Your new experience awaits. Try the new design now and help us make it even better

ORIGINAL RESEARCH article

Front. Educ., 25 November 2025

Sec. Digital Education

Volume 10 - 2025 | https://doi.org/10.3389/feduc.2025.1655843

This article is part of the Research TopicDigital Learning Innovations: Trends Emerging Scenario, Challenges and OpportunitiesView all 34 articles

Exploring Indian educators' perceptions, attitudes, and behaviors regarding augmented reality applications in school settings: a comprehensive mixed-methods study

  • 1Pailan College of Education, Kolkata, India
  • 2Dr. B. R. Ambedkar Institute of Education, Kolkata, India
  • 3Postgraduate Department of Education, Saint Xavier's College, Kolkata, India

This study examined Indian school educators' perceptions, attitudes, and behaviors toward augmented reality applications (ARA), focusing on their interrelationships and the factors influencing these variables at the school level. Employing a descriptive mixed-methods approach, data were randomly collected from 730 teachers across all 28 states and 8 union territories of India using standardized, self-developed questionnaires. Quantitative analysis included percentages, chi-square, t-tests, ANOVA, multiple correlations, and coding techniques. The findings revealed that teachers exhibited low to moderate levels of perception, attitude, and behavior toward ARAs, with female teachers scoring significantly higher than their male counterparts. Notable differences were observed across school category, stream, qualification, and designation, though attitudes showed no significant variation. In contrast, age, location, and teaching experience had little to no impact. Strong positive correlations were identified among the three variables—perception and attitude, perception and behavior, and attitude and behavior—underscoring their interdependence. Qualitative insights further highlighted key barriers, including limited awareness, low motivation, inadequate infrastructure, and insufficient training. Despite these challenges, teachers demonstrated resilience by adopting adaptive strategies. The study suggests that effective integration of AR in schools requires robust administrative support, adequate funding, targeted professional development, collaborative practices, and the development of culturally relevant, discipline-specific content.

1 Introduction

Technology has become our constant companion, like a shadow that never leaves us. It is becoming almost impossible to separate it from our lives. Just as we can't imagine doing anything without it, we can't even think beyond it anymore. In fact, there is hardly any aspect of our day-to-day life where we can move forward without relying on technology. In the field of education, technology truly serves as a powerful catalyst for enhancing it in a variety of ways, providing unique opportunities for individuals to learn and collaborate. It is essential for teachers to harness their technological capabilities to improve classroom teaching and learning processes (Alam and Mohanty, 2023).

In today's world, smartphones, mobile gadgets, and other digital devices have become increasingly popular among students. The integration of these technologies into education can be traced back to the late 1950s. One of the earliest examples is the Sensorama (2024), a simulator developed by Morton Heilig in 1957. In 1966, Ivan Sutherland created the first augmented reality (AR) headset, known as the “Sword of Damocles,” which was designed to assist helicopter pilots with night landings by allowing cameras to track head movements (The Sword of Damocles (virtual reality), 2024). Later, in 1999, Hirokazu Kato of the Nara Institute of Science and Technology developed ARToolKit (Best 3 ARToolKit Alternatives for 2024, 2024), the first cross-platform open-source library for augmented reality (Arena et al., 2022). As the use of electronic devices continues to grow among students and educators, it becomes increasingly important for teachers to be innovative in their teaching methods. By integrating technology into their teaching strategies, educators can create a more engaging and enjoyable learning experience for their students (Panakaje et al., 2024). Incorporating technology into education is not a novel concept, especially within the context of 21st-century teaching and learning.

Augmented reality (AR) is one such technological innovation that is currently being used to enhance the learning and teaching process, thereby strengthening concept formation and understanding. AR enriches real-world settings by overlaying virtual objects or information such as audio, video, graphics, or simulations created by computer-based technologies (Dunleavy et al., 2009; Thangavel et al., 2025). Essentially, AR enhances perceptions of reality by integrating two- and three-dimensional digital content into real-world environments (Cepeda-Galvis et al., 2017; Crogman et al., 2025). AR can engage multiple sensory modalities, including visual, auditory, haptic, somatosensory, and olfactory experiences. This multi-sensory approach effectively complements traditional teaching methods, fostering critical thinking and enhancing student engagement and perception (Cipresso et al., 2011; Syahputri, 2019; Toyama and Hori, 2025).

According to Paladini (2018) and Singh (2025), there are currently three main types of AR used in education: marker-based AR, which requires target images or markers to annotate objects in a given space, using phone camera feeds to place 3D digital content within the user's visual field; marker-less AR, which does not require object tracking systems but instead uses advancements in cameras, algorithms, sensors, and processors to detect and map the real world; and location-based AR, which merges virtual 3D objects into the user's physical location, overlaying information based on geographical data. These AR technologies are increasingly employed in educational and training settings to facilitate interaction with both virtual and real-time applications (Zuo et al., 2024). They offer dynamic representations of complex concepts across various disciplines, such as arts, science, social science, and mathematics, thereby enhancing students' understanding.

However, the application of AR extends across multiple subjects, including English language education, foreign languages, science, social studies, history, mathematics, special education, and vocational training. AR is also utilized in higher education research, creating realistic simulations that allow students to practice skills and concepts in safe, controlled environments (Egunjobi and Adeyeye, 2024). Recent technological advancements have significantly altered the educational landscape, integrating innovative tools like AR into traditional learning environments. AR blends virtual elements with real-world settings, primarily through mobile devices, tablets, and other appropriate tools, offering immersive educational opportunities that encourage interaction with virtual counterparts of physical environments (Pasalidou et al., 2023). These advancements play a significant role in increasing students' motivation and engagement (Khan et al., 2019; Zuo et al., 2025). AR, which not only incorporates digital information into live footage of a user's real-life environment, provides several potential benefits as well, such as enhancing understanding of our surroundings, building contextual awareness, and scaffolding learners' live experiences (Wu et al., 2013).

