- 1New Zealand Marine Studies Centre, Department of Marine Science, University of Otago, Dunedin, New Zealand
- 2College of Education, University of Otago, Dunedin, New Zealand
Citizen science aims to bridge the gap between science and society by engaging people in understanding the process of science. This is needed to foster informed democratic involvement of critical, environmentally informed citizens. Can these aspirations be facilitated by school-based citizen science that offers opportunity to engage scientifically with environmental issues at a scale with local relevance? This is tested through application of Marine Metre Squared (Mm2), a citizen science initiative for long-term monitoring of the New Zealand intertidal zone. Through direct observation and “hands-on” engagement, participants are involved in place-based learning that connects them with nature. Strong interest from teachers and uptake into school programmes has been key to its success in collecting long term biodiversity data. Through facilitated delivery, the project also has the capacity to meet school curriculum goals and develop the environmental science citizenship capabilities of participants. Assessing the use of Mm2 as a citizen science intervention within schools, we found that it affected science learning, skill development and environmental attitudes. Our findings further demonstrate the effect of extended involvement in a citizen science project, the value of a local issue-focused project for student learning outside the classroom, and how school science education can be enriched through citizen science to also grow civic responsibility for the environment (environmental citizenship).
Introduction
In a rapidly changing world, where pubic understanding and application of science is gaining in importance, a diverse range of approaches are being used by both scientific and educational organizations to move beyond traditional science learning environments (Bonney et al., 2009a; Falk and Dierking, 2002). Citizen science (CS), where the public participates in science research, is one such field of informal science education (Bonney et al., 2009b; Conrad and Hilchey, 2011; Pocock et al., 2017). Key to the value of these informal science experiences is the opportunity for the participants to engage in a hands-on, interactive way, and in subject matter that is directly relevant to their lives and interests (Falk and Dierking, 2010). Specifically, active first hand experiences, within the context of interest-driven projects, have been shown to link science learning to creativity and investigation (Bevan, 2017), increase understanding of key STEM practices, such as experimental design (Osborne, 2014), provide interactions with science professionals that inspire future career pathways (Ayar, 2015) and develop place-based environmental values (Thomashow, 2001).
Assessing the Outcomes of CS as Informal Science Learning
Informal science education and CS strive to foster a culture of excitement about science and increase participant knowledge about an aspect of science, but CS carries a specific aim to give participants an opportunity to actively apply science inquiry skills in novel research (Stylinski et al., 2020). Many CS projects target a narrow skill set, centered on data collection, as might be expected when a project is driven by scientists aiming to generate data and ensure its reliability and robustness (Gray et al., 2017). Thus, the development of CS projects is usually driven by a specific research question ahead of its goals for science education (Bonney et al., 2009a). Despite the prevailing scientific goals of CS to generate quality data (Bonney et al., 2009b), there is increasing focus on understanding the effect of CS projects on the participants themselves and on society (Bela et al., 2016; Kieslinger et al., 2018; Schaefer et al., 2021). With more science organizations and funding agencies investing in CS, evidence of its wider effects is needed to demonstrate the value of CS projects to society, as well as science. Within such evaluation, it is useful to discriminate between immediate and long-term effects.
Within one model of outcomes-based evaluation for CS, outcomes are considered the effects of outputs on a target group, and often measured through pre and post questionnaires (Kieslinger et al., 2018). In contrast, impacts are the long-term changes brought about on a societal level, and measuring the persistence of such perceived change over time is more difficult. For assessing CS outcomes at the individual level, personal learning and development gains are key (e.g., did participants develop new knowledge or skills, increase understanding or attitudes about science). Personal gains (gains such as enjoyment, or other personal satisfaction from engaging) may further lead to change in attitudes or behaviors, as well as an increased sense of ownership and empowerment (Kieslinger et al., 2018). Based on previous work evaluating informal science education (Friedman et al., 2008; Bonney et al., 2009a), a framework was developed by Philips et al. (2019) to describe the learning outcomes from participating in CS. Six learning outcomes were identified including: interest in science and the environment, self-efficacy for science and the environment; motivation for science and the environment; knowledge of science content and the Nature of Science; skills of science inquiry; behaviour and stewardship. However, few CS projects evaluate these outcomes for individual participants, and when they do, the most commonly assessed are an increased interest in science and learning new content knowledge (Bela et al., 2016); only rarely are science inquiry skills assessed (Phillips et al., 2018). Indeed, although CS projects might be particularly interested in assessment of skills with the goal to improve training for data quality, a wide review by Stylinski et al. (2020) found that few projects conduct any kind of robust science skills assessment. Even fewer CS projects assess personal outcomes around a sense of achievement or awareness of interests or values (e.g., Groulx et al., 2017; Phillips et al., 2018) despite the fact that this kind of engagement can contribute to civic action as well as democratization of science (Brossard et al., 2005; Boland, 2011; Herr and Anderson, 2014; Phillips et al., 2018).
However, it is increasingly observed that CS can connect participants to nature in ways that foster change in environmental attitudes (Brossard et al., 2005; Crall et al., 2013; Toomey and Domroese, 2013), and pro-environmental behavior (Heimlich and Ardoin, 2008). Such behaviour change may be brought about by increased awareness of local biodiversity from observation and data collection (Cosquer et al., 2012; Toomey and Domroese, 2013; Johnson et al., 2014; Forrester et al., 2017; Schuttler et al., 2019). It may also arise from emotional connections with nature that are developed through direct experience with the natural world and leads to feelings of responsibility and stewardship (Nisbet et al., 2009; Wals et al., 2014).
Changes in attitude and behavior are critical for addressing a diversity of global environmental problems requiring community-level responsibility (Valencia Sáiz, 2005; Ballard et al., 2017b). In order for CS to promote such environmental citizenship, projects need to build a sense of collaboration and communal responsibility for the environment through place-based situated learning that helps participants make connections between the data they collect and larger environmental problems (Jørgensen and Jørgensen, 2020). This makes it especially important to involve youth, who are still actively forming their values and connections with nature (Haywood, 2016), such that youth inclusive CS projects may generate long lasting impacts (Schuttler et al., 2019). Most assessment of the educational effects of CS have focussed on outcomes for adults. Although many CS projects involve youth (often through schools) only a handful have assessed the effect on these participants. Again, most studies focus on content knowledge that is project specific, with most showing improvement (Zárybnická et al., 2017), although not all (Vitone et al., 2016). One recent study (Lewis and Carson, 2021) showed improvement in science skills, using a retrospective pre and post-test, and other studies showed the value of a CS project for building capacity for environmental agency and conservation action (Bela et al., 2016; Ballard et al., 2017a; Harris et al., 2020). More positive attitudes towards science (Vitone et al., 2016; Doyle et al., 2019) and increased engagement with nature (Schuttler et al., 2019) are also observed, although not specifically measured.
Enhancing Collaboration Between CS and Formal Science Education
Globally, the collaboration between CS and formal science education remains underexplored, with many CS activities still focused only on data collection (Shah and Martinez, 2016; Turrini et al., 2018; Nistor et al., 2019). However, providing opportunities for students to engage in multiple stages of the science process, including data analysis and interpretation, is a powerful way to develop science inquiry skills (Lewis and Carson, 2021). In addition, working on projects that are relevant to their local environment is increasingly recognized as a powerful way to spark curiosity and interest in science, develop understanding of the science, engage positively with nature, and provide opportunity to apply science skills (Trumbull et al., 2000; Bonney et al., 2016; Zárybnická et al., 2017; Schuttler et al., 2019; Blewitt, 2020). Furthermore, place-based experience encourages stewardship and environmental action (Cooper et al., 2007; Lewandowski and Oberhauser, 2017; McKinley et al., 2017). Indeed, it may produce multiple synergistic outcomes such as understanding of the connections existing between science, place, ecosystem, and the impacts of one’s actions on the environment. Such synthesis has been referred to as “environmental science agency,” where youth gain knowledge and skills in environmental science, identify their own interest and expertise in this area and use that expertise and CS practices as a foundation for change (Ballard et al., 2017a). Key factors found to influenced the development of environmental science agency include the time youth spend participating in the program, their relationship to place and the authentic nature of the science. Based on these observations, Ballard et al. (2017a) recommend that CS programs should provide opportunities for youth to engage in rigorous data collection and analysis, share their findings with relevant public and scientific audiences, and, understand ways that they can take action to improve the health and resilience of the ecosystem.
