- 1Instituto Federal Goiano - Campus Morrinhos, Morrinhos, Brazil
- 2Instituto Federal Goiano - Campus Rio Verde, Rio Verde, Brazil
- 3Universitat de València, València, Spain
- 4Instituto Federal Goiano - Campus Ceres, Ceres, Brazil
- 5Universidade Federal de Goiás (UFG), Goiânia, Brazil
Introduction: This research explores how various characteristics influence supervisors’ research output and engagement. It focuses on undergraduate research (UR) programs at a Brazilian federal educational institution. The study examines academic curricula, including the number of publications and the impact of their productions, and looks for possible academic inequalities. Accordingly, it analyzes the influence of sex-related, academic path, and subject areas on the productivity of UR supervisors in this institution.
Methods: A case study approach was employed, utilizing quantitative methods for data collection. Data was collected on diverse variables, such as education, academic trajectory, publications, patents, and supervisory roles, by examining the administrative records and the data registered in the Lattes Curriculum platform. Descriptive and inferential statistics, including non-parametric tests and correlation analyses, were employed for data analysis, offering insights into the characteristics and contributions of UR supervisors at the undergraduate level.
Results: The study included 307 supervisors (59.0% of men), primarily in the Agrarian Sciences (51.5%), aged 37–46 years, and holding doctorate degrees (78.8%). Notably, supervisors in the Agrarian Sciences area had the highest mean experience in UR supervision (51.5%). Statistical analyses revealed significant differences among supervisors based on their research area and between supervisory activities, more prominently in research outputs and impact measures (p < 0.001) for master’s studies supervisions. On average, supervisors had 2.19 articles per year, with higher productivity in the Health Sciences followed by the Biological Sciences field. A positive difference (18.0%) in supervisor participation was found between males and females, with men having a higher rate (14.7%), consistent with previous studies.
Conclusion: The investigation emphasizes addressing sex disparities and promoting scientific research to enhance academic output indicators through public policies. This analysis provides valuable insights for fostering public policies directed toward educational institutions.
Ethics and disclosure: The Research Ethics Committee approved the study, ensuring the confidentiality of participant data and compliance with ethical standards.
1 Introduction
Scientific research in the academic environment is of utmost importance for the country’s progress (Zheng, 2023) and for promoting technological innovation (Chen, 2021). This process relies on structured programs such as graduate studies, undergraduate research (UR), and collaborative research groups, where faculty members play a crucial role in guiding students and disseminating knowledge (Noll et al., 2021). Generally, the higher the success rate of researchers, the more universities and the government will actively promote scientific research (Zheng, 2023). In essence, when investment yields benefits for society, it is natural for research activities to be valued, promoting a virtuous cycle of progress, development, and opportunities. Economic growth has an intimate and interactive relationship with scientific innovation, which supports economic growth and drives scientific innovation (Zhang et al., 2012). Therefore, it is evident that scientific development and technological innovation are interdependent and essential for the sustainable progress of society and its productive force.
Several countries have implemented UR programs to foster student engagement in scientific activities. For instance, in the past 30 years, funding agencies in the United States have diversified Science, Technology, Engineering, and Mathematics (STEM) programs, strengthening Undergraduate Research Experience (URE) (Hernandez et al., 2018). Similarly, in New Zealand, research has become an increasingly relevant component in undergraduate education, benefiting students and relying on faculty engagement (Lopatto, 2010; Mantai et al., 2023; Mieg et al., 2022). These and several other initiatives seek to offer students a more comprehensive experience and provide academic and professional growth opportunities in scientific and technological research.
The UR programs have proven effective in fostering student engagement in STEM-related courses (Escobedo et al., 2023; Graham et al., 2013; Maton et al., 2000) and encouraging scientific careers (Bangera and Brownell, 2014; Camacho et al., 2021; Chemers et al., 2011; Costa et al., 2024; Hernandez et al., 2018; Kardash, 2000; Lopatto, 2007; Schultz et al., 2011). Research indicates that URE courses are a mechanism to increase educational inclusivity by removing barriers that accompany out-of-class (Bangera and Brownell, 2014; Elgin et al., 2016; Estrada et al., 2016; Shapiro et al., 2015; Wei and Woodin, 2011), as well as is associated with a positive perception of academic performance (Costa et al., 2024). These courses have shown an increase in students’ STEM identity and sense of belonging (Bliss et al., 2023; Esparza et al., 2020; Frantz et al., 2017), as well as other positive outcomes, including learning gains (Bliss et al., 2023; DeChenne-Peters et al., 2023), attitudinal results (DeChenne-Peters et al., 2023), high levels of ownership, discovery, iteration, and confidence in career intentions (Corwin et al., 2018; Linn et al., 2015), through participation in URE course-based intervention. Various studies about these programs have shown that students who participated in URE had better job opportunities (Betz et al., 2021; Brew and Saunders, 2020; McSweeney et al., 2018; Melo et al., 2023; Willison, 2012), indicating that these programs also contribute to students’ preparation for various professional roles, yielding beneficial outcomes for students and influences their development heightening motivation for pursuing further specialization in scientific careers (Costa et al., 2024).
Many Higher Education Institutions (HEIs) encourage student participation in research projects (Crowe and Boe, 2019; Lillywhite and Wolbring, 2019; Linn et al., 2015; Ülkü et al., 2017). However, students often face challenges and obstacles in developing the necessary skills (Brew and Mantai, 2017), such as scientific writing, teamwork, investigation, critical thinking, and organization (Pérez-Neri et al., 2022). Student exposure to scientific practices is essential for their comprehensive education as it can stimulate their inclination to make discoveries beyond the classroom (Sorensen et al., 2018). A supervisor is assigned to assist the students in this formative process and to guide and enhance their research experience (Chelberg and Bosman, 2020; Linn et al., 2015), including individual and group discussions, report writing, planning, and presentations (Costa et al., 2024; Linn et al., 2015). Depending on both the curriculum and how the supervisor conducts instruction, students may not be able to experience the defined critical research elements sufficiently (Goodwin et al., 2022).
To underpin their work, faculty should rely on research (Baan et al., 2020) and continuously encourage their students in the journey of discovery from early education (Pires and Machado., 2009). Additionally, teachers need to know when to authorize and delegate responsibilities to students, allowing them to face uncertainties, learn to interpret data as evidence, and use resources productively (Chen, 2020). In HEIs, research is conducted through collaborations between students and faculty, with both parties having specific responsibilities. While faculty members provide guidance, training, and critical contributions to the study, students, under faculty supervision, are responsible for generating ideas, raising questions, drafting projects or articles, and collecting and analyzing data (Ülkü et al., 2017). Given the peculiarities of this activity, faculty members involved in research projects must dedicate a certain amount of time and effort to guide their students adequately (Eagan et al., 2011; Webber et al., 2013). Factors that could motivate faculty to participate in research projects include the satisfaction derived from providing guidance, an interest in engaging in research activities, and institutional reasons, such as offering learning opportunities to students (Webber et al., 2013).
In the Brazilian academic landscape, the equivalent of UR is known as Scientific Initiation (SI). The concept of SI originated in Brazil with the creation of the National Council for Scientific and Technological Development (CNPq) in 1951 (Brazil, 1951; Melo et al., 2023; Noll et al., 2021). As a pivotal public institution, CNPq is responsible for funding scientific research in all fields of knowledge (Massi and Queiroz, 2010). This institution is linked to the ministry responsible for Brazilian scientific, technological, and innovation development policies. Currently, SI is undertaken by Federal Universities and Federal Institutes (IFs) through their financial resources or agreements forged with CNPq. These esteemed public institutions annually release calls for proposals, inviting students to research projects supported by received funding. As the name suggests, SI involves an activity that introduces students to the production of scientific knowledge (Oliveira et al., 2014). To apply for an SI scholarship, students need to have a project and a supervisor (CNPq, 2006), and if awarded, they must present the work at institutional events.
Faculty members in Brazilian HEI can participate in research projects through SI programs. In public universities, research is an intrinsic activity of the faculty position, while in IFs, faculty members have more options and greater autonomy to fulfill their duties, including research. To enable a student to apply and participate in SI programs, the designation of a qualified supervisor is a mandatory requirement. In collaboration with the student, the supervisor proposes a 12-month research project, which can be extended at the supervisor’s discretion. Specific requirements for those who wish to become SI supervisors include involvement in research activities, mentoring skills, and demonstrated scientific experience through intellectual contributions (CNPq, 2021c). To standardize the terminology, we will also include the Brazilian SI programs when referring to UR in a general sense.
Given the points mentioned above, this study aimed to analyze how different variables (sex-related, academic path, and subject areas) influence the performance of these UR supervisors at a Brazilian federal educational institution by analyzing their academic curricula and the impact of their output. Understanding the profiles of these supervisors is essential, as they play a key role in integrating research into university teaching, fostering critical thinking, and enhancing professional training. However, despite the increasing participation of students in UR programs, little is known about these supervisors’ academic trajectory and research productivity (Massi and Queiroz, 2010). Furthermore, a well-defined research profile among supervisors is crucial for guiding students effectively and promoting their engagement in scientific careers. By addressing these gaps, this study contributes to institutional planning and the development of policies supporting research-oriented teaching, enhancing student learning, and the overall impact of scientific initiation programs in Brazil.
2 Methods
This study employs a quantitative approach based on a case study design (Blatter and Haverland, 2012), which is part of an umbrella study named “Panorama of Undergraduate Research in Brazil” (PUR-Bra study). This case study draws generalizations from specific individuals—in this instance, supervisors of UR programs. The method selection was driven by the research purpose of utilizing objective data to describe supervisors’ profiles and their research outputs derived from UR in a Brazilian Federal Teaching Institution.
