- 1Department of Business and Social Sciences Education, University of Cape Coast, Cape Coast, Ghana
- 2Department of Education and Psychology, University of Cape Coast, Cape Coast, Ghana
- 3Department of Education, SDA College of Education, Asokore, Ghana
- 4Department of Health, Physical Education and Recreation, University of Cape Coast, Cape Coast, Ghana
- 5Department of Educational Foundations, University of Education, Winneba, Ghana
- 6Department of Health, Physical Education, Recreation and Sports, University of Education, Winneba, Ghana
- 7Neurocognition and Action-Biomechanics-Research Group, Faculty of Psychology and Sports Science, Bielefeld University, Bielefeld, Germany
The introduction of the new standards-based curriculum in Ghana required teachers to make adjustments, including teaching routines. Despite the challenges encountered in the introduction of this new curriculum, its passage was successful. Previous studies have revealed mixed reactions from teachers and how their experiences affect their efficacy during the implementation stage. This study examined whether teachers' experiences and self-efficacy beliefs influenced the implementation of the new curriculum reforms across gender in Ghana. The cluster sampling technique was used to survey 693 basic school teachers who responded to a questionnaire. Descriptive and regression-based inferential statistics were used to analyze the data. A preliminary assessment showed that teachers exhibited a moderate-to-high level of teaching efficacy in student engagement, instructional strategy, and classroom management. Furthermore, the study also revealed that teaching experience was positively related to efficacy. However, gender significantly moderated the relationship between teaching experience and teachers' efficacy in student engagement as well as teaching experience and efficacy in student engagement. Findings imply that even though teachers may be more likely to plan and deliver pedagogical content and carry out instructional activities, their sense of efficacy in managing their classroom is questionable. Emphasizing teaching experience in improving their efficacy in curriculum implementation is key, especially among female teachers. Programs or capacity-building training workshops that seek to improve teachers' ability to manage the classroom environment should be organized regularly to promote effective curriculum implementation.
Introduction
Quality delivery of education depends on several factors including a quality curriculum, which almost every nation, at some point in time, has carried out some reforms. The Ghanaian educational system, which has undergone several educational reforms, is clustered into three major phases: 9 years of basic education [i.e., early childhood education (kindergarten), primary, and junior high school], 3 years of secondary education (i.e., senior high school/vocational and technical schools), and 3–4 years of tertiary education (i.e., academic university, technical university, colleges of education, and nursing training colleges) (Adu-Gyamfi et al., 2016). Historically, educational reform initiatives in Ghana are both curricular and structural (Quainoo et al., 2020). Recently, in September 2019, the Government of Ghana (GoG), through the Ministry of Education (MoE), Ghana Education Service (GES), and the National Council for Curriculum and Assessment (NaCCA) introduced a new curriculum reform, “the Standards-Based Curriculum” (SBC) at the basic schools (i.e., from kindergarten to primary six) based on the 2017 educational reform. The SBC was implemented to replace the objective-based curriculum (OBC) that the country had adopted since the introduction of formal education as far back as the eighteenth century (National Council for Curriculum and Assessment [NaCCA], 2019). In 1961, Ghana implemented an Education ACT to formalize and regularize the education system (Anum, 2007). Since then, several educational reforms (i.e., 1974, 1987, and 2007) have been introduced to ensure the efficiency and effectiveness of the education system and to provide quality education to citizens (Anum, 2007). These reforms emphasized the OBC until the recent educational reform in 2017, which advocated for SBC (Adu-Gyamfi et al., 2016). According to NaCCA (2019), the rationale for SBC was to respond to the national priority of shifting the structure and content of the education system from merely passing examinations to building character, nurturing values, literacy, confidence, and critical thinking among citizens. The key features of SBC include the acquisition of the 4Rs, namely reading, writing, arithmetic, and creativity; development of core competencies/twenty-first century skills [foundational and lifelong skills]; learner-centered pedagogies (e.g., differentiation, scaffolding, and use of ICT); and inclusion and diversity in education (NaCCA, 2019).
The new curriculum reform has caused a complete shift in teaching activities, which required a radical change in teachers' roles from the agents of knowledge transmission to the facilitators of student knowledge acquisition (NaCCA, 2019). This approach has led to several concerns among teachers, which have affected the quality of implementation of the new curriculum (SBC) (Apau, 2021). Previous studies on SBC implementation in Ghana established that teachers have informational concerns (i.e., need more information on reforms), personal concerns (i.e., worried about how the new reform will affect their teaching beliefs, confidence, competencies, and knowledge), and management concerns (i.e., worried about instructional resources, absence of textbooks, time, and logistics) about the new curriculum reforms (e.g., Aboagye and Yawson, 2020; Apau, 2021; Mpuangnan and Adusei, 2021). These concerns could affect teachers' teaching sense of self-efficacy beliefs in implementing the SBC. Some scholars have found that effective curriculum implementation in schools is a function of teachers' instructional competencies (knowledge and skills), perceptions, and confidence (self-efficacy beliefs) (Smith, 1996; Marsh, 1997; Roehrig et al., 2007).
Drawing from social cognitive theory (Bandura, 1977), self-efficacy is considered as “beliefs in one's capabilities to organize and execute the course of action required to manage prospective situations” (Bandura, 1986, p. 3). In line with this definition, Tschannen-Moran and Woolfolk Hoy (1998) defined a teacher's sense of self-efficacy belief as “the teacher's belief in his or her capability to organize and execute the course of action required to successfully accomplish a specific teaching task in a particular context” (p. 22). Tschannen-Moran and Woolfolk Hoy (2001) also conceptualized teachers' sense of self-efficacy beliefs as a function of efficacy in instructional strategy, classroom management, and student engagement. Efficacy in instructional strategy is about confidence in the teacher's ability to deploy appropriate methods, procedures, and materials (i.e., provide appropriate learning experiences) to transmit the curriculum content to the learners (Tschannen-Moran and Woolfolk Hoy, 2001). Efficacy in classroom management is about the teacher's belief in their ability to use appropriate skills and techniques to establish classroom rules and routines, direct and control learners' misbehaviors, and arrange the physical and social conditions to create a quality learning environment for learners (Tschannen-Moran and Woolfolk Hoy, 2001). Efficacy in student engagement refers to the teacher's confidence in their ability to organize and implement learning experiences or activities that would draw learners' attention and develop their curiosity, interest, optimism, and passion for the learning tasks during the instructional process (Tschannen-Moran and Woolfolk Hoy, 2001). These beliefs result in an individual teacher's decision to meet the demands of the current task.