The synergies between science education, environmental education and informal science education, including CS, are being realized through “whole school approaches” with local curriculum. These are increasingly developed in eco- or enviro-school models, where inquiry-based learning strengthens community involvement and develops a sense of place (Wals et al., 2014; Eames and Mardon, 2020). Working with whole classes (rather than individual students who self-select to participate in CS) provides the opportunity to engage with diverse participants (e.g., a range of ethnicities, socio-economic backgrounds and academic ability) and furthers the wider aim of growing civic engagement (Paige et al., 2016).
A New Zealand Case Study in Embedding CS in Formal Science Education
A case study of the effects of embedding CS within school programs is explored here, within the context of the New Zealand (NZ) education system. The CS movement gained rapid traction in NZ when the government released their strategic plan for science in society (New Zealand Government, 2014). The overarching goal was “participatory science,” which aims to enhance teaching and learning, and to engage the wider community with science and authentic research in order to increase public understanding of science and technology. These goals were deemed key for informed democratic involvement and to bridge the gap between science and society.
The vision of the New Zealand Curriculum (2007) is for young people to become confident, connected, actively involved, lifelong learners. Students are encouraged to value “community and participation for the common good” (page 8), which is associated with ideals such as peace, citizenship, and manaakitanga (hospitality/kindness). The curriculum also emphasizes that students need opportunities to develop their capability as users of knowledge and skills in wide-ranging contexts, now and in the future. The national framework of “science capabilities for citizenship” (Hipkins and Bull, 2015) highlights the need for students to have the skills to critically engage in science and be ready, willing and able to use their science knowledge in real life scenarios. School-based CS would appear to be an ideal avenue for schools to meet the stated curriculum goals of student able to “use their science skills to participate as critical, informed and responsible citizens” (Ministry of Education, 2007, page 17).
The case study presented here focuses on the effects of a nation-wide CS project, Marine Metre Squared (Mm2), aiming for long-term monitoring of the NZ intertidal zone. It involves monitoring the biodiversity, distribution and abundance of intertidal species across time through the use of quadrat surveys and on-line data archive and analysis platform (www.mm2.net.nz). Participants upload their data to a searchable database and learn to analyze and interpret their data in context of others. Enabling participants to review the results of their initial surveys aims to facilitate their asking of questions about environmental issues relevant to their region, which they can investigate by carrying out further surveys. Such prolonged engagement ultimately can lead to improved understanding of coastal processes and environmental management. Thus, the study presented here investigates the effects of implementing CS as an intervention within formal science education to enhance student learning, science skills and environmental citizenship capabilities. It specifically examines how several schools used Mm2 to assess the impact of increased dredging in their local harbour on the rocky intertidal marine community (referred to hereafter as the Sediment and Seashores project).
Methods
Implementation of Mm2 Interventions
The effects of implementing Mm2 with school classes was assessed over a period of 3 years. An adaptive design was used (McNiff, 2013) such that different elements of the study were adjusted between years as our learning about student interaction with the project evolved. Of particular note, both the duration of interaction and the marine science focus changed: initially Mm2 was implemented as a short intervention for primary students to learn about local intertidal communities; in subsequent years it was applied as a tool for primary and secondary students to investigate a specific local issue (the impact of increased dredging on the rocky intertidal community of the Otago Harbour, the Sediment and Seashores Project). Learning from 1 year’s evaluation informed the project design and evaluation in subsequent years, creating a cycle of practice-led action research (Herr and Anderson, 2014), in which iterative cycles of reflection adaptated the enacted program and associated evaluation responsively. Specifically, the project became more focused in its effort to coalese work around issues and opportunities for applied approaches.
Across all years, recruitment was implemented by a flyer that was emailed to all primary and secondary schools in the Dunedin city region, outlining the project objectives, activities and duration, and inviting classes to participate. Further discussion with interested teachers ensured that they were willing to complete the full project. Once their involvement was confirmed, a local intertidal location was assigned to their school, and field and classroom sessions were scheduled. The design for each of the 3 years’ studies is described below.
The first intervention (2015) was the shortest: a 1-day Mm2 field trip for 93 primary level students at two schools (Table 1). Working in small groups they conducted an intertidal survey followed by classroom-based data entry of their observations into the Mm2 website, graphing and reviewing of their data to identify key findings, questions, concerns and next steps, which they presented as posters. A pre-questionnaire was administered by the teacher just prior to the Mm2 survey day, and the post questionnaire was administered in the classroom at the end of the field trip day.

TABLE 1. Comparison of questionnaire methodology, intervention duration and participant experience from 2015 to 2017 for primary and secondary level students from multiple schools.
In the second year (2016), 142 primary and 30 secondary level students from multiple schools participated in the Sediments and Seashores Project, which involved six half-day sessions over a 6 month period (Table 1). The programme began with a 1 h classroom session to introduce the marine environment of Otago Harbour, highlight the environmental concerns associated with the increased bottom dredging to deepen the shipping channel, and propose the rocky intertidal as a habitat that could be impacted by increased levels of sediment in the water. Students then worked in small groups to develop a research plan that included articulating their research question and identifying suitable locations for their study, what they would need to measure and record, what equipment was required, when they should sample and who might be interested in their work and could provide support. The class as a whole then decided on the research methodology they would use. They made two field trips to a rocky intertidal site to complete 5 Mm2 surveys along a 30 m transect at two tidal heights, also recording substrate type to further assess habitat. Data analysis and summary was the same as described for the first year but also included students writing blog posts about their experience. After the second field trip, students compared their data with their previous observations and also categorised sensitivities to sediment of the species surveyed (noting in particular those photosynthetic, sessile, slow moving and/or filter feeding). Final summary sessions involved comparing class data with different sites in Otago Harbour surveyed by other schools. At culmination of the project, representatives from the schools joined a community sharing session, with project leaders, local scientists, funders, Port Otago officials, parents and community members, in which each school presentated their findings, and a project leader presented a complete summary of the study. The pre- and post-questionnaires were administered in the classroom (at beginning of introductory session, and at end of the school summary session), and teachers also completed a short questionnaire at the end of the project.
In the third year (2017), 92 primary and 26 secondary level students from multiple schools participated and the same intervention methodology as the previous year was used. However, schools involved in previous years were encouraged continue their participation, so students’ prior experience became another variable to consider in the evaluation (Table 1). Although primary students in 2015 and 2016, and secondary in 2016/17 had no previous experience with with Mm2, in 2017 40% of primary students had experience through the 2016 Sediment and Seashores Project, essentially doubling the duration of their engagement, and providing an opportunity to look at the impact of longer term involvement. At secondary level, as the 2017 intervention methodology and the questionnaire (with the exception of a few additional questions) was not changed from 2016, the data were pooled as 2016/17.
Multiple topics were queried as part of routine education programme assessment of the New Zealand Marine Studies Centre (NZMSC), including prior experience, motivation, engagement with science/environment, science skills, knowledge and understanding of science/environment, attitudes and behaviours towards the environment, however only the last three are focused on here. All questionnaires are available in Supplementary Table S1. First names linked a student’s pre and post responses, but no other identifying information was collected. The NZMSC is required to evaluate the effectiveness of its education program delivered to schools as part of its Ministry of Education contract to deliver learning experiences outside the classroom. Permission was sought from the schools and guardians for participation in the NZMSC programs. All data was imported into IBM SPSS Statistics for Macintosh, Verson 26.0 for analysis.