2.1 Context
The investigation focused on the Brazilian public institution, the Federal Institute of Education, Science and Technology Goiano (IF Goiano), a public institution in the Goiás State, Brazil. The IF Goiano is composed of twelve campuses: Campos Belos, Catalão, Ceres, Cristalina, Hidrolândia, Ipameri, Iporá, Morrinhos, Posse, Rio Verde, Trindade, Urutaí, and Innovation Hub (Melo et al., 2023). This institution, along with several other IFs, constitutes the Federal Network of Professional, Scientific, and Technological Education (RFEPCT) (Figure 1), whose purpose is to provide education (ranging from initial and continuing education to doctoral level), conduct scientific research, and foster technological development and innovation (Brazil, 2008).

Figure 1. Map of Brazil indicating the locations of the institutions that make up the RFEPCT. Adapted from information on the Brazilian Ministry of Education website (http://portal.mec.gov.br/rede-federal-inicial/instituicoes, accessed on December 31, 2024).
The primary vocation and origins of the IF Goiano campuses are predominantly agricultural (Melo et al., 2023), evidencing that supervisors in Agricultural Sciences constitute the majority within the institution’s context. Moreover, in the Brazilian context, the field of Agricultural Sciences holds prominence in institutional programs subsidized by CNPq (Noll et al., 2021), as is the case with the UR programs, particularly evident in the Midwest Region (CNPq, 2025).
Education professionals (i.e., teachers, researchers, or educational administrative staff) aspiring to become supervisors in research projects must fulfill specific requirements. A supervisor must hold at least a master’s degree, possess recognized scientific or technological production, and be affiliated with the institution, in our case study, the IF Goiano. Throughout the research assignments, supervisors assume the responsibility of guiding the selected students in project execution, facilitating the necessary conditions and resources for successful research, and encouraging their participation in academic conferences and scientific events to disseminate the obtained results.
The SI programs at IF Goiano are annually offered via a public call for proposals, through which students can apply to compete for a financial scholarship. To apply, students must have a research project and a qualified supervisor. When the demand for students exceeds the number of available scholarships, whether through resources provided by CNPq or from IF Goiano’s budget, or when students do not meet the criteria established in the call for proposals, they still have the option to participate in the research project as volunteers, however, they must fulfill the same obligations as scholarship recipients.
2.2 Population, eligibility criteria, and ethical approval
The target population of this study was composed of 914 qualified individuals affiliated with IF Goiano and eligible to act as supervisors. Among them, 524 are male (57.3%), while 390 are female (42.7%). The eligibility criterion was restricted to all 307 supervisors actively engaged in their professional duties and affiliated with at least one research project conducted within the scope of IF Goiano from August 2018 to July 2019. This study project was submitted and approved by the Research Ethics Committee (Protocol CAAE No. 08499119.9.0000.0036), following all ethical principles outlined by the prevailing Brazilian legislation (Brazil, 2012).
2.3 Data collection procedures
Data were collected through two distinct methods. The data collected through both methods consisted of publicly available information in the Federal Government’s informational systems. The first method involved analyzing administrative documents from the Human Resources Department to collect basic information, such as contact information, sex, and age of the supervisors. The second method entailed examining the Lattes Curriculum, a standardized platform maintained by CNPq, which records comprehensive information on researchers, including doctoral and master’s degree holders, graduates, students, and technicians. This platform is similar to the Open Researcher and Contributor ID (ORCID – https://orcid.org/); however, it is national and includes additional information such as workplace locations, awards, mentorships, academic production, and other professional information. Brazil’s universities, institutes, and funding institutions require that information regarding the academic trajectory and career of researchers and students be updated and available on this platform (CNPq, 2022).
The search for Lattes Curriculum was conducted on the CNPq portal1 from December 2019 to January 2020. To access the information for each supervisor, we utilized the unique ID associated with their respective Lattes Curriculum. The data extraction process was manually conducted by a researcher, copying each available piece of information in this platform to a Microsoft Excel™ spreadsheet. Thus, each row in the spreadsheet represented the data for one supervisor. The tabulated data related to the variables in our study encompassed the following topics:
• Subject area.
• Degree title (doctoral or master’s).
• Duration of the degree (up to 2018, reflecting when this group of supervisors began guiding in the considered biennium).
• Academic trajectory (whether their degrees were obtained from public or private HEIs, or both, and similarly about doctoral or master’s studies).
• Number of scientific articles (including those written explicitly in English and those published in other languages).
• Number of books and book chapters.
• Number of registered patents.
• Number of completed supervisions (UR and specialization courses, and in master’s and doctoral programs).
Data was collected over 4 years (2015–2018). Although the treatment of duplicate information did not occur, this verification was conducted at the end when the data were sorted in the spreadsheet. To assess the quality of journals where articles were published, we investigated their Impact Factor, representing the average number of times an article was cited within a given journal. The Impact Factor values were assigned by the Journal Citation Reports™ (JCR™), and publications mentioning this information include the respective value on the Lattes Curriculum. Additionally, we utilized the SCImago Journal Rank (SJR – https://www.scimagojr.com), which provides the average number of citations per document over 2 years, to gauge the relative prestige of journals.
2.4 Data analysis
The analysis was conducted through descriptive and inferential statistics conducted using the software Statistical Package for the Social Sciences (IBM™ SPSS™ Statistics), version 26 for Microsoft Windows™ (IBM Corp., Armonk, NY, United States) and, for post hoc analysis, the Dwass–Steel–Critchlow–Fligner (DSCF) pairwise comparisons test was conducted using Jamovi software, version 2.3.28.0 solid for Microsoft Windows™ was employed (the Jamovi Project, retrieved from https://www.jamovi.org/). Descriptive analyses utilized absolute values, means, standard deviations, and relative frequencies. The normality of the data was assessed using the Kolmogorov–Smirnov test (Fernandes et al., 2022; Hazra and Gogtay, 2016), which confirmed that the sample distribution was not normal. Consequently, non-parametric tests were employed to determine statistical differences (α = 0.05) (Hazra and Gogtay, 2016). The Mann–Whitney U-test was utilized to compare two independent groups, while the Kruskal–Wallis test was employed for comparisons involving more than two separate groups (Fernandes et al., 2022; Hazra and Gogtay, 2016), followed by the post hoc analysis using the DSCF pairwise comparisons test (Morales et al., 2023; Pastorino et al., 2019). Furthermore, the correlation matrix was constructed using Spearman’s Rho test for the correlation coefficient (Wilcox, 2017). Subsequently, the significance of the correlations was assessed to determine potential relationships among the groupings.
3 Results
In this study, 307 supervisors actively participated in the research projects during the biennium considered, with 181 (59.0%) men and 126 (41.0%) women. Most of the supervisors, regardless of sex, belonged to the field of Agrarian Sciences (51.5%), were aged between 37 and 46 years (44.6%), held a doctorate (78.8%), obtained a doctoral degree within the last 5 years (46.4%), got their master’s degree between 1 and 10 years ago (63.8%), and were affiliated with public institutions (78.2%) (Table 1).
A positive difference of 18.0% was observed in the participation of male (59.0%) and female (41.0%) supervisors during the biennium. Comparing this difference with the overall number of workers in the institution, the participation rate of men was 14.7% higher than that of women. Among the supervisors, the majority (63.8%) held a master’s degree for 1 to 10 years, considering 2018 as a reference. For doctoral researchers, 42.7% obtained their degree within the last 1 to 5 years. It is worth noting that male supervisors had a longer professional tenure with both doctoral and master’s degrees than their female counterparts. Regardless of sex, most supervisors obtained their academic qualifications from public institutions (78.2%).
Over the 4 years considered in this study, the supervisors produced 2,698 scientific articles, with an overall average of 674.50 articles per year. Significant differences were observed in producing scientific papers, books/chapters, patents, and supervisions across different areas. In general, there is variability in the distribution of research outputs and supervisory activities across different subject areas. Some areas, such as Health Sciences(c), Biological Sciences(b), and Agrarian Sciences(a), exhibited higher outputs. The relationship between the research outputs and supervisory activities varied based on these areas and the type of output or supervision under consideration. These findings reflect distinct research performance patterns within the assessed subject areas (Table 2).
On average, each supervisor published two scientific articles annually, regardless of the language in which it was written. However, when considering only articles in English, the average decreased to one per year per supervisor. The average number of books/chapters and patents per year was less than one, with Linguistics, Languages, and Arts(h) and Humanities(e) displaying the highest averages (except patents), and, in contrast, the lowest average was observed in Engineering(g). The areas of Health Sciences(c), Biological Sciences(b), and Agrarian Sciences(a) exhibited higher averages in both articles and UR supervisions compared to other subject areas. Notably, the Health Sciences(c) area demonstrated the highest standard for articles in English, followed by Biological Sciences(b). Regarding specialization supervision, the Humanities(e) area had the highest average. HEIs have also pursued internationalization of their research, with numerous UR supervisions and particular supervisors engaging in postgraduate program instruction.
To evaluate the activity of supervising UR and scientific production concerning the other levels of supervision and the type of output, we considered the projects registered at the institution, regarding the highest-level student involved in the production and the year of publication. In this way, the UR supervisors who also supervised master’s or doctoral students were identified. However, those who supervise exclusively at these post-graduate levels – and did not supervise the UR projects – were excluded, as the study focused on UR supervisors.
Subsequently, a post hoc analysis used the DSCF pairwise comparison test to identify differences. Pairwise data comparisons from different subject areas regarding output and supervisory activities revealed significant variations (see further details in Supplementary material 1). Subsequently, the Spearman’s Rho correlation test was performed, resulting in the correlation matrix of supervisory activities, research outputs, and impact measures (Table 3). The purpose of this test was to identify significant associations among the variables.