Empirical studies have shown that teachers with a high level of teaching self-efficacy beliefs are more likely to adapt to educational innovations and, consequently, foster their implementation of curriculum reforms (e.g., Ghaith and Yaghi, 1997; Evers et al., 2002; Weisel and Dror, 2006); accept and use new innovative strategies of teaching (e.g., Haverback and Parault, 2008; Pfitzner-Eden, 2016; Snyder and Fisk, 2016); provide classroom planning and organization (e.g., Dibapile, 2012); and ensure quality instruction (e.g., Klassen et al., 2011; Holzberger et al., 2012; Klassen and Tze, 2014; Zee and Koomen, 2016). Teachers' sense of self-efficacy leads to effective curriculum implementation (Snyder et al., 1992; Fullan, 1994). Fullan (1994) argued in his research that when teachers have a greater sense of self-efficacy, it leads them to act and persist in the effort required to ensure successful curriculum implementation.
Extant researchers have reported different levels of teachers' self-efficacy beliefs in implementing the curriculum. For example, Hodges et al. (2016) reported that teachers exhibited high confidence (self-efficacy) levels when implementing the problem-based science curriculum in the USA. In Ghana, teachers exhibited a high level of self-efficacy in teaching beliefs (i.e., instructional strategies, student engagement, and classroom management) toward implementing the Ghanaian Language and Culture curriculum (Bassah, 2020) and the Social Studies curriculum (Arko, 2021). Similar findings are reported in studies conducted in Turkey (Kabaoglu, 2015) and Kenya (Wang'eri and Otanga, 2014). However, teachers with a moderate level of self-efficacy beliefs in implementing the curriculum have been reported in Tanzania (Jumanne, 2012), the Caribbean (Jameson-Charles and Jaggernauth, 2015), Malaysia (Abdullah and Kong, 2016; Yusof and Nor, 2017), and Indonesia (Susilanas et al., 2018).
A plethora of investigations have also produced contradictory results about the influence of gender and teaching experiences on teachers' self-efficacy in implementing the curriculum. For example, a significant difference in teaching self-efficacy beliefs (classroom management, instructional strategies, and student engagement) of teachers with respect to gender was reported in India (Chandrika and Varma, 2022), Ethiopia (Butucha, 2014), and Kenya (Wang'eri and Otanga, 2014). Female teachers reported significantly higher teaching self-efficacy than their male counterparts in Iran (Karimvand, 2011) and Pakistan (Ahmad et al., 2015) while male teachers were more efficacious than females in Malaysia (Abdullah and Kong, 2016). Other studies have also discovered no gender influence on self-efficacy beliefs of teachers in curriculum implementation (e.g., Odanga et al., 2015; Yusof and Nor, 2017; Bassah, 2020; Rezaeian and Abdollahzadeh, 2020; Arko, 2021).
Previous studies have also established a significant relationship between teaching experience and teachers' self-efficacy beliefs during curriculum implementation. For example, George et al. (2018) in Australia found that teachers' self-efficacy increased across all dimensions of self-efficacy as they progressed from their first to the fifth year of teaching. Also, in Iran, Karimvand (2011) established that teachers with more teaching experience (e.g., 5 years and above) had significantly higher self-efficacy beliefs than teachers with less teaching experience (e.g., 1–3 years). Similar findings were reported in the Caribbean (Jameson-Charles and Jaggernauth, 2015), Malaysia (Yusof and Nor, 2017), and Kenya (Wang'eri and Otanga, 2014).
Ghana practices a centralized education system where the government makes curriculum planning, designing and development, implementation and evaluation decisions through its educational policymakers like NaCCA, MoE, and GES (Anum, 2007; Adu-Gyamfi et al., 2016). The key curriculum decisions are vested in NaCCA (a centralized body) under the supervision of the GES and MoE. This body is mandated to develop a comprehensive curriculum document to guide teachers in teaching (NaCCA, 2019). Since Ghana operates within the centralized educational system, the fidelity approach to curriculum implementation is endorsed. Teachers are expected to faithfully comply, use, and implement the official curriculum as intended by the authorities without any deviation (Cobbold, 2017). Any minimum degree of deviation might distort the true meaning of what is intended to be implemented. Despite teachers being recognized as the pinnacle of effective curriculum implementation, their roles in all these curriculum decisions are infinitesimal in Ghana (Cobbold, 2017). Teachers in Ghana are not directly involved in the curriculum decision-making process. This situation has raised major concerns among teachers with respect to the implementation of any innovation like the SBC.
In Ghana, the only official introduction of SBC was through the government's national address. Since then, the GES and MoE, through the regional and district directors of education, were made to organize workshops and training sessions for the teachers to brief them on the new curriculum (i.e., SBC) and what is expected of them during the implementation in September 2019 (Kpedator, 2019). The workshops and training sessions were organized on a regional and district basis and lasted only 5 days (Kpedator, 2019). However, the teachers were highly dissatisfied with the organization of the workshops due to some challenges they encountered. As a result, some teachers quit the workshop sessions because their needs were not met and addressed (Arhinful and Tijani, 2020). Since the introduction of the SBC to date, it appears no major measures were put in place to inform its implementation process/rolling out. These issues have made teachers worry or express concerns about the SBC (Apau, 2021). The concerns of the teachers could negatively affect their beliefs and judgments or confidence in their capabilities to bring about the desired outcomes of SBC. Thus, their ability to handle the tasks, obligations, and professional requirements in implementing the SBC.
Taken together, teachers play a pivotal role in the successful implementation of educational reforms, especially with curriculum reforms. Hence, teachers' self-efficacy beliefs and experiences may be an essential source of motivation to implement curriculum reform initiatives. Since the introduction of SBC in 2019, empirical studies on teachers' experience and self-efficacy beliefs across gender in implementing the curriculum have been lacking. This study aimed to examine whether teachers' experience and self-efficacy beliefs will influence the implementation of the new curriculum reforms across gender in Ghana. The following specific objectives were outlined:
1. Assess the level of teachers' sense of teaching self-efficacy beliefs in curriculum implementation
2. Establish the influence of gender on teachers' sense of teaching self-efficacy beliefs in curriculum implementation
3. Determine the moderating effect of gender in the relationship between teaching experience and teachers' sense of teaching self-efficacy beliefs in curriculum implementation.
The outcome of this inquiry provides valuable information on the degree of teachers' experience and self-efficacy beliefs in implementing the SBC in Ghana and how teachers' profiles influence their teaching self-efficacy beliefs during the implementation. Teachers' experiences and beliefs regarding curriculum reforms are important elements of educational change, as there is a relationship between what teachers believe and what they do in the classroom. Identified findings may provide important insights into how teachers approach the implementation of new curricula and may help explain variations in curriculum implementation. Investigating teachers' self-efficacy beliefs not only has the potential to result in successful curriculum implementation in Ghana but can also provide input for interesting and effective ways of teacher development programs with an emphasis on educating competent teachers. Based on the foregoing literature, a conceptual model was developed for the investigation (see Figure 1).