Attitudes were assessed via a Likert scale using a 1= low to 4 = high scale. When pre/post data were available, paired sample t-tests were used. When comparing different samples, independent sample t-tests were used. Although the Kolmogorov-Smirnov test showed that the data were not normally distributed, violations of normality with a sample size larger than 30 is not typically a problem (Ghasemi and Zahediasl, 2012). To be certain, all Likert-scale questions were re-analyzed using the Mann–Whitney U Test and Wilcoxon Signed Rank Test, and the results were not different from the parametric results. Questions answered by free text response were coded into categories of concepts that emerged from the data, using a grounded theory approach (Sbaraini et al., 2011). All open-ended responses were coded by two independent coders; when discrepancies occurred, the coders discussed until consensus was reached. For each category only two response options were possible (category identified = 1, or category not identified = 0). If the same category emerged more than once in the text response, it was only recorded once. These questions were analyzed using non-parametric measures including Chi Squared Test (when the question was asked of different groups of participants pre and post). Related Samples McNemar’s Test (repeated measures design) was used when the question was asked of the same group of participants at time 1 (prior to the intervention) and time 2 (post intervention), both variables were categorical with only two response options. In the third year, primary students with previous experience with the project were compared with those without prior experience using a two-way repeated measures ANOVA.
Results and Discussion
Findings from across the years of implementing Mm2 as a CS intervention with primary and secondary students are integrated here as they relate to four different outcomes: student interest in learning, their science skills and their marine species knowledge, and their attitudes and behaviours towards care for the environment. Adaptive learning across the years of project implementation is also discussed as it relates to the potential for embedding CS interventions in schools.
Interest in Learning
The effect of a CS intervention on student interest in learning was assessed from different perspectives. This included student interest and enjoyment of the Mm2 project and/or Sediment and Seashores Project specifically, as well as their interest in learning about the marine environment more generally.
As a starting point, primary students (2016) selected from a list the aspects of the Mm2 project they were most interested in, and pre-intervention chose most frequently: exploring the seashore (78%), being outside (47%), learning new skills (41%), and getting wet and dirty (39%) (Figure 1). Dominance of these interests remained the same post-intervention, with exception of slightly more interest in getting wet and dirty. The only statistically significant change was a decrease in interest in meeting scientists (Figure 1), which may be linked with students feeling they had already met the scientists involved. Secondary students were asked a similar question but answered it by free text responses in a post questionnaire. Similar to the primary students, they expressed most enjoyment in learning about the marine environment (73%) and the field trip experience (32%), with some enjoyment also of interaction with classmates (7%) and helping marine life (5%). Like other CS projects (Cosquer, Raymond et al., 2012; Toomey and Domroese 2013; Schuttler et al., 2019), this intervention clearly provided a pleasurable opportunity to connect with nature, facilitated here through hands-on identification and counting of intertidal species within the survey area. Student interest in learning about the marine environment was also queried using a Likert scale (2016). This revealed a high interest level for primary students both pre and post intervention, with average scores greater than 3, although there was a significant decrease pre - post (

FIGURE 1. Aspects of interest to primary students in 2016 Seashore and Sediments Project. Significance* of Meeting scientist response p = 0.45, n = 142, McNemar’s Test).
Although students were clearly interested in learning more about the marine environment at the beginning of the intervention, most would have had little understanding of what that would involve. The fact that the Mm2 surveys entailed close observation and detailed reporting, often under cold, wet conditions, may not have met the expectations of all students. Secondary students were probably more aware of what a “science field trip” might involve, which may explain why their average interest level was maintained throughout the study. Interest levels had been anticipated to increase with exposure to field work in the marine environment, however, it may also be that by the end of the 6-month project, students felt they had a good understanding of this environment and were ready to move on to a new topic. It is also of note here, and throughout this study, that other CS projects assessing effects of participation, generally involved self-motivated volunteers (Schuttler et al., 2019). As these volunteers already often have a positive attitude toward the topic in the first place, no noticeable change is detected as a result of participation (Forrester et al., 2017). Further consideration of the drivers of these patterns is warranted as other studies have shown that nature-based learning can be expected to have many positive impacts on learning, including intrinsic motivation, which plays a role in engagement and longevity of interest in learning (Hobbs, 2015; Kuo et al., 2019). It is possible that using a retrospective pre-test might have yielded different results; Vitone et al. (2016) noted that opinions can be ranked differently in retrospective pre-test compared to actual pre-tests.
Development of Science Skills
The effect of a CS intervention on student understanding of the process of science and development of science skills was assessed by asking them about their experience doing science, as well as their attitudes towards being a scientist. Scientists are often described as having a particular skill set so students were also asked to describe their own perceived skills to ascertain the extent of overlap of these skill sets. Finally, students were asked to rate their confidence in carrying out different stages of the scientific process.
Primary students were asked to describe a time when they felt they were acting like a scientist. Although some students identified as many as three different occasions, many were not able to name one. There was no significant change pre-post in the number of occasions this was observed, in either year the question was asked. Four themes emerged from student responses: during experiments in school, when making new discoveries, when learning from others, and during field trips (Figure 2). Field trips such as the Mm2 survey became more closely linked to students feeling like they were acting as scientists in 2015; where the dominant response pre-intervention indicated doing experimentsin school (43%), and post-intervention the majority (75%) indicated the field trips/Mm2survey. This is likely due to the fact that they completed the post survey on the same day as the Mm2 field trip. There was both a significant pre—post decrease in the number of students identifying doing science at school and increase in identifying field trips/Mm2survey (Figure 2). In 2016, a similar pattern was observed with the number of students that identified field trips/Mm2 increasing significantly pre - post (from 30 to 62%, Figure 2).

FIGURE 2. Categories of response from primary students’ description of “when they felt they were acting as a scientist” (2016, 2017). Pre - post responses compared with chi square test for independence with Yates’ Continuity Correction. *Significant differences pre - post in 2015: doing science at school (
To further interrogate their understanding of their own skills and abilities for the process of science, primary students were asked (2016 and 2017) if they thought they would make a good scientist and the majority responded affirmatively in both years. However, although it was hoped that affirmations would increase pre—post intervention, the reverse was true (2016 pre-post
When asked to explain, in a follow up question, why they felt they would or wouldn’t make a good scientist, the primary themes emerging from affirmative responses included: an interest in animals/environment, enjoy doing science at school (e.g., experiments), curiosity/like exploring, have good skills/self-belief (Figure 3). There was no significant change pre - post and these categories of response emerged consistently across years, with small variations in frequency of responses. In 2017 students gave multiple reasons more often than in 2016, and this may be explained by the fact that 40% had had prior experience with the project (however there was no significant change pre – post). Interest in animals/environment was dominant in 2016. In contrast, in 2017, curious/like exploration and good skills/self-belief were dominant responses, possibly linked with the greater proportion of students with prior experience. The students who did not think they would make good scientists were less able to articulate reasons for their decision. Two themes emerged: limited skill/experience and limited interest (Figure 4). This pattern was observed across years with no significant change pre – post.

FIGURE 3. Categories of response from primary students asked “why they would make a good scientist.” (A “no response” category (not shown) was low pre - post in 2016 and 2017 (5.8–0% and 4.3–2.2%, respectively).

FIGURE 4. Categories of response from primary students asked “why they would not make a good scientist”. A near-significant difference pre - post limited interest was found in 2017 (7.6 vs. 16.4%; p = 0.057, McNemar’s test).
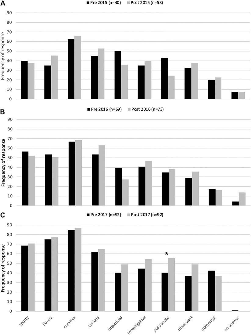
A question assessing skills that the students felt they had, compared pre – post, gave further indication of the intervention’s impact. Primary students were asked to select all the personal skills they felt they had from a list of nine options, some chosen to represent skills typically associated with doing science (e.g., observant, investigative, curious, numerical), some less associated with doing science (e.g., sporty, funny) and some desirable for many careers (e.g., creative, passionate, organised). Every skill was reported by some students in every year, although relatively fewer were selected in 2015 (Figure 5). Creativity scored highest every year, reported by over 60% of students (pre and post), with its maximum frequency in 2017 (85–87% pre - post). Curious was also dominant in 2016 and 2017 (54–63%, 62–65% pre – post, respectively). There were no decreases in any perceived skills across years, although several increased in frequency including numerical and creative. Numerical also had its highest frequency in 2017 (at 42–37% pre-post). When pre – post interventions were specifically compared, only observant and investigative skills increased across all years (and approached significance). These results give some suggestion of an increase in perceived science-linked skills, although the only skill to show any significant change pre -post was passionate (2017, Figure 5C).

