999; Vegas-Vilarrúbia et al., 2011; Birks, 2012; Dietl and Flessa, 2017; Wingard et al., 2017; Tyler and Schneider, 2018 and references within).
Following the field’s naming, research identifying itself as CPB remained sparse for the first decade as momentum was building (Figure 1). Even so, the conservation relevance of geohistorical records became increasingly recognized, fueled by their inclusion in prominent reports produced by international (e.g., Jansen et al., 2007) and government entities (e.g., National Research Council, 2005). In parallel, a conceptual (e.g., Willis and Birks, 2006; Jackson and Hobbs, 2009; Keane et al., 2009; Birks, 2012; Kidwell, 2015) and practical (e.g., Behrensmeyer et al., 2000; Kidwell, 2002, 2007, 2013; Terry, 2010; Behrensmeyer and Miller, 2012; Kidwell and Tomasovych, 2013; Rick and Lockwood, 2013) foundation of knowledge was assembled to interpret geohistorical data in the context of present-day conditions.
Figure 1

(A) Timeline of key events in CPB’s development following its coining in 2002, alongside (B) the number of publications in the literature review that used the term “conservation paleobiology” per year from 2002 to 2021 (Flessa, 2002; Cintra-Buenrostro, 2005; Foote and Miller, 2007; Simões, 2009; Dietl and Flessa, 2011; Louys, 2012; Dietl et al., 2015; Guerrero-Arenas and Jiménez-Hidalgo, 2015; Barnosky et al., 2017; Tyler and Schneider, 2018).
The late 2000s and early 2010s saw several key events that crystallized CPB (Figure 1). A 2009 short course sponsored by the Paleontological Society produced the first edited volume of paleobiological research under a unified CPB framework (Dietl and Flessa, 2009). Soon after, Dietl and Flessa (2011) published what continues to be a highly cited review of CPB. As knowledge continued to grow (e.g., Louys, 2012), a working group funded by the U.S. National Science Foundation was convened to integrate CPB with the broader academic community (Conservation Paleobiology Workshop, 2012). This working group culminated in an influential review outlining the utility and application of geohistorical analyses to conservation practice (Dietl et al., 2015). Subsequent years have seen additional reviews (e.g., Vegas-Vilarrúbia et al., 2011; Barnosky et al., 2017), perspectives (e.g., O’Dea et al., 2017; Dietl, 2019; Kelley et al., 2019), and edited works (e.g., Tyler and Schneider, 2018; Turvey and Saupe, 2019) that have advanced the field and increased its visibility. Today, CPB conference sessions and courses are commonplace across paleontological, and increasingly ecological, venues (Tyler and Schneider, 2018; Figure 1). Additionally, universities have recently begun to advertise calls for faculty positions in CPB.
As demonstrated by the increased usage of the term “conservation paleobiology” in recent years (Figure 1), a community of conservation-minded scientists has found a theoretical umbrella to call home as they seek to apply geohistorical records to mitigate threats to biodiversity. For example, the Conservation Paleobiology Network1 created a nucleus around which an international group of scientists spanning many disciplines (e.g., archaeology, ecology, paleontology, and restoration) has assembled. In turn, the field has expanded its disciplinary breadth and objectives. This growth can be attributed to several factors, including the urgency to address the biodiversity and climate crises as well as the diversity of geohistorical records available (Gorham et al., 2001; Sutherland et al., 2009; Dietl et al., 2015; Barnosky et al., 2017; Ripple et al., 2017; Fordham et al., 2020). However, the field’s identity is still forming, blurred by its deep roots in established disciplines and wide range of associated research.
Here, we ask a deceptively simple question: What is CPB? To address this question, we present an overview of CPB’s research and development through the lens of a community survey and systematic literature review spanning the last 20 years. In particular, we compare survey participants’ perceptions of what CPB is and should be as a field—both in terms of its research scope and applications to conservation practice—with work that is self-described as CPB. We then discuss where the field might be heading in the future based on our analysis of past and current research trends. Our inventory of CPB is timely: interest in the field is expanding, as are efforts to slow the alarming rate of environmental change and biodiversity loss. To better support these efforts, we need to coordinate our diverse research agendas, demonstrate their applied value to conservation decision-makers, and train conservation paleobiologists with relevant skills to contribute to conservation successes. This next stage of development begins with a mutual understanding of what CPB is as an area of study and how the community’s vision will shape the field’s identity and direction as it comes of age.
Materials and methods
To examine CPB’s research and development as a field, we used a two-pronged approach. First, we surveyed the scientific community that is familiar with CPB. Simultaneous to the survey, we systematically reviewed the scientific literature that describes itself as CPB. We synthesized these complementary perspectives to outline the research scope of CPB and compare what the field is currently with what survey participants thought it should be.
Community survey
We developed an Internet-based survey to understand the state of CPB from the viewpoint of researchers, practitioners, and instructors who have thought about the intersection between conservation and paleobiology. We aimed to capture the perspectives of scientific professionals working inside and outside of academia who represent a variety of backgrounds in terms of their disciplines, career stage, training, location, and level of engagement with CPB. Participation was solicited through listservs (Conservation Paleobiology Network, PaleoNet, Paleontropica, and ECOLOG-L), social media (Facebook and Twitter), and personal networks (see Supplementary material for the solicitation letter).
The survey was written in English and distributed through the Qualtrics platform. The Ethics Commission of the Friedrich–Alexander University Erlangen–Nürnberg (Application Number: 22-68-ANF) granted the survey exempt status due to its low or minimal risk to subjects. Participation was voluntary, and no incentive was offered in exchange for partaking in the survey. The survey was open for responses from March 7–27, 2022.
Survey structure and analysis
We structured the survey around three themes: (1) participants’ professional backgrounds; (2) their CPB work (if applicable); and (3) their perceptions of CPB’s research scope and application to conservation practice. We defined conservation practice to incorporate all aspects of conservation, management, and restoration. The survey consisted of 44 optional questions presented in several formats, including multiple-choice, checkbox, Likert scale, and short-answer (see Supplementary material for the survey questions).
We first asked participants about their professional backgrounds to quantify who interacts with CPB and to evaluate potential biases in our survey sample. We included questions about participants’ disciplinary affiliations, career stage, highest degree, workplace, geographic location, and whether they conduct work that they consider to be CPB. By surveying a broad cross-section of scientific professionals working in disciplines utilized by CPB, we obtained responses from participants who did (henceforth “conservation paleobiologists”) and did not conduct work that they considered to be CPB. This sampling design was used to (1) characterize who works in CPB and (2) facilitate comparisons between survey participants who did and did not directly work in the field. The survey responses were further disaggregated by career stage to explore whether participants who began engaging with CPB at different points in its development perceive the field differently. When consistent, we share perspectives from the full survey sample.
Conservation paleobiologists who participated in the survey were asked additional questions about their past or current CPB work. These questions pertained to the types of data they use as well as the timescales, organisms, habitats, and regions they study. We also asked participants about conservation issues to which their work could contribute. To evaluate their engagement with conservation decision-makers, we asked participants how often they work with, or are mentored by, individuals outside of academia (defined as conservation practitioners, elected officials, resource managers, or policymakers). We used these questions to describe the range of research conducted by conservation paleobiologists who participated in the survey.
Lastly, we evaluated survey participants’ perceptions of the research scope, objectives, and applications of CPB to conservation practice. These questions touched on five topics: (1) CPB’s definition; (2) disciplines from which CPB can incorporate information and how it differs from them; (3) temporal and spatial scales of CPB research; (4) CPB’s relevance to contemporary conservation issues; and (5) challenges and opportunities for the field’s development. We used these questions to assess participants’ perspectives about what the field should be.
We categorized the responses from certain questions prior to analysis to enable comparisons across the survey data. These included the questions pertaining to disciplines and career stages as well as the short-answer questions. Disciplines were grouped into the following categories: “anthropology and archaeology,” “biology and ecology,” “conservation science,” “conservation paleobiology,” “geosciences,” “paleoclimatology,” and “paleontology.” Career stages were grouped into early, middle, and late stages. The early career stage included students and early career scientists with up to seven years of experience after their highest degree; the mid-career stage included scientists with seven to 12 years of experience after their highest degree; and the late career stage included scientists with over 12 years of experience after their highest degree, in addition to retirees. We extracted key themes from the short-answer questions to summarize the breadth of responses. Two or more authors determined the categories for each short-answer question and ascribed categories to each response. Details about how the survey responses were categorized are provided in the Supplementary methods. A table of the survey responses can be downloaded at: https://doi.org/10.5281/zenodo.7023651.
Literature review
To investigate the scope of published CPB research since the field’s naming, we conducted a systematic literature review of publications that were self-described as CPB. We focused only on publications using the term to track its usage through time and reduce subjectivity when assigning research outputs to the field. This approach inherently excluded formative literature that preceded the term’s coining as well as publications that might be considered to be CPB but were not labeled as such. It yielded a structured collection of “self-conscious” CPB research (see Szabó, 2015).
Literature selection
To capture a broad set of peer-reviewed publications, we acquired bibliographic records from 2002–2022 through keyword searches in Scopus, Web of Science, and Google Scholar (Supplementary Figure S1). The searches were conducted on March 3rd, 2022. We used the Scopus and Web of Science platforms to query for publications written in English that contained the search terms “conservation paleobiology” or “conservation palaeobiology,” which returned 571 publications. Google Scholar was used to query for documents in Spanish (search term: “paleobiología de la conservación”), Portuguese (search term: “paleobiologia da conservação”), and French (search term: “paléobiologie de la conservation”). These searches yielded an additional three publications. The keyword search in Scopus also returned one publication written in Japanese with an English abstract that was omitted due to the lack of a Japanese speaker on the author team. We did not include theses or conference proceedings in the search results (see Supplementary methods, Supplementary Figure S2).
Following the PRISMA methodology (Preferred Reporting Items for Systematic Reviews and Meta-Analyses; Moher et al., 2009), we reviewed the full text of the 574 publications yielded from the keyword searches to remove duplicates and determine whether they met the inclusion criteria (Supplementary Figure S2). To be included, publications had to use the term “conservation paleobiology” (or one of the aforementioned variations of the term) in the title, keywords, abstract, or main text (n = 148). Many publications (n = 426) were eliminated because CPB was only mentioned in the references. To avoid double-counting data (i.e., multiple publications derived from the same data), we only included original research and meta-analyses in the final synthesis (n = 94; see Supplementary material for the list of publications). None of the non-English publications met the inclusion criteria (Supplementary Figure S2).
Literature coding
Information extracted from the eligible publications was designed to mirror the survey (and vice versa) to enable comparison. We collected metadata from each publication, specifically author affiliations, title, journal, publication year, and article type. Additionally, we coded each publication’s contextual information, which included the research location, data type, whether the data came from the near- or deep-time record (using the end of the Quaternary Period, 2.58 million years, as a cutoff; Dietl et al., 2015), maximum age of the data, temporal resolution, and spatial scale. We also coded the ecological focus (taxonomic group, taxonomic resolution, and habitat type) as well as the conservation focus (conservation issue). Finally, we recorded any definitions of CPB. Details about the coding methodology are provided in the Supplementary methods.
Two or more authors coded each publication to ensure quality control. To standardize this process, all coders first extracted data from a training set consisting of three randomly selected publications. Following consensus on the training set, publications were randomly allocated to coders in batches of 10–15. We held group discussions after each round of coding to review categories or publications that were difficult to code. Each coded publication was then reviewed by at least one other coder, and any discrepancies were discussed and mutually agreed upon between coders to establish inter-coder reliability. All analyses were performed in R version 4.2.1 (R Core Team, 2022).
Results and discussion
We synthesized data from the survey and literature review to capture past, present, and forward-looking perspectives about CPB. These perspectives provided a foundation for ongoing discussion about what CPB is as an area of study. The survey data consisted of 196 responses (n = 122 who conducted work that they considered to be CPB, n = 74 who did not). Most participants accessed the survey through the Conservation Paleobiology Network (38%, n = 72) and PaleoNet (27%, n = 52) listservs or through Twitter (17%, n = 31). Survey participants spanned a variety of career stages (undergraduate students to retirees), although participation was skewed toward early career scientists (Supplementary Figure S3). The pool of participants represented many disciplines adjacent to and including CPB: paleontology (31%, n = 144), biology and ecology (26%, n = 117), conservation paleobiology (11%, n = 50), geosciences (11%, n = 48), conservation science (10%, n = 45), anthropology and archaeology (6%, n = 28), and paleoclimatology (3%, n = 13; Figure 2). Around a quarter (24% n = 46) of participants worked outside of academia (Supplementary Figure S4), which not only illustrates the communication gap between academics and conservation practitioners (e.g., many resource managers might not subscribe to the listservs through which the survey was distributed) but biases the perspectives shared in this inventory of the field. Thirty-six countries were represented across the survey responses, although participation was dominated by scientists employed or trained in the United States (46%, n = 190) and Europe (35%, n = 144; Figure 3A and Supplementary Figure S5). We acknowledge, however, that the survey was only distributed in English, which might have skewed the survey population that we were able to reach.
Figure 2

Disciplinary affiliations of survey participants who did (yellow) and did not (green) conduct work that they considered to be CPB. Participants were able to select up to three disciplines to describe their expertise. Disciplines were grouped to facilitate visualization (see Supplementary methods for the grouping methodology). Disciplinary affiliations overlapped between these two groups of participants.
Figure 3

(A) Map of countries in which survey participants who self-identified as conservation paleobiologists were based, compared with author affiliations in the literature review. (B) Map of countries in which CPB research was conducted in the survey and literature review. Colors correspond with the proportional representation of authors per country in the survey versus the literature review, discretized into nine bins. Countries shown in white were not represented in either the survey or literature review. CPB is predominantly conducted by scientists based in the United States, Europe, and Australia, although their research spans most continents.
Whereas the survey assessed participants’ research and perceptions of CPB, the literature review provided a record of completed research. The literature review consisted of 94 peer-reviewed publications that were self-described as CPB and presented either original data (89%, n = 84) or a meta-analysis (11%, n = 10). Articles were published in a variety of paleontological, geological, ecological, and conservation biology journals. Publication dates spanned a 17-year period between 2005 and 2022, with a majority (77%, n = 72) of articles published since 2015. The literature review did not include the article that coined the term “conservation paleobiology” (Flessa, 2002) because the quarterly magazine in which it was published (American Paleontologist) no longer exists and is not indexed on the Scopus or Web of Science platforms.
Who does conservation paleobiology, and where?
To describe the backgrounds of scientific professionals in CPB, we examined both survey participants who self-identified as conservation paleobiologists and author metadata in the literature review. Of the conservation paleobiologists who responded to the survey, participation was highest among early career scientists, consistent with the full participant pool. Undergraduate students, graduate students, and other early career professionals comprised 55% (n = 65) of the self-identified conservation paleobiologists, with mid- (17%, n = 20) and late career (28%, n = 33) participants attaining modest representation. The level of experience specific to CPB also varied across participants: 46% (n = 54) had been conducting work that they considered to be CPB for at least five years, and 25% (n = 28) had done so for at least 10 years (Supplementary Figure S3). At the same time, 54% (n = 64) of participants had only started working in the field over the last four years, and this group of newcomers included all career stages (Supplementary Figure S3). This distribution of career stages and experience levels demonstrates that the field skews young and is set to expand, particularly given the high buy-in from early career scientists who typically hold optimistic opinions about the application of paleontological research to conservation problems (Kiessling et al., 2019).