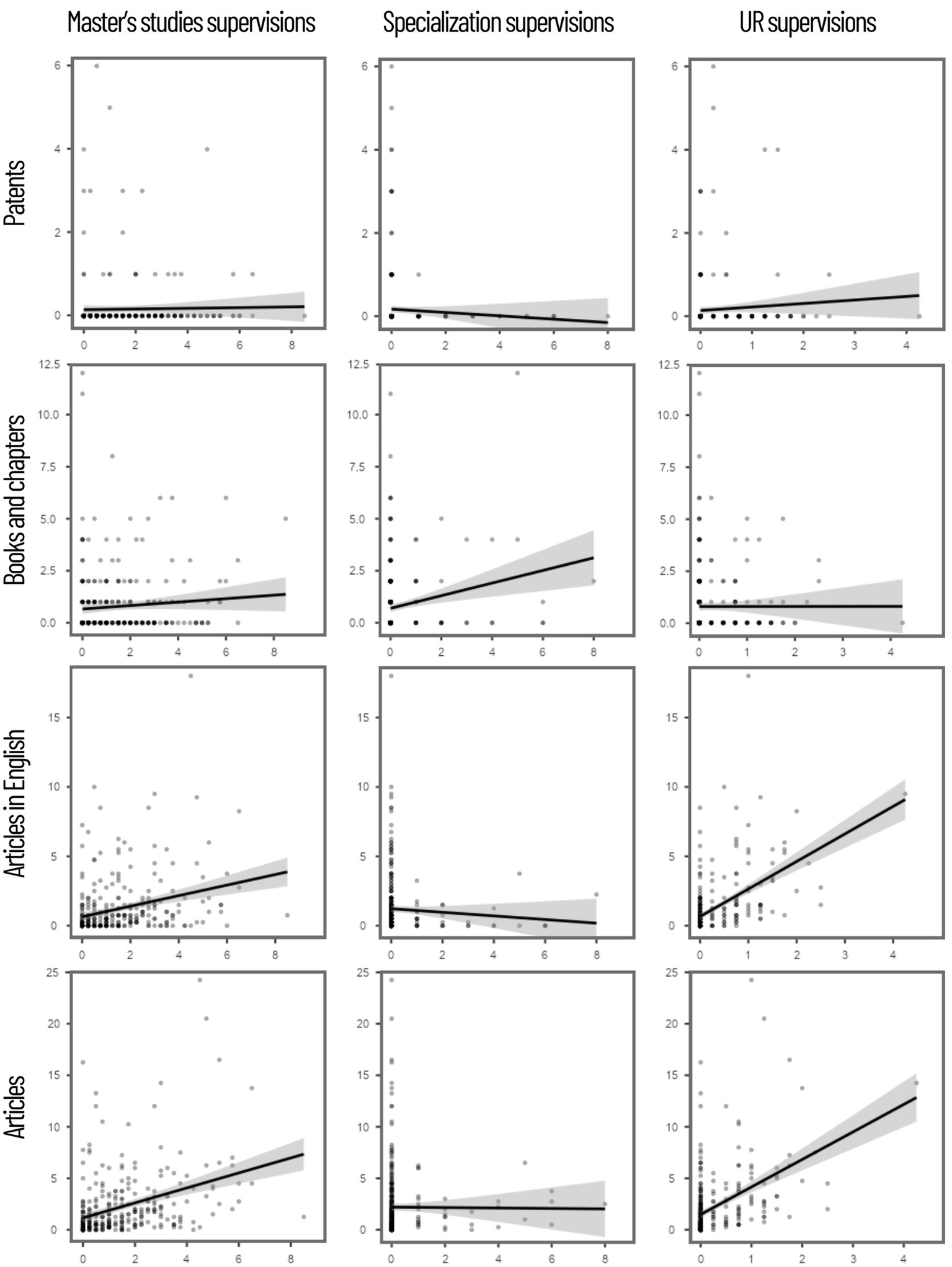
Master’s studies and UR supervisions exhibited a strong positive correlation with the number of articles, articles in English produced (Figure 2), and the average impact of publications, including the average Impact Factor and the average received citations (Figure 3). Additionally, the number of master’s studies supervision showed a significant positive correlation with patent production. Conversely, correlations between specialization supervisory activities and the outputs were largely non-significant or weak.

Figure 3. Associations between variable pairs focused on the averages for impact factors and citations of supervisors’ publications.
The Kruskal–Wallis test was applied to determine if statistically significant differences existed between the subject areas. The activities of master’s studies supervisions, specialization supervisions, and UR supervisions yielded results indicating that these activities vary significantly among the examined groups. Concerning the outputs, except for patents, the results also demonstrated statistically significant differences (Table 4).
The Impact Factor and citations per document were evaluated as a quality indicator of the published articles. Thus, the Kruskal–Wallis test was conducted for the Impact Factors and citations across the fields of knowledge. The results revealed differences (p < 0.001) among the subject areas, whether for the Impact Factor and Citations (Table 5).
To analyze UR programs, other forms of supervision were also considered to explore additional areas of supervisor activity, such as high school research-level supervision. No sex differences were observed in the supervisory activities of UR and those conducted at the master’s degree studies level, and this means that disagreements were only evident based on the subject area. Notably, significant differences were observed between Biological Sciences(b) and Linguistics, Languages, and Arts(h) with Agrarian Sciences(a), these concerning Supervision in UR; and between Agrarian Sciences(a) and Biological Sciences(b) with Exact and Earth Sciences(d), for master’s degree supervision (Table 6).
Over the 4 years of data collection (2015–2018), 50 doctoral supervisions were performed. Male supervisors oversaw 43 students, while female supervisors oversaw the remaining seven students. Only the areas of Biological Sciences(b) and Agrarian Sciences(a) had female leadership in the postgraduate supervision programs. Regarding experiences with supervision in UR, specialization, master’s, and doctoral courses, the data were limited due to the small number of supervisors.
Additionally, the high standard deviation values in Tables 2, 5 indicate great variability in research outputs and supervision activities among supervisors from different areas, leading to publications with greater impact and higher citation index. This pattern suggests that scientific production is largely concentrated among a small group of highly productive supervisors, while many others contribute at lower levels. This dispersion highlights an imbalance in research activity, potentially reflecting differences in access to resources, research infrastructure, or individual engagement in scientific endeavors.
When examining these findings more comprehensively, it becomes evident that supervisory activities and outputs are intricately linked, impacting these outputs’ production and impact metrics. Thus, the analysis underscores the significance of accounting for the role of supervisory activities in the research dynamics and outcomes achieved by these.
4 Discussion
The discussion of the leading research findings has been structured into seven distinct topics, each delving into relevant issues concerning the representation of supervisors based on sex, the academic career and opportunities, the influence of parenthood on the career, the prevalence of subject areas concerning the institution’ location, the academic outputs, the supervisory experience related to the area of expertise, and the student engagement’ outcome. By organizing the discussion around these focal points, our purpose was to conduct a comprehensive analysis and present a holistic understanding of the research results. Publicly available data, results, and conclusions from other relevant studies support this analysis.
4.1 Sex-related issues
This study identified a similar sexual disparity in several of the variables analyzed to the profile of researchers (Table 1) when comparing the number of male and female workers within the institution where our research was conducted to the national level, reinforcing the sex disparities observed in Brazilian scientific research (Machado et al., 2019; Oliveira et al., 2021; Santiago et al., 2020; Valentova et al., 2017). This discrepancy is maintained when analyzing age strata, with the greatest difference observed among researchers aged 47 or over, where men represent 62.8% in the 47 to 56 age group and 66.7% among those aged 57 or over. This data suggests that, over time, the presence of women in research may have increased, but there is still a generational impact on the composition of the academic body.
The data on academic degrees also highlights this inequality. Although the difference between men and women is smaller at the master’s level (53.8% vs. 46.2%), it widens at the doctoral level, with female participation at 39.7%. This data corroborates publicly available data from CNPq in 2017, of the 25,449 supervisors, 53.5% were men, further reinforcing the broader representation of male supervisors, as also indicated by our data (CNPq, 2017). This pattern reinforces previous findings that indicate a bottleneck in female academic progression, possibly associated with additional challenges faced by female researchers in obtaining grants and promotions compared to their male colleagues (Vitória and Mourão, 2018; Valentova et al., 2017).
Some international studies also confirm the number imbalance that disadvantages women in various parts of the world. Although it is estimated that women represent only 28% of global researchers, they are already advancing towards breaking barriers to female representation in science (UNESCO, 2016). Furthermore, women are perceived as worse scientific leaders (Carli et al., 2016; Smyth and Nosek, 2015) and are often stereotyped as not having innate talent for specific areas (Leslie et al., 2015). Some regions where female representation is advancing include Southeast Europe (49%), the Caribbean, Central Asia, and Latin America (44%) (Huyer, 2015). However, in the Arab States (37%), the European Union (33%), the European Free Trade Association (34%), and sub-Saharan Africa (30%), female representation lags further from equity (Huyer, 2015).
Despite the frequent confusion and incorrect usage, the terms ‘gender’ and ‘sex’ represent distinct yet interconnected constructs. Both terms play different roles in shaping various aspects and interacting in multiple ways (Krieger, 2003). Sex is a complex biological construct based on features such as anatomy, genetics, and hormones, while gender, applicable only to research involving humans, encompasses a multidimensional construct that includes gender identity and expression (i.e., how a person sees themselves) as well as social and cultural expectations related to characteristics and behaviors associated with specific sexual traits (Goymann et al., 2023). Another important aspect is that a person’s gender identity (e.g., woman, man, transgender man, gender diverse, non-binary) is self-identified and may change throughout life, meaning it does not necessarily align with biological sex characteristics (Cicero and Wesp, 2017). This study used the term ‘sex’ as the biological characteristic variable. However, acknowledging this difference in terminology, we suggest evaluating the gender variable alongside physical characteristics for an even more comprehensive understanding as a perspective for future studies.
Analysis of the time since obtaining degrees concerning our data suggests another relevant trend. Among those who completed their master’s degree 21 years ago or more, all are male, which may reflect a history of lower female participation in postgraduate studies in previous decades. Furthermore, even among those who obtained their doctorate more recently (≥11 years), the male proportion is significantly higher (71.0% against 29.0%). This data corroborates studies that indicate that women face greater difficulties in achieving stability and progression in their academic careers (García-González et al., 2019). Studies suggest that this imbalance is associated with the stereotype still prevalent in academia that women may find it challenging to recognize their abilities and achievements, which leads to unequal opportunities compared to men (Izquierdo-Iranzo et al., 2021; O’Connor and White, 2021).