FIGURE 5. Personal skills as identified by primary students across 3 years: (A) 2015, (B) 2016, (C) 2017. *Significant differences pre - post in 2017: passionate (40–55%, p = 0.018, McNemar’s Test), observant (37–49%, p = 0.054) and investigative skills (45–54%, p = 0.093).
Investigation of the effect of the CS intervention on science skills was also approached through questions specifically about Mm2. Primary students in 2015 were asked why it was useful to count the marine plants and animals in a metre squared area, and five themes emerged from their free text answers: data on species/habitats, data on population size/change, data on seashore health, care for plants and animals, and learning experiences, with the first two given most frequently (Figure 6). Pre-intervention the majority of students knew that they were collecting data on species and habitats, but very few understand its relevance to monitoring population size and change until after the intervention (a significant change, Figure 6). Less that 8% of the students connected the survey experience with assessing intertidal health and this did not change from pre - post. Although the proportion of students unable to answer the question decreased significantly (23–2%, Figure 6) there was still relatively limited awareness of the multiple functions of the Mm2 survey methodolgy.

FIGURE 6. Primary students’ understanding of why it is valuable to count the animals and plants found in a metre squared area. *Significant difference pre - post for data on population size/change (11–89%,
Assessing student confidence in science skills was also specifically queried in 2017. Primary students asked to rate their confidence in designing and carrying out an intertidal survey on a Likert scale, indicated relatively high levels of confidence in 2017 (although with no significant difference pre - post,
Secondary students were asked more specifically to rate their confidence level in a range of skills involved in a Mm2 survey. These included: carrying out a science investigation, writing a hypothesis/research question, representing experimental results in different ways and reviewing work critically and connecting their science learning to current environmental issues. Their reported confidence levels were also fairly high across years (means ranging from 2.6 to 3.1) and they either stayed the same or increased pre -post (Table 2). Although the increase was significant for only one skill, carrying out a science investigation, this was heartening, as it was the focus of the project. In a follow-up question asking them to identify what science skills they developed through participation in the project, the majority self-reported survey methods (55%), data collection (54%) and data analysis (54%). The lesser remaining responses included species identification (32%), experimental design (13%) and a range of other skills under 10% including: use of scientific equipment, observation/knowledge, team work/personal skills and practical skills.

TABLE 2. Secondary student confidence levels in their science skills pre and post intervention (2016/17, mean
Further validation of the effect of the intervention on enhancing science skills and knowledge came from the comments solicited from classroom teachers (18) at the conclusion of their class involvement in the project. All comments were positive, with only a few suggesting ways that the project could be extended. Primary teachers recognized its impact on students doing science, including student’s increased understanding of the nature of science, how to do environmental surveys, and handle the data (e.g., entering data online and graphing). This is reflected in comments like: “made the students realize science is not just about fizzing and foaming, science is about problem solving, forming questions, drawing conclusions,” “strengthened and deepened Nature of Science understandings,” “I was amazed how they coped with entering data on-line and working with different graphs. Also, they learn the value of measuring using the m2.” At secondary level, teachers highlighted the skills of science thinking as well as the importance of civic engagement to applying learning to “real world” situations: “great role modelling of science thinking,” “making them aware of their role as citizen scientists, good environment/ecology application,” “students got the chance to relate learning in ecology to real world, thinking about significance of sampling error and what the data means for the environment/species.” Student’s application of their understanding of the environment and species was frequently mentioned. The positive impact of the intervention on teachers’ confidence and experience in science was also noted, as well as their appreciation of a structured activity for field trips with clear links to the Nature of Science strand in The New Zealand Curriculum (Ministry of Education, 2007). These positive effects on teachers and students mirror those found by Paige et al. (2016) who observed that both teachers and students found the collection and use of real data highly engaging, with teachers reporting increased confidence to plan and teach units of work that moved away from textbook-orientated approaches to science. Combined, these results support the idea of CS as valuable in formal education settings to teach science inquiry skills (Bates et al., 2015; Shah and Martinez, 2016; Saunders et al., 2018; Nistor et al., 2019). The limited involvement of CS in school programs may stem from CS project designers not including science learning outcomes as a clear goal, but it also may arise from teachers not understanding the potential value of CS for delivering curriculum objectives (Phillips et al., 2018).
Knowledge About Intertidal Species
Impact of the CS intervention was also assessed by interogating student’s knowledge gain, specifically around their understanding of common marine plants and animals within their marine environment. Primary students were asked to match the name of an animal or plant (at either group or species level) with a drawing of it. One question (asked in first 2 years) tested students’ abilities to distinguish between a crab, snail, mussel, barnacle, fish and seaweed. A more focused question (asked across all 3 years) tested their ability to distinguish between three different species each of crabs and snails. For both questions, responses ranged from 0 (no species identified correctly) to 6 (all species identified correctly) (Table 3). In all years, scores increased pre – post and, as might be expected, students scored higher in identifying at group level (means ranged from 5.20 to 5.95), than at species level (2.91 to 4.20). Duration of intervention appeared to correlate with identification skills. For the 1-day intervention there was no significant difference in pre - post ability to identify the organisms in either question, however, for the 6 month experience (2016) there was a significant increase for both questions pre - post (Table 3). The same was true for students in 2017 (asked just the second question). Further, those students with previous experience had significantly higher scores pre and post (

TABLE 3. Primary student scores for identification of different marine animals/plants (independent samples t-test (2015–2016) or paired samples t-test (2017) between pre – post intervention.).
To investigate student’s knowledge of the ecology of the intertidal zone, a further question (implemented across all years) prompted students with an image of an intertidal crab and asked them to list the challenges it had to deal with in its environment. Free text responses were thematically coded and a diversity of challenges were suggested ranging from natural to anthropomorphic (Figure 7). The number of suggestions offered by individuals, as well as the diversity of categories of response were greater for primary students after longer interventions (e.g., 9 categories in 2015 vs 11 in 2017) (Figures 7A–C). Responses for pre 1-day intervention focused mostly on pollution, population loss and predators, while post-intervention awareness remained on the impact of predators, but extended to difficulty of finding food and the impact of people. In the longer intervention (2016), the most marked increase pre - post was the identification of sediment as a challenge, followed by finding food and habitat loss (all which were significant increases). This is of note as the latter two challenges are associated with a high sediment environment (e.g., predators cannot hunt effectively, seaweed photosynthesis is inhibited, filter feeders are impaired sorting plankton from sediment). Other categories exhibiting notable rise (>20% post intervention) included impacts of predators, people and population loss. It is also of note that the number of students able to answer this question post intervention also increased significantly (Figure 7B).

FIGURE 7. Categories of response reflecting primary (A–C) and secondary (D) students’ understanding of challenges faced by intertidal animals. *Significant differences pre - post for primary students 2016: sediment (0–29%,
In 2017, responses were predominately in just three categories: impacts of predators, people and sediment (Figure 7C), with the most highly significant change pre - post being an increase in the frequency of sediment as a response. A probable effect of previous experience can be seen in some students (15%) identifying sediment as a challenge pre-intervention, whereas no student did in 2016. The only other response to increase significantly pre - post was finding food, suggesting new awareness that sediment affects the feeding behavior of many species. The significant decrease in pollution pre – post, is likely due to students being able to more clearly articulate specific challenges rather than catch-all terms like pollution, although during field work there was also very little evidence of visible pollution (e.g., rubbish).
At secondary level, students demonstrated some pre-existing knowledge of challenges facing organisms in the intertidal zone, with individuals expressing as many as five responses (pre -post
To interrogate students’ knowledge gain about specific challenges faced by intertidal species secondary students were also asked to describe the impacts of sediment on harbor animals and plants (Table 4). The majority of students weren’t able to give a response pre-intervention (59%) but this decreased significantly post-intervention (to 5%; p < 0.001). Five categories of responses all increased significantly pre - post including; disturbance to animal/habitat, decline in population, loss of food, reduced light and burial (Table 4), representing a diverse and accurate array of sediment impacts.

TABLE 4. Impacts of sediment on harbor plants and animals as described by secondary students in 2016/17 (n = 56 each, pre and post, analyzed using McNemar’s test).