Conservation paleobiology’s cross-disciplinarity (sensuTress et al., 2005) was reflected in the survey responses (Supplementary Figure S6). Most participants who self-identified as conservation paleobiologists carried out their work in paleontology (29%, n = 85), biology and ecology (24%, n = 72), and the geosciences (10%, n = 29; Figure 2 and Supplementary Figure S7). Only 17% (n = 50) included conservation paleobiology in the list of disciplines used to describe their expertise (Figure 2 and Supplementary Figure S7), suggesting that CPB might be a secondary priority for many. Affiliations with conservation science (e.g., conservation biology and restoration ecology) were conspicuously low (8%, n = 25), possibly because of how the survey solicitation was phrased or where it was distributed. Participants who carried out their work in archaeology and anthropology (7%, n = 23) or in paleoclimatology (3%, n = 10) were also rare. Most conservation paleobiologists received their highest degree in the geosciences (31%, n = 39), biology and ecology (27%, n = 34), paleontology (26%, n = 32), and anthropology and archaeology (10%, n = 13). This diverse distribution of disciplines overlapped with the participant pool that did not self-identify as conservation paleobiologists (Figure 2), such that a participant’s disciplinary background alone did not correspond with whether they had worked or are working in CPB.
Conservation paleobiology research is concentrated in certain geographic regions. Around a quarter (27%, n = 51) of survey participants conducted their CPB work in the United States, a geographic bias that was mirrored in the literature review (Figure 3B). European countries (collectively 35%, n = 58) and Australia (3%, n = 8) comprised much of the remainder, with little research conducted in Latin America and the Caribbean, Asia, the Pacific Islands, and Africa in both the survey and literature review (Figure 3B and Supplementary Figures S5, S8). This pattern was further amplified when we examined the institutional affiliations of survey participants and authors in the literature review (Figure 3A). The uneven geographic distribution of CPB research echoes that of related disciplines, such as conservation biology (Trimble and van Aarde, 2012; Di Marco et al., 2017), paleontology (Raja et al., 2022), and ecology (Martin et al., 2012; Nuñez et al., 2021), which are largely practiced in northern America and western Europe. These geographic patterns might stem from variation in the term’s usage or spread across regions, bias in the survey distribution or language, inequities in the allocation of research funding, and spatial variation in sampling effort or data availability (Close et al., 2020; Benson et al., 2021; Stefanoudis et al., 2021; Raja et al., 2022), rather than reflecting areas of high conservation priority or biodiversity (e.g., Lawler et al., 2006; Halpern et al., 2008; Harfoot et al., 2021). For example, the term “conservation paleobiology” originated in the United States before spreading to other countries through conference sessions (Tyler and Schneider, 2018) and the Conservation Paleobiology Network (Figure 1), contributing to its disproportionate popularity in the United States. Indeed, work that could be called CPB was widely conducted before the field’s coining, so the apparent geographic bias of self-described CPB research likely tracks the dispersion of the term in combination with the uneven spatial distribution of paleontological research.
What is the scope of conservation paleobiology research?
The diverse suite of research that CPB now encompasses has expanded yet blurred the field’s boundaries. These research trends shape the direction of its disciplinary growth and the extent to which it provides relevant information to meet the needs of the conservation community. To describe CPB’s research scope, we quantified the data types, taxonomic groups, habitats, and spatiotemporal scales of research reported in the survey and literature review. We then evaluated this landscape of research in light of its perceived conservation relevance and threats to biodiversity, highlighting emergent topics.
Datasets and research topics
Conservation paleobiology can incorporate retrospective insight from many different geohistorical records. Research reported in the survey and literature review used a variety of data types, including presence-absence, abundance, trait, geochemical, climate, and spatial data (Supplementary Figure S9). This diversity of data types suggests that conservation paleobiologists collectively possess a wide range of methodological and analytical skills. When asked about opportunities for CPB’s development, many survey participants emphasized the importance of maintaining the field’s rich academic foundation in primary research (e.g., proxy development, geochronology, taxonomy, and taphonomy), which underpins its applications to conservation.
Geohistorical records have the potential to inform a variety of conservation issues. In the survey, conservation paleobiologists indicated that their work could contribute to our understanding of climate change (19%, n = 59), habitat change (16%, n = 50), biodiversity loss (13%, n = 40), ecosystem resilience (11%, n = 36), extinction risk (9%, n = 30), and biotic interactions (9%, n = 28), among other issues (Supplementary Figure S10). These conservation issues span both species-level (e.g., extinction risk and biotic interactions) and ecosystem-level (e.g., climate change and habitat change) stressors and play out over various scales. A similarly broad range of topics appeared in the literature review: 19% (n = 18) of publications focused on habitat change, 11% (n = 10) on climate change, 10% (n = 9) on biodiversity loss, and 7% (n = 7) on extinction risk, among other issues (Supplementary Figure S10). Some publications were method-based and did not address a specific conservation issue (19%, n = 18).
Climate change has emerged over the past two decades as an important opportunity for academic growth within CPB. A recent survey of marine conservation biologists identified climate change as the most pressing threat to biodiversity for which geohistorical data could be used to understand the impacts (Smith et al., 2018). Similarly, a survey of the paleontological community found the fossil record to be best suited for addressing priority questions in conservation science related to climate change (Kiessling et al., 2019). Funding for climate science is also expanding, in turn driving research agendas (e.g., Overland et al., 2021; AbdulRafiu et al., 2022; Sovacool et al., 2022) and increasing the availability of high-resolution (paleo)climate data (e.g., Brown et al. 2018). Given overlap between the urgent need to tackle the climate crisis and CPB research on this topic (Supplementary Figure S10), framing data outputs in relation to climate stressors, when appropriate, might increase the perceived conservation relevance of geohistorical records (e.g., Smith et al., 2018). Additionally, efforts could be made to bolster connections between the CPB and climate research communities (e.g., Fordham et al., 2020; Yasuhara et al., 2020), particularly given the longstanding contributions of paleoecology to climate reconstructions (Davis, 1989; Huntley, 1990; MacDonald et al., 2008).
Taxonomic groups
Both the survey and literature review revealed that CPB research is not evenly distributed across taxa, with most of the research focusing on a few taxonomic groups. Survey participants who self-identified as conservation paleobiologists primarily studied marine invertebrates (27%, n = 57) and terrestrial or freshwater vertebrates (19%, n = 41), although many taxonomic groups were represented across their work (37% invertebrates [n = 79], 32% vertebrates [n = 69], 15% plants [n = 32], and 13% microorganisms [n = 28]; Figure 4A). More specifically, molluscs (20%, n = 50) and mammals (18%, n = 44) emerged as common focal taxa in the survey. Publications in the literature review also concentrated on these taxonomic groups, with 43% focusing on marine invertebrates (n = 40; primarily molluscs) and 32% focusing on terrestrial or freshwater vertebrates (n = 30; primarily mammals; Figure 4B). Research on these groups has undoubtedly been aided by the availability of preservable hard parts, given that some taxa and environments are better preserved in the rock record than others (Kidwell and Flessa, 1996; Foote and Sepkoski, 1999; Shaw et al., 2020). Their taphonomy has also been well-studied (e.g., Behrensmeyer, 1978; Behrensmeyer et al., 2000; Kidwell et al., 2001; Kidwell, 2002, 2007, 2013; Kosnik et al., 2009; Terry, 2010; Behrensmeyer and Miller, 2012; Miller et al., 2014; Tomašových et al., 2016), facilitating inferences about how these organisms respond to environmental stimuli. In contrast, microorganisms received less attention than most other groups (Figure 4) despite their importance in climate research (e.g., Yasuhara et al., 2020).
Figure 4

Relative proportions of taxonomic groups and habitats studied by (A) survey participants who self-identified as conservation paleobiologists and (B) publications in the literature review. Four survey participants worked on taxa that were not included in the categories provided (e.g., terrestrial fungi). Marine and terrestrial (including freshwater) habitats received similar attention across CPB research, although marine invertebrates and terrestrial vertebrates were disproportionately studied relative to other taxonomic groups. Graphics were obtained from the PhyloPic image library and are attributed to: K. S. Collins, T. J. Cunha, Y. Wong, N. Vitek, H. N. Eyster (CC BY 3.0), D. W. Bapst (modified from Figure 1 of Belanger (2011) PALAIOS; CC BY 3.0), I. Contreras (CC BY 3.0), and T. M. Keesey and Tanetahi (CC BY 3.0).
Our findings highlight the taxonomic scope of self-described CPB research, although it represents a subset of the work that could be classified as CPB. In contrast, a review of a more expansive set of publications that applied geohistorical data with the intent of informing conservation, management, and restoration (broadly CPB, but not necessarily using the term) had a different taxonomic skew. Over half of these studies focused on plants, with vertebrates and invertebrates receiving relatively less attention (Groff et al., 2022). This discrepancy likely stems from differences in how scientists describe their work. For example, many palynologists might not explicitly refer to their research using the term “conservation paleobiology,” decreasing the representation of plants in the self-described CPB literature. Although both sets of publications have the potential to influence conservation decisions, the term’s usage will directly shape the body of research that is emblematic of the field.
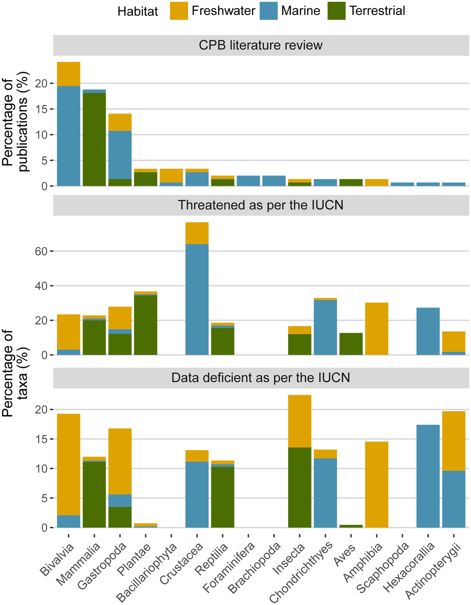
We compared the taxonomic focus of CPB research with the number of threatened and data-deficient species in each taxonomic group (IUCN, 2022) as one indicator of conservation relevance (although see Cowie et al., 2017). In particular, we assessed whether taxonomic groups with higher threat levels commanded more attention in the CPB literature. We focused on the literature review as it represents published studies that could be accessed by conservation practitioners, although it is more taxonomically skewed than the survey. We found a mismatch between the taxonomic focus of CPB research and the proportion of threatened taxa in each group that have been assessed within the IUCN Red List. Molluscs and mammals appeared to be overrepresented in the self-described CPB literature relative to their extinction risk whereas most other groups—especially amphibians, elasmobranchs, crustaceans, plants, and corals—tended to be understudied (Figure 5). Additionally, many threatened or data-deficient molluscs are found in habitats that received less attention in the literature review (i.e., freshwater bivalves and non-marine gastropods; Figure 5), so even CPB research on well-studied taxa might not match some of the most urgent conservation needs. Conservation biologists, on the other hand, disproportionately study mammals and birds relative to their extinction risk (Di Marco et al., 2017). Given the divergent taxonomic skews of CPB and conservation biology research, conservation paleobiologists could collaborate with conservation biologists and paleobiologists (e.g., Groff et al., 2022) working on different taxa to better align their collective research efforts with the taxonomic distribution of threatened biodiversity.
Figure 5

Taxonomic representation of publications in the literature review relative to extinction risk. For each taxonomic group, we compared the percentage of publications in the literature review that focused on that group (top) with the percentage of threatened species (center) and the percentage of data-deficient species (bottom) assessed by the IUCN Red List (IUCN, 2022). Molluscs and mammals were overrepresented in CPB research relative to their extinction risk.
We also assessed the taxonomic resolution of CPB research in the literature review. Despite challenges associated with identifying fossil specimens to species (de Queiroz, 2005; Allmon, 2013; Barrowclough et al., 2016; Cowie et al., 2017; Tschopp et al., 2022), 87% of publications in the literature review reported results at the species level (n = 82). This focus on species is comparable to the conservation biology literature (Di Marco et al., 2017). It might have stemmed from various factors, including researchers’ affinities toward working with taxa that have readily identifiable skeletal remains or how species are defined (Tschopp et al., 2022). Additionally, we found that presence-absence and abundance data were more commonly used than trait data within CPB research (Supplementary Figure S9). Yet, taxon-free metrics could increase the flexibility of geohistorical records in conservation contexts by emphasizing ecological function over taxonomic identity (Eronen et al., 2010; Pimiento et al., 2017, 2020; Smith et al., 2020), especially as ongoing environmental change drives communities to acquire novel configurations (Barnosky et al., 2017; Smith et al., 2022).
Finally, we reviewed the habitats studied by conservation paleobiologists. Half of the research documented in the survey (51%, n = 135) and literature review (51%, n = 48) was conducted in marine systems (Figure 4). Terrestrial systems comprised most of the remainder, with relatively little research focusing on freshwater systems in the survey (9%, n = 38) and literature review (17%, n = 16; Figure 4). In contrast, conservation biology (Di Marco et al., 2017) and management-oriented historical ecology (Beller et al., 2020) research predominantly focuses on terrestrial systems, as did the body of literature reviewed by Groff et al. (2022) that used geohistorical data with the intent of informing conservation, management, and restoration. Amidst calls to increase marine conservation research given the ocean’s large area and escalating threats (Lawler et al., 2006; Halpern et al., 2007; Friedman et al., 2020), CPB could help fill data gaps in marine systems (see Kiessling et al., 2019). Furthermore, there is great potential to leverage existing synergies between paleolimnology and CPB (Smol, 1992, 2017; Czaja et al., 2019) to increase research in freshwater systems given their high vulnerability to human stressors (Strayer and Dudgeon, 2010).
Spatial scales
CPB research spans all spatial scales, ranging from local to global, but typically focuses on smaller scales. In the literature review, 86% of publications were conducted at local (28%, n = 26) or regional (58%, n = 55) scales, with larger spatial scales examined primarily through meta-analyses (Figure 6). Moreover, only 19% (n = 38) of survey participants conducted their CPB research on a global scale (Supplementary Figure S8). This emphasis on local and regional scales is echoed within the conservation biology (Di Marco et al., 2017) and management-oriented historical ecology (Beller et al., 2020) literature. Likewise, survey participants perceived smaller spatial scales to be most relevant for understanding contemporary conservation issues, with local and regional scales receiving more support than larger spatial scales (i.e., basin, continental, and global; Figure 6 and Supplementary Figure S11). At the same time, the most common survey response was “all of the above” (29%, n = 85), demonstrating a common perception that CPB research can be applied to conservation regardless of its spatial scale or an appreciation of the multiscalar nature of conservation problems.