The benefits of AR in education are numerous, including improved access to learning materials, the availability of virtual equipment, higher student engagement, faster and more authentic learning experiences, safer practice environments, increased motivation and attention in classes, the development of imagination, creativity, and abstract thinking, and the ability to teach complex concepts that are challenging to present in a traditional classroom setting. Despite these potential benefits, the successful integration of AR into schools depends largely on the actions and behaviors of teachers. Educators play a crucial role in applying new technologies in classrooms, which directly influence students' engagement and learning outcomes. Therefore, understanding teachers' attitudes, perceptions, and behaviors toward AR applications in educational practices is essential.

A positive attitude, perception, and behavior toward AR are influenced by factors such as perceived enjoyment, perceived ease of use, and the relative merit of AR over traditional teaching methods. Teachers with a positive attitude toward AR are more likely to experiment with and integrate it into their pedagogical practices. Research has shown that AR technology can enhance teaching and learning outcomes in areas such as achievement, attitude, confidence, motivation, interest, engagement, and overall student satisfaction (Akcayır and Akcayır, 2017; Weng et al., 2020). The relationship among perception, attitude, and behavior is cyclical: perception influences attitude, which in turn impacts behavior. For example, if teachers perceive AR as user-friendly and pedagogically valuable, they are likely to develop a positive attitude, leading to increased use of AR in their teaching. This behavior can reinforce positive perceptions and attitudes, creating a feedback loop that promotes the continued use of AR in education. In this context, research revealed that teachers can be compared to expedition leaders, guiding students on a journey of discovery that expands their understanding of the world and prepares them to become knowledgeable, curious, and empathetic global citizens (AlGerafi et al., 2023). AR facilitates discovery and self-exploratory learning, making the educational experience both engaging and enjoyable.

1.1 Review of literature

Research on teachers' perceptions of mobile augmented reality (MAR) consistently highlights generally positive attitudes and a readiness to integrate this technology into educational practices. Studies indicate that educational mobile AR apps can significantly enhance teaching performance, effectiveness, and productivity (Pasalidou and Fachantidis, 2021). Teachers, particularly those in biology and language education, view MAR as a tool that makes their teaching more engaging and interesting (Ashley-Welbeck and Vlachopoulos, 2020; Schmidthaler et al., 2023). This positive perception extends to various applications, including interactive, experiential, and authentic learning, as well as the visualization of complex concepts (Perifanou et al., 2023). However, challenges such as technological errors, global positioning system (GPS) issues, software lags, and students' unfamiliarity with AR can hinder its effective use (Mundy et al., 2019; Youm et al., 2024). Despite these challenges, teachers generally feel knowledgeable about AR technology and are willing to learn more to better integrate it into their classrooms (Dsouza and Hemmige, 2023; Mohamad and Husnin, 2023).

Factors such as perceived usefulness, attitude, and behavioral intention significantly influence AR adoption, while perceived ease of use plays a moderate role (Ibili et al., 2019; Salmee and Majid, 2022). Notably, gender and geographical disparities exist, with female and urban teachers displaying more positive attitudes toward AR compared to their male and rural counterparts (Castaño-Calle et al., 2022; Putiorn et al., 2018). Teachers also express concerns about institutional support, teacher training, and the availability of AR educational applications, yet remain hopeful about the technology's potential to bridge gaps between learners and educators and enhance student motivation (Manna, 2023). Overall, teachers are enthusiastic about AR's potential, particularly with adequate training and resources, and are eager to implement it in their curricula (Alkhabra et al., 2023; Jamrus and Razali, 2021).

The assessment of teachers' attitudes toward MAR applications at the school level reveals diverse findings across various studies. A strong positive correlation between ease of use and positive attitudes toward AR in teaching at different educational stages was observed (Asiri and El-aasar, 2022; Cabero-Almenara et al., 2019b), although no such correlation was found between attitudes toward AR and science and technology (Kececi et al., 2021). Meanwhile, Wyss and Bäuerlein (2024) demonstrated that teachers had high motivation and a strong link between positive attitudes toward AR and technology acceptance. Future teachers, particularly those in pre-service education, developed favorable attitudes toward AR, contributing to deeper learning (Hervás-Gómez et al., 2017; Meccawy, 2023). In higher education, faculty members generally displayed positive attitudes toward AR, influenced by factors like crisis response (Alqahtani, 2023; Kamarudin et al., 2023). The impact of teaching experience on AR attitudes varied, with some studies showing positive effects (Amores-Valencia et al., 2023; Banerjee and Walunj, 2019; Koutromanos and Jimoyiannis, 2022; Liu et al., 2023; Rahmat et al., 2023; Romano et al., 2020), while others found no significant impact (Al-Shahrani and Asiri, 2023b; Mundy et al., 2019). Both teachers and students exhibited high positive attitudes toward using AR in biology lessons, leading to enhanced attitudes toward science (Berame et al., 2022; Lham et al., 2020).

However, despite moderate readiness, teachers with limited IT experience showed low attitudes toward AR in teaching Arabic (Asbulah et al., 2022). Positive correlations between attitudes and acceptance were also noted in chemistry teaching (Ripsam and Nerdel, 2024), though the influence of interface style and ease of use on enjoyment was weak (Wojciechowski and Cellary, 2013). Student attitudes toward AR were generally positive, particularly in science and technology subjects (Al-Anazi and Khalaf, 2023; Alqarni, 2021; Kamarainen et al., 2013; Sahin and Yilmaz, 2020; Sirakaya and Cakmak, 2018; Stojsic et al., 2022), although some studies reported negative attitudes at the university level and no significant impact on laboratory skills (Akçayir et al., 2016; Cao and Yu, 2023). Overall, AR applications were found to improve students' academic achievement, motivation, spatial thinking, creativity, and attitudes toward science lessons (Cetin, 2022; Ibáñez et al., 2020; Sökmen et al., 2024).

