- 1Department of Developmental Psychology, University of Groningen, Groningen, Netherlands
- 2Research Centre Art and Society, Hanze University of Applied Sciences, Groningen, Netherlands
- 3Prince Claus Conservatoire, Hanze University of Applied Sciences, Groningen, Netherlands
- 4School of Education, Hanze University of Applied Sciences, Groningen, Netherlands
- 5Department of Arts and Culture Studies, Erasmus University Rotterdam, Rotterdam, Netherlands
A corrigendum on
Promoting creative autonomy support in school music education: an intervention study targeting interaction
by Hendriks, L. H., Steenbeek, H. W., Bisschop Boele, E. H., and van Geert, P. L. C. (2023). Front. Educ. 7:1102011. doi: 10.3389/feduc.2022.1102011
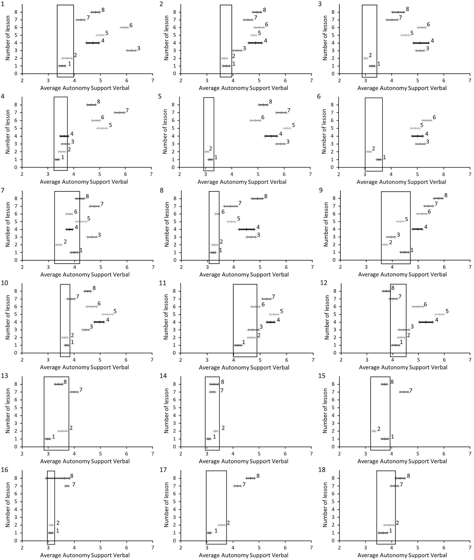
In the published article, there was an error in Figure 6 as published. The graph for teacher 3 appeared twice and the graph for teacher 6 was missing. The corrected Figure 6 and its caption appear below.

Figure 6. Confidence intervals teachers 1–12 (experimental group) and teachers 13–18 (control group) for CASV over 8 lessons. Lesson numbers are next to CI's. The vertical rectangle depicts the baseline range (confidence intervals lessons 1 and 2). Note that for teacher 6 lesson 7 and 8, and for teacher 11 lesson 8 is missing.
The authors apologize for this error and state that this does not change the scientific conclusions of the article in any way. The original article has been updated.
Publisher's note
All claims expressed in this article are solely those of the authors and do not necessarily represent those of their affiliated organizations, or those of the publisher, the editors and the reviewers. Any product that may be evaluated in this article, or claim that may be made by its manufacturer, is not guaranteed or endorsed by the publisher.
Keywords: autonomy support, musical creativity, primary education, creative thinking, music education, teacher-student interaction, enaction embodiment, teaching intervention
Citation: Hendriks LH, Steenbeek HW, Bisschop Boele EH and van Geert PLC (2023) Corrigendum: Promoting creative autonomy support in school music education: an intervention study targeting interaction. Front. Educ. 8:1293693. doi: 10.3389/feduc.2023.1293693
Received: 13 September 2023; Accepted: 14 September 2023;
Published: 27 September 2023.
Approved by:
Frontiers Editorial Office, Frontiers Media SA, SwitzerlandCopyright © 2023 Hendriks, Steenbeek, Bisschop Boele and van Geert. This is an open-access article distributed under the terms of the Creative Commons Attribution License (CC BY). The use, distribution or reproduction in other forums is permitted, provided the original author(s) and the copyright owner(s) are credited and that the original publication in this journal is cited, in accordance with accepted academic practice. No use, distribution or reproduction is permitted which does not comply with these terms.
*Correspondence: Linda H. Hendriks, bC5oLmhlbmRyaWtzQHBsLmhhbnplLm5s