Figure 6

Comparison of the expected versus published spatial and temporal scales of CPB research. To assess expectations, we asked survey participants which scales they consider to be most relevant to CPB. To summarize published research, we recorded the scales of publications in the literature review. Similar coding criteria were used to ensure compatibility across the survey responses and literature review. Near-time records collected over local to regional scales overwhelmingly characterized CPB research despite a widespread perception that the field can encompass all time periods and spatial scales (i.e., no combination of spatial and temporal scales was selected by fewer than 45% of respondents to both questions). Note that the literature review data points are jittered to prevent complete overlap; there is no higher resolution implied beyond the categories listed in the X- and Y-axes.
Threats to biodiversity and conservation interventions both occur at nested spatial scales (Cumming et al., 2006; Nams et al., 2006; Pressey et al., 2007; Boyd et al., 2008; Guerrero et al., 2013; Bellwood et al., 2019). Place-based management at small scales is often emphasized due to jurisdictional constraints and variability in local threats and conditions. Yet, conservation should take place at multiple spatial scales given the severity of global climate stressors and high connectivity across coupled human–natural systems (Cumming et al., 2006; Hobbs et al., 2014; Lawler et al., 2015; Bellwood et al., 2019). The fossil record is spatially averaged and patchy, hindering data collection or spatially explicit analyses with high resolution in all locations (Benson et al., 2021). Nonetheless, publications in the literature review described baselines at local to regional scales (e.g., Terry, 2018; Barbieri et al., 2020; Hesterberg et al., 2020; Dillon et al., 2021) and investigated the interplay of ecological processes across different spatial scales (Bennington and Aronson, 2012; Cramer et al., 2021; Louys et al., 2021). Such studies, at least in theory, are primed to contribute to the escalating spatial scales over which resource managers are challenged to act.
Timescales
Conservation paleobiologists investigate ecological and evolutionary processes that operate over long timescales. To assess the field’s temporal scope, we asked survey participants to identify the time periods from which CPB can use data. We then compared their perceptions with the time periods represented in the literature review and participants’ own CPB research. Survey participants rated all time periods—from the Precambrian to the modern day—as applicable to CPB research, but data from the Recent through the Holocene and Pleistocene Epochs (i.e., decades to 2.58 million years ago, collectively called near-time records) were considered to be the most applicable (Figure 6 and Supplementary Figure S12). These intervals were heavily represented in the literature review, with 87% (n = 82) of publications relying on near-time records. More specifically, 19% (n = 18) of publications used data from the last few decades to centuries, 33% (n = 31) used data from the Holocene (including data coded as the last millennium to few millennia), and 28% (n = 26) used data from the Pleistocene (Figure 6). A similar focus on the Quaternary Period emerged when survey participants were asked about their own CPB research: 29% (n = 183) used data from the last few decades to centuries, 29% (n = 180) used data from the Holocene (including responses coded as the last millennium to few millennia), and 11% (n = 66) used data from the Pleistocene (Supplementary Figure S12). A third of survey participants (33%, n = 35) and 4% (n = 4) of publications in the literature review used records from both near and deep time, effectively crossing this temporal divide. Taken together, CPB research is overwhelmingly characterized by near-time records despite a widespread perception that the field can encompass most of ecological, historical, and geological time.
After establishing the temporal scope of CPB research, we asked survey participants to assess which timescales are most useful for informing conservation practice. Although CPB can incorporate data from both near and deep time, participants did not rate them equally in terms of their conservation relevance. Just over half of participants (58%, n = 77) agreed that near- and deep-time records are equally important to convey to conservation practitioners (Figure 7 and Supplementary Figure S13). When evaluated separately, the relevance of the near-time fossil record to conservation issues was strongly supported across all survey participants (93%, n = 122), whereas the deep-time fossil record was less likely to be perceived as relevant (63%, n = 85; Figure 7 and Supplementary Figure S13). This finding is consistent with a previous survey of the paleontological community, in which near-time records were thought to be better suited for addressing priority questions in conservation (Kiessling et al., 2019). The survey responses were similar across career stages (Supplementary Figure S14), such that experience did not necessarily make participants more pessimistic about the use of deep-time records in conservation (c.f.Kiessling et al., 2019). The responses were also consistent with a review of the research–implementation gap in CPB, in which all publications that informed conservation action used near-time records (Groff et al., 2022). Near-time records are therefore not only more common in CPB research but are perceived to be more relevant to conservation issues. Nevertheless, given the valuable parallels that deep-time records offer with today’s extinction and climate crises (e.g., Jackson and Erwin, 2006; Finnegan et al., 2015; Pimiento and Antonelli, 2022), their lower perceived relevance might instead result from the greater psychological distance of deep time (Dietl et al., 2019) or data reporting formats that are incompatible with conservation practice (Buxton et al., 2021).
Figure 7

Mean participant responses to survey questions about the conservation relevance of different timescales (top) and the application of CPB to conservation practice (bottom). Conservation practice was defined as all aspects of conservation, restoration, and management. The responses were recorded on a Likert scale from 1 (strongly disagree) to 5 (strongly agree). The points and error bars show the mean and 95% confidence intervals of responses to each question, colored by whether a participant self-identified as a conservation paleobiologist. See Supplementary Figure S13 for a full breakdown of the Likert responses.
Survey participants were also asked to compare the conservation relevance of the fossil record with real-time monitoring data. The fossil record was considered to be of equal value to data collected in real time (74% support, n = 98), with its value increasing when real-time data are unavailable (83% support, n = 110; Figure 7 and Supplementary Figure S13). Yet, the high value placed on the fossil record by survey participants is likely inflated relative to the perceptions of many conservation practitioners and neontologists. Although conservation biology is distinguished by long timescales (Soulé, 1985), practitioners often think of long-term data as observational records spanning years to decades and might not be aware or accepting of the fossil record’s utility in conservation (Willis et al., 2010; Rull and Vegas-Vilarrúbia, 2011; Durham and Dietl, 2015; Smith et al., 2018). Monitoring data, however, can be expensive and time-consuming to collect in real time and is limited in its temporal extent (Strayer et al., 1986; Lindenmayer et al., 2012; Likens and Lindenmayer, 2018). While the fossil record is no silver bullet, there is great potential to integrate paleontological records with observational data to extend the timescales over which conservation practitioners are accustomed to setting baselines and measuring ecological changes (Willis and Birks, 2006; Rick and Lockwood, 2013; Dietl and Smith, 2017). Combining these records is important given that conservation issues operate over multiple temporal scales (Dietl, 2019; Dietl et al., 2019; Kiessling et al., 2019). This potential has yet to be realized, though, as retrospective studies remain underutilized in practitioners’ toolboxes (Durham and Dietl, 2015; Smith et al., 2018).
Lastly, we assessed the temporal resolution of CPB research, as it can hinder efforts to overlay long-term paleontological data onto shorter-term ecological dynamics. In the literature review, temporal resolution varied substantially across studies and was not clearly reported in over a third of the publications (37%, n = 35). When reported, studies had temporal resolutions spanning years (14%, n = 8), 10s of years (20%, n = 12), 100s of years (25%, n = 15), 1,000 s of years (17%, n = 10), and even 10,000s of years (14%, n = 8) or longer (10%, n = 6; Supplementary Figure S15). These resolutions are constrained by the time-averaged nature of the fossil record and age-model uncertainty (Kowalewski et al., 1998; Olszewski, 1999; Kidwell, 2013). When survey participants were asked which temporal resolutions are most relevant for understanding contemporary conservation issues, their responses overlapped with the literature review. Participants indicated a variety of resolutions spanning years (13%, n = 56), 10s of years (16%, n = 71), 100s of years (19%, n = 86), 1,000s of years (21%, n = 95), and 10,000s of years (16%, n = 69; Supplementary Figure S15). Resolutions greater than 10,000s of years received little support, and few participants thought that all resolutions were relevant (6%, n = 28). Temporal resolutions vary across geohistorical records, likely shaping survey participants’ responses. Yet, participants’ affinities toward centennial- and millennial-scale resolutions might be at odds with the rapid pace of global change and conservation action, which are often measured over decades, years, or even finer timescales.
Is conservation paleobiology an applied science?
As defined in the literature, CPB aims to apply geohistorical records to guide the conservation, management, and restoration of biodiversity and ecosystem services (Dietl and Flessa, 2011; Dietl et al., 2015). This applied, value-laden dimension emerged as an integral attribute of the field in both the survey and literature review (Supplementary Figure S16), akin to conservation biology’s delineation as a “crisis discipline” (Soulé, 1985; Meine et al., 2006). However, also like conservation biology, a consensus on how applied CPB should be in practice has been slow to develop (Dietl, 2016; Dietl and Flessa, 2018).
To assess current views on this topic, we first asked survey participants whether CPB is an applied science. Of the conservation paleobiologists who participated in the survey, 38% (n = 33) responded that the field is predominantly applied in its current form, but many were undecided (32%, n = 28), and a notable proportion disagreed (31%, n = 27; Figure 7 and Supplementary Figure S13). Still, a majority (61%, n = 54) agreed that CPB should be applied to conservation practice (Figure 7 and Supplementary Figure S13). Early career scientists were the most optimistic about the field’s potential applications (Supplementary Figure S17), consistent with Kiessling et al. (2019). At the same time, conservation paleobiologists were divided about whether a study should be considered to be CPB only if it can be applied to conservation practice (46% agreed n = 41, 41% disagreed n = 37; Figure 7 and Supplementary Figure S13), showing the perceived value of fundamental research relative to its practical implementation. Although similarly conflicted, survey participants outside of CPB were more inclined to think that the field should be primarily academic, with a secondary emphasis on application (Figure 7 and Supplementary Figure S13). The survey results demonstrate a fundamental split in how CPB’s purpose is envisioned, both within the field and in the broader scientific community. Despite CPB’s definition explicitly stating its application to conservation problems (Dietl et al., 2015), there is a dichotomy between those who perceive CPB as a primarily academic pursuit and others who view it as an applied science, mirroring debates within conservation biology (Soulé, 1985; Jacobson and Robinson, 1990; Barry and Oelschlaeger, 1996; Noss, 2007; Kareiva and Marvier, 2012).
We then asked survey participants about their connections with conservation practice. Here, we report just the responses from the self-identified conservation paleobiologists, as these questions are most relevant to their work. Only 41% (n = 37) responded that conservation paleobiologists should be actively involved in conservation practice as it relates to their professional expertise (Figure 7 and Supplementary Figure S13). Likewise, around half (54%, n = 45) acknowledged the importance of engaging with practitioners as part of their work. However, few did so in practice; only 19% (n = 21) consistently worked with conservation practitioners or other stakeholders outside of academia, and a third (32%, n = 35) had never engaged (Supplementary Figure S18). The rarity of such collaborations was echoed in the literature review, in which only 14% (n = 13) of publications included authors with conservation affiliations. Additionally, less than a third (29%, n = 24) of conservation paleobiologists indicated that they discuss project goals with conservation practitioners before beginning their research—despite 60% (n = 52) reporting that CPB research goals should be aligned with conservation priorities (Figure 7 and Supplementary Figure S13). Indeed, when asked about conservation goals to which CPB could best contribute, many participants provided vague statements or buzzwords (e.g., “baselines,” “biodiversity,” “mitigation”). Although not all conservation paleobiologists thought that building relationships with conservation practitioners is important, for those who did, the disconnect between their intentions and actions might stem from a lack of training (e.g., Jacobson, 1990; Noss, 1997; Blickley et al., 2013; Pietri et al., 2013; Kelley et al., 2018).
Another mismatch arose when we asked conservation paleobiologists about how they communicate research outputs. Most placed value on sharing their research in venues that extend beyond academia, with only 28% (n = 25) indicating that the main role of a conservation paleobiologist is to disseminate knowledge through peer-reviewed publications (Figure 7 and Supplementary Figure S13). Yet, even within academic publishing, just 11% (n = 10) of publications in the literature review appeared in mainstream conservation journals (e.g., Conservation Biology, Biological Conservation, and Biodiversity and Conservation), where practitioners might intuitively search for data and from which conservation evidence is synopsized to support implementation (Sutherland et al., 2019). Although the survey was primarily completed by academics and thus reflects their research practices, our results suggest a lack of crosstalk between conservation paleobiologists and practitioners. Survey participants further confirmed this communication barrier when asked about the challenges facing CPB.
To explore perceptions of CPB’s actual contributions to conservation, we asked survey participants about examples in which CPB research has influenced conservation outcomes. Participants collectively pointed to a handful of examples such as Everglades ecosystem restoration (Marshall et al., 2014; Wingard et al., 2017), efforts to restore pulse flows in the Colorado River Delta (Zamora-Arroyo and Flessa, 2009; Hallett et al., 2017), and species management scenarios (e.g., Faith, 2012). Despite providing examples, some participants were skeptical. One commented, “This is the problem—conservation [paleobiology] remains largely an academic exercise and still is not adequately integrated into ‘real’ conservation practice.” Groff et al. (2022) assessed the research–implementation gap in CPB and found that only about 10% of 444 publications that used geohistorical data with the intent of informing conservation, management, and restoration had real-world impact. In its current state, CPB’s applications to conservation appear to be more aspirational than tangible.
A reality check is called for at this stage of CPB’s development. The survey revealed that the field is not overwhelmingly perceived as applied in its current form despite claiming to be an applied science. Nor is most CPB research informing conservation action (Groff et al., 2022). Indeed, survey participants who self-identified as conservation paleobiologists did not share a unified vision for how the field should advance its applications to conservation (Figure 7 and Supplementary Figure S13). At least two outlooks emerged: some thought that conservation paleobiologists should engage with conservation practitioners and align their research goals with conservation needs, whereas others viewed the field as a separate, more academic undertaking with theoretical implications for conservation. The apparent variation across participants’ responses might have arisen from differences in their motivations, which likely included translational work designed to address conservation problems, method development to support such work, and occasional contributions to the field by scientists who might not label themselves as conservation paleobiologists. Their divergent responses suggest that participation at the front line of conservation implementation is not viewed as a prerequisite for being a conservation paleobiologist, consistent with the spectrum of pure to applied research that exists within conservation science (Soulé, 1985; Kareiva and Marvier, 2012). Nevertheless, many survey participants saw the field’s applications to conservation as an important challenge and highlighted the need to improve training, resources, and incentive structures to support conservation paleobiologists who strive to participate in conservation practice.
What is conservation paleobiology?