Structural and cultural factors, such as the persistence of gender stereotypes and the lower representation of women in leadership positions and scientific societies, can partially explain these differences. Previous studies have highlighted that gender inequality is not restricted to the absolute number of researchers but is also reflected in the unequal distribution of funding opportunities, the occupation of leadership positions, and the scientific visibility of women (Bendels et al., 2018; Nittrouer et al., 2018). Thus, inequality goes beyond the indicators, and these issues go far beyond the initial equitable distribution of sex concerning academic roles among research units and universities (Morais et al., 2022). Therefore, the data reinforces the need for institutional strategies to promote gender equity in scientific research, including policies to support female progression in academic careers.
4.2 Academic career and opportunities issues
The results of our study show significant disparities between men and women in terms of academic career progression and obtaining a doctorate. There is a male predominance in the group of teachers with a master’s degree (53.8% men vs. 46.2% women) and, above all, in the group with a doctorate (60.3% men vs. 39.7% women). This result is in line with national data from Brazilian higher education, where the majority (96.2%) of supervisors in various research grant programs had a PhD (CNPq, 2017) when our data was collected from the Lattes Curriculum platform.
In addition, when analyzing the years since obtaining a doctorate, it can be seen that in the group with 11 or more years of doctoral study, men account for 71.0% of professors, while women account for only 29.0%. This pattern suggests that women may take longer to consolidate their academic careers due to additional challenges such as unequal opportunities, difficulties in balancing professional and personal demands, and less involvement in strategic academic networks. These findings are also supported by national data: (a) in 2018, 82.2% of the 384,474 active faculty members in Brazil held advanced degrees, 53.8% of whom were men (INEP, 2018), and this trend remained practically unchanged in subsequent years; (b) in 2021, the percentage of faculty members with a doctorate or master’s degree increased to 84.3%, with a 53.0% male distribution, and in the RFEPCT, this proportion reached 62.3% (INEP, 2021).
The data on time with a master’s degree also corroborates this trend. In the group with more than 21 years of master’s degrees, all the teachers are men (100%), while in the group with 1 to 10 years of master’s degrees, there is greater proximity between the genders (56.6% men vs. 43.4% women). This distribution suggests that women achieve their degrees in longer periods or smaller numbers, which may be related to institutional barriers or the need to reconcile multiple responsibilities throughout their careers. This phenomenon can also be analyzed in terms of the expansion of postgraduate studies in Brazil. Master’s courses increased by 359% between 1996 and 2017, from 1,187 to 4,263, while doctoral courses grew by 353% in the same period, from 630 to 2,223 (CGEE, 2019). This expansion has created new opportunities for academic progression but has not eliminated gender disparities, as our findings show.
The structure of higher education in Brazil also reflects the importance of public institutions in academic training. In 2017, of the 2,448 HEIs operating in the country, only 12.1% were public, while the majority belonged to the private sector (INEP, 2017). This proportion remained practically unchanged in the most recent data for 2021 (INEP, 2021). In addition, the number of master’s degree courses in Brazil has grown significantly over the last few decades, increasing by 359% in 21 years. In 1996, there were only 1,187 master’s courses, which jumped to 4,263 in 2017, according to the Center for Management and Strategic Studies (CGEE). This study’s findings indicate that most participants received their academic training entirely at public institutions or, to a lesser extent, did part of their studies at these institutions. This data reinforces the crucial role of Brazilian public education in developing future generations and creating professional career opportunities, especially for researchers in training.
In this way, the results reinforce that women’s academic careers tend to take longer to reach the doctoral level and that their representation decreases as they advance in their academic careers. Although the growth of research and postgraduate programs has broadened opportunities in academia, developing a successful research experience and constructing an academic curriculum enriched with high-level experience is essential to pursue this path.
4.3 Parenthood and career issues
Our findings indicate that women’s career consolidation takes longer than men’s, resulting in an extended period to obtain a doctoral degree. Due to the challenges faced throughout their professional trajectories, some women who work as researchers may not even attain the Ph.D. level. As a consequence of the challenges encountered due to their sex, overall, it is observed that women receive lower remuneration throughout their careers compared to men. Historical aspects should be considered when considering women’s participation in higher education and postgraduate studies. Since 2016, the Parent in Science (PiS – https://www.parentinscience.com) group was established in Brazil to discuss maternity and paternity in the scientific universe (Carpes et al., 2022; Machado et al., 2019). Some advances in this matter have occurred, such as recording maternity leave periods for women in the Lattes Curriculum starting from April 15, 2021 (Carpes et al., 2022; CNPq, 2021b). Other initiatives have also been promoted by CNPq since 2005, aiming to encourage the participation of girls and women in science and to promote research on sex relations, women, and feminism (CNPq, 2021a).
Women’s access to formal education in Brazil has historically been different from that of men, with sex roles often associated with housework and family responsibilities. The situation started to change in the 1960s with the emergence of feminist movements (Barros and Luciana, 2018). In 2015, data from the Coordination for the Improvement of Higher Education Personnel (CAPES) revealed that the number of women enrolled in master’s or doctoral programs, including those who had already obtained their respective degrees, exceeded the number of men (175,419 vs. 150,236) (Cross et al., 2017). In Brazil, the historical series provided by CGEE shows that since 2003, the proportion of doctorates awarded to women has been more effective than that of men, with an increasing trend. In 2017, this proportion was 54.39% vs. 45.61%, favoring women (CGEE, 2019).
In contrast, even though Brazilian women have more opportunities to obtain a doctoral degree (CGEE, 2019; Cross et al., 2017), the total CNPq research productivity fellowship (PQ) in 2021 was awarded to only 35% of the female researchers (CNPq, 2021a). In this way, a study conducted in 2020 evidenced the underrepresentation of women in different scenarios of PQ fellowship distribution (i.e., concerning the fellowship level), the acknowledgment area (scientific fields) of significant recognition, Brazil’s region, and ratings of the graduate programs to which the PQ fellowships are affiliated (Oliveira et al., 2021). The authors of this investigation pointed out evidence that difficulty in balancing motherhood and family and the pressure to conform to androcentric culture – which defines performance and career advancement criteria based on the hegemonic male standard – revealed implicit discrimination and structure as factors influencing the low female representation in the highest ranks of PQ fellowship beneficiaries (Oliveira et al., 2021). Thus, it becomes even more evident that there is a sex imbalance in the upper echelons of Brazilian science (Valentova et al., 2017). We emphasize that the productivity fellowship is a mark of excellence in the scientific career in Brazil.
Another investigation carried out with data from 2017 indicated that women (50–59 years old) entered the PQ fellowship system later than men (45–54 years old) (Machado et al., 2019). Regarding the age range, younger women receive fewer fellowships (30–34 years: 19%; 35–39 years: 25%) (Machado et al., 2019). This difference suggests that motherhood impacts female researchers’ productivity and scientific careers (Carpes et al., 2022), primarily during the 2–3 years after childbirth due to childcare responsibilities and household routines (Machado et al., 2019). Despite the context of this research being related to the highest level of a woman’s scientific career, the disparity throughout her professional trajectory corroborates our findings.
4.4 Subject areas and geographical region issue
As expected, our results indicated the dominance of researchers from IF Goiano in the field of Agrarian Sciences, resulting in relevant outputs and a high average of supervision. This prevalence can be attributed to the geographical region of Goiás, the Brazilian Midwest. This region is known for its agricultural and environmental significance, making it a natural fit for the focus on Agrarian Sciences. CNPq’s data from 2016 already showed that the agrarian field group had the highest percentage (31.0%) compared to other research groups (Souza, 2017). Due to this agricultural vocation, IF Goiano approved the first doctoral program in the RFEPCT in the Agrarian Sciences in 2012.
The data reinforces this trend (Table 2), showing that the average number of articles published by researchers in the area of Agricultural Sciences (2.87 ± 3.35) was higher than the average observed in other areas, as was the production of articles in English (1.55 ± 1.99). In addition, the average number of UR supervisors in this area (1.84 ± 1.74) was also one of the highest, indicating a strong involvement of researchers in training new scientists within this specialty.
Furthermore, delving deeper into IF Goiano’s academic landscape, according to the Nilo Peçanha Platform (PNP), 774 faculties were actively engaged in teaching and research in the institution in 2018, with 309 holding a doctorate and 332 with a master’s degree. By examining student enrollments, out of the over 7,000 undergraduate enrollments at this institution in 2018, 28.4% were related to the field of Agrarian Sciences (i.e., Agricultural and Environmental Engineering, Environmental Management, Horticulture, and Agribusiness). In addition, out of the 681 enrollments in doctoral and master’s programs that year, 84.0% were also in this subject area (Brazil, 2018). These landscapes illustrate the importance of IF Goiano in training undergraduate and postgraduate students in agriculture. The analysis of our findings (Table 5) corroborates this observation by indicating that researchers in the area of Agricultural Sciences have a lower average impact on the journals where they publish (0.46 ± 0.80) and a lower average number of citations per article (0.46 ± 0.61) compared to other areas, such as Biological Sciences (1.19 ± 0.88 and 1.33 ± 0.94, respectively). This result may be related to the profile of research carried out in Agricultural Sciences, which is often more applied and regionalized, resulting in publications in specialized journals with a lower global impact.
Overall, the PNP data and our findings suggest that IF Goiano has strategically positioned itself to meet the demands of the agricultural environment in the Brazilian Midwest region. By offering academic programs in Agrarian Sciences and attracting highly qualified faculty and students to this field, IF Goiano contributes to the development and advancement of this critical domain. The historical origins of the institution, as the heir to the ex-Federal Agricultural Schools of Goiás State, further reinforce its deep connection and expertise in the field, solidifying its role as a key player in shaping the future of Agrarian Sciences in the region and beyond.