Figure 1. A conceptual framework on the moderating role of gender in the link between teachers' teaching experience and teaching sense of self-efficacy beliefs.
Materials and methods
Participants' selection
The population comprised 2,145 basic school teachers from seven (7) study centers clustered within the three zones of Ghana, namely the Northern Zone, the Middle Zone, and the Southern Zone. This is composed of 325, 1,100, and 720 teachers for the Northern, Middle, and Southern zones, respectively. The participants had completed a Diploma in Basic Education from their initial training at the Colleges of Education (CoE) in Ghana. It should be noted that all the teachers in the population had already been employed in GES for teaching. They were officially enrolled to pursue sandwich degree programs (as a top-up degree program) within two and a half years in different academic-related courses at the University of Cape Coast in the 2019/2020 academic year. This sandwich program aims to help basic school teachers develop professionally while keeping the majority of them in the classroom. The program commences as soon as basic schools vacate to enable these teachers to attend lectures at different study centers across various CoEs in Ghana, clustered within the three zones of Ghana. Any in-service basic school teacher enrolled in the UCC sandwich degree program at the time of data collection was qualified to be involved in the study. The descriptive cross-sectional survey design was employed, through cluster sampling to sample 693 basic school teachers (male n = 374, 54%, female n = 319, 46%), with ages categorized as, below 25 years (n = 61, 8.8%), 25–29 years (n = 458, 66.1%), and 30 years and above (n = 174, 25.1%). The teaching experiences of participants were categorized into 1–5 years (n = 563, 81.2%), 6–10 years (n = 107, 15.4%), and 10 years and above (n = 23, 3.3%). The sample distributions across the three zones were 105, 355, and 233 participants from the Northern, Middle, and Southern zones, respectively.
Instrumentation
A questionnaire was used to collect data to answer the research objectives raised in the study. The questionnaire was structured to contain an informed consent letter and the survey items. The instrument had a socio-demographic section (i.e., gender, age, and teaching experience), followed by the teaching self-efficacy beliefs section. The three major variables of interest in this research include gender, teaching experience, and teaching self-efficacy beliefs. The measurements of these key variables are explained in the subsequent section.
Gender
Gender was conceptualized as an individual's classification, generally as male or female or intersex, based on their reproductive organs and functions as informed by the chromosomal complement (Institute of Medicine, 2001; Short et al., 2013). As such, respondents were asked to indicate their gender by indicating either male, female, or intersex.
Teaching experience
The teaching experience was measured using the number of years that the respondent had taught as an in-service teacher, as endorsed by several previous studies (Adeyemi, 2008; Irvine, 2019; Ansah et al., 2020; Graham et al., 2020). Thus, respondents were required to indicate the number of years (approximated years) they had taught in the Ghanaian school system. Internships and off-campus teaching experiences were not considered.
Teachers' sense of teaching self-efficacy beliefs
The teachers' sense of efficacy scale (TSES) by Tschannen-Moran and Woolfolk Hoy (2001) was adapted to measure teachers' sense of teaching self-efficacy beliefs in curriculum implementation. The scale had three dimensions, namely, student engagement, instructional strategy, and classroom management. Each dimension had eight items. Some of the questions on the scale include: “How much can you do to get through to the most difficult students” (efficacy in student engagement); “How much can you do to control disruptive behavior in the classroom” (efficacy in classroom management); and “How much can you gauge student comprehension of what you have taught” (efficacy in instructional strategies). The items were scored on a 6-point response scale, with ‘1' nothing, ‘2' very little, ‘3' little, ‘4' some influence, ‘5' quite a bite, and ‘6' a great deal. The scale had Cronbach's alpha estimates of 0.87, 0.91, and 0.90 for the dimensions of student engagement, instructional strategy, and classroom management, respectively. The following values were obtained using the McDonald's Omega (ω) coefficients: 0.568, 0.893, and 0.570 for student engagement, instructional strategy, and classroom management dimensions, respectively. Similarly, using Cronbach's alpha, 0.618, 0.892, and 0.602 were obtained for student engagement, instructional strategy, and classroom management dimensions, respectively. The coefficients were deemed sufficient (Quansah, 2017; Pallant, 2020).
Data collection procedure
Following ethical approval from the University of Cape Coast's Institutional Review Board (UCCIRB) with identification number UCCIRB/CES/2020/81, further approval was sought from the Institute of Education at UCC which oversees the management of the sandwich program. Participants who volunteered to participate in the study signed written informed consent forms prior to data collection. Furthermore, the study participants were directly recruited from their various study centers with the help of their lecturers, who consented to assist in collecting the data during the 2019/2020 sandwich session. These lecturers were trained for 2 days to assist in this process because they had direct access to the in-service (sandwich) teachers and had already established rapport with them. Having direct contact with the in-service teachers, the lecturers were deemed helpful because they could facilitate the data collection process.
During the study, other ethical issues were also addressed, including confidentiality, willingness to be involved or otherwise in the study, and withdrawal from responding to the survey items anytime they deemed appropriate. Moreover, participants were assured that their information would be kept anonymous without any linkage with their personal identities. The research assistants thoroughly explained all items on the questionnaire to participants and asked them to seek further clarification if need be. The research assistants distributed the survey instruments to the participants to respond to before class each day to ensure that the participants' lecture periods were not disrupted. Each questionnaire was answered within 10–15 min, while the entire data collection period took ~2 months (15 November 2020 to 8 January 2021). The research assistants collected all the answered questionnaires and gave them to the researchers in sealed brown envelopes for safekeeping.
Data analysis
Having screened and edited the data collected, outliers were checked, with none idenitifed. Descriptive statistics such as mean, SD, skewness, and kurtosis were used to analyze the data. Pearson's correlation was used to assess the relationships among student engagement, instructional strategy, and classroom management dimensions. Frequency counts and percentages were used to analyze the levels of teaching self-efficacy beliefs, whereas multivariate simple linear regression analysis was used to examine the influence of gender on teachers' sense of self-efficacy beliefs. Considering the dependent variables, a stringent alpha of 0.017 was used. Using a simple moderation analysis, Hayes' PROCESS (model 1), with 5,000 bootstrap samples, was employed to test the moderation effect of gender in the relationship between teaching experience and teachers' sense of teaching self-efficacy beliefs in curriculum implementation. The gender of the teachers was dummy coded. In a dummy variable for males, all cases in which the respondent was male were coded as one, and all other cases in which the respondent was female were coded as 0 (i.e., the females were held as a reference group).
Results
Descriptive statistics on study variables
Descriptive information and correlations among the study variables are presented in Table 1.