Conservation paleobiology is undergoing introspection about what it is and what it should be as a field. The crux of CPB has not shifted much since the term’s initial coining (Flessa, 2002) and subsequent definition in widely-cited publications (Dietl and Flessa, 2011, 2017; Conservation Paleobiology Workshop, 2012; Kidwell, 2013; Dietl et al., 2015; Barnosky et al., 2017; Supplementary Figure S1). However, its definition has widened over time. For example, definitions recorded in the literature review included additional conservation issues (e.g., ecosystem restoration, multiple stressors, and climate change) and ecosystem properties (e.g., ecosystem services) over time, likely as they became more frequently studied within the field (Supplementary Figures S16A–C). At present, CPB is popularly defined as the “application of the methods and theories of paleontology to the conservation and restoration of biodiversity and ecosystem services” (Dietl et al., 2015). Here, we examine how survey participants described CPB and assess whether the field’s current stage of development is consistent with those definitions.
When asked to define CPB using keywords or phrases, survey participants provided answers that are consistent with the existing definition (Supplementary Figure S16D), suggesting that the term does not need to be redefined. Their responses fell under five broad themes. CPB: (1) seeks to inform conservation, management, and restoration; (2) links timescales by combining modern, historical, and fossil data; (3) uses a variety of data types (e.g., fossil occurrences, stable isotopes, DNA) and analyses (e.g., time-series reconstructions, modeling, natural experiments); (4) measures biotic responses to environmental and anthropogenic stressors; and (5) is cross-disciplinary. Although ecological baselines (e.g., Pauly, 1995) were not frequently mentioned in definitions provided by participants, they were reported as an outcome of CPB studies.
We also explored how CPB is described in terms of the disciplines it encompasses. CPB has coalesced from the melding of disciplinary boundaries, but it sits at the interface of more than just paleobiology and conservation. When asked about the scope of its disciplinarity, survey participants indicated that CPB can incorporate information from a wide range of disciplines spanning conservation biology, ecology, historical ecology, paleoecology, paleobiology, paleoclimatology, biogeography, and archaeology (Supplementary Figure S19). When these disciplines were grouped, the largest intersection of responses occurred among paleontology, conservation science, and biology and ecology (Figure 8), positioning them at the field’s core. However, the breadth of participants’ responses demonstrates how diverse, albeit amorphous, CPB has become.
Figure 8

Cross-disciplinary scope of CPB, as perceived by the survey participants. Survey participants were asked from which areas of study CPB can incorporate information. Participants were able to select up to five disciplines that they considered to be most important. Disciplines were grouped to facilitate visualization (see Supplementary methods for the grouping methodology; paleontology and paleoclimatology were further grouped within the geosciences to aid interpretation). Colors in the Venn diagram correspond to the amount of support for each nested combination of disciplines. The largest intersection of responses occurred among the geosciences (particularly paleoecology), conservation science, and biology and ecology.
This cross-disciplinarity might act as a double-edged sword. It diversifies CPB’s toolkit for asking novel research questions and addressing conservation problems but also diminishes its cohesion by creating overlap with many other disciplines. For example, most self-identified conservation paleobiologists who participated in the survey conducted their research in disciplines beyond CPB and did not use the term to classify their expertise (Figure 2). Accordingly, there was not a clear divide across many of the survey questions between participants who did and did not conduct work that they considered to be CPB. Indeed, research in disciplines such as historical ecology and paleoecology is similar to studies that are described as CPB and, in many respects, the only difference is what the researchers call themselves. This conceptual overlap was further illustrated when we asked survey participants to provide examples of important papers in CPB; 68% (n = 40) of the 59 articles named that were published after 2002 do not include the term.
When asked to differentiate CPB from the disciplines it draws on for information, many survey participants pointed to its integrative nature. One noted, “it is not set apart from them, [rather] a combination of them.” Other participants referred to CPB as a holistic discipline aggregator because “very few claim to wear all of those hats, so [conservation paleobiology] usually requires a team with diverse skill sets.” Participants also regarded CPB’s timescales and research goals to be different from related disciplines. CPB synthesizes data over long timescales (e.g., longer than historical ecology or conservation biology but similar to paleontology and archaeology) and is often motivated by a goal of practical application (e.g., unlike paleontology, biogeography, or archaeology but similar to conservation biology and historical ecology; c.f.Soulé, 1985; Dietl and Flessa, 2011; Szabó, 2015). Because CPB shares these attributes, at least in part, with other disciplines, it is the configuration of constituent disciplines, rather than their individual attributes, that sets CPB apart. Some participants argued against delimiting the field’s boundaries altogether to avoid isolating it from potentially valuable contributions from other disciplines. Similar perspectives have been conveyed within conservation, exemplified by calls to soften, or even redraw, the traditional boundaries between conservation biology and disciplines that examine the human dimensions of conservation (Jacobson and McDuff, 1998; Meffe, 1998; Daily and Ehrlich, 1999; Balmford and Cowling, 2006; Travers et al., 2021).
Nonetheless, some attributes that distinguish CPB from conceptually related disciplines might still be aspirational. Self-described CPB research matched the definition provided by survey participants in terms of its datasets, scales, and topics. For example, we found that CPB uses diverse data types (Supplementary Figure S9) spanning decades to millions of years (Figure 6 and Supplementary Figure S12) to study a variety of stressors (Supplementary Figure S10). But, the field is currently not as applied as many survey participants suggested it should be (Figure 7 and Supplementary Figure S13), counter to its definition. Additionally, although CPB can incorporate information from many different disciplines (Figure 8 and Supplementary Figure S19), survey participants who self-identified as conservation paleobiologists were largely affiliated with paleontology or biology and ecology (Supplementary Figures S6, S7). More work is needed for conservation paleobiologists to fully transcend disciplinary boundaries (e.g., Kelley et al., 2018, 2019; Kelley and Dietl, 2022). As CPB grows into its definition, it might become increasingly distinct from its disciplinary roots.
Taken together, perspectives shared in the survey positioned CPB as a bridge between established disciplines rather than a truly separate field of study. However, it is unclear whether CPB research and training programs will remain largely siloed within paleontology and the geosciences or whether they will fuse with conservation biology as the field progresses (Dietl, 2016). This is particularly true given differences in how survey participants viewed CPB’s purpose as an applied science (Figure 7 and Supplementary Figure S13). The CPB community has not yet reached a consensus on what it means to be a conservation paleobiologist, nor have we wholesale adopted the term to refer to our academic identity or research. As we continue to reflect on CPB’s development, the survey responses highlighted a key challenge: how do we form a recognizable identity that balances community cohesion (e.g., moving toward an institutionalized field with a unified training curriculum) with the flexibility to incorporate diverse disciplinary perspectives (e.g., assembling scientists from allied disciplines as an umbrella term)? Alternatively, does the CPB community even desire to assemble in this way?
How will conservation paleobiology develop over the next 20 years?
CPB is nearing a crossroads. It is still evolving as an area of study and, if the survey participants’ opinions are any indication, there will continue to be some interest in making it a cross-disciplinary, applied field with real-world impact. Participants, however, shared a variety of perspectives about what this might look like in practice. Their responses emphasize both the need to advance scientific knowledge within the field and improve its applications to conservation practice. A strong academic foundation in geology, biology, communication, resource management, and environmental policy will always underpin CPB, although this foundation could be developed with a vision of implementation in mind to better align CPB practice with how the survey participants suggested we see ourselves. Success in this regard will be evident when data and methods from CPB become some of the many tools used in conservation. Other subfields within conservation biology, such as conservation genetics, conservation physiology, and conservation biogeography, are still developing as conservation tools in the two to three decades since their emergence (Whittaker et al., 2005; Hohenlohe et al., 2021; Tomlinson et al., 2021). But, they have established themselves as well-recognized approaches for solving conservation problems over this time frame, so they might be instructive examples of how CPB could mature. As we look ahead to the next two decades of CPB’s development, the survey responses suggest a need for efforts to promote community cohesion, strengthen collaborations within conservation science, and develop training programs that reflect the field’s identity as it continues to crystallize.
Development as a cross-disciplinary field
Survey participants described CPB as an integrative field that incorporates information from a wide array of disciplines with different academic origins and knowledge bases (Figure 8). However, many individual studies and research groups do not transcend disciplinary boundaries (Kelley et al., 2018; Supplementary Figure S6). Thus, one direction in which CPB might shift in the coming years is toward the tighter integration of disciplines from which the field draws knowledge. This could be achieved by assembling teams of transdisciplinary thinkers who are trained in specific disciplines but have complementary expertise (Soulé and Press, 1998; Daily and Ehrlich, 1999; Balmford and Cowling, 2006; Pooley, 2014; Kelley and Dietl, 2022). For example, an important addition to CPB teams would be researchers in the social sciences, economics, and policy—who had little representation in the survey (Supplementary Figure S7)—to address both the biological and human contexts in which conservation takes place (Jacobson and McDuff, 1998; Kelley et al., 2018; Kelley and Dietl, 2022). These teams could act as a springboard to help future conservation paleobiologists traverse disciplinary boundaries, approach research questions more creatively, and consider the diverse perspectives that underpin conservation decision-making (Benda et al., 2002; Boulton et al., 2005; Evely et al., 2010; Díaz et al., 2015; Chan et al., 2018). Pursuing these collaborations would also likely place greater emphasis on training future conservation paleobiologists to communicate across disciplines and engage in arenas outside the immediate sphere of paleontology.
As a result, CPB could become embedded within conservation biology as part of a holistic conservation problem-solving approach (Soulé, 1985; Kareiva and Marvier, 2012; Dietl, 2016; Barnosky et al., 2017). This path of development would be akin to that of conservation genetics (Shafer et al., 2015; Funk et al., 2019; Hohenlohe et al., 2021) and conservation physiology (Wikelski and Cooke, 2006; Tomlinson et al., 2021). In this version of CPB’s future, memberships in conservation science societies and attendance at their conferences might become commonplace, or perhaps even expected, among conservation paleobiologists. In turn, they might participate in conservation biology training programs, publish in conservation journals, and contribute to community-driven resources such as the Conservation Evidence repository2 or the Conservation Measures Partnership.3 In addition to strengthening connections within the conservation science community, conservation paleobiologists might invest more time and effort into building partnerships with conservation practitioners. Such partnerships could normalize CPB research programs that are oriented around conservation decisions and ultimately lead to more direct employment of conservation paleobiologists by resource management organizations.
Development as an applied field
A large motivation for many, but not all, conservation paleobiologists is to contribute to conservation practice (Figure 7 and Supplementary Figure S13). Applications to conservation were touted by survey participants as a defining attribute of the field, consistent with its established definition (Dietl and Flessa, 2011; Dietl et al., 2015). However, only a fraction of conservation paleobiologists who participated in the survey regularly worked with conservation practitioners (Supplementary Figure S18). Although this lack of engagement might signal a training gap, inconsistencies across their responses revealed that opinions about CPB’s development as an applied science have yet to converge. For example, conservation paleobiologists disagreed about how closely they should work with conservation practitioners or whether they should be directly involved in conservation practice (Figure 7 and Supplementary Figure S13). As the CPB community discusses what “applied” should look like and what researchers’ roles should be if the field becomes more applied, we could draw lessons from conservation biology. Here, we reflect on two alternative futures informed by the survey responses.
Over half of the survey participants indicated that CPB should become more applied (Figure 7 and Supplementary Figure S13). If the field progresses in this direction, more emphasis on building relationships with conservation practitioners will likely be needed. More specifically, this could entail sourcing research questions from resource managers to identify where their needs overlap with available geohistorical records as well as co-producing data and co-authoring publications (Cash et al., 2006; Cook et al., 2013; Hulme, 2014; Cvitanovic et al., 2015; Beier et al., 2017; Bertuol-Garcia et al., 2018; Savarese, 2018; Kadykalo et al., 2021). Other developments could include embedding conservation paleobiologists in resource management organizations, training knowledge brokers within the CPB community, and working with external boundary organizations to facilitate knowledge exchange between conservation paleobiologists and conservation practitioners (e.g., Cvitanovic et al., 2015). Strengthening these practices within CPB would require both individual action—in terms of how and when researchers interact with stakeholders (Knight et al., 2008; Hulme, 2014; Beier et al., 2017; Boyer et al., 2017; Flessa, 2017; Savarese, 2018)—and structural changes that incentivize reciprocal knowledge exchange (Cvitanovic et al., 2015; Durham and Dietl, 2015; Toomey et al., 2017; Kelley et al., 2018). One step toward instituting these changes would be to train conservation paleobiologists like conservation biologists so they can more effectively contribute to applied conservation contexts (Kelley et al., 2018; Kelley and Dietl, 2022). Not only would training allow individuals to grow their skill sets for doing conservation but would encourage more members of the CPB community to participate in such work. This trajectory could increase CPB’s real-world impact over the next two decades, propelling the field forward as a subfield of conservation science.
Alternatively, CPB might maintain the status quo. If the field follows its current trajectory, some conservation paleobiologists would continue to seek out partnerships with conservation practitioners, and many would proceed with their primary research as usual. Although this research would bolster CPB’s conceptual foundation, conservation action is never a result of scientific endeavors alone. If efforts are not made to navigate the complex human realities of conservation (Laurance et al., 2012; Game et al., 2014), plan for implementation (Knight et al., 2008; Toomey et al. 2017), and communicate results with decision-makers in actionable formats (Laurance et al., 2012; Walsh et al., 2015; Savarese, 2018; Sutherland et al., 2019; Smith et al., 2020), CPB might continue to fall short of influencing conservation outcomes. Without adjusting training or research practices, the survey responses suggest that the field will more likely follow this trajectory, which might have less of a recognizable applied footprint.
Regardless of the trajectory that CPB follows, the field will likely retain a mixture of researchers with varying levels of interaction with conservation practice. This is inevitable and necessary because methodological advances underpin CPB’s conservation applications as they do in conservation biology (Soulé, 1985). The survey responses suggest that researchers do not need to engage with conservation practice to be a conservation paleobiologist. Researchers will find their place along the spectrum of pure to applied research within CPB given their comfort level and training. Moving forward, how inclusive the field’s definition becomes and, ultimately, how it is distinguished from other, less applied disciplines, will likely depend on where the CPB community falls along this spectrum.
Training the next generation of conservation paleobiologists
At the heart of CPB’s future is training. But, how do we equip conservation paleobiologists with relevant skills as the field’s identity continues to evolve? The disconnect between survey participants’ aspirations and actions (Figure 7 and Supplementary Figure S13) underscored the role of training in steering conversations about what CPB is and should be as a field. As CPB graduate programs, short courses, and workshops are developed, training objectives could provide conservation paleobiologists with a toolkit to do the types of applied, cross-disciplinary work that most survey participants hoped will embody the field in the future. Most conservation paleobiologists who participated in the survey were trained in geoscience, biology and ecology, and paleontology departments. However, they saw potential not only in expanding the field’s pure research but also its conservation applications, collaborations, outreach, and education—necessitating a growing list of skills that extends beyond discipline-specific training. Variation across the survey responses also demonstrates that there is no one pathway to becoming a conservation paleobiologist or a single CPB archetype. CPB training is chasing a moving target as the field grows to meet the community’s aspirations.