4.5 Academic-output issues
Concerning the Impact Factor and journal citations, our study considered the sex and subject areas of supervising researchers at a Brazilian public institution. Our findings revealed that male supervisors had a slightly higher average Impact Factor (M = 0.57; SD = 1.04) than females (M = 0.52; SD = 0.82). However, sex-related factors indicated that the difference (p = 0.28) was not statistically significant (α = 0.05). Although Brazilian publications were still below the world average, the value increased to 0.86 in 2016, and the Goiás State, home to IF Goiano, had a citation impact value of 0.73, with the highest value observed in the São Paulo State, reaching 0.88 (Cross et al., 2017). Statistical variations were found when examining the Impact Factor based on subject areas (p < 0.001). Supervisors in Biological Sciences (M = 1.19; SD = 0.88) had the highest Impact Factor, followed closely by Exact and Earth Sciences (M = 0.85; SD = 1.34). These findings suggest that research output in specific subject areas has a higher impact and citation potential than others. This observation aligns with broader trends in academic publishing and citation practices, where specific disciplines tend to attract more attention and recognition from the scientific community.
From 2011 to 2016, Brazil held the thirteenth position worldwide concerning the number of scientific articles published (Cross et al., 2017), reflecting efforts to enhance the visibility of Brazilian scientific production, emphasizing the understanding that productivity is closely linked to researchers’ academic performance. Vigorous publication of articles in international journals is a strategy aligned with the understanding that maximizing human intellectual capital is essential for enhancing scientific competitiveness in any country (Larivière et al., 2013), as has been observed in Brazil. Publishing articles in international journals is a means to achieve this goal (Soares and Nova, 2017).
Being cited also serves as a measure of scientific success (Xie, 2020). However, it is not enough to publish; the scientific community must accept and acknowledge the publication, thus impacting existing knowledge. Furthermore, the social contribution of science also entails publishing in journals with greater visibility, thereby fostering collaboration among fellow scientists and society at large (Silveira et al., 2022). In this context, the Impact Factor serves as an indicator. A higher Impact Factor signifies greater reach and a higher likelihood of being cited, ultimately leading to a more substantial contribution to the advancement of knowledge.
Regarding sex differences in the number of publications, a recent study indicated that work-life balance issues might influence women’s careers more significantly than men’s (Kleijn et al., 2020). In this context, the first PiS survey conducted between 2017 and 2018 (Machado et al., 2019), already indicated the impact of motherhood on the careers of Brazilian female scientists, which is consistent with the findings of our study. In other words, the results showed that women scientists’ productivity is immediately affected after childbirth, reducing the number of scientific publications (Machado et al., 2019), as observed in other countries (Morgan et al., 2021). According to a report by Elsevier, Portugal stood out as a leader among European countries in terms of women’s representation in research, particularly among female researchers in the early stages of their careers (Kleijn et al., 2020).
Collaboration between Brazilian and foreign researchers contributes to increased impact factors in publications. Data from 2013 to 2018 showed that Brazilians coauthored academic work with researchers from 205 countries, accounting for about a third of the academic projects on the Web of Science™ database. The co-authorship of international researchers in scientific articles generally enhances the impact of publications, surpassing the world average (1.0) when scientific productions are solely authored by Brazilians (Web of Science Group, 2019). When the focus is on patents, production in Brazil remains low, which may be attributed to a lack of awareness among researchers about the patent protection process and the gap between industry and HEIs (Dias and Almeida, 2013). Reversing this situation of distancing could lead to research studies to solve real problems and subsequent patent applications (Dias and Almeida, 2013). To further enhance the overall academic output, it is crucial to consider factors that influence research productivity, such as work-life balance, collaboration with international researchers, and the promotion of different types of academic output, such as books and patents. A study identified that the preference for other categories of publications, such as books and chapters, might be due to the time required for production and finalization (Silva, 2011).
4.6 Supervisory experience and expertise area issues
Regarding the supervisory experience in UR, in our study, we observed a difference based on sex, indicating that the average number of supervisions was higher for male supervisors (M = 1.56; SD = 1.64) compared to female supervisors (M = 1.24; SD = 1.38). Although the sex-related differences (p = 0.09) are just slightly above the threshold, the results suggest a trend that merits further investigation and consideration. Furthermore, the data show variations in the average number of supervisions in UR across different areas of knowledge (p < 0.001). In the Agrarian Sciences, there was the highest average number of supervisions (M = 1.84; SD = 1.74), while those in Linguistics, Languages, and Arts have the lowest (M = 0.35; SD = 0.52). This variation of expertise suggests that research supervision is more prevalent in some areas than others. Additionally, our findings highlight a sex disparity in specific academic disciplines, particularly in Engineering, where 83.3% of supervisors are male. This finding corroborates the underrepresentation of women in STEM fields, a phenomenon observed in Brazil and globally (Buse et al., 2017; Starr, 2018).
Historically, sex distinctions and expertise differences based on academic disciplines have contributed to disparities in accessing formal education in Brazil. In this study, higher education courses were represented by eight subject areas of CNPq, with 60.9% of supervisors active in the field of Exact and Earth Sciences. Women often feel that they do not fit into that field or that they do not belong in it. Cultural stereotypes regarding sex roles and societal expectations influence choices and behavior, including deciding which courses to pursue (Corbett and Hill, 2015; Kim et al., 2018). Addressing these biases and promoting inclusivity in STEM disciplines is fundamental to fostering a diverse and talented group of researchers and supervisors and promoting a balance of representation for both sexes in the diversity of professional fields.
Lastly, the primary objective of the IFs is to provide technical and technological education to offer favorable conditions for students at different educational levels within the same institution (Souza, 2017). This coexistence of students from diverse levels in a unified educational environment stimulates learning at technical and technological levels, cultivating students’ interest in pursuing further studies and preparing them for the challenges of the job market. Embracing this approach can lead to a broader and more enriching range of supervisory experiences (Souza, 2017), affording students a comprehensive and diverse education and effectively equipping them to tackle professional and academic challenges while fostering personal and intellectual growth.
4.7 Engagement issues
Previous studies have pointed to the absence of a relationship between research output measures and teaching quality (Hattie and Marsh, 1996) and an almost non-existent correlation between teaching effectiveness and research productivity (Marsh and Hattie, 2002). Our correlation analysis suggests that engagement in master’s studies or UR supervision might be associated with increased article production and an elevation in the average impact of researchers’ publications. The literature supports this conjecture; considering the higher education context, the supervisor’s support develops research skills and the engagement of the supervi(see Peng, 2015), resulting in highly motivated students who positively contribute to productivity (O’Keeffe, 2020). Thus, our findings underscore the importance of considering diverse supervisory activities, their associations with various outputs, and their corresponding impact averages.
4.8 Strengths, limitations, and future studies
This study presents several strengths that contribute to its academic merit and enhance scientific knowledge on the topic investigated. Firstly, the article demonstrates a well-articulated research objective by focusing on supervisors in a Brazilian institution. Secondly, adopting a quantitative approach and a case study design, supported by the PUR-Bra study, has provided a robust methodology for investigation-related analysis. Thirdly, the comprehensive overview of IF Goiano further reinforces the manuscript by offering a broad contextual understanding and establishing a transparent background for the research environment. Fourthly, including diverse variables in data collection has enabled a multifaceted analysis of supervisors’ profiles and scientific outputs, promoting a comprehensive understanding of the subject. Lastly, considering the Impact Factor and SCImago Journal Rank to assess journal quality has introduced a quantitative dimension to evaluating research output, strengthening the study’s robustness.
One major limitation of this study is that although the data were collected based on the Lattes Curriculum for 3 years, the platform allows the researcher to make changes at any time. Nonetheless, the study benefits from data collection spanning 4 years, which minimizes potential alterations, and the use of the Lattes Curriculum, which enables the generation of bibliometric indicators focusing on scientific and technological production. Another limitation, particularly within the context of the Brazilian RFEPCT, is that professors often supervise students across multiple educational levels simultaneously. As a result, the involvement of students from other research levels may have influenced some of our findings.
Future studies could collect data from supervisors within the same institution over the next 4 years (2019–2022) to analyze the development of their scientific production and the evolution of indicators related to the impact of their research output. The findings presented in this paper could serve as a basis for establishing institutional policies to promote scientific research. Understanding supervisors’ profiles involved in research within the teaching institution is an essential first step toward fostering high-quality scientific and technological output. Lastly, it is crucial to actively encourage and support the increased participation of women in science, aiming for sex equality in these positions of great relevance to the progress of society and beyond.
5 Conclusion
This study provides insights into supervisors’ profiles and research output at a Brazilian federal public institution. The findings indicate a predominance of male supervisors and a concentration of supervision experience in Agrarian Science. Young doctoral researchers, primarily trained in public institutions, represent the majority of supervisors. On average, supervisors produced 2.19 articles annually, with 1.19 written in English. and a lower mean (<1). Male supervisors and those from Health and Biological Sciences achieved the highest average Impact Factor and citation rates; while no significant sex-related differences were found in the Impact Factor rate, disparities across subject areas were evident. The study highlights sex-related challenges in academia, with barriers potentially affecting women’s motivation, career progression, and research engagement. In summary, the findings suggest the presence of barriers negatively impacting the motivation, professional progress, and personal fulfillment of women aspiring to pursue scientific research careers. Finally, our results contribute to a better understanding of research supervision and academic productivity in public institutions.
Data availability statement
The raw data supporting the conclusions of this article will be made available by the authors, without undue reservation.
Ethics statement
This study involving human data was approved by the Human Research Ethics Committee affiliated with IF Goiano and aligned with the Brazilian National Health Council. This approval, specific to the present study, was granted under Protocol CAAE No. 08499119.9.0000.0036 in compliance with Brazilian legislation (CNS Resolution No. 466, dated December 12, 2012). Thus, the studies were conducted following local legislation and institutional requirements. Written informed consent for participation was not required from the participants or the participants’ legal guardians/next of kin in accordance with the national legislation and institutional requirements.