Correspondingly, the exploration of teachers' behavior toward MAR applications at the school level reveals a wide range of insights across several studies. Research has consistently shown that MAR significantly impacts knowledge acquisition and behavioral changes among teachers (Chang et al., 2014; Do et al., 2020; Lin et al., 2013). Several studies have also highlighted that factors such as attitude, subjective norms, and behavioral control play a critical role in influencing the use of MAR in both research and higher secondary education (Buchner et al., 2022; Cheon et al., 2012; Marín-Marín et al., 2023; Vaida and Pongracz, 2022). Abdelmagid et al. (2021) found that both teachers and students acknowledged the purposefulness and potential of AR in education. Additionally, Georgiou and Kyza (2017) demonstrated that AR not only enhances cognitive processes such as information collection, but it also works on problem-solving.

However, Wijnen et al. (2023) pointed out challenges in identifying the specific effects of MAR on teachers' higher-order thought processes. Ozdamli and Hursen (2017) noted that while AR applications might encounter barriers due to international connections, both teachers and students were generally satisfied with AR-guided teaching. Further research has established that AR applications can significantly improve the learning of challenging topics, foster exploitative behavior, and enhance perceived utility and positive attitudes, providing valuable insights for policymakers (Alalwan et al., 2020; Alzahrani, 2020; Mena et al., 2023).

The study of the relationship among perceptions, attitudes, and behaviors toward MAR applications offers varied insights from numerous studies. Prospective teachers generally had positive perceptions of AR technology, with their acceptance of this technology significantly increasing after hands-on experience (Jiang et al., 2025; Jung and tom-Dieck, 2018; Karthick and Shanmugam, 2024; Okumuş and Savaş, 2024). However, no significant difference or correlation was found in their self-efficacy, attitudes, or performance when using AR technology (Elford et al., 2022). Other studies (Cai et al., 2013; Giard and Guitton, 2016; Milad and Fayez, 2025) highlighted differing attitudes, behaviors, and perceptions among students and teachers regarding mobile device usage, with AR tools serving as complementary learning aids, proving effective across a range of student performance levels.

The comparison between male and female school teachers' perceptions, attitudes, and behaviors toward MAR applications shows largely positive attitudes across both groups. Studies (Kudale and Buktar, 2022; Tiede et al., 2022) indicate that most teachers are favorable toward using AR in the teaching–learning process, with only a few expressing negative views. Nikou (2024) found that teachers' perceptions of educational AR apps were strongly linked to their views on the apps' usefulness, with perceived usefulness and ease of use being key factors influencing the intention to adopt MAR (Papakostas et al., 2022). Ghobadi et al. (2023) reported no significant differences between male and female teachers, as both groups exhibited positive attitudes and behaviors toward AR. Kazakou and Koutromanos (2022), and McNair and Green (2016) highlighted that teachers had positive perceptions of AR, especially in online and distance learning settings. In science education, smartphone applications and marker-based content were the most popular AR tools among both genders (Arici et al., 2021; Atalay, 2022). However, Dirin et al. (2019) observed that female teachers had a more favorable perception of AR, noting its role in enhancing enjoyment and memorability in the classroom.

1.2 Rationale of the study

The integration of augmented reality (AR) technology into educational practices offers transformative potential in enhancing the teaching–learning process. In the context of Indian education, where traditional methods still dominate, the adoption of innovative technologies like mobile augmented reality (MAR) presents both opportunities and challenges (Kumari and Polke, 2019; Mirza et al., 2025; Thangavel et al., 2025). The present study is motivated by the need to understand how Indian school teachers perceive, approach, and behave toward AR applications within the classroom setting. Previous studies have highlighted the generally positive attitudes of teachers worldwide toward augmented reality applications (ARA), recognizing its ability to make learning more engaging, interactive, and effective. However, they have also uncovered challenges such as technological limitations, lack of familiarity, level of interest, and the need for institutional support, which can hinder the full adoption of AR.

In India, the government through the National Institute of Electronics and Information Technology (NIELIT) under the Ministry of Electronics and Information Technology, has initiated programs to build capacity in AR technologies. These initiatives focus primarily on skill development rather than mandating AR integration in schools. Similarly according to Government of India, Ministry of Education (2020) the National Education Policy (NEP) 2020 highlights the integration of technology in education, explicitly acknowledging the role of AR/VR and other immersive technologies in promoting innovative, engaging, and experiential learning. However, despite these references, no comprehensive legislation exists that requires the use of AR across all schools in the country. India's educational landscape is marked by considerable diversity arising from socio-economic disparities, the urban–rural divide, differences between government and private institutions, variations across states, multiple curriculum boards and mediums of instruction, unequal technological infrastructure, and inconsistent opportunities for teacher training and professional development (Shivani and Chander, 2023). These contextual factors directly shape teachers' perceptions, attitudes, and behaviors toward adopting AR applications in different school subjects, making them highly relevant to the present study. Accordingly, the rationale for this research lies in addressing the existing gap in the literature by examining how Indian educators, particularly at the secondary and higher secondary levels, perceive and engage with AR technology, and what factors influence their readiness for its integration into school education.