Preparing students with an accumulation of competencies to meet evolving needs is no simple feat. In addition to learning research methods and disciplinary knowledge, training for conservation paleobiologists will likely need a stronger emphasis on “soft skills” than most traditional academic degree programs given their association with success in conservation settings. These skills include decision-making, fundraising, project management, leadership, teamwork, relational practices, and teaching (Muir and Schwartz, 2009; Schmidt et al., 2012; Blickley et al., 2013; Pietri et al., 2013; Langholz and Abeles, 2014; Toomey et al., 2017; Kelley et al., 2018, 2019). Pedagogical perspectives in CPB have also spotlighted the importance of transdisciplinary problem-solving and practical experience (Kelley et al., 2018, 2019; Kelley and Dietl, 2022), drawing from the conservation science curricula (Jacobson, 1990; Jacobson and Robinson, 1990; Moslemi et al., 2009; Newing, 2010). Building from these established pedagogies, CPB training objectives could be iteratively updated to track the spectrum of pure to applied research within the field as it moves from the prospect of application to more routinely contributing to conservation (see Kelley et al., 2018). Indeed, this adaptive process might eventually become self-perpetuating as the first generations of intentionally trained conservation paleobiologists come of age and begin training students of their own. Additionally, training objectives could be collective, with the aim of catering to individual interests while equipping teams—and more broadly, the CPB community—with diverse but complementary skill sets to tackle complex conservation problems (e.g., Wiek et al., 2011; Kelley and Dietl, 2022). As we look to CPB’s future, ongoing introspection about what we are as a field could guide training priorities as they, in turn, influence what we become.
Looking ahead
Two contrasting themes appeared in the survey: (1) enthusiastic and well-grounded optimism about CPB’s potential impacts and (2) uncertainty about what the field encompasses. CPB’s future will not be charted by this survey, by publications, or by academic commissions alone. A better sense of what CPB is will emerge from its practitioners over the next 20 years. Their efforts will define the field—and determine its success—through contributions to helping conserve, manage, and restore nature. It’s time to get to work.
Publisher’s note
All claims expressed in this article are solely those of the authors and do not necessarily represent those of their affiliated organizations, or those of the publisher, the editors and the reviewers.
Statements
Data availability statement
The datasets presented in this study can be found in an online repository at: https://doi.org/10.5281/zenodo.7023651.
Ethics statement
The survey of human participants was reviewed and approved by Ethics Commission of the Friedrich–Alexander University Erlangen–Nürnberg. The participants provided informed consent to participate in this study.
Author contributions
JS, NR, ED, DD, and JP conceptualized the manuscript, developed the approach, and led the research effort. JS created the survey, with all other authors contributing to survey design and/or analysis. NR conducted the keyword searches for the literature review and allocated publications to the coding team. JS, NR, ED, DD, JP, AM, EA, CG, C-HL, HH, IS, JC, KK, and OR coded publications and contributed to the literature analysis. JP and NR led the data visualization. JP, NR, DD, and SD created the figures, with input from ED and JS. ED led the preparation of the manuscript, with contributions from JS, CP, AM, NR, JP, DD, AO, SD, and OR. All authors developed the CPB timeline, provided input on manuscript drafts, and approved the final version.
Acknowledgments
We thank all participants for sharing their perspectives in the survey and K. García Méndez, J. Parsons, and E. Lombardi for testing early versions of the survey, K. Flessa for valuable discussions and feedback on the draft as well as P. Raia and two reviewers whose comments helped improve the manuscript. We also thank the PaleoSynthesis Project for logistical support and UC Santa Barbara Open Access Publishing Fund for covering the publication fees.
Conflict of interest
AO is employed by Applied EarthWorks, Inc.
The remaining authors declare that the research was conducted in the absence of any commercial or financial relationships that could be construed as a potential conflict of interest.
Supplementary material
The Supplementary material for this article can be found online at: https://www.frontiersin.org/articles/10.3389/fevo.2022.1031483/full#supplementary-material
References
1
AbdulRafiuA.SovacoolB. K.DanielsC. (2022). The dynamics of global public research funding on climate change, energy, transport, and industrial decarbonization. Renew. Sust. Energ. Rev.162:112420. doi: 10.1016/j.rser.2022.112420
2
AllmonW. D. (2013). Species, speciation and palaeontology up to the modern synthesis: persistent themes and unanswered questions. Palaeontology56, 1199–1223. doi: 10.1111/pala.12054
3
BalmfordA.CowlingR. M. (2006). Fusion or failure? The future of conservation biology. Conserv. Biol.20, 692–695.
4
BarbieriG.RossiV.GhoshA.VaianiS. C. (2020). Conservation paleobiology as a tool to define reference conditions in naturally stressed transitional settings: micropaleontological insights from the Holocene of the Po coastal plain (Italy). Water12:3420. doi: 10.3390/w12123420
5
BarnoskyA. D. (1986). “Big game” extinction caused by late Pleistocene climatic change: Irish elk (Megaloceros giganteus) in Ireland. Quat. Res.25, 128–135. doi: 10.1016/0033-5894(86)90049-9
6
BarnoskyA. D.HadlyE. A.GonzalezP.HeadJ.PollyP. D.LawingA. M.et al. (2017). Merging paleobiology with conservation biology to guide the future of terrestrial ecosystems. Science355:eaah4787. doi: 10.1126/science.aah4787
7
BarrowcloughG. F.CracraftJ.KlickaJ.ZinkR. M. (2016). How many kinds of birds are there and why does it matter?PLoS One11:e0166307. doi: 10.1371/journal.pone.0166307
8
BarryD.OelschlaegerM. (1996). A science for survival: values and conservation biology. Conserv. Biol.10, 905–911. doi: 10.1046/j.1523-1739.1996.10030904-2.x
9
BattarbeeR. W. (1999). “The importance of palaeolimnology to lake restoration,” in The ecological bases for Lake and reservoir management developments in hydrobiology. eds. HarperD. M.BrierleyB.FergusonA. J. D.PhillipsG. (Dordrecht: Springer Netherlands), 149–159. doi: 10.1007/978-94-017-3282-6_14
10
BattarbeeR. W.CharlesD. F.DixitS. S.RenbergI. (1999). “Diatoms as indicators of surface water acidity,” in The diatoms: Applications for the environmental and earth sciences. eds. StoermerE. F.SmolJ. P. (Cambridge: Cambridge University Press), 85–127.
11
BaumgartnerT. R.SoutarA.Ferreira BartrinaV. (1992). Reconstruction of the history of Pacific sardine and northern anchovy populations over the past two millennia from sediments of the Santa Barbara Basin, California. Calif. Coop. Ocean. Fish. Investig. Rep.33, 24–40.
12
BehrensmeyerA. K. (1978). Taphonomic and ecologic information from bone weathering. Paleobiology4, 150–162. doi: 10.1017/S0094837300005820
13
BehrensmeyerA. K.KidwellS. M.GastaldoR. A. (2000). Taphonomy and paleobiology. Paleobiology26, 103–147. doi: 10.1017/S0094837300026907
14
BehrensmeyerA. K.MillerJ. H. (2012). “Building links between ecology and paleontology using taphonomic studies of recent vertebrate communities,” in Paleontology in ecology and conservation springer earth system sciences. ed. LouysJ. (Berlin, Heidelberg: Springer), 69–91. doi: 10.1007/978-3-642-25038-5_5
15
BeierP.HansenL. J.HelbrechtL.BeharD. (2017). A how-to guide for coproduction of actionable science. Conserv. Lett.10, 288–296. doi: 10.1111/conl.12300
16
BelangerC. L. (2011). Evaluating taphonomic bias of paleoecological data in fossil benthic foraminiferal assemblages. Palaios26, 767–778. doi: 10.2110/palo.2011.p11-032r
17
BellerE. E.McClenachanL.ZavaletaE. S.LarsenL. G. (2020). Past forward: recommendations from historical ecology for ecosystem management. Glob. Ecol. Conserv.21:e00836. doi: 10.1016/j.gecco.2019.e00836
18
BellwoodD. R.PratchettM. S.MorrisonT. H.GurneyG. G.HughesT. P.Álvarez-RomeroJ. G.et al. (2019). Coral reef conservation in the Anthropocene: confronting spatial mismatches and prioritizing functions. Biol. Conserv.236, 604–615. doi: 10.1016/j.biocon.2019.05.056
19
BendaL. E.PoffL. N.TagueC.PalmerM. A.PizzutoJ.CooperS.et al. (2002). How to avoid train wrecks when using science in environmental problem solving. Bioscience52, 1127–1136. doi: 10.1641/0006-3568(2002)052[1127:HTATWW]2.0.CO;2
20
BenningtonB. J.AronsonM. F. J. (2012). “Reconciling scale in paleontological and neontological data: dimensions of time, space, and taxonomy,” in Paleontology in ecology and conservation springer earth system sciences. ed. LouysJ. (Berlin, Heidelberg: Springer), 39–67. doi: 10.1007/978-3-642-25038-5_4
21
BensonR. B. J.ButlerR.CloseR. A.SaupeE.RaboskyD. L. (2021). Biodiversity across space and time in the fossil record. Curr. Biol.31, R1225–R1236. doi: 10.1016/j.cub.2021.07.071
22
Bertuol-GarciaD.MorselloC.El-HaniC. N.PardiniR. (2018). A conceptual framework for understanding the perspectives on the causes of the science–practice gap in ecology and conservation. Biol. Rev.93, 1032–1055. doi: 10.1111/brv.12385
23
BetancourtJ. L.Van DevenderT. R. (1981). Holocene vegetation in Chaco canyon, New Mexico. Science214, 656–658. doi: 10.1126/science.214.4521.656
24
BetancourtJ. L.Van DevenderT. R.MartinP. S. (1990). Packrat Middens: The last 40,000 years of biotic change, Tucson: University of Arizona Press.
25
BirksH. J. B. (2012). Ecological palaeoecology and conservation biology: controversies, challenges, and compromises. Int. J. Biodivers. Sci. Ecosyst. Serv. Manag.8, 292–304. doi: 10.1080/21513732.2012.701667
26
BlickleyJ. L.DeinerK.GarbachK.LacherI.MeekM. H.PorenskyL. M.et al. (2013). Graduate student’s guide to necessary skills for nonacademic conservation careers. Conserv. Biol.27, 24–34. doi: 10.1111/j.1523-1739.2012.01956.x
27
BoultonA. J.PanizzonD.PriorJ. (2005). Explicit knowledge structures as a tool for overcoming obstacles to interdisciplinary research. Conserv. Biol.19, 2026–2029.
28
BoydC.BrooksT. M.ButchartS. H. M.EdgarG. J.Da FonsecaG. A. B.HawkinsF.et al. (2008). Spatial scale and the conservation of threatened species. Conserv. Lett.1, 37–43. doi: 10.1111/j.1755-263X.2008.00002.x
29
BoyerA. G.BrennerM.BurneyD. A.PandolfiJ. M.SavareseM.DietlG. P.et al. (2017). “Conservation paleobiology roundtable: from promise to application,” in Conservation Paleobiology: Science and practice. eds. DietlG. P.FlessaK. W. (Chicago: University of Chicago Press), 291–302.
30
BrennerM.WhitmoreT. J.FlanneryM. S.BinfordM. W. (1993). Paleolimnological methods for defining target conditions in cake restoration: Florida case studies. Lake Reserv. Manag.7, 209–217. doi: 10.1080/07438149309354272
31
BrownJ. L.HillD. J.DolanA. M.CarnavalA. C.HaywoodA. M. (2018). PaleoClim, high spatial resolution paleoclimate surfaces for global land areas. Sci. Data5:180254. doi: 10.1038/sdata.2018.254
32
BurnhamR. J. (2001). Is conservation biology a paleontological pursuit?PALAIOS16, 423–424. doi: 10.1669/0883-1351(2001)016<0423:ICBAPP>2.0.CO;2
33
BuxtonR. T.NyboerE. A.PigeonK. E.RabyG. D.RytwinskiT.GallagherA. J.et al. (2021). Avoiding wasted research resources in conservation science. Conserv. Sci. Pract.3:e329. doi: 10.1111/csp2.329
34
CashD. W.BorckJ. C.PattA. G. (2006). Countering the loading-dock approach to linking science and decision making: comparative analysis of El Niño/southern oscillation (ENSO) forecasting systems. Sci. Technol. Hum. Values31, 465–494. doi: 10.1177/0162243906287547
35
ChanK. M.GouldR. K.PascualU. (2018). Editorial overview: relational values: what are they, and what’s the fuss about?Curr. Opin. Environ. Sustain.35, A1–A7. doi: 10.1016/j.cosust.2018.11.003
36
Cintra-BuenrostroC. E.FlessaK. W.Ávila-SerranoG. (2005). Who cares about a vanishing clam? Trophic importance of Mulinia coloradoensis inferred from predatory damage. Palaios20, 296–307. doi: 10.2110/palo.2004.p04-21
37
ClarkJ. S. (1989). Ecological disturbance as a renewal process: theory and application to fire history. Oikos56, 17–30. doi: 10.2307/3566083
38
ClarkJ. S. (1990). Fire and climate change during the last 750 yr in northwestern Minnesota. Ecol. Monogr.60, 135–159. doi: 10.2307/1943042
39
CloseR. A.BensonR. B. J.SaupeE. E.ClaphamM. E.ButlerR. J. (2020). The spatial structure of Phanerozoic marine animal diversity. Science368, 420–424. doi: 10.1126/science.aay8309
40
ColeK. L.DavisM. B.StearnsF.GutenspergenG.WalkerK. (1998). “Historical landcover changes in the Great Lakes region”, in Perspectives on the Land Use History of North America (U.S. Geological Survey, Biological Resources Division), 43–50.
41
Conservation Paleobiology Workshop (2012). Conservation paleobiology: Opportunities for the earth sciences. Ithaca, New York: Paleontological Research Institution.
42
CookC. N.MasciaM. B.SchwartzM. W.PossinghamH. P.FullerR. A. (2013). Achieving conservation science that bridges the knowledge–action boundary. Conserv. Biol.27, 669–678. doi: 10.1111/cobi.12050
43
CowieR.RégnierC.FontaineB.BouchetP. (2017). Measuring the sixth extinction: what do mollusks tell us?Nautilus131, 3–41.