From Table 1, the study variables were positively related. The relationship was highest between self-efficacy beliefs in student engagement and self-efficacy beliefs in classroom management (r = 0.671). A weak relationship was found between self-efficacy beliefs in student engagement and self-efficacy beliefs in instructional strategy (r = 0.346), self-efficacy beliefs in classroom management and self-efficacy beliefs in instructional strategy (r = 0.323). It was further shown that teachers demonstrated the highest sense of self-efficacy beliefs in student engagement (M = 4.161, SD = 0.858), followed by instructional strategy (M = 4.078, SD = 1.278). The teaching experience was positively associated with all the dimensions of teaching self-efficacy beliefs. The self-efficacy beliefs in classroom management (M = 4.030, SD = 0.846) were the least. Gender had a weak positive link with teachers' self-efficacy beliefs in student engagement, classroom management, and teaching experience but a weak negative association with self-efficacy beliefs in instructional strategy. The skewness and kurtosis for all the variables were within the recommended ranges of ±2 and ±7, respectively (Hair et al., 2010).
Level of teachers' sense of teaching self-efficacy beliefs in SBC implementation
The study assessed the extent of teaching self-efficacy beliefs of teachers in the implementation of SBC. The efficacy scores ranged from 1 to 6. The scores were categorized as 1.0–2.99, 3.0–4.99, and 5.0–6.0 as low, moderate, and high, respectively. Table 2 presents the details.
As shown in Table 2, for all the dimensions of teaching self-efficacy beliefs, majority of the teachers exhibited moderate levels of teaching self-efficacy beliefs in the implementation of the SBC: student engagement (n = 494, 71.3%); instructional strategy (n = 324, 46.8%); and classroom management (n = 519, 74.9%). However, quite a number of teachers possessed low self-efficacy beliefs in instructional strategy (n = 149, 21.5%).
Influence of gender on teachers' sense of teaching self-efficacy beliefs in curriculum implementation
Multivariate linear regression with a stringent alpha of 0.017 was used to examine the influence of gender on teachers' sense of teaching self-efficacy beliefs in SBC implementation. The results are summarized in Table 3.

Table 3. Regression parameters of the influence of gender on teachers' sense of teaching self-efficacy beliefs in SBC implementation.
Gender had no significant influence on teachers' sense of self-efficacy beliefs in student engagement, B = 0.103, t = 1.607, p = 0.108; instructional strategy, B = 0.002, t = 0.024, p = 0.981; and classroom management, B = 0.106, t = 1.652, p = 0.099 (Table 3). Practically, the magnitude of the educational importance of gender on teachers' sense of teaching self-efficacy beliefs in the implementation of the SBC was almost insignificant for all three dimensions of teaching self-efficacy beliefs (Cohen, 1988).
Moderating effect of teachers' gender in the relationship between teaching experience and self-efficacy beliefs in SBC implementation
The moderating role of gender in the relationship between teaching experience and each of the three dimensions of teachers' sense of teaching self-efficacy beliefs in SBC implementation is shown in Table 4.

Table 4. Interaction effect of teachers' gender in the relationship between teaching experience and self-efficacy beliefs in SBC implementation.
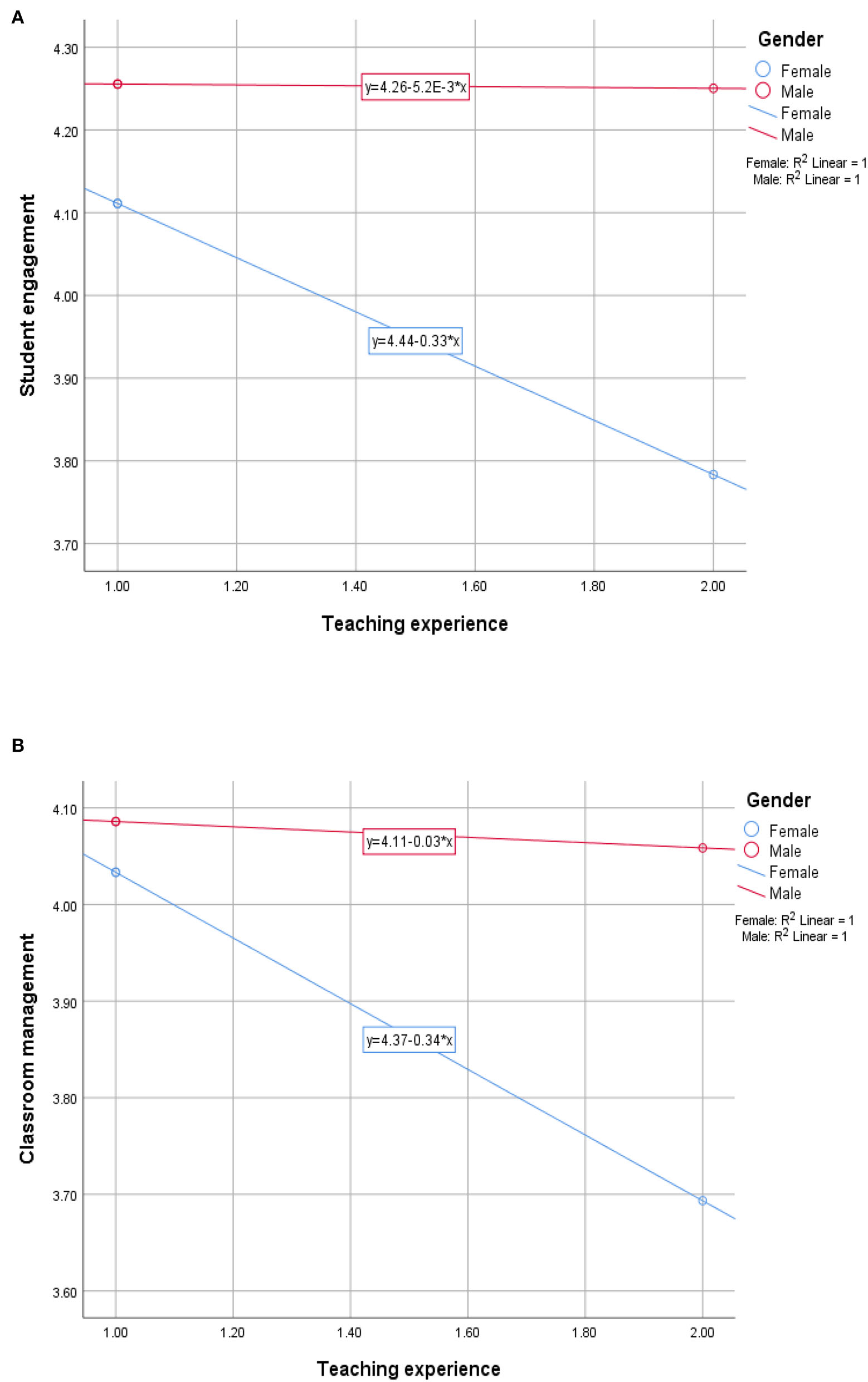
Gender did not moderate the relationship between teaching experience and teachers' sense of self-efficacy beliefs in instructional strategies, B = 0.092, t = 0.438, Boot 95% CI [−0.319, 0.503], f2 = 0.007 (Table 4). However, the relationship between teaching experience and teachers' sense of self-efficacy beliefs in student engagement was significantly moderated by gender, B = 0.323, t = 2.317, boot 95% CI [0.049, 0.596], f2 = 0.026. Practically, the magnitude of the effect was very small. Similarly, gender significantly moderated the relationship between teaching experience and teachers' sense of self-efficacy beliefs in classroom management, with a very small effect size, B = 0.312, t = 2.267, boot 95% CI [0.042, 0.583], f2 = 0.017. Further probe into the moderations showed that, both in the case of student engagement and classroom management, the relationships were stronger for women than for men (see Figures 2A,B).