Author contributions
WC: Data curation, Formal analysis, Investigation, Resources, Software, Visualization, Writing – original draft, Writing – review & editing. AW: Conceptualization, Data curation, Formal analysis, Investigation, Methodology, Project administration, Resources, Software, Validation, Writing – original draft, Writing – review & editing. VM-S: Investigation, Methodology, Visualization, Writing – original draft, Writing – review & editing. MM-P: Investigation, Methodology, Validation, Writing – original draft, Writing – review & editing. PN: Formal analysis, Writing – original draft, Writing – review & editing. MN: Conceptualization, Formal analysis, Investigation, Methodology, Project administration, Resources, Software, Supervision, Validation, Visualization, Writing – original draft, Writing – review & editing.
Funding
The author(s) declare that no financial support was received for the research and/or publication of this article.
Acknowledgments
The authors thank the Instituto Federal Goiano for providing financial support, essential resources for this study, and a grant through the Institutional Qualification Program (PIQ). They also thank the Research Group on the Health of the Child and the Adolescent (GPSaCA) for their valuable support in enabling the successful completion of this study.
Conflict of interest
The authors declare that the research was conducted without commercial or financial relationships that could be construed as a potential conflict of interest.
The author(s) declared that they were an editorial board member of Frontiers, at the time of submission. This had no impact on the peer review process and the final decision.
Generative AI statement
The authors declare that no Gen AI was used in the creation of this manuscript.
Publisher’s note
All claims expressed in this article are solely those of the authors and do not necessarily represent those of their affiliated organizations, or those of the publisher, the editors and the reviewers. Any product that may be evaluated in this article, or claim that may be made by its manufacturer, is not guaranteed or endorsed by the publisher.
Supplementary material
The Supplementary material for this article can be found online at: https://www.frontiersin.org/articles/10.3389/feduc.2025.1554124/full#supplementary-material
Footnotes
References
Baan, J., Gaikhorst, L., and Volman, M. L. L. (2020). The involvement of academically educated Dutch teachers in inquiry-based working. Prof. Dev. Educ. 46, 21–34. doi: 10.1080/19415257.2018.1550103
Bangera, G., and Brownell, S. E.. (2014). “Course-based undergraduate research experiences can make scientific research more inclusive” edited by G. Hatfull. CBE Life Sci. Educ. 13:602–6. doi: 10.1187/cbe.14-06-0099
Barros, S. C. V., and Luciana, M. C. S. (2018). Career development of teaching researchers in Brazil: a gender analysis. Arquivos Brasil. Psicol. 71, 68–83. doi: 10.36482/1809-5267.ARBP2019v71i2p.68-83
Bendels, M. H. K., Dietz, M. C., Brüggmann, D., Oremek, G. M., Schöffel, N., and Groneberg, D. A. (2018). Gender disparities in high-quality dermatology research: a descriptive bibliometric study on scientific authorships. BMJ Open 8, 1–11. doi: 10.1136/bmjopen-2017-020089
Betz, A. R., King, B., Grauer, B., Montelone, B., Wiley, Z., and Thurston, L. (2021). Improving academic self-concept and STEM identity through a research immersion: pathways to STEM summer program. Front. Educ. 6:674817. doi: 10.3389/feduc.2021.674817
Blatter, J., and Haverland, M. (2012). Designing case studies: Explanatory approaches in small-n research. 1st Edn. London: Palgrave Macmillan UK.
Bliss, S. S., Abraha, E. A., Fuhrmeister, E. R., Pickering, A. J., and Bascom-Slack, C. A. (2023). Learning and STEM identity gains from an online module on sequencing-based surveillance of antimicrobial resistance in the environment: an analysis of the PARE-Seq curriculum. PLoS One 18:e0282412. doi: 10.1371/journal.pone.0282412
Brazil (1951). “Law no. 1,310, January 15, 1951.” Establishes the National Council for scientific and technological research, and provides for other provisions. Available online at: https://www.planalto.gov.br/ccivil_03/leis/1950-1969/L1310.htm (Accessed July 18, 2023).
Brazil (2008). “Law no. 11,892, of December 29, 2008.” Establishes the Federal Network of professional, scientific and technological education, creates the Federal Institutes of Education, science and technology. Available online at: https://www.planalto.gov.br/ccivil_03/_ato2007-2010/2008/lei/l11892.htm (Accessed March 2, 2024).
Brazil (2012). “Resolution CNS no. 466, of December 12, 2012, provides guidelines and regulatory norms for research involving human subjects.” National Health Council. Available online at: https://conselho.saude.gov.br/resolucoes/2012/Reso466.pdf (Accessed March 20, 2023).
Brazil (2018) “Nilo Peçanha Platform – 2018 Base Year.” 2019 edition. Available online at: https://www.gov.br/mec/pt-br/pnp (Accessed July 22, 2023).
Brew, A., and Mantai, L. (2017). Academics’ perceptions of the challenges and barriers to implementing research-based experiences for undergraduates. Teach. High. Educ. 22, 551–568. doi: 10.1080/13562517.2016.1273216
Brew, A., and Saunders, C. (2020). Making sense of research-based learning in teacher education. Teach. Teach. Educ. 87:102935. doi: 10.1016/j.tate.2019.102935
Buse, K., Hill, C., and Benson, K. (2017). Establishing the research agenda for increasing the representation of women in engineering and computing. Front. Psychol. 8:598. doi: 10.3389/fpsyg.2017.00598
Camacho, T. C., Vasquez-Salgado, Y., Chavira, G., Boyns, D., Appelrouth, S., Saetermoe, C., et al. (2021). Science identity among Latinx students in the biomedical sciences: the role of a critical race theory–informed undergraduate research experience. CBE Life Sci. Educ. 20:ar23. doi: 10.1187/cbe.19-06-0124
Carli, L. L., Alawa, L., Lee, Y. A., Zhao, B., and Kim, E. (2016). Stereotypes about gender and science. Psychol. Women Q. 40, 244–260. doi: 10.1177/0361684315622645
Carpes, P. B., Mello, F. S., Oliveira, L., and Soletti, R. C. (2022). Parenthood and science careers: the impact is not the same for everyone. Epidemiol. Serv. Saúde 31:e2022354. doi: 10.1590/s2237-96222022000200013
CGEE (2019). Masters and doctors 2019 - Human Resources Information Services for Science, Technology, and Innovation. Brasília: CGEE.
Chelberg, K., and Bosman, L. (2020). American Indian college student mentoring: a study to measure changes in self-efficacy. Educ. Sci. 10, 2–13. doi: 10.3390/educsci10020038
Chemers, M. M., Zurbriggen, E. L., Syed, M., Goza, B. K., and Bearman, S. (2011). The role of efficacy and identity in science career commitment among underrepresented minority students. J. Soc. Issues 67, 469–491. doi: 10.1111/j.1540-4560.2011.01710.x
Chen, Y.-C. (2020). Dialogic pathways to manage uncertainty for productive engagement in scientific argumentation. Sci. & Educ. 29, 331–375. doi: 10.1007/s11191-020-00111-z
Chen, J. (2021). Analysis on the driving effect of scientific and technological innovation on the coordinated development of regional economy. BCP Bus. Manag. 15, 45–49. doi: 10.54691/bcpbm.v15i.210
Cicero, E. C., and Wesp, L. M. (2017). Supporting the health and well-being of transgender students. J. Sch. Nurs. 33, 95–108. doi: 10.1177/1059840516689705
CNPq. (2006). Normative Resolution No. 17/2006: Quota Scholarships in the Country. Available online at: http://memoria2.cnpq.br/view/-/journal_content/56_INSTANCE_0oED/10157/100352?COMPANY_ID=10132 (Accessed January 15, 2023).
CNPq. (2017). Panel of Institutional Scientific and Technological Initiation Programs. Available online at: http://memoria2.cnpq.br/web/guest/painel-programas-institucionais-de-ict (Accessed December 27, 2022).
CNPq (2021a). CNPq 2021 Management Report : Brasília. Available online at: https://www.gov.br/cnpq/pt-br/acesso-a-informacao/auditorias/Relatorio_de_Gestao_CNPq_2021_v2_COCOM.pdf (Accessed August 2, 2022).
CNPq. (2021b). CNPq Announces the Inclusion of the Maternity Leave Field in the Lattes Curriculum. Available online at: https://www.gov.br/cnpq/pt-br/assuntos/noticias/cnpq-em-acao/cnpq-anuncia-inclusao-do-campo-licenca-maternidade-no-curriculo-lattes (Accessed January 5, 2023).
CNPq. (2021c). Programas Institucionais de Iniciação C&T: Objetivos Do PIBIC. Available online at: https://www.gov.br/cnpq/pt-br/acesso-a-informacao/acoes-e-programas/programas/programas-ict
CNPq. (2022). About the Lattes Platform. Available online at: https://lattes.cnpq.br/ (December 27, 2022).
CNPq. (2025). CNPq’s Science, Technology and Innovation Development Panel. Available online at: http://bi.cnpq.br/painel/fomento-cti/ (Accessed February 14, 2025).
Corbett, C., and Hill, C. (2015). Solving the equation: The variables for Women’s success in engineering and computing. Washington: AAUW.
Corwin, L. A., Runyon, C. R., Ghanem, E., Sandy, M., Clark, G., Palmer, G. C., et al. (2018). Effects of discovery, iteration, and collaboration in laboratory courses on undergraduates’ research career intentions fully mediated by student ownership. CBE Life Sci. Educ. 17:ar20. doi: 10.1187/cbe.17-07-0141
Costa, W. P., Melo, A. F., Venâncio, P. E. M., Bernardo, M. A. S., Priscilla, R. E., Noll, S., et al. (2024). Students’ research experience, self-perceptions, and scientific productivity in undergraduate research programs: a case study of a Brazilian Midwest institute. Innov. Educ. Teach. Int. 1:312. doi: 10.1080/14703297.2024.2339312
Cross, D., Thomson, S., and Sinclair, A.. (2017). Research in Brazil: A Report for CAPES by Clarivate Analytics.