44
CramerK. L.DonovanM. K.JacksonJ. B. C.GreensteinB. J.KorpantyC. A.CookG. M.et al. (2021). The transformation of Caribbean coral communities since humans. Ecol. Evol.11, 10098–10118. doi: 10.1002/ece3.7808
45
CramerK. L.JacksonJ. B. C.DonovanM. K.GreensteinB. J.KorpantyC. A.CookG. M.et al. (2020). Widespread loss of Caribbean acroporid corals was underway before coral bleaching and disease outbreaks. Sci. Adv.6:eaax9395. doi: 10.1126/sciadv.aax9395
46
CummingG. S.CummingD. H. M.RedmanC. L. (2006). Scale mismatches in social-ecological systems: causes, consequences, and solutions. Ecol. Soc.11. Available at:https://www.jstor.org/stable/26267802
47
CummingB. F.SmolJ. P.KingstonJ. C.CharlesD. F.BirksH. J. B.CamburnK. E.et al. (1992). How much acidification has occurred in Adirondack region lakes (New York, United States) since preindustrial times?Can. J. Fish. Aquat. Sci.49, 128–141. doi: 10.1139/f92-015
48
CvitanovicC.HobdayA. J.van KerkhoffL.WilsonS. K.DobbsK.MarshallN. A. (2015). Improving knowledge exchange among scientists and decision-makers to facilitate the adaptive governance of marine resources: a review of knowledge and research needs. Ocean Coast. Manag.112, 25–35. doi: 10.1016/j.ocecoaman.2015.05.002
49
CzajaA.CovichA. P.Estrada-RodríguezJ. L.Romero-MéndezU.Saenz-MataJ.Meza-SánchezI. G.et al. (2019). Fossil freshwater gastropods from northern Mexico: a case of a “silent” local extirpation, with the description of a new species. Bol. Soc. Geol. Mex.71, 609–629. doi: 10.18268/bsgm2019v71n3a2
50
DailyG. C.EhrlichP. R. (1999). Managing earth’s ecosystems: an interdisciplinary challenge. Ecosystems2, 277–280.
51
DaviesA. L.BuntingM. J. (2010). Applications of palaeoecology in conservation. Open J. Ecol.3, 54–67. doi: 10.2174/1874213001003020054
52
DavisM. B. (1989). Address of the past president: Toronto, Canada, august 1989: insights from paleoecology on global change. Bull. Ecol. Soc. Am.70, 222–228.
53
DavisM. B.DouglasC.CalcoteR.ColeK. L.WinklerM. G.FlakneR. (2000). Holocene climate in the western Great Lakes National Parks and lakeshores: implications for future climate change. Conserv. Biol.14, 968–983. doi: 10.1046/j.1523-1739.2000.99219.x
54
DavisM. B.WoodsK. D.WebbS. L.FutymaR. P. (1986). Dispersal versus climate: expansion of Fagus and Tsuga into the upper Great Lakes region. Vegetation67, 93–103. doi: 10.1007/BF00037360
55
DaytonP. K.TegnerM. J.EdwardsP. B.RiserK. L. (1998). Sliding baselines, ghosts, and reduced expectations in kelp forest communities. Ecol. Appl.8, 309–322. doi: 10.1890/1051-0761(1998)008[0309,SBGARE]2.0.CO;2.
56
de QueirozK. (2005). Different species problems and their resolution. BioEssays27, 1263–1269. doi: 10.1002/bies.20325
57
DelcourtP. A.DelcourtH. R. (1998). Paleoecological insights on conservation of biodiversity: a focus on species, ecosystems, and landscapes. Ecol. Appl.8, 921–934. doi: 10.1890/1051-0761(1998)008[0921:PIOCOB]2.0.CO;2
58
Di MarcoM.ChapmanS.AlthorG.KearneyS.BesanconC.ButtN.et al. (2017). Changing trends and persisting biases in three decades of conservation science. Glob. Ecol. Conserv.10, 32–42. doi: 10.1016/j.gecco.2017.01.008
59
DíazS.DemissewS.CarabiasJ.JolyC.LonsdaleM.AshN.et al. (2015). The IPBES conceptual framework: connecting nature and people. Curr. Opin. Environ. Sustain.14, 1–16. doi: 10.1016/j.cosust.2014.11.002
60
DietlG. P. (2016). Brave new world of conservation paleobiology. Front. Ecol. Evol.4, 21. doi: 10.3389/fevo.2016.00021
61
DietlG. P. (2019). Conservation palaeobiology and the shape of things to come. Philos. Trans. R. Soc. B Biol. Sci.374, 20190294. doi: 10.1098/rstb.2019.0294
62
DietlG. P.FlessaK. W. (2009). Conservation paleobiology: using the past to manage for the future. Paleontol. Soc. Pap.15:285p
63
DietlG. P.FlessaK. W. (2011). Conservation paleobiology: putting the dead to work. Trends Ecol. Evol.26, 30–37. doi: 10.1016/j.tree.2010.09.010
64
DietlG. P.FlessaK. W. (2017). Conservation paleobiology: Science and practice, Chicago: University of Chicago Press.
65
DietlG. P.FlessaK. W. (2018). “Should conservation paleobiologists save the world on their own time?” in Marine conservation Paleobiology topics in Geobiology. eds. TylerC. L.SchneiderC. L. (Cham: Springer International Publishing), 11–22. doi: 10.1007/978-3-319-73795-9_2
66
DietlG. P.KidwellS. M.BrennerM.BurneyD. A.FlessaK. W.JacksonS. T.et al. (2015). Conservation paleobiology: leveraging knowledge of the past to inform conservation and restoration. Annu. Rev. Earth Planet. Sci.43, 79–103. doi: 10.1146/annurev-earth-040610-133349
67
DietlG. P.SmithJ. A. (2017). Live-dead analysis reveals long-term response of the estuarine bivalve community to water diversions along the Colorado River. Ecol. Eng.106, 749–756. doi: 10.1016/j.ecoleng.2016.09.013
68
DietlG. P.SmithJ. A.DurhamS. R. (2019). Discounting the past: the undervaluing of paleontological data in conservation science. Front. Ecol. Evol.7, 108. doi: 10.3389/fevo.2019.00108
69
DillonE. M.McCauleyD. J.Morales-SaldañaJ. M.LeonardN. D.ZhaoJ.O’DeaA. (2021). Fossil dermal denticles reveal the preexploitation baseline of a Caribbean coral reef shark community. Proc. Natl. Acad. Sci.118:e2017735118. doi: 10.1073/pnas.2017735118
70
DurhamS. R.DietlG. P. (2015). Perspectives on geohistorical data among oyster restoration professionals in the United States. J. Shellfish Res.34, 227–239. doi: 10.2983/035.034.0204
71
EronenJ. T.PollyP. D.FredM.DamuthJ.FrankD. C.MosbruggerV.et al. (2010). Ecometrics: the traits that bind the past and present together. Integr. Zool.5, 88–101. doi: 10.1111/j.1749-4877.2010.00192.x
72
EvelyA. C.FazeyI.LambinX.LambertE.AllenS.PinardM. (2010). Defining and evaluating the impact of cross-disciplinary conservation research. Environ. Conserv.37, 442–450. doi: 10.1017/S0376892910000792
73
FaithJ. T. (2012). Palaeozoological insights into management options for a threatened mammal: southern Africa’s cape mountain zebra (Equus zebra zebra). Divers. Distrib.18, 438–447. doi: 10.1111/j.1472-4642.2011.00841.x
74
FinneganS.AndersonS. C.HarnikP. G.SimpsonC.TittensorD. P.ByrnesJ. E.et al. (2015). Paleontological baselines for evaluating extinction risk in the modern oceans. Science348, 567–570. doi: 10.1126/science.aaa6635
75
FinneyB. P.Gregory-EavesI.SweetmanJ.DouglasM. S. V.SmolJ. P. (2000). Impacts of climatic change and fishing on Pacific salmon abundance over the past 300 years. Science290, 795–799. doi: 10.1126/science.290.5492.795
76
FlessaK. (2002). Conservation paleobiology. Am. Paleontol.10, 2–5.
77
FlessaK. W. (2017). “Putting the dead to work: translational paleoecology,” in Conservation paleobiology: Science and practice. eds. DietlG. P.FlessaK. W. (Chicago: University of Chicago Press), 283–289.
78
FooteM.MillerA. I. (2007). Principles of paleontology (3rd edition). W.H. Freeman and Company.
79
FooteM.SepkoskiJ. J. (1999). Absolute measures of the completeness of the fossil record. Nature398, 415–417. doi: 10.1038/18872
80
FordhamD. A.JacksonS. T.BrownS. C.HuntleyB.BrookB. W.Dahl-JensenD.et al. (2020). Using paleo-archives to safeguard biodiversity under climate change. Science369:eabc5654. doi: 10.1126/science.abc5654
81
FosterD. R.MotzkinG. (1998). Ecology and conservation in the cultural landscape of New England: lessons from nature’s history. Northeast. Nat.5, 111–126. doi: 10.2307/3858582
82
FraserD.SoulL. C.TóthA. B.BalkM. A.EronenJ. T.Pineda-MunozS.et al. (2021). Investigating biotic interactions in deep time. Trends Ecol. Evol.36, 61–75. doi: 10.1016/j.tree.2020.09.001
83
FriedmanW. R.HalpernB. S.McLeodE.BeckM. W.DuarteC. M.KappelC. V.et al. (2020). Research priorities for achieving healthy marine ecosystems and human communities in a changing climate. Front. Mar. Sci.7, 5. doi: 10.3389/fmars.2020.00005
84
FunkW. C.ForesterB. R.ConverseS. J.DarstC.MoreyS. (2019). Improving conservation policy with genomics: a guide to integrating adaptive potential into U.S. endangered species act decisions for conservation practitioners and geneticists. Conserv. Genet.20, 115–134. doi: 10.1007/s10592-018-1096-1
85
GameE. T.MeijaardE.SheilD.McDonald-MaddenE. (2014). Conservation in a wicked complex world; challenges and solutions. Conserv. Lett.7, 271–277. doi: 10.1111/conl.12050
86
GorhamE.BrushG. S.GraumlichL. J.RosenzweigM. L.JohnsonA. H. (2001). The value of paleoecology as an aid to monitoring ecosystems and landscapes, chiefly with reference to North America. Environ. Rev.9, 99–126. doi: 10.1139/a01-003
87
GraceM.AkçakayaH. R.BennettE.Hilton-TaylorC.LongB.Milner-GullandE. J.et al. (2019). Using historical and palaeoecological data to inform ambitious species recovery targets. Philos. Trans. R. Soc. B Biol. Sci.374:20190297. doi: 10.1098/rstb.2019.0297
88
GrahamR. W. (1988). The role of climatic change in the design of biological reserves: the paleoecological perspective for conservation biology. Conserv. Biol.2, 391–394.
89
GraysonD. K. (2001). The archaeological record of human impacts on animal populations. J. World Prehistory15, 1–68. doi: 10.1023/A:1011165119141
90
GroffD. V.McDonough MacKenzieC.PierJ. Q.ShafferA. B.DietlG. P. (2022). Quantifying the impact of conservation paleobiology research. Geological Society of America Abstracts with Programs, 54. doi: 10.1130/abs/2022AM-383267
91
GuerreroA. M.McAllisterR. R. J.CorcoranJ.WilsonK. A. (2013). Scale mismatches, conservation planning, and the value of social-network analyses. Conserv. Biol.27, 35–44. doi: 10.1111/j.1523-1739.2012.01964.x
92
Guerrero-ArenasA.Jiménez-HidalgoE. (2015). El registro fósil y la conservación de la biodiversidad actual. Ciencia y Mar23, 67–75.
93
HadlyE. A. (1996). Influence of late-Holocene climate on northern Rocky Mountain mammals. Quat. Res.46, 298–310. doi: 10.1006/qres.1996.0068
94
HadlyE. A. (1999). Fidelity of terrestrial vertebrate fossils to a modern ecosystem. Palaeogeogr. Palaeoclimatol. Palaeoecol.149, 389–409. doi: 10.1016/S0031-0182(98)00214-4
95
HallettL. M.MorelliT. L.GerberL. R.MoritzM. A.SchwartzM. W.StephensonN. L.et al. (2017). Navigating translational ecology: creating opportunities for scientist participation. Front. Ecol. Environ.15, 578–586. doi: 10.1002/fee.1734
96
HalpernB. S.SelkoeK. A.MicheliF.KappelC. V. (2007). Evaluating and ranking the vulnerability of global marine ecosystems to anthropogenic threats. Conserv. Biol.21, 1301–1315. doi: 10.1111/j.1523-1739.2007.00752.x
97
HalpernB. S.WalbridgeS.SelkoeK. A.KappelC. V.MicheliF.D’AgrosaC.et al. (2008). A global map of human impact on marine ecosystems. Science319, 948–952. doi: 10.1126/science.1149345
98
HarfootM. B. J.JohnstonA.BalmfordA.BurgessN. D.ButchartS. H. M.DiasM. P.et al. (2021). Using the IUCN red list to map threats to terrestrial vertebrates at global scale. Nat. Ecol. Evol.5, 1510–1519. doi: 10.1038/s41559-021-01542-9
99
HarnikP. G.LotzeH. K.AndersonS. C.FinkelZ. V.FinneganS.LindbergD. R.et al. (2012). Extinctions in ancient and modern seas. Trends Ecol. Evol.27, 608–617. doi: 10.1016/j.tree.2012.07.010
100
HeinselmanM. L.WrightH. E. (1973). The ecological role of fire in natural conifer forests of western and northern North America. Quat. Res.3, 317–318. doi: 10.1016/0033-5894(73)90001-X
101
HesterbergS. G.HerbertG. S.PluckhahnT. J.HarkeR. M.Al-QattanN. M.DukeC. T.et al. (2020). Prehistoric baseline reveals substantial decline of oyster reef condition in a Gulf of Mexico conservation priority area. Biol. Lett.16:20190865. doi: 10.1098/rsbl.2019.0865
102
HobbsR. J.HiggsE.HallC. M.BridgewaterP.ChapinF. S.IIIEllisE. C.et al. (2014). Managing the whole landscape: historical, hybrid, and novel ecosystems. Front. Ecol. Environ.12, 557–564. doi: 10.1890/130300
103
HohenloheP. A.FunkW. C.RajoraO. P. (2021). Population genomics for wildlife conservation and management. Mol. Ecol.30, 62–82. doi: 10.1111/mec.15720
104
HulmeP. E. (2014). Bridging the knowing–doing gap: know-who, know-what, know-why, know-how and know-when. J. Appl. Ecol.51, 1131–1136. doi: 10.1111/1365-2664.12321
105
HuntleyB. (1990). Studying global change: the contribution of quaternary palynology. Glob. Planet. Change2, 53–61. doi: 10.1016/0921-8181(90)90033-9
106
IUCN (2022). The IUCN red list of threatened species. IUCN Red List Threat. Species. Available at:https://www.iucnredlist.org/en
107
JacksonJ. B. C. (1997). Reefs since Columbus. Coral Reefs16, S23–S32. doi: 10.1007/s003380050238
108
JacksonJ. B. C. (2001). What was natural in the coastal oceans?Proc. Natl. Acad. Sci.98, 5411–5418. doi: 10.1073/pnas.091092898
109
JacksonJ. B. C.ErwinD. H. (2006). What can we learn about ecology and evolution from the fossil record?Trends Ecol. Evol.21, 322–328. doi: 10.1016/j.tree.2006.03.017
110
JacksonS. T.HobbsR. J. (2009). Ecological restoration in the light of ecological history. Science325, 567–569. doi: 10.1126/science.1172977
111
JacksonJ. B. C.KirbyM. X.BergerW. H.BjorndalK. A.BotsfordL. W.BourqueB. J.et al. (2001). Historical overfishing and the recent collapse of coastal ecosystems. Science293, 629–637. doi: 10.1126/science.1059199
112
JacksonS. T.OverpeckJ. T. (2000). Responses of plant populations and communities to environmental changes of the late quaternary. Paleobiology26, 194–220. doi: 10.1017/S0094837300026932
113
JacobsonS. K. (1990). Graduate education in conservation biology. Conserv. Biol.4, 431–440. doi: 10.1111/j.1523-1739.1990.tb00318.x
114
JacobsonS. K.McDuffM. D. (1998). Training idiot savants: the lack of human dimensions in conservation biology. Conserv. Biol.12, 263–267.