Figure 2. (A) Moderation effect of gender in the relationship between teaching experience and self-efficacy beliefs in student engagement. (B) Moderation effect of gender in the relationship between teaching experience and self-efficacy beliefs in classroom management.
Discussion
The study's first objective assessed the level of teachers' sense of teaching self-efficacy beliefs in implementing the SBC. It was found that teachers possessed a moderate to high level of teaching self-efficacy beliefs in student engagement, instructional strategy, and classroom management. The trend of results was not so encouraging since a moderate level of teaching self-efficacy beliefs reflects a moderate degree of exactness in SBC implementation among teachers (Bassah, 2020). This pattern of results suggests that a high level of self-efficacy beliefs is required by teachers for successful implementation of the SBC. Teachers having a moderate self-efficacy belief implies that teachers do not have the full conviction of performing their roles regarding the implementation of the SBC (Kuyini et al., 2020). Undoubtedly, the implementation of the SBC in Ghana saw several challenges, which included non-availability and accessibility of teaching and learning materials, textbooks, syllabi, assessment literacy, and pedagogical logistics (Kpedator, 2019; Ansah et al., 2020; Quansah and Ankoma-Sey, 2020; Nugba et al., 2021; Quansah, 2021). Particularly, Kpedator (2019) showed that the 1-week workshop organized to train the teachers to implement the new curriculum was insufficient. Given these challenges, it is not surprising that teachers had a moderate level of teaching self-efficacy beliefs in the implementation of the SBC, with other previous studies showing similar findings (Jumanne, 2012; Jameson-Charles and Jaggernauth, 2015; Abdullah and Kong, 2016; Yusof and Nor, 2017; Susilanas et al., 2018). With the studies that showed contradictory findings (i.e., teachers exhibiting high levels of teaching self-efficacy beliefs), majority of the teachers sampled for such studies had between 6 and 10 years of teaching experience as compared to this study, where an overwhelmingly high number of the teachers had teaching experience ranging between 1 and 5 years. Arguably, the disparities in the years of teaching could explain the variations in the results.
Regarding the influence of gender on teachers' sense of teaching self-efficacy beliefs in SBC implementation, teachers' gender did not influence their sense of teaching self-efficacy beliefs in implementing the new curriculum. Practically, the magnitude of the educational importance of gender on teachers' sense of teaching self-efficacy beliefs in the implementation of the SBC was almost insignificant. This observation supports some studies that have been documented in literature (Odanga et al., 2015; Yusof and Nor, 2017; Bassah, 2020; Rezaeian and Abdollahzadeh, 2020; Arko, 2021). For instance, Arko (2021) and Bassah (2020) attested that gender did not have any substantial influence on the sense of teaching self-efficacy beliefs of teachers in the implementation of newly implemented curricula. Other studies in India (Chandrika and Varma, 2022), Ethiopia (Butucha, 2014), and Kenya (Wang'eri and Otanga, 2014), however, noted the significant influence of gender on teachers' self-efficacy beliefs in the implementation of new curricula. For example, while female teachers in Iran (Karimvand, 2011) and Pakistan (Ahmad et al., 2015) were found to have higher teaching self-efficacy beliefs compared to their male peers, male teachers in Malaysia (Abdullah and Kong, 2016) were more efficacious than female teachers in the implementation of the new curriculum. These variations could be as a result of the variations in cultural codes. For example, in communities where males are seen as superior to their female counterparts, they are likely to exhibit higher levels of self-efficacy beliefs. Other factors that could explain the discrepancy in the findings include determinants such as teaching experience and pedagogical skills.
This study has revealed that teaching experience was positively related to teachers' sense of teaching self-efficacy beliefs. Although the SBC is new to teachers, the pedagogy, subject matter knowledge, and classroom practices required for successful implementation may not be too different from the old curriculum. Given this premise, experienced teachers have been found to exhibit higher levels of teaching self-efficacy beliefs in implementing the SBC in Ghana (Apau, 2021). Several other studies have also supported the claim that teachers with more than 4 years of teaching experience demonstrate a higher level of teaching self-efficacy beliefs (Karimvand, 2011; Wang'eri and Otanga, 2014; Jameson-Charles and Jaggernauth, 2015; Yusof and Nor, 2017). Additionally, gender significantly moderated the relationship between teaching experience and teachers' sense of self-efficacy beliefs in student engagement and teaching experience and self-efficacy beliefs in student engagement. For the same number of years, male teachers are more likely to exhibit higher levels of self-efficacy beliefs in SBC implementation (i.e., classroom management and student engagement) than their female counterparts. This finding reflects the observations of studies that compared male and female teachers with the same years of teaching, which indicated that male teachers often maintain classroom discipline, control disruptive actions, and can engage students in a class (Tabak et al., 2003; Gurbuzturk and Sad, 2009; Shaukat and Iqbal, 2012). However, other studies have also found contradictory results due to methodological limitations, samples used, and context-specific variations (Karimvand, 2011; Odanga et al., 2015; Bassah, 2020; Apau, 2021).
Strengths and limitations
The use of statistical analyses, a larger sample size (n = 693), and standardized instruments make it possible to verify the results through further statistical computations, generalize the findings to the population, and replicate the study in a different setting using different samples are the strengths of this study. The study acknowledges certain limitations. First, the descriptive nature of the study does not call for a cause-and-effect relationship among the variables. Again, the use of questionnaires might have introduced respondents' recall biases and other social desirability concerns (e.g., under or over-reporting). Moreover, as self-reported questionnaires were used to collect data from the participants simultaneously, common method variance or bias may be a concern. This approach might affect the reliability and validity of the findings. Furthermore, studying teachers in a sandwich degree program might lead to biased findings because such a group of individuals may not represent all the teachers who are teaching in the basic schools. Also, using lecturers as research assistants during the data collection may influence the participants to respond to the items in a biased manner. However, efforts were made to avoid these biases. The study could not establish and account for differences in teachers' self-efficacy beliefs across different subjects because the teachers who participated in the study were classroom teachers (i.e., they teach all the subjects in their respective classes).