Crowe, J., and Boe, A. (2019). Integrating undergraduate research into social science curriculum: benefits and challenges of two models. Educ. Sci. 9, 2–13. doi: 10.3390/educsci9040296
DeChenne-Peters, S. E., Rakus, J. F., Parente, A. D., Mans, T. L., Eddy, R., Galport, N., et al. (2023). Length of course-based undergraduate research experiences (CURE) impacts student learning and attitudinal outcomes: a study of the malate dehydrogenase CUREs community (MCC). PLoS One 18:e0282170. doi: 10.1371/journal.pone.0282170
Dias, C. G., and Almeida, R. B. (2013). Scientific production and technological production: transforming a scientific paper into patent applications. Einstein (São Paulo) 11, 1–10. doi: 10.1590/S1679-45082013000100003
Eagan, M. K., Sharkness, J., Hurtado, S., Mosqueda, C. M., and Chang, M. J. (2011). Engaging undergraduates in science research: not just about faculty willingness. Res. High. Educ. 52, 151–177. doi: 10.1007/s11162-010-9189-9
Elgin, S. C. R., Bangera, G., Decatur, S. M., Dolan, E. L., Guertin, L., Newstetter, W. C., et al. (2016). Insights from a convocation: integrating discovery-based research into the undergraduate curriculum. CBE Life Sci. Educ. 15:118. doi: 10.1187/cbe.16-03-0118
Escobedo, P., Moon, S., Moreno, K., Lin, J. C. P., Kwan, P. P., Flores, G. E., et al. (2023). The impact of the Covid-19 pandemic on sense of belonging and science outcomes among biomedical science students: a longitudinal study. Educ. Sci. 13:579. doi: 10.3390/educsci13060579
Esparza, D., Wagler, A. E., and Olimpo, J. T. (2020). Characterization of instructor and student behaviors in CURE and non-CURE learning environments: impacts on student motivation, science identity development, and perceptions of the laboratory experience. CBE Life Sci. Educ. 19:ar10. doi: 10.1187/cbe.19-04-0082
Estrada, M., Burnett, M., Campbell, A. G., Campbell, P. B., Denetclaw, W. F., Gutiérrez, C. G., et al. (2016). Improving underrepresented minority student persistence in STEM. CBE Life Sci. Educ. 15:38. doi: 10.1187/cbe.16-01-0038
Fernandes, M. S., Valadão, T. M., Silva, V., Priscilla, R. E., Noll, S., Almeida, A. A., et al. (2022). Depressive symptoms and their associated factors in vocational–technical school students during the COVID-19 pandemic. Int. J. Environ. Res. Public Health 19, 1–20. doi: 10.3390/ijerph19063735
Frantz, K. J., Demetrikopoulos, M. K., Britner, S. L., Carruth, L. L., Williams, B. A., Pecore, J. L., et al. (2017). A comparison of internal dispositions and career trajectories after collaborative versus apprenticed research experiences for undergraduates. CBE Life Sci. Educ. 16:ar1. doi: 10.1187/cbe.16-06-0206
García-González, J., Forcén, P., and Jimenez-Sanchez, M. (2019). Men and women differ in their perception of gender Bias in research institutions. PLoS One 14:e0225763. doi: 10.1371/journal.pone.0225763
Goodwin, E. C., Cary, J. R., and Shortlidge, E. E. (2022). Not the same CURE: student experiences in course-based undergraduate research experiences vary by graduate teaching assistant. PLoS One 17:e0275313. doi: 10.1371/journal.pone.0275313
Goymann, W., Brumm, H., and Kappeler, P. M. (2023). Biological sex is binary, even though there is a rainbow of sex roles. BioEssays 45:e2200173. doi: 10.1002/bies.202200173
Graham, M. J., Frederick, J., Byars-Winston, A., Hunter, A.-B., and Handelsman, J. (2013). Increasing persistence of college students in STEM. Science 341, 1455–1456. doi: 10.1126/science.1240487
Hattie, J., and Marsh, H. W. (1996). The relationship between research and teaching: a Meta-analysis. Rev. Educ. Res. 66:507. doi: 10.2307/1170652
Hazra, A., and Gogtay, N. (2016). Biostatistics series module 3: comparing groups: numerical variables. Indian J. Dermatol. 61, 251–260. doi: 10.4103/0019-5154.182416
Hernandez, P. R., Woodcock, A., Estrada, M., and Wesley Schultz, P. (2018). Undergraduate research experiences broaden diversity in the scientific workforce. Bioscience 68, 204–211. doi: 10.1093/biosci/bix163
Huyer, S. (2015). “Is the gender gap narrowing in science and engineering?” in UNESCO science report: Towards 2030. eds. F. Schlegel, S. Schneegans, D. Eröcal, Z. B. Lakhdar, C. Huang, and D.-P. Min, et al. (Paris: UNESCO Publishing), 85–103.
INEP. (2017). Synopsis statistics of higher education – Graduation in 2017. Available online at: https://www.gov.br/inep/pt-br/acesso-a-informacao/dados-abertos/sinopses-estatisticas/educacao-superior-graduacao (Accessed July 20, 2023).
INEP. (2018). Synopsis Statistics of Higher Education – Graduation in 2018. Available online at: https://www.gov.br/inep/pt-br/acesso-a-informacao/dados-abertos/sinopses-estatisticas/educacao-superior-graduacao (Accessed July 20, 2023).
INEP. (2021). Synopsis Statistics of Higher Education – Graduation in 2021. Available online at: https://www.gov.br/inep/pt-br/acesso-a-informacao/dados-abertos/sinopses-estatisticas/educacao-superior-graduacao (Accessed July 20, 2023).
Izquierdo-Iranzo, P., Gómez-Escalonilla, G., and Puente, S. N. (2021). The gaze of the protagonist in gender research in communication and their profiles. Rev. Asoc. Española Investig. Comunic. 8, 220–241. doi: 10.24137/raeic.8.15.10
Kardash, C. A. M. (2000). Evaluation of undergraduate research experience: perceptions of undergraduate interns and their faculty mentors. J. Educ. Psychol. 92, 191–201. doi: 10.1037/0022-0663.92.1.191
Kim, A. Y., Sinatra, G. M., and Seyranian, V. (2018). Developing a STEM identity among young women: a social identity perspective. Rev. Educ. Res. 88, 589–625. doi: 10.3102/0034654318779957
Kleijn, M., Jayabalasingham, B., Falk-Krzesinski, H. J., Collins, T., Kuiper-Hoyng, L., Cingolani, I., et al. (2020). The researcher journey through a gender Lens: An examination of research participation, Career Progression and Perceptions across the Globe. Amsterdam.
Krieger, N. (2003). Genders, sexes, and health: what are the connections—and why does it matter? Int. J. Epidemiol. 32, 652–657. doi: 10.1093/ije/dyg156
Larivière, V., Ni, C., Gingras, Y., Cronin, B., and Sugimoto, C. R. (2013). Bibliometrics: global gender disparities in science. Nature 504, 211–213. doi: 10.1038/504211a
Leslie, S.-J., Cimpian, A., Meyer, M., and Freeland, E. (2015). Expectations of brilliance underlie gender distributions across academic disciplines. Science 347, 262–265. doi: 10.1126/science.1261375
Lillywhite, A., and Wolbring, G. (2019). Undergraduate disabled students as knowledge producers including researchers: a missed topic in academic literature. Educ. Sci. 9, 1–21. doi: 10.3390/educsci9040259
Linn, M. C., Palmer, E., Baranger, A., Gerard, E., and Stone, E. (2015). Undergraduate research experiences: impacts and opportunities. Science 347:757. doi: 10.1126/science.1261757
Lopatto, D. (2007). Undergraduate research experiences support science career decisions and active learning. CBE Life Sci. Educ. 6, 297–306. doi: 10.1187/cbe.07-06-0039
Lopatto, D. (2010). Undergraduate research as a high-impact student experience. Peer Rev. 12, 27–31.
Machado, L. S., Perlin, M., Soletti, R. C., Silva, L. K. R., Schwartz, I. V. D., Seixas, A., et al. (2019). “Parent in science: the impact of parenthood on the scientific career in Brazil.” Pp. 37–40 In 2019 IEEE/ACM 2nd international workshop on gender equality in software engineering (GE). IEEE.
Mantai, L., Swain, C., Bearman, M., and Brew, A. (2023). Assessment of student learning in undergraduate research engagement. High. Educ. Res. Dev. 43, 937–951. doi: 10.1080/07294360.2023.2218808
Marsh, H. W., and Hattie, J. (2002). The relation between research productivity and teaching effectiveness. J. High. Educ. 73, 603–641. doi: 10.1080/00221546.2002.11777170
Massi, L., and Queiroz, S. L. (2010). Studies on undergraduate research in Brazil: a review. Cad. Pesqui. 40, 173–197. doi: 10.1590/S0100-15742010000100009
Maton, K. I., Hrabowski, F. A., and Schmitt, C. L. (2000). African American college students excelling in the sciences: college and Postcollege outcomes in the Meyerhoff scholars program. J. Res. Sci. Teach. 37, 629–654. doi: 10.1002/1098-2736(200009)37:7<629::AID-TEA2>3.0.CO;2-8
McSweeney, J. C., Hudson, T. J., Prince, L., Beneš, H., Tackett, A. J., Robinson, C. M., et al. (2018). Impact of the INBRE summer student mentored research program on undergraduate students in Arkansas. Adv. Physiol. Educ. 42, 123–129. doi: 10.1152/advan.00127.2017
Melo, A. F., Costa, W. P., Rodrigues, R. R., Nunes, L. A. C. B., Priscilla, R. E., Noll, S., et al. (2023). Panorama of undergraduate research in Brazil: profile, scientific production, and perceptions. Publica 11:30. doi: 10.3390/publications11020030
Mieg, H. A., Ambos, E., Brew, A., Galli, D., and Lehmann, J. (2022). The Cambridge handbook of undergraduate research. New York: Cambridge University Press.