As India continues to push for digital transformation in education, it is essential to assess whether teachers, the key facilitators of learning, are ready to embrace this change. Consequently, this study seeks to explore how Indian teachers perceive the usefulness, ease of use, and overall impact of AR applications on their teaching practices and students' learning experiences. By examining attitudes, the study seeks to determine the level of enthusiasm or resistance among teachers toward incorporating AR in their curricula (Palada et al., 2024). Understanding teachers' behaviors toward AR—whether they are actively using it, reluctant to adopt it, or somewhere in between—will provide insights into the practical challenges they face and the support they require. Similarly, a critical aspect of this research is the comparison between male and female teachers' perceptions, attitudes, and behaviors toward AR applications. Gender disparities in the adoption of educational technologies have been noted in various studies, and this research contributes to understanding whether such differences exist in the Indian context and what factors might influence them. Additionally, the study explores the relationship among teachers' perceptions, attitudes, and behaviors toward AR, offering a comprehensive view of how these elements interact and shape teachers' willingness to integrate AR into their teaching. By investigating these factors, the study aims to identify the key enablers and barriers to AR adoption in Indian schools. Finally, the research will examine the broader factors influencing teachers' perceptions, attitudes, and behaviors, including technological readiness, professional development opportunities, and institutional support.

The novelty of this study lies not only in its distinction from existing research but also in its emphasis on the contextual uniqueness of AR within the Indian school education system. It captures the realities shaped by the diverse socio-economic backgrounds of teachers and learners, persistent digital infrastructure gaps, policy-driven initiatives such as NEP 2020, and varied teaching practices—factors that global studies often fail to address in depth. Furthermore, the study highlights a teacher-centric perspective, focusing on educators' readiness, acceptance, and willingness to integrate AR into their pedagogy. By exploring their perceptions, attitudes, and behaviors, this research fills a critical gap between the technological potential of AR and its practical implementation in classroom realities. The findings from this study would not only provide valuable insights into the current state of AR adoption in Indian schools but also offer recommendations for policymakers, educational leaders, and technology developers on how to better support teachers in embracing AR. This research is timely and significant as it addresses the need for evidence-based strategies to enhance the integration of innovative technologies in Indian education, ultimately contributing to improved educational outcomes and a more future-ready learning environment.

1.3 Statement of the study

The study titled “Exploring Indian Educators' Perception, Attitude, and Behavior Regarding augmented reality Applications in School Settings: A Comprehensive Mixed-Methods Study” aims to investigate the research problem. The goal of this research is to comprehend Indian educators' attitudes, behaviors, and thoughts on the use of augmented reality (AR) in the classroom. Utilizing gadgets like smartphones or AR glasses, augmented reality technology incorporates digital components, such as sounds or images, into the physical world. The study examines key issues, such as instructors' opinions of augmented reality. Do they think it is helpful or not? What do they think of implementing augmented reality in the classroom? Are they apprehensive, intrigued, or perhaps thrilled? In what ways do they employ augmented reality in their teaching? Are they using it frequently, infrequently, or never? The study also looks at whether male and female instructors have different ideas, emotions, and behaviors in this regard, as well as what aspects of the school may have an impact on how they use AR. A variety of techniques are used in the research to obtain a complete picture of the circumstances.

1.4 Objectives

1. To study Indian teachers' perceptions of augmented reality applications at the school level.

2. To assess Indian teachers' attitudes toward augmented reality applications at the school level.

3. To investigate Indian teachers' overall behavior toward augmented reality applications at the school level.

4. To explore the relationship among perceptions, attitudes, and behaviors of Indian school teachers toward augmented reality applications.

5. To examine the factors influencing the perceptions, attitudes, and behavior of Indian school teachers toward augmented reality applications at the school level.

1.5 Hypotheses

H1: There would be a significant level of perception among teachers on augmented reality applications at the school level.

H2: A significant level of attitudes would be observed among teachers on augmented reality applications at the school level.

H3: There would be a significant level of practices in terms of behavior among educators toward augmented reality applications at the school level.

H4: A significant level of relationship among perceptions, attitudes, and behaviors would be found among educators toward augmented reality applications.

H5: Multiple factors would be observed affecting the perceptions, attitudes, and behavior of Indian school teachers toward augmented reality applications at the school level.

1.6 Research questions

1. What are the key factors that influence Indian school teachers' perceptions of augmented reality applications in educational settings?

2. How do various demographic factors (e.g., age, gender, and teaching experience) influence teachers' attitudes toward the use of augmented reality in schools?

3. In what ways do school-level factors (e.g., availability of resources, administrative support, and training opportunities) affect teachers' behaviors in implementing augmented reality in their teaching practices?

4. Are there any external factors (e.g., curriculum requirements, peer influence, and student engagement) that significantly impact the adoption of augmented reality by Indian school teachers?

2 Methodology

2.1 Design

Researchers used a descriptive mixed-methods strategy for this investigation. To provide a comprehensive understanding of the study subject, this approach integrates qualitative and quantitative research approaches. With regard to this hybrid methodology, the study aims to emphasize the benefits of qualitative and quantitative data by offering a more thorough and nuanced perspective than could be acquired from either technique alone. The quantitative component involves gathering and analyzing numerical data to identify patterns, trends, and correlations. This information provides a thorough summary of the research issue and enables the extrapolation of research findings to a larger population (Creswell and Clark, 2023; Schoonenboom and Johnson, 2017). The qualitative component, on the other hand, focuses on gathering detailed narrative data that sheds light on the underlying attitudes, beliefs, and intentions that underlie the observed trends. Closed-ended surveys and interview methods that enable a detailed analysis of participants' experiences and points of view are used to achieve this. The integration of these two approaches into a descriptive mixed-methods design facilitates data triangulation, hence enhancing the validity and coherence of the study's findings (Creswell and Clark, 2017; Dejonckheere et al., 2019). According to Johnson and Onwuegbuzie (2004), this type of design provides a thorough, complex, and varied understanding that informs recommendations and findings, ensuring that the study covers the full breadth and depth of the research topic.