Practical implications
The study stresses the role of teaching experience and its interaction with gender on the levels of teacher self-efficacy beliefs in the SBC implementation. The findings of the study call on the NaCCA and GES to organize more workshops to fully build teachers' capacity and/or sense of teaching self-efficacy beliefs to enhance the successful implementation of the SBC. Notably, the training programs and follow-up seminars need to focus on female and less experienced teachers. Taking a clue from Bandura's social cognitive theory in relation to the findings, teachers could develop their teaching self-efficacy beliefs through interactions with relevant peers, imitation, observation, and modeling. Based on this tenet and the research findings, less experienced teachers should be paired with more experienced teachers as mentors in implementing the SBC. More mentor-mentee programs could be encouraged to build or promote teachers' self-efficacy beliefs, especially females, in implementing SBC. This approach seeks to build the teaching self-efficacy beliefs of less experienced teachers. Since teaching self-efficacy beliefs affect teachers' behavioral outcomes and students' academic achievement, much attention should be given to teachers with low self-efficacy beliefs. This suggestion is because teachers with common teaching self-efficacy beliefs are more likely to be dissatisfied and demotivated with their teaching job. This assumption could negatively affect their teaching behaviors, teaching quality, and students' academic performances.
Conclusion
The study found moderate levels of teaching self-efficacy beliefs in student engagement, instructional strategy, and classroom management. These findings imply that even though teachers may be more likely to plan and deliver content and carry out pedagogical and instructional activities, their teaching self-efficacy beliefs in managing their classrooms are questionable. Teachers' gender did not influence their sense of teaching self-efficacy beliefs in implementing the new curriculum. However, gender moderated the relationship between teaching experience and teachers' self-efficacy beliefs (i.e., student engagement and classroom management), with males showing considerable levels of teaching self-efficacy beliefs compared to their female counterparts. The findings draw on teaching experience in improving the teaching self-efficacy beliefs of teachers in the SBC implementation across gender. Programs or capacity-building training and workshops that seek to improve teachers' ability to manage their classroom affairs in connection with effective SBC implementation should be organized. Such programs should pay particular attention to female teachers and teachers with few years of teaching experience to help in the SBC implementation in the various schools.
Data availability statement
The raw data supporting the conclusions of this article will be made available by the authors, without undue reservation.
Ethics statement
The studies involving human participants were reviewed and approved by the Institutional Review Board of University of Cape Coast, Ghana, with a reference number: UCCIRB/CES/2020/81. The participants provided their written informed consent to participate in this study.
Author contributions
EA and FA conceived the idea. FA performed the analysis. EA, FA, JF, FQ, MS-S, JH, and TS prepared the initial draft of the manuscript. All authors thoroughly revised and approved the final version of the manuscript.
Acknowledgments
The authors are sincerely thankful to Bielefeld University, Germany, for providing financial support for the article processing charge for the manuscript through the Open Access Publication Fund.
Conflict of interest
The authors declare that the research was conducted in the absence of any commercial or financial relationships that could be construed as a potential conflict of interest.
The reviewer IA declared a shared affiliation with the authors EA, FA, JF, and JH to the handling editor at the time of review.
Publisher's note
All claims expressed in this article are solely those of the authors and do not necessarily represent those of their affiliated organizations, or those of the publisher, the editors and the reviewers. Any product that may be evaluated in this article, or claim that may be made by its manufacturer, is not guaranteed or endorsed by the publisher.
References
Abdullah, M. S. B., and Kong, K. (2016). “Teachers' sense of efficacy with regards to gender, teaching options and experience,” in Proceedings of ISER 17th International Conference. Auckland (2016).
Aboagye, E., and Yawson, J. A. (2020). Teachers' perception of the new educational curriculum in Ghana. Afr. Educ. Res. J. 8, 6–12. Available online at: https://eric.ed.gov/?id=EJ1242678 (accessed May 23, 2022).
Adeyemi, T. O. (2008). Teachers teaching experience and students learning outcomes in secondary schools in Ondo state, Nigeria. Educ. Res. Rev. 3, 204–212. doi: 10.4314/ajesms.v3i1.38607
Adu-Gyamfi, S., Donkoh, W. J., and Addo, A. A. (2016). Educational reforms in Ghana: past and present. J. Educ. Hum. Dev. 5, 158–172. doi: 10.15640/jehd.v5n3a17
Ahmad, R. N., Khan, S. A., and Rehman, S. (2015). Comparative study to investigate the sense of teacher efficacy between male and female teachers. Asian J. Manag. Sci. Educ. 4, 29–35. Available online at: http://www.ajmse.leena-luna.co.jp/AJMSEPDFs/Vol.4(2)/AJMSE2015(4.2-04).pdf (accessed May 23, 2022).
Ansah, J. K., Quansah, F., and Nugba, R. M. (2020). ‘Mathematics achievement in crisis': Modelling the influence of teacher knowledge and experience in senior high schools in Ghana. Open Educ. Stud. 2, 265–276. doi: 10.1515/edu-2020-0129
Anum, A. K. (2007). Educational reforms in Ghana, 1974-2007. Available online at: http://www.GhanaWebBlogEducatonalReformsinGhana,1974-2007.htm (accessed November 15, 2021).
Apau, S. K. (2021). Teachers concerns about the implementation of the standards-based curriculum in Ghana: a case study of Effutu Municipality. Educ. Res. Rev. 16, 202–211. doi: 10.5897/ERR2020.4051
Arhinful, E., and Tijani, H. (2020). Teachers boycott GES' Curriculum Training Workshop Over Allowances. Available online at: https://citinewsroom.com/2020/12/a-r-teachers-boycott-ges-curriculum-training-workshop-over-allowances/#:~:text=A%2FR%3A%20Teachers%20boycott%20GES%27%20curriculum%20training%20workshop%20over%20allowances,-byErnest%20Arhinfulandtext=About%20400%20participants%20in%20the,is%20in%20its%20fourth%20day (accessed July 12, 2021).
Arko, D. A. (2021). How confident are social studies teachers in curriculum implementation? Understanding teachers' self-efficacy beliefs. Am. J. Humanit. Soc. Sci. Res. 5, 186–198. Available online at: https://www.ajhssr.com/wp-content/uploads/2021/11/X21511186198.pdf (accessed May 21, 2022).
Bandura, A. (1977). Self-efficacy: toward a unifying theory of behavioral change. Psychol. Rev. 84, 191–215. doi: 10.1037/0033-295X.84.2.191
Bandura, A. (1986). Social Foundations of Thought and Action: A Social Cognitive Theory. Englewood Cliffs, NJ: Prentice-Hall.
Bassah, M. G. (2020). Teachers' self-Efficacy Beliefs and Ghanaian Language Curriculum Implementation in Senior High Schools in North and South Danyi Districts, Volta Region. Unpublished master's thesis, University of Cape Coast.