The positive effects on student’s ability to identify intertidal species and understanding of the environment in which they live, indicate that Mm2 provided an effective means to assess and monitor biodiversity in the intertidal zone, and joins other CS projects demonstrating the ability to collect valuable data for biodiversity monitoring (Cooper et al., 2007; Cox et al., 2012; Ballard et al., 2017b). The increase in specific understanding about anthropogenic factors affecting marine organisms is also condusive to a wide awareness of human impact and the need for stewardship.
Attitudes and Behaviours Towards the Marine Environment
As awareness is a precursor and motivator of attitudes and behaviors, student awareness about wider values of the ocean was assessed. Primary students were asked why it is important to look after the ocean’s animals and plants. Their free-text responses revealed several themes including: prevention of population decline, survival of the planet, our own survival, aesthetics, animal rights, animals needing care and for future generations (Figure 8). In the 1-day intervention a strong animal-centric focus was clear, with students highlighting animals rights (pre and post), as well as concern about possible population decline (Figure 8A). There was also an increase pre - post in recognizing that animals need care, which likely stems from instructions given to students before surveying to handle the animals with care and return rocks to how they were found. Aesthetics was the only category of response that changed significantly, decreasing from pre to post (Figure 8A). In the 6-month intervention (2016), students also identified population decline as the top response pre-intervention (Figure 8B). However, post-intervention, there were significant increases in responses expressing an importance of ocean life to the survival of the planet and to our own survival (Figure 8B). In 2017, the students were even more aware of the importance of the ocean, with categories of response particularly widely distributed. A large proportion linked ocean organisms with our survival (providing us with food and oxygen); our own survival and survival of the planet were the most frequent responses (pre and post, Figure 8C). The frequency of these responses was also higher in 2017 than 2016, which may be attributable to the prior experience of students with Mm2. Aesthetics was also a common post response, although counter to the pattern observed for 2015, it increased significantly pre – post (Figure 8C). It is possible that after extended engagement with life in the intertidal zone, students may have been more interested in looking after it as part of their intrinsic valuing of biodiversity (Chan et al., 2016).

FIGURE 8. Categories of response from primary students asked why they should look after the ocean’s animals and plants across 3 years: (A) 2015, (B) 2016, (C) 2017. *Significant differences pre - post in 2015: aesthetics (χ2 (1, n = 93) = 4.678, p = 0.031, phi = 0.259, chi squared test for independence with Yates’ Continuity Correction); 2016: survival of the planet (χ2 (1, n = 142) = 5.278, p = 0.022, phi = −0.208), our own survival (χ2 (2, n = 142) = 5.348, p = 0.021, phi = −0.213; 2017: aesthetics (8 vs 23%; p = 0.003, McNemar’s test).
Increased awareness of the marine environment and the environmental issues that affect it, ideally lead to change in our behaviors to reduce our environmental impact. Assessing such intentional behavior change is difficult but several short questions were asked to investigate student’s awareness of their scope for behavior change (Figure 9). Primary students were asked to describe in free text what they and their community could do to look after the seashore. After the 1-day intervention, three main themes emerged: rubbish clean-up, care for wildlife and habitat protection (Figure 9A). Cleaning up the rubbish was the most common response both pre (49%) and post (55%), which is perhaps not surprising as it is an achievable and popular activity with results that are immediately visible. Post intervention, significantly more students also identified care for wildlife as important (Figure 9A) and again, this is likely linked to students being told about the importance of ensuring that organisms were not disturbed through intertidal surveying.

FIGURE 9. Categories of response reflecting primary (A–C) and secondary (D) students’ understanding of actions that they and their community could do to look after the seashore. *Significant differences pre - post for primary students 2015: care for wildlife (11 vs. 35%, χ2 (1, n = 93) = 6.23, p = 0.013, phi = 0.285, chi squared test for independence with Yates’ Continuity Correction); Primary students 2016: rubbish clean-up (91 vs 54%; χ2 (1, n = 142) = 3.980, p = 0.046, phi = −0.182), care for wildlife (χ2 (1, n = 142) = 7.842, p = 0.005, phi = 0.253), protect/restore habitats (χ2 (1, n = 142) = 4.463, p = 0.035, phi = 0.196), survey the seashore (χ2 (1, n = 142) = 3.913, p = 0.048, phi = 0.188) and regulate dredging (χ2 (1, n = 142) = 8.104, p = 0.004, phi = 0.262); Primary students 2017: survey the seashore (8 vs. 23%: p = 0.003, McNemar’s test), no response (22 vs 7% (p = 0.004); Secondary students 2016/17: cleaning up rubbish (71 vs. 50%; p = 0.012), regulate dredging (27 vs. 48%; p = 0.012), protect habitats (21 vs. 7%, p = 0.057).
After a 6 month intervention (2016), students were able to suggest many more ideas for how to care for the seashore and most of these increased pre – post (Figure 9B). The proportion of students that identified rubbish clean-up was still dominant pre-intervention but decreased significantly post. This may be linked with the significant increase pre to post for other ideas like, care for wildlife, protect/restore habitats, survey the seashore and regulate dredging (Figure 9B). In 2017, similar ideas were suggested in terms of rubbish clean-up or care for wildlife, and there was a significant increase pre-post in those noting they could survey the seashore to monitor its health (Figure 9C). Although for secondary students cleaning up rubbish remained the most common answer pre – post, this decreased significantly post intervention, possibly as consequence of an increased frequency of regulate dredging (Figure 9D). Further positive effects of the CS intervention can be inferred in not only a significant increase in the proportion of students able to provide a response, but also the average number of responses given by each student increasing post-intervention (Figure 9). Furthermore, students that had prior experience were able to make significantly more suggestions post intervention (pre – post,
This project extended student learning beyond the classroom to enhance their awareness of intertidal organisms, their environment and a new understanding of what they could do to better look after the environment. Although, any impact of the intervention on realised behaviour change remains unknown, it can be expected to have contributed a sense of civic responsibility for the local environment (environmental citizenship). According to Ballard et al. (2017a) definition, it also is expected that this extended CS intervention contributed to students’ environmental science agency for future environmental citizenship through repeated experiences in the same place, their involvement in vigorous data collection and analysis, their sharing of results with relevant audiences (i.e. here this includes the other schools involved, marine scientists, the Port Authority and interested community members) and their identification of ways that they, and their community, could look after the environment in future. There remains relatively unexplored links between civic action and an individual’s environmental knowledge and skill level (i.e. monitoring, assessing). For example, those students in the study with previous experience appeared to maintain more confidence in science skills, and it would be useful to know if this also propels intention to act and participate in environmental decision making in future. Evaluation instruments need to extend beyond assessing standard knowledge gain impacts on individuals and measure the degree of civic empowerment confired by CS projects (Schaefer et al., 2021) as well as investigate specifically how CS can be designed to “enhance the transformative aspects of CS at the society level” (Turrini et al., 2018, page 184).
Impact of Project Duration on Student Learning
It appears that CS interventions of longer duration and with specific focus on a local environmental issue had positive outcomes on multiple aspects of student learning, from improved understanding of the coastal environment and human impacts to development of science skills. After a one-day program, primary students’ understanding of science changed from doing experiments at school to include field work, and their understanding of the purpose of doing surveys expanded from species and habitats to population size and environmental change, however failed to connect this to intertidal health. Although the Mm2 survey focused their observations on a small area to discover many plants and animals that they had never noticed before, students ability to identify intertidal organisms, or the challenges they face, did not improve. Many students understood that they should look after marine organisms to prevent population decline, but they were less able to make further connections about the value of marine life to the wider environment or personal health, and associated actions to care for the environment.
By comparison, students were more able to make these cognitive extensions after a 6 months intervention. Not only was there a heightened ability to identify marine organisms and their challenges, particularly those associated with increased levels of sediment, there were stronger attitudes expressed about the value of marine species for our own survival and that of the planet. This was associated with the ability to articulate multiple ways to care for the marine environment, beyond picking up rubbish. In the second 6-month intervention (2017), where 41% of students had prior involvement (and thus ∼12 months experience), learning outcomes appeared further augmented. This was particularly true for knowledge of the marine environment, challenges affecting marine species, environmental issues and solutions. These findings are of particular importance as, although an increase in knowledge-based performance is often observed where the participants are volunteers pursuing a personal interest (Brossard et al., 2005), it is not always observed when participants, like school students, are participating because they are enrolled in the class (Vitone et al., 2016).