2.2 Sample

In this study, a comprehensive multi-stage sampling process was employed to include teachers from both urban and rural schools across India (Figure 1). The procedure began with random sampling to capture geographical diversity, ensuring participation from all 28 states and 8 union territories. This was followed by the selection of 10% of districts within each region through stratified sampling, which secured a balanced representation of both larger and smaller regions and minimized the risk of over- or under-representation (Makwana et al., 2023; Tipton, 2013). Within the selected districts, schools were chosen using simple random sampling, a method that reduced selection bias and allowed for the inclusion of institutions of varying sizes, resources, and management types. By incorporating randomization at each stage, bias in participant selection was effectively controlled. As a result of this process, 531 urban school teachers participated in the study, contributing through both online platforms (email, WhatsApp) and offline methods (pen-and-paper surveys). In addition, 199 rural school teachers participated primarily through pen-and-paper surveys, with some responses collected online via social media texts. This brought the total sample size to 730 teachers. To complement the survey data, 88 semi-structured interviews were conducted in both online and offline modes, involving 31 male and 57 female teachers. Conducting interviews according to the participants' convenience ensured inclusivity and enriched the study with diverse perspectives from educators across urban and rural contexts.

Figure 1
Flowchart illustrating the sampling process in educational settings. A random sample from 28 states and 8 union territories is taken, selecting districts through stratified sampling. Districts are further divided into urban and rural schools using simple random sampling. Each school category utilizes online and offline modes. Urban schools' modes include physical participation and pen and paper, while rural schools include pen and paper and interviews. Communication methods are email, WhatsApp, social media texts, and online interviews.

Figure 1. Sampling procedure.

2.3 Tools

In this research, we developed standardized, self-designed questionnaires to gather data, comprising 60 closed-ended items (20 per variable) and four open-ended items. These instruments were designed to assess educators' perceptions, attitudes, and behaviors concerning the use of augmented reality (AR) applications in school settings. The perception assessment included 20 multiple-choice questions, each with four response options, awarding 5 marks for correct answers and 0 marks for incorrect ones (Scharf and Baldwin, 2007; Yaneva et al., 2022). To identify the most significant attitudes and behaviors toward AR applications, two sets of 20 statements were used, based on a five-point Likert scale. The first set ranged from Strongly Agree (SA), Agree (A), Undecided (UD), Disagree (D), to Strongly Disagree (SD), while the second set ranged from Always (A), Often (OF), Occasionally (OC), Rarely (R), to Never (N). Educators selected their responses by circling one of the five options. For positive statements, the responses were scored as 5, 4, 3, 2, and 1, respectively, while for negative statements, the scoring was reversed: 1, 2, 3, 4, and 5 (Alhassn et al., 2022; Joshi et al., 2015; Tanujaya et al., 2022).

Additionally, four open-ended interview questions were designed to delve deeper into educators' perceptions, attitudes, and behaviors regarding AR applications. These questions were intended to encourage participants to express their views freely, providing richer and more detailed responses that go beyond surface-level opinions. In this connection, the interviews were conducted with 2 to 3 participants from each of the 28 states and 8 union territories, either online or offline, at their convenience. Each session lasted between 20 and 30 min.

A total of 60 min was allotted to administer all three sets of questionnaires, each consisting of 20 items, making 60 items in total, and this was clearly stated in the instructions. The total scores for perceptions ranged from 0 to 100, while the scores for attitudes and behaviors ranged from 20 to 100. These were categorized into five levels—very high, high, moderate, low, and very low—each approximately divided into equal intervals using the stratification method employed by Ascher-Svanum et al. (2013) and Naveau et al. (2016).

To gain insights into the research questions, various open-ended questions were posed to teachers through semi-structured interviews. The primary emphasis was placed on four key questions that aligned with the core objectives of the study. Both in-person and online interview methods were employed to ensure wider participation, covering all 28 states and 8 Union Territories of India, with a minimum of two to three participants from each region. A total of 88 teachers participated in the interviews, consisting of 31 males and 57 females. The participants were selected based on their willingness to contribute and represented diverse academic streams, geographic locations, and types of schools. While some interviews were conducted face-to-face, others were facilitated online through invitations sent via email. Each interview, whether conducted in person or virtually, lasted between 20 and 30 min.

To standardize the questionnaires, a thorough validation process was undertaken, emphasizing content and face validity, with the involvement of nine field experts. Beyond content and face validity, the instrument was subjected to a test–retest procedure to establish its reliability. For this purpose, the questionnaires were administered twice to a sample of 30 participants to assess the consistency of responses over time. The Kuder-Richardson reliability coefficient for perceptions was calculated at 0.79, appropriate due to the dichotomous nature of the responses, where each question had only two possible answers: either correct or incorrect, scored as 0 and 5, respectively. Similarly, Cronbach's alpha was used to assess the reliability for attitudes and behaviors, yielding coefficients of 0.78 and 0.84, respectively, reflecting the internal consistency of responses on a standardized 1 to 5 scale (Garratt et al., 2011; Wadkar et al., 2016).