Butucha, K. (2014). Relationships between secondary school beginning teachers' perceptions of self-efficacy and professional commitment in Ethiopia. Int. J. Acad. Res. Prog. Educ. Dev. 3, 79–104. doi: 10.6007/IJARPED/v3-i3/955
Chandrika, S. D., and Varma, K. (2022). Study of self-efficacy amongst higher secondary school teachers with respect to teaching experience and gender. J. Posit. Sch. Psychol. 6, 195–199. Available online at: https://journalppw.com/index.php/jpsp/article/view/1162 (accessed May 23, 2022).
Cobbold, C. (2017). Moving from page to playground: the challenges and constraints of implementing curriculum in Ghana. Res. Humanit. Soc. Sci. 7, 1–11. Available online at: http://hdl.handle.net/123456789/5425 (accessed May 4, 2022).
Cohen, J. (1988). Statistical Power Analysis for the Behavioral Sciences, 2nd Edn. New York, NY: Lawrence Erlbaum Associates, Publishers.
Dibapile, W. T. S. (2012). Teacher Efficacy and Classroom Management Among Botswana Junior Secondary School Teachers. Unpublished doctoral dissertation, University of Tennessee, Knoxville, USA.
Evers, W. J. G., Brouwers, A., and Tomic, W. (2002). Burnout and self-efficacy: a study on teachers' beliefs when implementing an innovative educational system in the Netherlands. Br. J. Educ. Psychol. 72, 227–243. doi: 10.1348/000709902158865
Fullan, M. (1994). “Implementation of innovations,” in The International Encyclopedia of Education, 2nd Edn., eds T. Husen and T. N. Postlethwaite (Oxford: Pergamon Press), 2839–2847.
George, S. V., Richardson, P. W., and Watt, H. M. (2018). Early career teachers' self-efficacy: a longitudinal study from Australia. Aust. J. Educ. 62, 217–233. doi: 10.1177/0004944118779601
Ghaith, G., and Yaghi, H. (1997). Relationships among experience, teacher efficacy, and attitudes towards the implementation of instructional innovation. Teach. Teach. Educ. 13, 451–458. doi: 10.1016/S0742-051X(96)00045-5
Graham, L. J., White, S. L., Cologon, K., and Pianta, R. C. (2020). Do teachers' years of experience make a difference in the quality of teaching? Teach. Teach. Educ. 96, 103190. doi: 10.1016/j.tate.2020.103190
Gurbuzturk, O., and Sad, S. N. (2009). Student teachers' beliefs about teaching and their sense of self-efficacy: a descriptive and comparative analysis. Inonu University J Faculty Educ. 10, 201–226. Available online at: https://dergipark.org.tr/en/pub/inuefd/issue/8704/108685 (accessed March 23, 2022).
Hair, J., Black, W., Babin, B., and Anderson, R. (2010). Multivariate Data Analysis, 7th Edn. Pearson Upper Saddle River.
Haverback, H. R., and Parault, S. J. (2008). Pre-service reading teacher efficacy and tutoring: a review. Educ. Psychol. Rev. 20, 237–255. doi: 10.1007/s10648-008-9077-4
Hodges, C. B., Gale, J., and Meng, A. (2016). Teacher self-efficacy during the implementation of a problem-based science curriculum. Contemp. Issues Technol. Teach. Educ. 16, 434–451. Available online at: https://www.learntechlib.org/primary/p/151934/ (accessed March 29, 2022).
Holzberger, D., Philip, A., and Kunter, M. (2012). How teachers' self-efficacy is related to instructional quality: a longitudinal analysis. J. Educ. Psychol. 105. 774–786. doi: 10.1037/a0032198
Institute of Medicine (2001). Exploring the Biological Contributions to Human Health: Does Sex Matter? Washington, DC: National Academies Press.
Irvine, J. (2019). Relationship between teaching experience and teacher effectiveness: implications for policy decisions. J. Instr. Pedagogies, 22, 1–19. Available online at: https://eric.ed.gov/?id=EJ1216895 (accessed April 13, 2022).
Jameson-Charles, M., and Jaggernauth, S. (2015). An investigation of the influence of teacher variables on pre-training efficacy beliefs. Caribb. Teach. Scholar 5, 5–24. Available online at: https://journals.sta.uwi.edu/ojs/index.php/cts/article/view/523 (accessed April 15, 2022).
Jumanne, J. (2012). Teacher Self-Efficacy in Teaching Science Process Skills: An Experience of Biology Teachers in Morogoro, Tanzania. Tanzania: LAP LAMBERT Academic Publishing.
Kabaoglu, K. (2015). Predictors of Curriculum Implementation Level in Elementary Mathematics Education: Mathematics-Related Beliefs and Teacher Self-Efficacy Beliefs. Unpublished master's thesis, Graduate School of Social Sciences, Middle East Technical University.
Karimvand, P. N. (2011). The nexus between Iranian EFL teachers' self-efficacy, teaching experience and gender. Engl. Lang. Teach. 4, 171–183. doi: 10.5539/elt.v4n3p171
Klassen, R., Tze, V., Betts, S., and Gordon, K. (2011). Teacher efficacy research 1998–2009: signs of progress or unfulfilled promise? Educ. Psychol. Rev. 23, 21–43. doi: 10.1007/s10648-010-9141-8
Klassen, R. M., and Tze, V. M. (2014). Teachers' self-efficacy, personality, and teaching effectiveness: a meta-analysis. Educ. Res. Rev. 12, 59–76. doi: 10.1016/j.edurev.2014.06.001
Kpedator, E. Y. (2019). Introduction of a New Standards-Based Curriculum: Are We Ready? Available online at: https://www.modernghana.com/news/955689/introduction-of-a-new-standards-based-curriculum.html (accessed April 27, 2022).
Kuyini, A. B., Desai, I., and Sharma, U. (2020). Teachers' self-efficacy beliefs, attitudes and concerns about implementing inclusive education in Ghana. Int. J. Incl. Educ. 24, 1509–1526. doi: 10.1080/13603116.2018.1544298
Marsh, C. J. (1997). Key Concepts for Understanding Curriculum 2: Planning, Management and Ideology. London: Falmer Press.
Mpuangnan, K. N., and Adusei, O. (2021). Implementation of standards-based curriculum in Ghana: the concerns of basic school teachers. Int. J. Educ. Res. 9, 53–66. Available online at: https://ijern.com/journal/2021/March-2021/04.pdf (accessed April 19, 2022).
National Council for Curriculum and Assessment [NaCCA]. (2019). Teacher Resource Pack: Primary 1-6. Accra: MoE, NaCCA.
