ORIGINAL RESEARCH article
Front. Ecol. Evol.
Sec. Population, Community, and Ecosystem Dynamics
This article is part of the Research TopicUnderstanding Ecosystem Resilience Through Physiological and Ecological Responses to BushfiresView all 3 articles
Fire as a driver of pyro-thermal niche variation in Acacia
Provisionally accepted- 1University of New South Wales Centre for Ecosystem Science, Sydney, Australia
- 2Western Australia Department of Biodiversity Conservation and Attractions, Bentley Delivery Centre, Australia
Select one of your emails
You have multiple emails registered with Frontiers:
Notify me on publication
Please enter your email address:
If you already have an account, please login
You don't have a Frontiers account ? You can register here
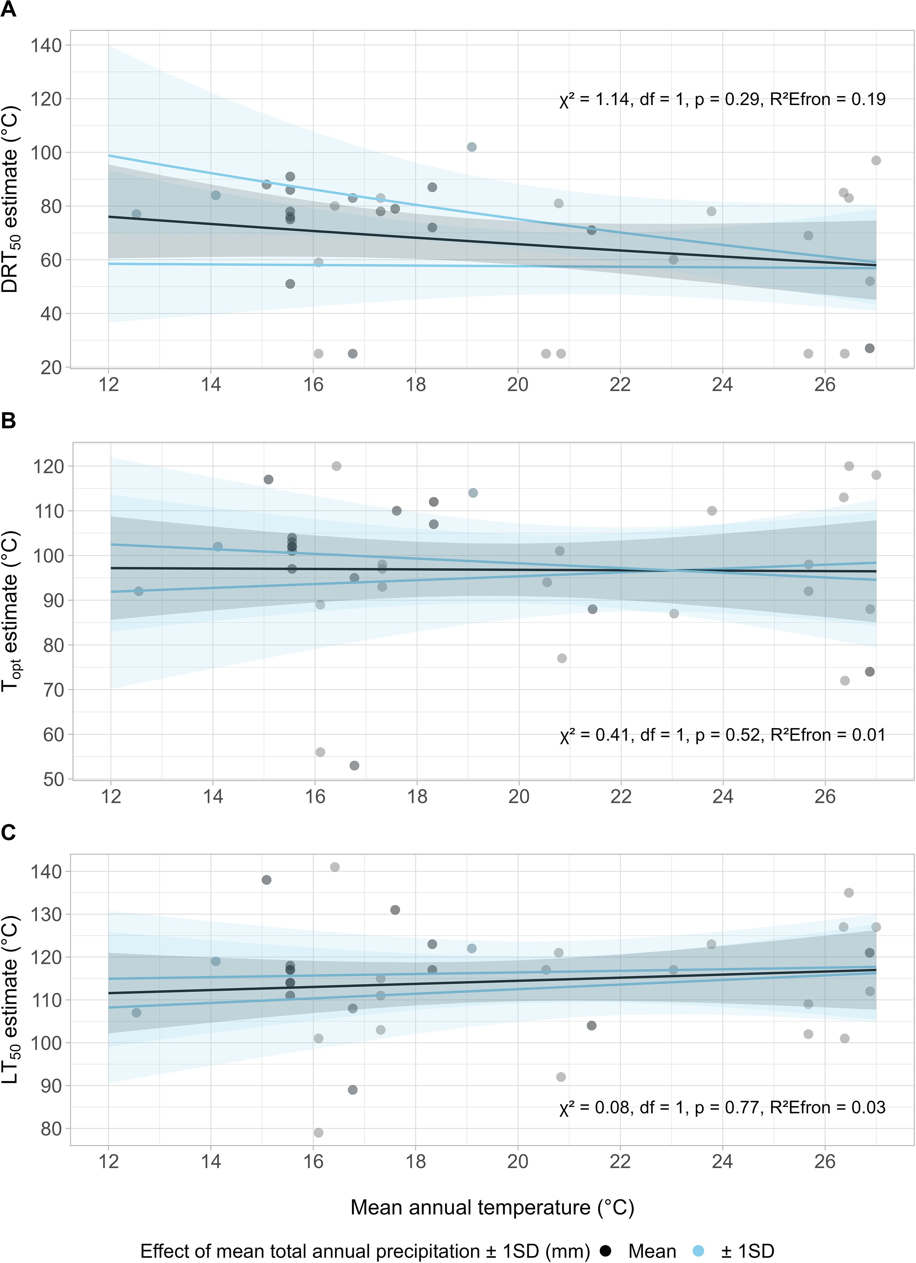
Many plant species have evolved to persist in fire-prone regions under specific fire regimes. Seeds have developed mechanisms, including the breaking of physical seed dormancy by fire-related heat shock, that synchronises germination and seedling emergence with post-fire conditions conducive to successful recruitment. Seeds with physical dormancy can have their dormancy released by high soil temperatures during fire, with documented thermal thresholds varying widely from 60 °C to 150 °C. Generally, these thresholds are believed to be highly phylogenetically conserved, but how ecosystems shape seed thermal thresholds within widespread, geographically diverse genera is unknown. In this study, we sought to understand how soil heating under different fire regimes, seed traits and climate variables all shape pyro-thermal niche metrics, dormancy-break and mortality, of Acacia seeds. Using 35 Acacia species from across 12 vegetation types in Australia, we explored the relationship between seed pyro-thermal niche characteristics and fire return interval (FRI), fuel type (as a proxy for soil heating), mean annual temperature and total annual precipitation. Pyro-thermal niche metrics showed a hump-shaped relationship with both the minimum recommended FRI and fuel type, highlighting the role fire plays in shaping seed thermal thresholds. Climate variables showed no discernible relationship with pyro-thermal niche metrics. These results suggest that the mechanisms that shape the distribution of different seed dormancy classes are different from those that shape variation in pyro-thermal niche metrics. Understanding the processes driving plant population dynamics in fire-prone regions is essential for ecological understanding under a changing climate.
Keywords: heat shock, seed persistence, pyro-thermal niche, Acacia, Fuel characteristics, Fire return interval, fire intensity, Germination
Received: 22 Aug 2025; Accepted: 31 Oct 2025.
Copyright: © 2025 McInnes, Tangney, Chong, Allen and Ooi. This is an open-access article distributed under the terms of the Creative Commons Attribution License (CC BY). The use, distribution or reproduction in other forums is permitted, provided the original author(s) or licensor are credited and that the original publication in this journal is cited, in accordance with accepted academic practice. No use, distribution or reproduction is permitted which does not comply with these terms.
* Correspondence: Sarah  J McInnes, s.mcinnes@unsw.edu.au
Disclaimer: All claims expressed in this article are solely those of the authors and do not necessarily represent those of their affiliated organizations, or those of the publisher, the editors and the reviewers. Any product that may be evaluated in this article or claim that may be made by its manufacturer is not guaranteed or endorsed by the publisher.