2.4 Procedure of data collection

The data collection process for this study involved distributing survey questionnaires to educators from various private and government (public) schools across India, regardless of age, gender, qualifications, or the educational boards of their institutions. These schools and institutes were situated in rural and urban areas of India. To ensure a diverse and representative sample of teachers, we employed both physical and digital communication methods. For the physical distribution, we conducted one-on-one sessions with participants, followed by sending the survey questionnaires via email and WhatsApp. This approach ensured efficient and widespread distribution of the survey tools. Before administering the questionnaires, we provided detailed information to all potential participants regarding the survey's nature, the study's purpose, and the time required to complete the questionnaire. This information was crucial to ensure that participants were well-informed and could make an informed decision about their participation. For online data collection, we utilized Google Forms, a convenient platform for gathering and organizing responses (Bhalerao, 2015; Hsu and Wang, 2017). Similarly, participants were given clear instructions and a timeline for submission, which helped facilitate timely and accurate data collection (Belisario et al., 2015; Rayhan et al., 2013). By the conclusion of the data collection period, we had received a total of 730 responses: 237 from male and 493 from female participants, with 531 responses from urban areas and 199 from rural areas. To explore the research questions, semi-structured interviews with open-ended items were conducted both in-person and online, involving 88 teachers (31 males, 57 females) from diverse regions, schools, and academic streams across India. Each 20–30 min session ensured broad representation and meaningful insights aligned with the study's objectives.

In analyzing the responses, we identified a noticeable gap based on gender and location, possibly influenced by the combination of online and offline data collection methods (Contreras et al., 2024; Sethuraman et al., 2005). Throughout the process, we placed significant emphasis on obtaining informed consent from all participants, reflecting our ethical commitment. Instead of seeking formal ethical approval from an institutional review board, we focused on securing explicit consent from each participant. This ensured that all participants voluntarily agreed to participate, fully understanding their rights and the nature of their involvement. This approach underscored the researchers' dedication to maintaining ethical standards and respecting participants' autonomy.

The collected dataset comprises both categorical and continuous variables. To assess the normality of the continuous data, the Shapiro–Wilk Test was employed. The Shapiro–Wilk test showed a significant departure from normality, W(730) = 0.97, p < 0.001. Although the result indicated that the data were not normally distributed, a combination of statistical tests was applied to analyze the dataset appropriately.

Given the mixed nature of the variables, chi-square (χ2) tests were used for categorical data analysis, while t-tests and F-tests were employed to compare means across groups. Additionally, correlation analysis was conducted to examine the relationships among continuous variables (Bandla et al., 2024; Lee and Lee, 2022; Shapiro and Wilk, 1965). Similarly, the open-ended responses were analyzed using a qualitative research method known as thematic analysis, which helped in identifying and interpreting key themes across the data (Turhan et al., 2022).

3 Result and analysis

3.1 Hypothesis 1

The result of Hypothesis 1 examined the significance of teachers' perceptions of augmented reality applications (ARA) at the school level. This was done by analyzing the range, frequencies, and percentages of respondents based on their gain scores. Additionally, the hypothesis examined the significant differences in the levels of perception and the variables associated with teachers' views on augmented reality applications. These differences were analyzed using the chi-square test and t-test, based on the respondents' gain scores.

Table 1 represents the distribution of teachers' perception scores regarding the use of augmented reality applications (ARA) at the school level. The findings indicate that the majority of teachers fall within the moderate perception category. Specifically, 248 female and 148 male teachers scored between 41 and 60, resulting in gain scores of 8,055 and 13,215, respectively. This category accounts for a combined total of 29.14% of the overall gain scores. Additionally, 14.34% of teachers are categorized as having a high level of perception, with scores ranging from 61 to 80, including 125 female and 28 male teachers. Their corresponding gain scores are 1,940 and 8,525, respectively (Dirin et al., 2019; Habig, 2020). In contrast, a smaller proportion of teachers fall into the low category, contributing 8.24% to the total gain scores, with 116 females and 54 males scoring within the 21 to 40 range. Notably, a negligible number of teachers, just 0.25%, are found in the very low category, with scores ranging between 0 and 20. Importantly, no teachers scored within the very high category (scores ranging from 81 to 100), indicating the absence of exceptionally high perceptions. Overall, the data suggest that while a moderate to high level of perception toward the use of ARA exists among teachers, there remains significant scope for improvement. Efforts should focus on enhancing teachers' knowledge, awareness, and understanding of ARA to elevate perceptions into the higher categories and promote more effective integration of these technologies in educational settings (Alkhabra et al., 2023; Di-Fuccio et al., 2024).

Table 1
www.frontiersin.org

Table 1. Level of perception on augmented reality applications (ARA) among the teachers.

The line graph (Figure 2) illustrates the percentage of gain scores of male and female teachers across five perception levels (very high, high, moderate, low, and very low) regarding augmented reality applications.

Figure 2
Line graph depicting the percentage of gain scores based on teachers' perception levels on ARA. The x-axis shows perception levels from very low to very high. Three lines represent gain scores: males (blue), females (red), and total (black). The total percentage peaks at 29.14 for moderate, while males peak at 11.68 and females at 18.1 for the same level.

Figure 2. Teachers' perception level on augmented reality applications (ARA).

The results of the chi-square (χ2) tests are shown in Table 2, which shows significant differences in teachers' perceptions of ARA across different demographic variables, such as gender, school location, school category, teaching stream, qualification, and age group. In this analysis, the degrees of freedom for the chi-square test are reported as 3 instead of 4 because categories with zero frequency counts are excluded. In a contingency table, a row or column that contains all zero values contributes no variability to the dataset and is therefore excluded from the degrees of freedom calculation. Including such categories can distort the statistical result and result in incorrect conclusions. This approach is consistent with normal statistical standards, as endorsed by Bock et al. (2010) and Finkler (2010), who underlined the necessity of using only legitimate, non-zero data in chi-square computations.

Table 2
www.frontiersin.org

Table 2. Significant differences regarding the level of perception on augmented reality applications (ARA) among the teachers, including observed frequency (f0), expected frequency (fe), difference (f0fe), difference Sq. (f0fe)2, Diff. Sq./Exp Fr. (f0fe)2/fe, degrees of freedom (df), chi-square (χ2), and p-value of gain scores regarding the level of perception of respondents on augmented reality applications.