Nugba, M. R., Quansah, F., Ankomah, F., Tsey, E. E., and Ankoma-Sey, V. R. (2021). Prevailing status of educational process factors in junior high schools in the Central Region of Ghana. Asian J. Educ. Soc. Stud. 24, 42–53. doi: 10.9734/ajess/2021/v24i230575
Odanga, S. J. O., Raburu, P. A., and Aloka, P. J. O. (2015). Influence of gender on teachers' self-efficacy in secondary schools of Kisumu County, Kenya. Acad. J. Interdiscipl. Stud. 4, 189–198. doi: 10.5901/ajis.2015.v4n3p189
Pallant, J. (2020). SPSS Survival Manual. A Step-by-Step Guide to Data Analysis Using IBM SPSS. 7nth Edn. London: Routledge.
Pfitzner-Eden, F. (2016). Why do I feel more confident? Bandura's sources predict preservice teachers' latent changes in teacher self-efficacy. Front. Psychol. 7, 1486. doi: 10.3389/fpsyg.2016.01486
Quainoo, E. A., Quansah, F., Adams, F., and Opoku, E. (2020). Comparative review of educational reforms, policies and systems: a case of China and Ghana. J. Comp. Stud. Int. Educ. 2, 5–21. Available online at: https://www.jcsie.com/ojs/dir/index.php/JCSIE/article/view/20
Quansah, F. (2017). The use of Cronbach alpha reliability estimate in research among students in public universities in Ghana. Afr. J. Teach. Educ. 6, 56–64. doi: 10.21083/ajote.v6i1.3970
Quansah, F. (2021). “Teaching and learning of mathematics in lower primary in basic schools in Ghana,” in Developing Mathematical Literacy in the Context of the Fourth Industrial Revolution, eds E. O. C. Espinosa (Hershey: IGI Global Publishers), 136–154.
Quansah, F., and Ankoma-Sey, V. R. (2020). Evaluation of pre-service education programme in terms of educational assessment. Int. J. Res. Teach. Educ. 11, 56–69. Available online at: https://ijrte.penpublishing.net/makale/1385 (accessed November 15, 2021).
Rezaeian, S., and Abdollahzadeh, E. (2020). Teacher efficacy and its correlates in the EFL context of Iran: the role of age, experience, and gender. Int. Online J. Educ. Teach. 7, 1533–1548. Available online at: https://eric.ed.gov/?id=EJ1271075 (accessed March 18, 2022).
Roehrig, G. H., Kruse, A. K., and Kern, A. (2007). Teacher and school characteristics and their influence on curriculum implementation. J. Res. Sci. Teach. 44, 883–907. doi: 10.1002/tea.20180
Shaukat, S., and Iqbal, H. M. (2012). Teacher self-efficacy as a function of student engagement, instructional strategies and classroom management. Pakistan J. Soc. Clin. Psychol. 10, 82–85. Available online at: https://gcu.edu.pk/pages/gcupress/pjscp/volumes/pjscp2012july-13.pdf (accessed March 27, 2022).
Short, S. E., Yang, Y. C., and Jenkins, T. M. (2013). Sex, gender, genetics, and health. Am J Public Health. 103, S93–S101.
Smith, A. B. (1996). The early childhood curriculum from a sociocultural perspective. Early Child Dev. Care 115, 51–64. doi: 10.1080/0300443961150105
Snyder, J., Bolin, F., and Zumwalt, K. (1992). “Curriculum implementation,” in Handbook of Research on Curriculum, ed P. W. Jackson (New York, NY: Macmillan), 402–433.
Snyder, S., and Fisk, T. (2016). Applying Bandura's model to identifying sources of self-efficacy of teaching artists. Res. Schools 23, 38–50. Available online at: https://eric.ed.gov/?id=EJ1134838 (accessed March 23, 2022).
Susilanas, R., Asra, A., and Herlina, H. (2018). The contribution of the self-efficacy of curriculum development team and curriculum document quality to the implementation of diversified curriculum in Indonesia. MOJES 2, 31–40. Available online at: https://mojes.um.edu.my/index.php/MOJES/article/view/12838 (accessed March 21, 2022).
Tabak, R. S., Akyildiz, N., and Yildiz, S. (2003). Teachers' self-efficacy perception levels and environment awareness. Egitim Arastirmalari 10, 134–145.
Tschannen-Moran, M., and Woolfolk Hoy, A. W. (2001). Teacher efficacy: Capturing and elusive construct. Teach. Teacher Educ. 17, 783–805. doi: 10.1016/S0742-051X(01)00036-1
Tschannen-Moran, M., and Woolfolk Hoy, W. K. (1998). Teacher efficacy: Its meaning and measure. Rev. Educ. Res. 6, 202–248. doi: 10.3102/00346543068002202
Wang'eri, T., and Otanga, H. (2014). Sources of personal teachers' efficacy and influence on teaching methods among teachers in primary schools in Coast Province, Kenya. Global J. Interdiscipl. Soc. Sci. 3, 190–195. Available online at: https://www.walshmedicalmedia.com/open-access/sources-of-personal-teacher-efficacy-and-influence-on-teaching-methods-among-teachers-in-primary-schools-in-coast-provin.pdf (accessed March 21, 2022).
Weisel, A., and Dror, O. (2006). School climate, sense of efficacy and Israeli teachers' attitudes toward inclusion of students with special needs. Educ. Citizenship Soc. Justice 1, 157–174. doi: 10.1177/1746197906064677
Yusof, C. M., and Nor, M. M. (2017). Level of teacher's self-efficacy based on gender, teaching experience and teacher training. Adv. Sci. Lett. 23, 2119–2122. doi: 10.1166/asl.2017.8573
Keywords: beliefs, gender, self-efficacy, standard-based curriculum, teaching experience
Citation: Agormedah EK, Ankomah F, Frimpong JB, Quansah F, Srem-Sai M, Hagan JE Jr and Schack T (2022) Investigating teachers' experience and self-efficacy beliefs across gender in implementing the new standards-based curriculum in Ghana. Front. Educ. 7:932447. doi: 10.3389/feduc.2022.932447
Received: 29 April 2022; Accepted: 15 August 2022;
Published: 29 September 2022.
Edited by:
Claudio Longobardi, University of Turin, ItalyReviewed by:
Issah Abdulai, University of Cape Coast, GhanaMichael Agyemang Adarkwah, Beijing Normal University, China
Bernard Gumah, University of Electronic Science and Technology of China, China
Copyright © 2022 Agormedah, Ankomah, Frimpong, Quansah, Srem-Sai, Hagan and Schack. This is an open-access article distributed under the terms of the Creative Commons Attribution License (CC BY). The use, distribution or reproduction in other forums is permitted, provided the original author(s) and the copyright owner(s) are credited and that the original publication in this journal is cited, in accordance with accepted academic practice. No use, distribution or reproduction is permitted which does not comply with these terms.
*Correspondence: John Elvis Hagan Jr., ZWx2aXMuaGFnYW5AdWNjLmVkdS5naA==