It is of note that although students were interested in the CS project, perceived doing a Mm2 survey as doing science, and felt they had developed more skills through the experience, this did not necessarily affect an increase in their feeling that they would make a good scientist. Other studies have made similar observations (e.g., adults training as naturalists not identifying themselves as a scientist or showing heightened interest in scientific endeavors (Merenlender et al. (2016)). Understandably, participating in CS is not necessarily a pathway to further science engagement and there remain many other cultural issues defining what we think makes a scientist. None-the-less, the longer interventions had further knock-on effects. Many of the Year 11 students extended their study into science fair projects (with most winning prizes at a local science competition). This was likely linked to their interest in the subject, but also the heightened confidence in carrying out a scientific investigation and skills in survey methods, data collection and data analysis.
Adaptive Learning on Embedding CS Within Schools
Given that extended involvement appeared to have had a positive effect on multiple student learning outcomes, it is disappointing to note that long term interventions in school programs are relatively rare. Many informal science education providers offer one-off experiences for schools that are a half- or 1-day in length. Many schools also engage in a specific enquiry topic for just a single term (10–11 weeks). This study suggests that extending interventions over two terms or more could be expected to improve learning outcomes. This will be particularly important for embedding wider community-level engagements, such as what this project offered by involving students in a fuller scientific process of engaging with scientists, designing their research approach and reporting their results back to stakeholders. Not only does this format clearly meets the “Nature of Science” goals of many science curricula (Hipkins and Bull, 2015; Shah and Martinez, 2016; Nistor et al., 2019), such youth opportunities to develop expertise and confidence in data production and sharing can be expected to develop science citizenship skills. This is certainly all expressed in the goal of the NZ science curriculum in enabling students “to use their science skills to participate as critical, informed and responsible citizens” (Ministry of Education, 2007, page 17). It is recognized that to induce learning processes that develop scientific enquiry skills and empower students to reach civic responsibility, extended involvement in multiple stages of the science process is important (Danielsen et al., 2014; Shah and Martinez, 2016; Turrini et al., 2018; Bonney et al., 2009a). Taking it a step further, co-development of CS projects, where the citizens are involved in all aspects of the scientific process, can lead to better understanding of the scientific outcomes, as well as encouraging stewardship and fostering empowerment (Kieslinger et al., 2018).
Furthermore growing such opportunity for civic engagement via CS interventions should not be reserved for older students. Students from Year 3 to 11 took part in all aspects of the Sediment and Seashores Project. Although there were concerns that the early primary classes might be too young, their learning outcomes highlight that this was not the case. Indeed, the youngest class (Year 3) was the most enthusiastic in their learning and although they needed further parental support for tasks like data recording, this provided a unique opportunity to involved a diversity of adults, who otherwise might not have choosen to participate in CS. Thus the potential for CS interventions to extend community involvement in the school-based learning environment appears significant. Comments collected from teachers at the end of the project indicated multiple reasons for their decision to engage in the project, but many involved finding ways to further local community engagement. These ranged from the leadership and guidance provided by scientists, to the opportunity to study a local context and environment, where students’ could apply their science skills. Teachers clearly valued the project providing an authentic learning environment with local context, as indicated by comments like “getting classes involve in real science/fieldwork/analysis” and “it connected the students with their local environment, and made them become more aware of the importance of knowing if things change, to find out why and what they can do to protect their harbour.”
This study provides one of the few assessments of science inquiry skills through CS in schools and provides insight on how CS experiences can enrich science learning outcomes for students. As an evaluation of an adaptive program evolving across years, it is not without methodological challenges that would be beneficial to address in future studies, particularly as enthusiasm grows for embedding CS in classrooms (Nistor et al., 2019). For instance, student learning gains associated with participation in a CS project are likely to be entangled with classroom-based learning (Vitone et al., 2016). There is also relevant debate about the use of pre test versus restrospective pre test to assess attitudes (Vitone et al., 2016). A response shift has consistantly been found to be higher with retrospective pre test (Sibthorp et al., 2007). This response shift bias is expected in situations when the participant have limited knowledge before engaging with the intervention, suggesting that the timing of the pre test needs to be strategically considering in planning the assessment (Vitone et al., 2016).
Conclusion
As demonstrated here, school science education can clearly be enriched in multiple ways through participation in a CS project. These included increasing content-specific knowledge, science skills, and awareness of environmental issues and our role as stewards. In this study, students and their teachers gained direct experience of the marine intertidal environment and in environmental monitoring methods. Students learned about the value of a healthy ecosystem and gained a greater understanding of how they can participate in civic conservation action. The project created relationships between schools, community and scientists and provided opportunity for schools to become involved in an authentic research project and support the growth of critical, informed and responsible citizens.
Data Availability Statement
The raw data supporting the conclusions of this article will be made available by the authors, without undue reservation.
Ethics Statement
Ethical review and approval was not required for the study on human participants in accordance with the local legislation and institutional requirements. Written informed consent from the participants’ legal guardian/next of kin was not required to participate in this study in accordance with the national legislation and the institutional requirements.
Author Contributions
The main research was undertaken by SC with consultation by JR regarding survey methods and JS regarding statistical topics. The article was written by SC with editing help of JR.
Funding
This research was supported in part by Curious Minds (NZ Ministry of Business, Innovation and Employment, the Ministry of Education, and the Office of the Prime Minister’s Chief Science Advisor) through the Otago Participatory Science Platform, and the University of Otago.
Conflict of Interest
The authors declare that the research was conducted in the absence of any commercial or financial relationships that could be construed as a potential conflict of interest.
Acknowledgments
We want to thank the schools, teachers and students who participated in this citizen science project and the NZ Marine Studies Centre staff who led the students and teachers through field and classroom sessions. We also thank the anonymous reviewers for their constructive suggestions which improved the manuscript.
Supplementary Material
The Supplementary Material for this article can be found online at: https://www.frontiersin.org/articles/10.3389/feduc.2021.674883/full#supplementary-material
References
Ayar, M. C. (2015). First-Hand Experience with Engineering Design and Career Interest in Engineering: An Informal STEM Education Case Study. Educ. Sci. Theor. Pract. 15 (6), 1655–1675. doi:10.12738/estp.2015.6.0134
Ballard, H. L., Dixon, C. G. H., and Harris, E. M. (2017a). Youth-focused Citizen Science: Examining the Role of Environmental Science Learning and agency for Conservation. Biol. Conservation 208, 65–75. doi:10.1016/j.biocon.2016.05.024
Ballard, H. L., Robinson, L. D., Young, A. N., Pauly, G. B., Higgins, L. M., Johnson, R. F., et al. (2017b). Contributions to Conservation Outcomes by Natural History Museum-Led Citizen Science: Examining Evidence and Next Steps. Biol. Conservation 208, 87–97. doi:10.1016/j.biocon.2016.08.040
Bates, A. J., Lakeman Fraser, P., Robinson, L., Tweddle, J. C., Sadler, J. P., West, S. E., et al. (2015). The OPAL Bugs Count Survey: Exploring the Effects of Urbanisation and Habitat Characteristics Using Citizen Science. Urban Ecosyst. 18 (4), 1477–1497. doi:10.1007/s11252-015-0470-8
Bela, G., Peltola, T., Young, J. C., Balázs, B., Arpin, I., Pataki, G., et al. (2016). Learning and the Transformative Potential of Citizen Science. Conservation Biol. 30 (5), 990–999. doi:10.1111/cobi.12762
Bevan, B. (2017). The Promise and the Promises of Making in Science Education. Stud. Sci. Education 53 (1), 75–103. doi:10.1080/03057267.2016.1275380
Blewitt, M. R. (2020). High School Science Teachers’ Beliefs And Practices For Scientific Literacy during Enactment Of a Citizen Science. Ann Arbor, MI: ProQuest One Academic.