However, the chi-square test results not only indicate teachers' perception levels of augmented reality applications (ARA) vary significantly across most demographic variables, rather it also shows with that, the exception of school location and age, no significant differences are observed. For gender, a significant association is found (χ2 = 23.26, p < 0.05) with an effect size of Cramer's V = 0.25. The 95% confidence interval (0.16 to 0.33) indicates a small-to-moderate effect. This suggests that male and female teachers differ in their perception levels, with female teachers more likely to report “high” and “moderate” perceptions compared to their male counterparts. Similarly, for the categories of school (χ2 = 27.30, p < 0.05, Cramer's V = 0.18, 95% CI = 0.11–0.25), a small yet significant association is observed. Government school teachers are more concentrated at the “moderate” level, whereas private school teachers display a wider distribution across the “high” and “low” categories. This indicates that the type of school plays a role in shaping teachers' perception levels, though the effect remains modest. In terms of the stream of teachers (χ2 = 27.91, p < 0.05), a significant difference is found between science and arts teachers. Science teachers are less represented in the “very low” and “high” categories, whereas arts teachers are more concentrated in the “moderate” and “very low” levels. The effect size (Cramer's V = 0.19) with 95% confidence intervals of 0.12–0.26 indicates a small-to-moderate effect, suggesting that the subject stream influences teachers' perception levels, though the strength of the association is modest. Likewise, qualification shows a significant association (χ2 = 19.31, p < 0.05). TGTs are predominantly concentrated in the “Moderate” category, while PGTs display greater variation, particularly with higher representation in the “low” perception level. The effect size (Cramer's V = 0.16) with 95% confidence intervals of 0.09–0.23 suggests a small but statistically meaningful effect, indicating that teachers' qualifications play a modest role in shaping their perception levels. In contrast, the location of the school (χ2 = 4.814, p > 0.05, effect size = 0.07, 95% CI = 0.00–0.14) and age groups (χ2 = 1.4751, p > 0.05, effect size = 0.03, 95% CI = 0.00–0.07) do not show significant differences, implying that teachers' perceptions of ARA remain fairly consistent irrespective of their school setting (rural/urban) or age group. The overall chi-square value (χ2 = 416.553, p < 0.05) along with a moderate effect size of 0.29 at 95% confidence intervals (0.26–0.34) reflects a robust association across categories. Hence, it confirms that, collectively, teachers' demographic variables significantly influence their perception levels toward ARA, with qualification, stream, type of school, and gender being the most decisive factors. Since the analysis reveals that teachers' perception of ARA is uneven across demographics, whereas age and location do not influence attitudes, factors like gender, qualification, school category, and stream significantly affect how teachers perceive ARA. Therefore, it clearly highlights the need for targeted interventions to ensure equitable adoption and integration of ARA in schools.

There is a gender-based variation that shows (Table 2 and Figure 3) a statistically significant difference in the level of perception (χ2 = 23.26, df = 3, p = 0.00004). Overall, male teachers exhibit marginally lower levels of perception compared to their female counterparts, particularly in terms of the number of instructors reporting high or extremely high perceptions. Higher and intermediate levels of perception are more commonly observed among female teachers. This suggests that perceptions of ARA are influenced by gender, with female teachers generally holding a more favorable view (Abdusselam and Karal, 2020; Uderbayeva et al., 2025).

Figure 3
Chi-square distribution graph with a curve that peaks at around 1.225 and gradually decreases towards the x-axis approaching 15.92. The p-value is 0.00004, and the chi-square statistic is 23.26.

Figure 3. Chi-square distribution of teachers' perception toward ARA based on gender.

The calculated result of teachers' perception levels on ARA across different school locations (rural vs. urban) reveals no statistically significant difference (χ2 = 4.814, df = 3, p = 0.1859), as the p-value exceeds the threshold of 0.05 (Table 2 and Figure 4). In rural schools, the observed frequencies for perception levels are slightly different from the expected values: 33 teachers describe high perceptions (expected = 41.71), 114 describe moderate (expected = 107.95), 47 state low (expected = 46.34), and 5 convey very low (expected = 3), while none describe very high perceptions. In urban schools, 120 teachers indicate high perception levels (expected = 111.29), 282 moderate (expected = 288.05), 123 low (expected = 123.66), and 6 very low (expected = 8); again, no teachers report very high perceptions. These minor deviations between observed and expected frequencies contribute to a relatively low chi-square value, indicating that the location of the school does not significantly influence teachers' perceptions of ARA (Al-Shahrani and Asiri, 2023a).

Figure 4
Chi-square distribution graph showing a curve that peaks around 1.225 and extends rightward, diminishing towards 15.92. The shaded region under the curve spans from 3.674 to 6.124, representing a chi-square value of 4.814 with a p-value of 0.1859.

Figure 4. Location of school-wise chi-square analysis of teachers' perception regarding ARA.

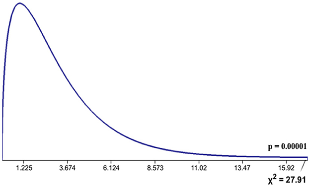
Teachers' perceptions of ARA are statistically significant (χ2 = 27.30, df = 3, p < 0.00001) according to the chi-square test, which examines the relationship between school category (private vs. government) and teachers' perceptions (Table 2 and Figure 5). There are no teachers who report extremely high perceptions among the teachers in government schools; 50 report high perceptions (anticipated = 64.13), 199 moderate (expected = 165.99), 51 low (expected = 71.26), and 6 very low (expected = 4.61). None of the instructors in private schools have very high perceptions, while 103 report high perceptions (expected = 88.87), 197 moderate perceptions (expected = 230.01), 119 low perceptions (expected = 98.74), and 5 very low perceptions (expected = 6.39). For both school types, there are notable differences, especially in the moderate and low categories. These findings imply that there are notable differences in the perceptions of ARA between government and private school teachers, with the former exhibiting comparatively higher views in some categories. This could be due to variations in exposure, resources, or institutional support for integrating technology (Akinradewo et al., 2025; Liao et al., 2024).