Morais, R., Fernandes, C. E., and Piñeiro-Naval, V. (2022). Big girls Don’t cry: an assessment of research units’ leadership and gender distribution in higher education institutions. Soc. Sci. 11:345. doi: 10.3390/socsci11080345
Morales, C. J. C., Barnuevo, K. D. E., Delloro, E. S., Cabebe-Barnuevo, R. A., Calizo, J. K. S., Lumayno, S. D. P., et al. (2023). Otolith morphometric and shape distinction of three Redfin species under the genus Decapterus (Teleostei: Carangidae) from Sulu Sea, Philippines. Aust. Fish. 8:95. doi: 10.3390/fishes8020095
Morgan, A. C., Way, S. F., Hoefer, M. J. D., Larremore, D. B., Galesic, M., and Clauset, A. (2021). The unequal impact of parenthood in academia. Sci. Adv. 7:1996. doi: 10.1126/sciadv.abd1996
Nittrouer, C. L., Hebl, M. R., Ashburn-Nardo, L., Trump-Steele, R. C. E., Lane, D. M., and Valian, V. (2018). Gender disparities in colloquium speakers at top universities. Proc. Natl. Acad. Sci. 115, 104–108. doi: 10.1073/pnas.1708414115
Noll, M., Melo, A. F., Araújo, T. G., and Soares, F. A. L. (2021). Profile of scientific initiation students in Brazilian Federal Institutes: research areas, gender, and scholarship type by region. Res. Soc. Dev. 10:e511101119936. doi: 10.33448/rsd-v10i11.19936
O’Connor, P., and White, K. (2021). Gender, power and higher education in a globalised world. Switzerland: Springer International Publishing.
O’Keeffe, P. (2020). PhD by publication: innovative approach to social science research, or operationalisation of the doctoral student … or both? High. Educ. Res. Dev. 39, 288–301. doi: 10.1080/07294360.2019.1666258
Oliveira, A., Araújo, E., and Bianchetti, L. (2014). ‘Flying higher’: understanding the meanings given to scientific initiation in Brazil. J. Educ. Soc. Res. 4, 235–242. doi: 10.5901/jesr.2014.v4n6p235
Oliveira, A., Melo, M. F., Rodrigues, Q. B., and Pequeno, M. (2021). Gender and inequality in the Brazilian academia: an Analysis from CNPq research productivity fellows. Configurações 27, 75–93. doi: 10.4000/configuracoes.11979
Pastorino, G. Q., Preziosi, R., Faustini, M., Curone, G., Albertini, M., Nicoll, D., et al. (2019). Comparative personality traits assessment of three species of communally housed captive penguins. Animals 9:376. doi: 10.3390/ani9060376
Peng, H. (2015). Assessing the quality of research supervision in mainland Chinese higher education. Qual. High. Educ. 21, 89–100. doi: 10.1080/13538322.2015.1049441
Pérez-Neri, I., Pineda, C., Flores-Guerrero, J. L., Dulce Estêvão, M., Vasanthan, L. T., Lorente, S., et al. (2022). Adherence to literature search reporting guidelines in leading rheumatology journals’ systematic reviews: umbrella review protocol. Rheumatol. Int. 42, 2135–2140. doi: 10.1007/s00296-022-05194-1
Pires, R., and Machado, C. (2009). Undergraduate studies of the research professor through the PIBIC/CNPQ program: what does the professional practice of graduates tell us? Avaliação 14, 487–514. doi: 10.1590/S1414-40772009000200012
Santiago, M. O., Affonso, F., and Dias, T. M. R. (2020). Scientific production of women in Brazil. Transinformação 32:e200032. doi: 10.1590/2318-0889202032e200032
Schultz, P. W., Hernandez, P. R., Woodcock, A., Estrada, M., Chance, R. C., Aguilar, M., et al. (2011). Patching the pipeline. Educ. Eval. Policy Anal. 33, 95–114. doi: 10.3102/0162373710392371
Shapiro, C., Moberg-Parker, J., Toma, S., Ayon, C., Zimmerman, H., Roth-Johnson, E. A., et al. (2015). Comparing the impact of course-based and apprentice-based research experiences in a life science laboratory curriculum. J. Microbiol. Biol. Educ. 16, 186–197. doi: 10.1128/jmbe.v16i2.1045
Silva, L. L. (2011). A study of the scientific profile of researchers with productivity Grants from the National Council for Scientific and Technological Development (CNPq) in the field of science and math education. Rev. Brasil. Pesquisa Educ. Ciências 11, 75–99.
Silveira, E. A., Maria, A., de Sousa, R., and Noll, M. (2022). Guide for scientific writing: how to avoid common mistakes in a scientific article. J. Hum. Growth Dev. 32, 341–352. doi: 10.36311/jhgd.v32.13791
Smyth, F. L., and Nosek, B. A. (2015). On the gender–science stereotypes held by scientists: explicit accord with gender-ratios, implicit accord with scientific identity. Front. Psychol. 6:415. doi: 10.3389/fpsyg.2015.00415
Soares, S. V., and Nova, S. P. C. C. (2017). Brazilian researchers publishing in International Journals: what is your academic background? Rev. Gestão Univ. Latina 10, 125–149. doi: 10.5007/1983-4535.2017v10n1p125
Sorensen, A. E., Corral, L., Dauer, J. M., and Fontaine, J. J. (2018). Integrating authentic scientific research in a conservation course–based undergraduate research experience. Nat. Sci. Educ. 47, 1–10. doi: 10.4195/nse2018.02.0004
Souza, R. R. (2017). Research, graduate and innovation in the Federal Network of professional, scientific and technological education. Goiânia: IFG.
Starr, C. R. (2018). ‘I’m not a science nerd!’. Psychol. Women Q. 42, 489–503. doi: 10.1177/0361684318793848
Ülkü, M. A., Karkowski, A. M., and Lahm, T. D. (2017). Perspectives on interdisciplinary undergraduate research. Educ. Stud. 44, 247–263. doi: 10.1080/03055698.2017.1347497
UNESCO (2016) in UNESCO science report: Towards 2030. eds. F. Schlegel, S. Schneegans, and D. Eröcal. 2nd ed (Paris: UNESCO Publishing).
Valentova, J. V., Otta, E., Silva, M. L., and McElligott, A. G. (2017). Underrepresentation of women in the senior levels of Brazilian science. PeerJ 5:e4000. doi: 10.7717/peerj.4000
Vitória, B. S. C., and Mourão, L. (2018). Women, higher education, labor market and society: an overview. Psicol. Soc. 30, 1–11. doi: 10.1590/1807-0310/2018v30174090
Webber, K. L., Nelson Laird, T. F., and BrckaLorenz, A. M. (2013). Student and faculty member engagement in undergraduate research. Res. High. Educ. 54, 227–249. doi: 10.1007/s11162-012-9280-5
Wei, C. A., and Woodin, T. (2011). Undergraduate research experiences in biology: alternatives to the apprenticeship model. CBE Life Sci. Educ. 10, 123–131. doi: 10.1187/cbe.11-03-0028
Wilcox, R. (2017). “Correlation and tests of Independence” in Introduction to robust estimation and hypothesis testing (Elsevier), 485–516.
Willison, J. W. (2012). When academics integrate research skill development in the curriculum. High. Educ. Res. Dev. 31, 905–919. doi: 10.1080/07294360.2012.658760
Xie, Z. (2020). Predicting publication productivity for researchers: a piecewise Poisson model. J. Informet. 14, 1–18. doi: 10.1016/j.joi.2020.101065
Zhang, L., Song, W., and He, J. (2012). Empirical research on the relationship between scientific innovation and economic growth in Beijing. Technol. Invest. 3, 168–173. doi: 10.4236/ti.2012.33023
Keywords: researcher, undergraduate research, scientific initiation, academic productivity, higher education, research impact, public educational policy, public policy for research engagement
Citation: Costa WP, Walker AFM, Miñana-Signes V, Monfort-Pañego M, Noll PRES and Noll M (2025) Scientific output of undergraduate research supervisors: the role of sex-related, academic career, and subject areas in a Brazilian public institution. Front. Educ. 10:1554124. doi: 10.3389/feduc.2025.1554124
Edited by:
Luis Portales Derbez, Monterrey Institute of Technology and Higher Education (ITESM), MexicoReviewed by:
Vilma Mamani Cori, Universidad Nacional del Altiplano, PeruSilvia Reyes Narváez, National University Santiago Antunez de Mayolo, Peru
Copyright © 2025 Costa, Walker, Miñana-Signes, Monfort-Pañego, Noll and Noll. This is an open-access article distributed under the terms of the Creative Commons Attribution License (CC BY). The use, distribution or reproduction in other forums is permitted, provided the original author(s) and the copyright owner(s) are credited and that the original publication in this journal is cited, in accordance with accepted academic practice. No use, distribution or reproduction is permitted which does not comply with these terms.
*Correspondence: Woska Pires da Costa, d29za2EuY29zdGFAaWZnb2lhbm8uZWR1LmJy; d29za2FwY0BnbWFpbC5jb20=; Matias Noll, bWF0aWFzLm5vbGxAaWZnb2lhbm8uZWR1LmJy
†ORCID: Woska Pires da Costa, https://orcid.org/0000-0002-8841-2039
Angélica Ferreira Melo, https://orcid.org/0000-0003-0413-2695
Vicente Miñana-Signes, https://orcid.org/0000-0003-2114-1294
Manuel Monfort-Pañego, https://orcid.org/0000-0002-3181-2170
Priscilla Rayanne E. Silva Noll, https://orcid.org/0000-0003-3715-1956
Matias Noll, https://orcid.org/0000-0002-1482-0718