Boland, J. A. (2011). Positioning Civic Engagement on the Higher Education Landscape: Insights from a Civically Engaged Pedagogy. Tertiary Education Management 17 (2), 101–115. doi:10.1080/13583883.2011.562523
Bonney, R., Ballard, H., Jordan, R., McCallie, E., Phillips, T., Shirk, J., et al. (2009a). Public Participation in Scientific Research: Defining the Field and Assessing its Potential for Informal Science Education. A CAISE Inquiry Group Report. Washington, DC: Center for Advancement of Informal Science Education (CAISE).
Bonney, R., Cooper, C. B., Dickinson, J., Kelling, S., Phillips, T., Rosenberg, K. V., et al. (2009b). Citizen Science: A Developing Tool for Expanding Science Knowledge and Scientific Literacy. BioScience 59 (11), 977–984. doi:10.1525/bio.2009.59.11.9
Bonney, R., Phillips, T. B., Ballard, H. L., and Enck, J. W. (2016). Can Citizen Science Enhance Public Understanding of Science? Public Underst Sci. 25 (1), 2–16. doi:10.1177/0963662515607406
Brossard, D., Lewenstein, B., and Bonney, R. (2005). Scientific Knowledge and Attitude Change: The Impact of a Citizen Science Project. Int. J. Sci. Education 27 (9), 1099–1121. doi:10.1080/09500690500069483
Chan, K. M. A., Balvanera, P., Benessaiah, K., Chapman, M., Díaz, S., Gómez-Baggethun, E., et al. (2016). Opinion: Why Protect Nature? Rethinking Values and the Environment. Proc. Natl. Acad. Sci. USA 113 (6), 1462–1465. doi:10.1073/pnas.1525002113
Conrad, C. C., and Hilchey, K. G. (2011). A Review of Citizen Science and Community-Based Environmental Monitoring: Issues and Opportunities. Environ. Monit. Assess. 176 (1), 273–291. doi:10.1007/s10661-010-1582-5
Cooper, C. B., Dickinson, J., Phillips, T., and Bonney, R. (2007). Citizen Science as a Tool for Conservation in Residential Ecosystems. Ecol. Soc. 12 (2), 11. doi:10.5751/es-02197-120211
Cosquer, A., Raymond, R., and Prevot-Julliard, A.-C. (2012). Observations of Everyday Biodiversity: a New Perspective for Conservation? Ecol. Soc. 17 (4), 2. doi:10.5751/es-04955-170402
Cox, T. E., Philippoff, J., Baumgartner, E., and Smith, C. M. (2012). Expert Variability Provides Perspective on the Strengths and Weaknesses of Citizen-Driven Intertidal Monitoring Program. Ecol. Appl. 22 (4), 1201–1212. doi:10.1890/11-1614.1
Crall, A. W., Jordan, R., Holfelder, K., Newman, G. J., Graham, J., and Waller, D. M. (2013). The Impacts of an Invasive Species Citizen Science Training Program on Participant Attitudes, Behavior, and Science Literacy. Public Underst Sci. 22 (6), 745–764. doi:10.1177/0963662511434894
Danielsen, F., Pirhofer-Walzl, K., Adrian, T. P., Kapijimpanga, D. R., Burgess, N. D., Jensen, P. M., et al. (2014). Linking Public Participation in Scientific Research to the Indicators and Needs of International Environmental Agreements. Conservation Lett. 7 (1), 12–24. doi:10.1111/conl.12024
Doyle, C., David, R., Li, Y., Luczak-Roesch, M., Anderson, D., and Pierson, C. M. (2019). “Using The Web For Science In the Classroom: Online Citizen Science Participation In Teaching And Learning,” in Proceedings of the 10th ACM Conference on Web Science, June 2019. Boston, MA. 71–80.
Eames, C., and Mardon, H. (2020). “The Enviroschools Programme in Aotearoa New Zealand: Action-Orientated, Culturally Responsive, Holistic Learning,” in Green Schools Globally: Stories of Impact on Education for Sustainable Development. Editors A. Gough, J. C.-K. Lee, and E. P. K. Tsang (New York, NY: Springer International Publishing), 49–60. doi:10.1007/978-3-030-46820-0_4
Falk, J., and Dierking, L. (2010). The 95 Percent Solution. Amer. Scientist 98 (6), 486–493. doi:10.1511/2010.87.486 Available at: http://www.jstor.org.ezproxy.otago.ac.nz/stable/25766726.
Falk, J. H., and Dierking, L. D. (2002). Lessons without Limit: How Free-Choice Learning Is Transforming Education. Lanham, MD: Rowman Altamira.
Forrester, T. D., Baker, M., Costello, R., Kays, R., Parsons, A. W., and McShea, W. J. (2017). 2017C reating Advocates for Mammal Conservation through Citizen Science. Biol. Conservation 208, 98–105. doi:10.1016/j.biocon.2016.06.025/04/01/
Friedman, A. J., Allen, S., Campbell, P. B., Dierking, L. D., Flagg, B. N., Garibay, C., et al. (2008). Framework for Evaluating Impacts of Informal Science Education Projects. Report from a National Science Foundation Workshop. Alexandria, VA: The National Science Foundation.
Ghasemi, A., and Zahediasl, S. (2012). Normality Tests for Statistical Analysis: A Guide for Non-Statisticians. Int. J. Endocrinol. Metab. 10 (2), 486–489. doi:10.5812/ijem.3505
Gray, S., Jordan, R., Crall, A., Newman, G., Hmelo-Silver, C., Huang, J., et al. (2017). Combining Participatory Modelling and Citizen Science to Support Volunteer Conservation Action. Biol. Conservation 208, 76–86.
Groulx, M., Brisbois, M. C., Lemieux, C. J., Winegardner, A., and Fishback, L. (2017). A Role for Nature-Based Citizen Science in Promoting Individual and Collective Climate Change Action? A Systematic Review of Learning Outcomes. Sci. Commun. 39 (1), 45–76. doi:10.1177/1075547016688324
Harris, E. M., Dixon, C. G. H., Bird, E. B., and Ballard, H. L. (2020). 2020/03/14 For Science and Self: Youth Interactions with Data in Community and Citizen Science. J. Learn. Sci. 29 (2), 224–263. doi:10.1080/10508406.2019.1693379
Haywood, B. K. (2016). Beyond Data Points and Research Contributions: The Personal Meaning and Value Associated with Public Participation in Scientific Research. Int. J. Sci. Educ. B 6 (3), 239–262. doi:10.1080/21548455.2015.1043659
Heimlich, J. E., and Ardoin, N. M. (2008). Understanding Behavior to Understand Behavior Change: A Literature Review. Environ. Educ. Res. 14 (3), 215–237. doi:10.1080/13504620802148881
Herr, K., and Anderson, G. L. (2014). The Action Research Dissertation: A Guide for Students and Faculty. Thousand Oaks, CA: Sage publications.
Hipkins, R., and Bull, A. (2015). Science Capabilities for a Functional Understanding of the Nature of Science. Cm 11, 117–133. doi:10.18296/cm.0007
Hobbs, L. K. (2015). Play-Based Science Learning Activities. Sci. Commun. 37 (3), 405–414. doi:10.1177/1075547015574017
Johnson, M. F., Hannah, C., Acton, L., Popovici, R., Karanth, K. K., and Weinthal, E. (2014). Network Environmentalism: Citizen Scientists as Agents for Environmental Advocacy. Glob. Environ. Change 29, 235–245. doi:10.1016/j.gloenvcha.2014.10.006
Jørgensen, F. A., and Jørgensen, D. (2020). Citizen Science for Environmental Citizenship. Conservation Biol. [Epub ahead of print]. doi:10.1111/cobi.13649
Kieslinger, B., Schäfer, T., Heigl, F., Dörler, D., Richter, A., and Bonn, A. (2018). “Evaluating Citizen Science-Towards an Open Framework,” in Citizen Science – Innovation in Open Science, Society and Policy (London, UK: UCL Press), 81–98.