115
JacobsonS. K.RobinsonJ. G. (1990). Training the new conservationist: cross-disciplinary education in the 1990s. Environ. Conserv.17, 319–327. doi: 10.1017/S0376892900032768
116
JansenE.OverpeckJ.BriffaK.DuplessyJ.JoosF.Masson-DelmotteV.et al. (2007). “The physical science basis,” in Contribution of working group I to the fourth assessment report of the intergovernmental panel on climate change. eds. SolomonS.QinD.ManningM.ChenZ.MarquisM.AverytK.et al. (Cambridge: Cambridge University Press), 433–497.
117
KadykaloA. N.BuxtonR. T.MorrisonP.AndersonC. M.BickertonH.FrancisC. M.et al. (2021). Bridging research and practice in conservation. Conserv. Biol.35, 1725–1737. doi: 10.1111/cobi.13732
118
KareivaP.MarvierM. (2012). What is conservation science?Bioscience62, 962–969. doi: 10.1525/bio.2012.62.11.5
119
KeaneR. E.HessburgP. F.LandresP. B.SwansonF. J. (2009). The use of historical range and variability (HRV) in landscape management. For. Ecol. Manag.258, 1025–1037. doi: 10.1016/j.foreco.2009.05.035
120
KelleyP. H.DietlG. P. (2022). Core competencies for training conservation paleobiology students in a wicked world. Front. Ecol. Evol.10, 851014. doi: 10.3389/fevo.2022.851014
121
KelleyP. H.DietlG. P.VisaggiC. C. (2018). “Training tomorrow’s conservation paleobiologists,” in Marine conservation Paleobiology topics in Geobiology. eds. TylerC. L.SchneiderC. L. (Cham: Springer International Publishing), 209–225. doi: 10.1007/978-3-319-73795-9_9
122
KelleyP. H.DietlG. P.VisaggiC. C. (2019). Model for improved undergraduate training in translational conservation science. Conserv. Sci. Pract.1:e5. doi: 10.1111/csp2.5
123
KidwellS. M. (2002). Time-averaged molluscan death assemblages: palimpsests of richness, snapshots of abundance. Geology30, 803–806. doi: 10.1130/0091-7613(2002)030<0803:TAMDAP>2.0.CO;2
124
KidwellS. M. (2007). Discordance between living and death assemblages as evidence for anthropogenic ecological change. Proc. Natl. Acad. Sci.104, 17701–17706. doi: 10.1073/pnas.0707194104
125
KidwellS. M. (2013). Time-averaging and fidelity of modern death assemblages: building a taphonomic foundation for conservation palaeobiology. Palaeontology56, 487–522. doi: 10.1111/pala.12042
126
KidwellS. M. (2015). Biology in the Anthropocene: challenges and insights from young fossil records. Proc. Natl. Acad. Sci.112, 4922–4929. doi: 10.1073/pnas.1403660112
127
KidwellS. M.FlessaK. W. (1996). The quality of the fossil record: populations, species, and communities. Annu. Rev. Earth Planet. Sci.24, 433–464. doi: 10.1146/annurev.earth.24.1.433
128
KidwellS. M.RothfusT. A.BestM. M. R. (2001). Sensitivity of taphonomic signatures to sample size, sieve size, damage scoring system, and target taxa. PALAIOS16, 26–52. doi: 10.1669/0883-1351(2001)016<0026:SOTSTS>2.0.CO;2
129
KidwellS. M.TomasovychA. (2013). Implications of time-averaged death assemblages for ecology and conservation biology. Annu. Rev. Ecol. Evol. Syst.44, 539–563. doi: 10.1146/annurev-ecolsys-110512-135838
130
KiesslingW.RajaN. B.RodenV. J.TurveyS. T.SaupeE. E. (2019). Addressing priority questions of conservation science with palaeontological data. Philos. Trans. R. Soc. B Biol. Sci.374:20190222. doi: 10.1098/rstb.2019.0222
131
KnightA. T.CowlingR. M.RougetM.BalmfordA.LombardA. T.CampbellB. M. (2008). Knowing but not doing: selecting priority conservation areas and the research–implementation gap. Conserv. Biol.22, 610–617. doi: 10.1111/j.1523-1739.2008.00914.x
132
KosnikM. A.HuaQ.KaufmanD. S.WüstR. A. (2009). Taphonomic bias and time-averaging in tropical molluscan death assemblages: differential shell half-lives in great barrier reef sediment. Paleobiology35, 565–586. doi: 10.1666/0094-8373-35.4.565
133
KowalewskiM.GoodfriendG. A.FlessaK. W. (1998). High-resolution estimates of temporal mixing within shell beds: the evils and virtues of time-averaging. Paleobiology24, 287–304. doi: 10.1666/0094-8373(1998)024[0287:HEOTMW]2.3.CO;2
134
LangholzJ. A.AbelesA. (2014). Rethinking postgraduate education for marine conservation. Mar. Policy43, 372–375. doi: 10.1016/j.marpol.2013.06.014
135
LauranceW. F.KosterH.GrootenM.AndersonA. B.ZuidemaP. A.ZwickS.et al. (2012). Making conservation research more relevant for conservation practitioners. Biol. Conserv.153, 164–168. doi: 10.1016/j.biocon.2012.05.012
136
LawlerJ. J.AckerlyD. D.AlbanoC. M.AndersonM. G.DobrowskiS. Z.GillJ. L.et al. (2015). The theory behind, and the challenges of, conserving nature’s stage in a time of rapid change. Conserv. Biol.29, 618–629. doi: 10.1111/cobi.12505
137
LawlerJ. J.AukemaJ. E.GrantJ. B.HalpernB. S.KareivaP.NelsonC. R.et al. (2006). Conservation science: a 20-year report card. Front. Ecol. Environ.4, 473–480. doi: 10.1890/1540-9295(2006)4[473:CSAYRC]2.0.CO;2
138
LikensG.LindenmayerD. (2018). Effective ecological monitoring, Clayton: Csiro Publishing.
139
LindenmayerD. B.LikensG. E.AndersenA.BowmanD.BullC. M.BurnsE.et al. (2012). Value of long-term ecological studies. Austral Ecol.37, 745–757. doi: 10.1111/j.1442-9993.2011.02351.x
140
LotzeH. K.LenihanH. S.BourqueB. J.BradburyR. H.CookeR. G.KayM. C.et al. (2006). Depletion, degradation, and recovery potential of estuaries and coastal seas. Science312, 1806–1809. doi: 10.1126/science.1128035
141
LouysJ. (2012). Paleontology in ecology and conservation. Springer: Berlin, Heidelberg. doi: 10.1007/978-3-642-25038-5.
142
LouysJ.PriceG. J.TravouillonK. J. (2021). Space-time equivalence in the fossil record, with a case study from Pleistocene Australia. Quat. Sci. Rev.253:106764. doi: 10.1016/j.quascirev.2020.106764
143
MacDonaldG. M.BennettK. D.JacksonS. T.ParducciL.SmithF. A.SmolJ. P.et al. (2008). Impacts of climate change on species, populations and communities: palaeobiogeographical insights and frontiers. Prog. Phys. Geogr.32, 139–172. doi: 10.1177/0309133308094081
144
MarshallF. E.WingardG. L.PittsP. A. (2014). Estimates of natural salinity and hydrology in a subtropical estuarine ecosystem: implications for Greater Everglades restoration. Estuar. Coasts37, 1449–1466. doi: 10.1007/s12237-014-9783-8
145
MartinL. J.BlosseyB.EllisE. (2012). Mapping where ecologists work: biases in the global distribution of terrestrial ecological observations. Front. Ecol. Environ.10, 195–201. doi: 10.1890/110154
146
MartinP. S.KleinR. G. (1989). Quaternary extinctions: A prehistoric revolutionTucson: University of Arizona Press.
147
MartinP. S.WrightH. E. (1967). Pleistocene extinctions; the search for a cause. New Haven: Yale University Press. Available at: https://scholar.google.com/scholar_lookup?title=Pleistocene+extinctions%3B+the+search+for+a+cause&author=Martin%2C+Paul+S.+%28Paul+Schultz%29&publication_year=1967 (Accessed July 31, 2022).
148
MeffeG. K. (1998). Softening the boundaries. Conserv. Biol.12, 259–260. doi: 10.1046/j.1523-1739.1998.012002259.x
149
MeineC.SouléM.NossR. F. (2006). “A mission-driven discipline”: the growth of conservation biology. Conserv. Biol.20, 631–651. doi: 10.1111/j.1523-1739.2006.00449.x
150
MillerJ. H.BehrensmeyerA. K.DuA.LyonsS. K.PattersonD.TóthA.et al. (2014). Ecological fidelity of functional traits based on species presence-absence in a modern mammalian bone assemblage (Amboseli, Kenya). Paleobiology40, 560–583. doi: 10.1666/13062
151
MoherD.LiberatiA.TetzlaffJ.AltmanD. G. (2009). Preferred reporting items for systematic reviews and meta-analyses: the PRISMA statement. Ann. Intern. Med.151, 264–269. doi: 10.7326/0003-4819-151-4-200908180-00135
152
MoslemiJ. M.CappsK. A.JohnsonM. S.MaulJ.McIntyreP. B.MelvinA. M.et al. (2009). Training tomorrow’s environmental problem solvers: an integrative approach to graduate education. Bioscience59, 514–521. doi: 10.1525/bio.2009.59.6.10
153
MuirM. J.SchwartzM. W. (2009). Academic research training for a nonacademic workplace: a case study of graduate student alumni who work in conservation. Conserv. Biol.23, 1357–1368. doi: 10.1111/j.1523-1739.2009.01325.x
154
NamsV. O.MowatG.PanianM. A. (2006). Determining the spatial scale for conservation purposes: an example with grizzly bears. Biol. Conserv.128, 109–119. doi: 10.1016/j.biocon.2005.09.020
155
National Research Council (2005). The geological record of ecological dynamics: Understanding the biotic effects of future environmental change, Washington D.C.: National Academies Press.
156
NewingH. (2010). Interdisciplinary training in environmental conservation: definitions, progress and future directions. Environ. Conserv.37, 410–418. doi: 10.1017/S0376892910000743
157
NossR. F. (1997). Editorial: the failure of universities to produce conservation biologists. Conserv. Biol.11, 1267–1269.
158
NossR. F. (2007). Values are a good thing in conservation biology. Conserv. Biol. J. Soc. Conserv. Biol.21, 18–20. doi: 10.1111/j.1523-1739.2006.00637.x
159
NuñezM. A.ChiuffoM. C.PauchardA.ZenniR. D. (2021). Making ecology really global. Trends Ecol. Evol.36, 766–769. doi: 10.1016/j.tree.2021.06.004
160
O’DeaA.DillonE. M.AltieriA. H.LeporeM. L. (2017). Look to the past for an optimistic future. Conserv. Biol.31, 1221–1222. doi: 10.1111/cobi.12997
161
OlszewskiT. (1999). Taking advantage of time-averaging. Paleobiology25, 226–238. doi: 10.1017/S009483730002652X
162
OverlandI.Fossum SagbakkenH.IsataevaA.KolodzinskaiaG.SimpsonN. P.TrisosC.et al. (2021). Funding flows for climate change research on Africa: where do they come from and where do they go?Clim. Dev.14, 705–724. doi: 10.1080/17565529.2021.1976609
163
PandolfiJ. M.BradburyR. H.SalaE.HughesT. P.BjorndalK. A.CookeR. G.et al. (2003). Global trajectories of the long-term decline of coral reef ecosystems. Science301, 955–958. doi: 10.1126/science.1085706
164
PaulyD. (1995). Anecdotes and the shifting baseline syndrome of fisheries. Trends Ecol. Evol.10:430. doi: 10.1016/S0169-5347(00)89171-5
165
PietriD. M.GurneyG. G.Benitez-VinaN.KuklokA.MaxwellS. M.WhitingL.et al. (2013). Practical recommendations to help students bridge the research–implementation gap and promote conservation. Conserv. Biol.27, 958–967. doi: 10.1111/cobi.12089
166
PimientoC.AntonelliA.. (2022). Integrating deep-time palaeontology in conservation prioritisation. Frontiers in Ecology and Evolution10:959364. doi: 10.3389/fevo.2022.959364
167
PimientoC.BaconC. D.SilvestroD.HendyA.JaramilloC.ZizkaA.et al. (2020). Selective extinction against redundant species buffers functional diversity. Proc. R. Soc. B Biol. Sci.287:20201162. doi: 10.1098/rspb.2020.1162
168
PimientoC.GriffinJ. N.ClementsC. F.SilvestroD.VarelaS.UhenM. D.et al. (2017). The Pliocene marine megafauna extinction and its impact on functional diversity. Nat. Ecol. Evol.1, 1100–1106. doi: 10.1038/s41559-017-0223-6
169
PooleyS. (2014). Historians are from Venus, ecologists are from Mars. Conserv. Biol.27, 1481–1483. doi: 10.1111/cobi.12106
170
PresseyR. L.CabezaM.WattsM. E.CowlingR. M.WilsonK. A. (2007). Conservation planning in a changing world. Trends Ecol. Evol.22, 583–592. doi: 10.1016/j.tree.2007.10.001
171
R Core Team (2022). R: A language and environment for statistical computing. R Foundation for Statistical Computing. Vienna, Austria Available. at: https://www.google.com/url?q=https://www.R-project.org/&sa=D&source=docs&ust=1659956360867135&usg=AOvVaw3YlI-HjUJeZX0Tofrjx7X3. (Accessed July 1, 2022).