Kuo, M., Barnes, M., and Jordan, C. (2019). Do Experiences with Nature Promote Learning? Converging Evidence of a Cause-And-Effect Relationship. Front. Psychol. 10, 305. doi:10.3389/fpsyg.2019.00305
Lewandowski, E. J., and Oberhauser, K. S. (2017). Butterfly Citizen Scientists in the United States Increase Their Engagement in Conservation. Biol. Conservation 208, 106–112. doi:10.1016/j.biocon.2015.07.029
Lewis, R., and Carson, S. (2021). Measuring Science Skills Development in New Zealand High School Students after Participation in Citizen Science Using a DEVISE Evaluation Scale. New Zealand J. Educ. Stud. 1–10. doi:10.1007/s40841-021-00192-6
McKinley, D. C., Miller-Rushing, A. J., Ballard, H. L., Bonney, R., Brown, H., Cook-Patton, S. C., et al. (2017). Citizen Science Can Improve Conservation Science, Natural Resource Management, and Environmental protection. Biol. Conservation 208, 15–28. doi:10.1016/j.biocon.2016.05.015
McNiff, J. (2013). Action Research: Principles and Practice. London, United Kingdom: Routledge. doi:10.4324/9780203112755
Merenlender, A. M., Crall, A. W., Drill, S., Prysby, M., and Ballard, H. (2016). Evaluating Environmental Education, Citizen Science and Stewardship through Naturalist Programs. Conservation Biol. 30 (6), 1255–1265. doi:10.1111/cobi.12737
Ministry of Education (2007). The New Zealand Curriculum. Wellington:Learning MediaAvailable at: https://nzcurriculum.tki.org.nz/The-New-Zealand-Curriculum.
Nisbet, E. K., Zelenski, J. M., and Murphy, S. A. (2009). The Nature Relatedness Scale. Environ. Behav. 41 (5), 715–740. doi:10.1177/0013916508318748
New Zealand Government. (2014). A nation of curious minds‒He whenua hihiri i te mahara: a national strategic plan for science in society. Available at: www.msi.govt.nz/assets/MSI/Update-me/Science-in-society-project/science-in-society-plan.pdf
Nistor, A., Clemente-Gallardo, J., Angelopoulos, T., Chodzinska, K., Clemente Gallardo, M., Gozdzik, A., et al. (2019). Bringing Research into the Classroom – The Citizen Science Approach in Schools. Brussels: European Schoolnet.
Osborne, J. (2014). Teaching Scientific Practices: Meeting the Challenge of Change. J. Sci. Teach. Education 25 (2), 177–196. doi:10.1007/s10972-014-9384-1
Paige, K., Zeegers, Y., Lloyd, D., and Roetman, P. (2016). Researching The Effectiveness of A Science Professional Learning Programme Using A Proposed Curriculum Framework For Schools: A Case Study. Int. J. Sci. Math. Educ. 14 (1), 149–175. doi:10.1007/s10763-014-9569-2
Phillips, T. B., Ballard, H. L., Lewenstein, B. V., and Bonney, R. (2019). Engagement in Science through Citizen Science: Moving beyond Data Collection. Sci. Ed. 103 (0), 665–690. doi:10.1002/sce.21501
Phillips, T., Porticella, N., Constas, M., and Bonney, R. (2018). A Framework for Articulating and Measuring Individual Learning Outcomes from Participation in Citizen Science. Citizen Sci. Theor. Pract. 3 (2), 3. doi:10.5334/cstp.126
Pocock, M. J. O., Tweddle, J. C., Savage, J., Robinson, L. D., and Roy, H. E. (2017). The Diversity and Evolution of Ecological and Environmental Citizen Science. PLOS ONE 12 (4), e0172579. doi:10.1371/journal.pone.0172579
Saunders, M. E., Roger, E., Geary, W. L., Meredith, F., Welbourne, D. J., Bako, A., et al. (2018). Citizen Science in Schools: Engaging Students in Research on Urban Habitat for Pollinators. Austral Ecol. 43 (6), 635–642. doi:10.1111/aec.12608
Sbaraini, A., Carter, S. M., Evans, R. W., and Blinkhorn, A. (2011). 2011/09/09)How to Do a Grounded Theory Study: a Worked Example of a Study of Dental Practices. BMC Med. Res. Methodol. 11 (1), 128. doi:10.1186/1471-2288-11-128
Schaefer, T., Kieslinger, B., Brandt, M., and van den Bogaert, V. (2021). “Evaluation in Citizen Science: The Art of Tracing A Moving Target,” in The Science of Citizen Science. Editor K. Vohland (Cham, Switzerland: Springer). doi:10.1007/978-3-030-58278-4_25
Schuttler, S. G., Sears, R. S., Orendain, I., Khot, R., Rubenstein, D., Rubenstein, N., et al. (2019). Citizen Science in Schools: Students Collect Valuable Mammal Data for Science, Conservation, and Community Engagement. BioScience 69 (1), 69–79. doi:10.1093/biosci/biy141
Shah, H. R., and Martinez, L. R. (2016). Current Approaches in Implementing Citizen Science in the Classroom. J. Microbiol. Biol. Education 17 (1), 17–22. doi:10.1128/jmbe.v17i1.1032
Sibthorp, J., Paisley, K., Gookin, J., and Ward, P. (2007). Addressing Response-Shift Bias: Retrospective Pretests in Recreation Research and Evaluation. J. Leis. Res. 39 (2), 295–315. doi:10.1080/00222216.2007.11950109
Stylinski, C. D., Peterman, K., Phillips, T., Linhart, J., and Becker-Klein, R. (2020). Assessing Science Inquiry Skills of Citizen Science Volunteers: a Snapshot of the Field. Int. J. Sci. Educ. Part B 10, 77–92. doi:10.1080/21548455.2020.1719288
Thomashow, M. (2001). Bringing the Biosphere home: Learning to Perceive Global Environmental Change. Cambridge, MA: MIT Press. doi:10.7551/mitpress/1673.001.0001
Toomey, A. H., and Domroese, M. C. (2013). Can Citizen Science lead to Positive Conservation Attitudes and Behaviors? Hum. Ecol. Rev. 20, 50–62.
Trumbull, D. J., Bonney, R., Bascom, D., and Cabral, A. (2000). Thinking Scientifically During Participation in a Citizen-Science Project. Sci. Ed. 84 (2), 265–275. doi:10.1002/(sici)1098-237x(200003)84:2<265::aid-sce7>3.0.co;2-5
Turrini, T., Dörler, D., Richter, A., Heigl, F., and Bonn, A. (2018). The Threefold Potential of Environmental Citizen Science - Generating Knowledge, Creating Learning Opportunities and Enabling Civic Participation. Biol. Conservation 225, 176–186. doi:10.1016/j.biocon.2018.03.024
Valencia Sáiz, A. (2005). ‘Globalisation, Cosmopolitanism and Ecological Citizenship'. Environ. Polit. 14 (2), 163–178. doi:10.1080/09644010500054848
Vitone, T., Stofer, K., Steininger, M. S., Hulcr, J., Dunn, R., and Lucky, A. (2016). School of Ants Goes to College: Integrating Citizen Science into the General Education Classroom Increases Engagement with Science. Jcom 15 (1), A03. doi:10.22323/2.15010203
Wals, A. E. J., Brody, M., Dillon, J., and Stevenson, R. B. (2014). Convergence Between Science and Environmental Education. Science 344 (6184), 583–584. doi:10.1126/science.1250515
Keywords: citizen science, informal science education, science skills, environmental citizenship, evaluation, youth, marine education, environmental education
Citation: Carson S, Rock J and Smith J (2021) Sediments and Seashores - A Case Study of Local Citizen Science Contributing to Student Learning and Environmental Citizenship. Front. Educ. 6:674883. doi: 10.3389/feduc.2021.674883
Received: 02 March 2021; Accepted: 19 May 2021;
Published: 14 June 2021.
Edited by:
Daniel Solis, Unidad Profesional Interdisciplinaria de Ingeniería Zacatecas (IPN), MexicoReviewed by:
Miguel Garcia-Guerrero, Autonomous University of Zacatecas, MexicoSarah Elizabeth West, University of York, United Kingdom
Copyright © 2021 Carson, Rock and Smith. This is an open-access article distributed under the terms of the Creative Commons Attribution License (CC BY). The use, distribution or reproduction in other forums is permitted, provided the original author(s) and the copyright owner(s) are credited and that the original publication in this journal is cited, in accordance with accepted academic practice. No use, distribution or reproduction is permitted which does not comply with these terms.
*Correspondence: Sally Carson, U2FsbHkuY2Fyc29uQG90YWdvLmFjLm56