172
RajaN. B.DunneE. M.MatiwaneA.KhanT. M.NätscherP. S.GhilardiA. M.et al. (2022). Colonial history and global economics distort our understanding of deep-time biodiversity. Nat. Ecol. Evol.6, 145–154. doi: 10.1038/s41559-021-01608-8
173
RickT. C.LockwoodR. (2013). Integrating paleobiology, archeology, and history to inform biological conservation. Conserv. Biol.27, 45–54. doi: 10.1111/j.1523-1739.2012.01920.x
174
RippleW. J.WolfC.NewsomeT. M.GalettiM.AlamgirM.CristE.et al. (2017). World scientists’ warning to humanity: a second notice. Bioscience67, 1026–1028. doi: 10.1093/biosci/bix125
175
RullV.Vegas-VilarrúbiaT. (2011). What is long-term in ecology? Trends Ecol. Evolution26, 3–4. doi: 10.1016/j.tree.2010.10.002
176
SavareseM. (2018). “Effectively connecting conservation paleobiological research to environmental management: examples from Greater Everglades’ restoration of Southwest Florida,” in Marine conservation Paleobiology topics in Geobiology. eds. TylerC. L.SchneiderC. L. (Cham: Springer International Publishing), 55–73. doi: 10.1007/978-3-319-73795-9_4
177
SchmidtA. H.RobbinsA. S. T.CombsJ. K.FreeburgA.JespersonR. G.RogersH. S.et al. (2012). A new model for training graduate students to conduct interdisciplinary, interorganizational, and international research. Bioscience62, 296–304. doi: 10.1525/bio.2012.62.3.11
178
ShaferA. B. A.WolfJ. B. W.AlvesP. C.BergströmL.BrufordM. W.BrännströmI.et al. (2015). Genomics and the challenging translation into conservation practice. Trends Ecol. Evol.30, 78–87. doi: 10.1016/j.tree.2014.11.009
179
ShawJ. O.BriggsD. E. G.HullP. M. (2020). Fossilization potential of marine assemblages and environments. Geology49, 258–262. doi: 10.1130/G47907.1
180
SibertE.NorrisR.CuevasJ.GravesL. (2016). Eighty-five million years of Pacific Ocean gyre ecosystem structure: long-term stability marked by punctuated change. Proc. R. Soc. B Biol. Sci.283:20160189. doi: 10.1098/rspb.2016.0189
181
SimõesM. G.RodriguesS. C.KowalewskiM. (2009). Bouchardia rosea, a vanishing brachiopod species of the Brazilian platform: taphonomy, historical ecology and conservation paleobiology. Hist. Biol21: 123–137. doi: 10.1080/08912960903315559
182
SmithJ. A.DietlG. P.DurhamS. R. (2020). Increasing the salience of marine live–dead data in the Anthropocene. Paleobiology46, 279–287. doi: 10.1017/pab.2020.19
183
SmithJ. A.DurhamS. R.DietlG. P. (2018). “Conceptions of long-term data among marine conservation biologists and what conservation paleobiologists need to know,” in Marine conservation Paleobiology topics in Geobiology. eds. TylerC. L.SchneiderC. L. (Cham: Springer International Publishing), 23–54. doi: 10.1007/978-3-319-73795-9_3
184
SmithF. A.Elliott SmithE. A.VillaseñorA.ToméC. P.LyonsS. K.NewsomeS. D. (2022). Late Pleistocene megafauna extinction leads to missing pieces of ecological space in a north American mammal community. Proc. Natl. Acad. Sci.119:e2115015119. doi: 10.1073/pnas.2115015119
185
SmolJ. P. (1992). Paleolimnology: an important tool for effective ecosystem management. J. Aquat. Ecosyst. Health1, 49–58. doi: 10.1007/BF00044408
186
SmolJ. P. (2017). “Conservation biology and environmental change: a paleolimnological perspective,” in Conservation paleobiology: Science and practice. eds. DietlG. P.FlessaK. W. (Chicago: University of Chicago Press), 31–43.
187
SmolJ. P.CummingB. F.DixitA. S.DixitS. S. (2002). Tracking recovery patterns in acidified lakes: a paleolimnological perspective. Restor. Ecol.6, 318–326. doi: 10.1046/j.1526-100X.1998.06402.x
188
SouléM. E. (1985). What is conservation biology?Bioscience35, 727–734. doi: 10.2307/1310054
189
SouléM. E.PressD. (1998). What is environmental studies?Bioscience48, 397–405. doi: 10.2307/1313379
190
SovacoolB. K.DanielsC.AbdulRafiuA. (2022). Science for whom? Examining the data quality, themes, and trends in 30 years of public funding for global climate change and energy research. Energy Res. Soc. Sci.89:102645. doi: 10.1016/j.erss.2022.102645
191
SpaldingC.HullP. M. (2021). Towards quantifying the mass extinction debt of the Anthropocene. Proc. R. Soc. B Biol. Sci.288:20202332. doi: 10.1098/rspb.2020.2332
192
StefanoudisP. V.LicuananW. Y.MorrisonT. H.TalmaS.VeitayakiJ.WoodallL. C. (2021). Turning the tide of parachute science. Curr. Biol.31, R184–R185. doi: 10.1016/j.cub.2021.01.029
193
StrayerD. L.DudgeonD. (2010). Freshwater biodiversity conservation: recent progress and future challenges. J. North Am. Benthol. Soc.29, 344–358. doi: 10.1899/08-171.1
194
StrayerD.GlitzensteinJ. S.JonesC. G.KolasaJ.LikensG. E.McDonnellM. J.et al. (1986). Long-term ecological studies: an illustrated account of their design, operation, and importance to ecology. Occas. Publ. Inst. Ecosyst. Stud.2, 1–38.
195
SutherlandW. J.AdamsW. M.AronsonR. B.AvelingR.BlackburnT. M.BroadS.et al. (2009). One hundred questions of importance to the conservation of global biological diversity. Conserv. Biol.23, 557–567. doi: 10.1111/j.1523-1739.2009.01212.x
196
SutherlandW. J.TaylorN. G.MacFarlaneD.AmanoT.ChristieA. P.DicksL. V.et al. (2019). Building a tool to overcome barriers in research-implementation spaces: the conservation evidence database. Biol. Conserv.238:108199. doi: 10.1016/j.biocon.2019.108199
197
SwainA. M. (1973). A history of fire and vegetation in northeastern Minnesota as recorded in lake sediments. Quat. Res.3, 383–396. doi: 10.1016/0033-5894(73)90004-5
198
SwetnamT. W.AllenC. D.BetancourtJ. L. (1999). Applied historical ecology: using the past to manage for the future. Ecol. Appl.9, 1189–1206. doi: 10.1890/1051-0761(1999)009[1189:AHEUTP]2.0.CO;2
199
SzabóP. (2015). Historical ecology: past, present and future. Biol. Rev.90, 997–1014. doi: 10.1111/brv.12141
200
TerryR. C. (2010). The dead do not lie: using skeletal remains for rapid assessment of historical small-mammal community baselines. Proc. R. Soc. B Biol. Sci.277, 1193–1201. doi: 10.1098/rspb.2009.1984
201
TerryR. C. (2018). Isotopic niche variation from the Holocene to today reveals minimal partitioning and individualistic dynamics among four sympatric desert mice. J. Anim. Ecol.87, 173–186. doi: 10.1111/1365-2656.12771
202
TimbrookJ.JohnsonJ. R.EarleD. D. (1982). Vegetation burning by the Chumash. J. Calif. Gt. Basin Anthropol.4, 163–186.
203
TomašovýchA.KidwellS. M.BarberR. F. (2016). Inferring skeletal production from time-averaged assemblages: skeletal loss pulls the timing of production pulses towards the modern period. Paleobiology42, 54–76. doi: 10.1017/pab.2015.30
204
TomlinsonS.TudorE. P.TurnerS. R.CrossS.RivieraF.StevensJ.et al. (2021). Leveraging the value of conservation physiology for ecological restoration. Restor. Ecol.:e13616. doi: 10.1111/rec.13616
205
ToomeyA. H.KnightA. T.BarlowJ. (2017). Navigating the space between research and implementation in conservation. Conserv. Lett.10, 619–625. doi: 10.1111/conl.12315
206
TraversH.WalshJ.VogtS.ClementsT.Milner-GullandE. J. (2021). Delivering behavioral change at scale: what conservation can learn from other fields. Biol. Conserv.257:109092. doi: 10.1016/j.biocon.2021.109092
207
TressG.TressB.FryG. (2005). Clarifying integrative research concepts in landscape ecology. Landsc. Ecol.20, 479–493. doi: 10.1007/s10980-004-3290-4
208
TrimbleM. J.van AardeR. J. (2012). Geographical and taxonomic biases in research on biodiversity in human-modified landscapes. Ecosphere3:art119. doi: 10.1890/ES12-00299.1
209
TschoppE.NapoliJ. G.WenckerL. C. M.DelfinoM.UpchurchP. (2022). How to render species comparable taxonomic units through deep time: a case study on intraspecific osteological variability in extant and extinct lacertid lizards. Syst. Biol.71, 875–900. doi: 10.1093/sysbio/syab078
210
TurveyS. T.SaupeE. E. (2019). Insights from the past: unique opportunity or foreign country? Philos. Trans. R. Soc. B Biol. Sci.374:20190208. doi: 10.1098/rstb.2019.0208
211
TylerC. L.SchneiderC. L. (2018). “An overview of conservation paleobiology,” in Marine conservation Paleobiology topics in Geobiology. eds. TylerC. L.SchneiderC. L. (Cham: Springer International Publishing), 1–10. doi: 10.1007/978-3-319-73795-9_1
212
Van DevenderT. R.SpauldingW. G. (1979). Development of vegetation and climate in the southwestern United States. Science204, 701–710.
213
Vegas-VilarrúbiaT.RullV.MontoyaE.SafontE. (2011). Quaternary palaeoecology and nature conservation: a general review with examples from the neotropics. Quat. Sci. Rev.30, 2361–2388. doi: 10.1016/j.quascirev.2011.05.006
214
WalshJ. C.DicksL. V.SutherlandW. J. (2015). The effect of scientific evidence on conservation practitioners’ management decisions. Conserv. Biol.29, 88–98. doi: 10.1111/cobi.12370
215
WhittakerR. J.AraújoM. B.JepsonP.LadleR. J.WatsonJ. E. M.WillisK. J. (2005). Conservation biogeography: assessment and prospect. Divers. Distrib.11, 3–23. doi: 10.1111/j.1366-9516.2005.00143.x
216
WiekA.WithycombeL.RedmanC. L. (2011). Key competencies in sustainability: a reference framework for academic program development. Sustain. Sci.6, 203–218. doi: 10.1007/s11625-011-0132-6
217
WikelskiM.CookeS. J. (2006). Conservation physiology. Trends Ecol. Evol.21, 38–46. doi: 10.1016/j.tree.2005.10.018
218
WillisK. J.BaileyR. M.BhagwatS. A.BirksH. J. B. (2010). Biodiversity baselines, thresholds and resilience: testing predictions and assumptions using palaeoecological data. Trends Ecol. Evol.25, 583–591. doi: 10.1016/j.tree.2010.07.006
219
WillisK. J.BirksH. J. B. (2006). What is natural? The need for a long-term perspective in biodiversity conservation. Science314, 1261–1265. doi: 10.1126/science.1122667
220
WilsonS. E.CummingB. F.SmolJ. P. (1996). Assessing the reliability of salinity inference models from diatom assemblages: an examination of a 219-lake data set from western North America. Can. J. Fish. Aquat. Sci.53, 1580–1594. doi: 10.1139/f96-094
221
WingardG. L.BernhardtC. E.WachnickaA. H. (2017). The role of paleoecology in restoration and resource management: the past as a guide to future decision-making: review and example from the Greater Everglades ecosystem, U.S.A. Front. Ecol. Evol.5, 11. doi: 10.3389/fevo.2017.00011
222
WolfeA. P.BaronJ. S.CornettR. J. (2001). Anthropogenic nitrogen deposition induces rapid ecological changes in alpine lakes of the Colorado front range (USA). J. Paleolimnol.25, 1–7. doi: 10.1023/A:1008129509322
223
WrightH. E. (1974). Landscape development, forest fires, and wilderness management. Science186, 487–495. doi: 10.1126/science.186.4163.487
224
WrightH. E.Jr. (1966). “Stratigraphy of lake sediments and the precision of the paleoclimatic record,” in World climate from 8000 to 0 BC. ed. SawyerJ. S. (London: Royal Meteorological Society), 157–173.
225
WrightH. E.Jr. (1983). Late quaternary environments of the United States. Minneapolis: University of Minnesota Press
226
WrightH. E.Jr.KutzbachJ. E.WebbT. I.RuddimanW. F.Street-PerrottF. A.BartleinP. J. (1993). Global climates since the last glacial maximum. Minneapolis: University of Minnesota Press.
227
YasuharaM.HuangH.-H. M.HullP.RilloM. C.CondamineF. L.TittensorD. P.et al. (2020). Time machine biology: cross-timescale integration of ecology, evolution, and oceanography. Oceanography33, 16–28. doi: 10.5670/oceanog.2020.225
228
ZabinskiC.DavisM. B. (1989). “Hard times ahead for Great Lakes forests: a climate threshold model predicts responses to CO2-induced climate changes,” in The potential effects of global climate change on the United States, Appendix D: Forests. eds. SmithJ. B.TirpakD. (Washington, D.C.: Office of Policy, Planning, and Evaluation) 5–1 to 5–19
229
Zamora-ArroyoF.FlessaK. W. (2009). “Nature’s fair share: finding and allocating water for the Colorado River Delta,” in Conservation of shared environments: Learning from the United States and Mexico. eds. López-HoffmanL.McGovernE. D.VaradyR. G. (Tucson, Arizona: University of Arizona Press), 23–28.
Summary
Keywords
conservation paleobiology, conservation science, cross-disciplinarity, geohistorical records, survey, systematic literature review
Citation
Dillon EM, Pier JQ, Smith JA, Raja NB, Dimitrijević D, Austin EL, Cybulski JD, De Entrambasaguas J, Durham SR, Grether CM, Haldar HS, Kocáková K, Lin C-H, Mazzini I, Mychajliw AM, Ollendorf AL, Pimiento C, Regalado Fernández OR, Smith IE and Dietl GP (2022) What is conservation paleobiology? Tracking 20 years of research and development. Front. Ecol. Evol. 10:1031483. doi: 10.3389/fevo.2022.1031483
Received
30 August 2022
Accepted
31 October 2022
Published
07 December 2022
Volume
10 - 2022
Edited by
Pasquale Raia, University of Naples Federico II, Italy
Reviewed by
Julien Louys, Griffith University, Australia; John P. Smol, Queen’s University, Canada
Updates
Copyright
© 2022 Dillon, Pier, Smith, Raja, Dimitrijević, Austin, Cybulski, De Entrambasaguas, Durham, Grether, Haldar, Kocáková, Lin, Mazzini, Mychajliw, Ollendorf, Pimiento, Regalado Fernández, Smith and Dietl.
This is an open-access article distributed under the terms of the Creative Commons Attribution License (CC BY). The use, distribution or reproduction in other forums is permitted, provided the original author(s) and the copyright owner(s) are credited and that the original publication in this journal is cited, in accordance with accepted academic practice. No use, distribution or reproduction is permitted which does not comply with these terms.
*Correspondence: Erin M. Dillon, erinmdillon@ucsb.eduJansen A. Smith, jansen.smith@fau.edu
†These authors have contributed equally to this work
This article was submitted to Paleoecology, a section of the journal Frontiers in Ecology and Evolution
Disclaimer
All claims expressed in this article are solely those of the authors and do not necessarily represent those of their affiliated organizations, or those of the publisher, the editors and the reviewers. Any product that may be evaluated in this article or claim that may be made by its manufacturer is not guaranteed or endorsed by the publisher.