Figure 5
A chi-squared distribution graph with a curve peaking around 1.225 and gradually declining. The x-axis ranges from 0 to 16, labeled at intervals. The p-value is 0.00001, and the chi-squared value is 27.3.

Figure 5. Chi-square distribution of teachers' perception toward ARA based on category of school.

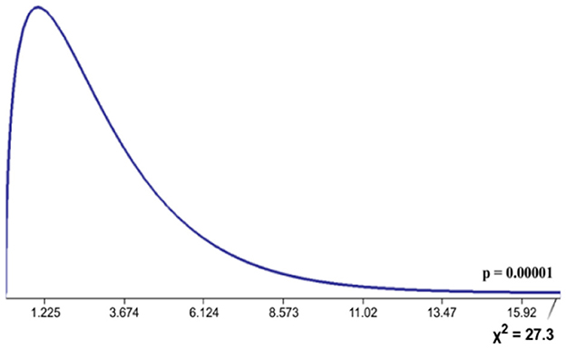
The chi-square test examines the relationship between teachers' perceptions of ARA and their academic streams, such as science and arts. It finds a statistically significant difference (χ2 = 27.91, df = 3, p < 0.00001), suggesting that perception is significantly influenced by the teaching stream (Table 2 and Figure 6). None of the teachers in the science stream indicate very high or very low perceptions (anticipated = 4.7), while 77 report high perceptions (expected = 65.39), 143 moderate perceptions (expected = 169.25), and 92 low perceptions (expected = 72.66). However, no teachers in the Arts stream indicate extremely high opinions; instead, they express 76 high (anticipated = 87.61), 253 intermediate (expected = 226.75), 78 low (expected = 97.34), and 11 very poor (expected = 6.3) perceptions. The overall chi-square value was influenced by significant deviations from expected frequencies, especially in the moderate and low categories (Ibáñez et al., 2020; Nikou et al., 2024a). According to these findings, teachers of the arts and sciences have different perspectives on ARA. These discrepancies may result from exposure to digital technologies in their various fields of education, subject-specific pedagogical techniques, or disparities in technological familiarity (Meng et al., 2024; Ventrella and Cotnam-Kappel, 2024).

Figure 6
A chi-squared distribution graph showing a curve that peaks at approximately 1.225 and gradually declines, approaching the x-axis before reaching 15.92. The significance level is labeled as p equals 0.00001. Chi-squared equals 27.91.

Figure 6. Chi-square distribution based on the stream of teachers' perception toward ARA.

The chi-square test reveals a statistically significant result (χ2 = 19.31, df = 3, p = 0.00024), indicating that teachers' qualifications, such as trained graduate teachers (TGT) and postgraduate teachers (PGT), have a meaningful influence on their perception levels of ARA (Table 2 and Figure 7). Among TGTs, 135 report high perceptions (anticipated = 124.5), 327 moderate (expected = 322.22), 121 low (expected = 138.33), and 11 very low (expected = 8.95), while none express very high impressions. Among PGTs, 18 have high perceptions (expected = 28.5), 69 have moderate perceptions (anticipated = 73.78), 49 have low perceptions (expected = 31.67), and none have very high or very low perceptions (expected = 2.05). The most noticeable variances are found in the low perception group, where PGTs are overrepresented, and the high category, where TGTs outperform expectations. These data imply that TGTs typically have more positive impressions of ARA than PGTs, which could be due to differences in training emphasis, classroom responsibilities, or comfort with integrating modern technology (Alalwan et al., 2020; Uygur et al., 2018).

Figure 7
Chi-squared distribution graph with a peak near 1.225, decreasing as it approaches the x-axis. The x-axis is labeled with values 1.225 to 15.92. A significant p-value of 0.00024 is indicated at a chi-squared value of 19.31.

Figure 7. Teachers' perception of ARA using chi-square distribution across qualification.

Teachers' perceptions of ARA and their age groups are compared using chi-square analysis. The results show no statistically significant difference (χ2 = 1.4751, df = 6, p = 0.961), since the p-value is significantly higher than the 0.05 threshold (Table 2 and Figure 8). The three age groups for teachers are 20–33, 34–47, and 48–60 years old and older. None of the age groups attest to a very high degree of perception. Within the 20–33 age range, there are only minor departures from expected frequencies: 102 instructors express high perceptions (expected = 104.17), 272 moderate (expected = 269.61), 115 low (expected = 115.74), and 8 extremely low (expected = 7.49). Similar trends are seen in the 34–47 and 48–60+ groups, with no significant differences between observed and expected counts across all perceptual levels. These data demonstrate that age has no significant influence on teachers' perceptions of ARA, indicating a reasonably consistent attitude regarding the use of augmented reality in education throughout age groups (Cyril et al., 2022; Nikou et al., 2024b; Schlomann et al., 2022), but it differed from the study of Castaño-Calle et al. (2022) due to the reasons of versatility, adaptability, and positive perception of AR.

Figure 8
A graph displaying a chi-squared distribution curve with a shaded pink area under the curve. The x-axis ranges from 0 to 17.5, and the y-axis from 0 to 0.15. A vertical line at x equals 1.475 has text indicating p equals 0.961 and chi-squared equals 1.475.

Figure 8. Age-wise teachers' perception toward ARA through chi-square distribution.

Overall, according to conventional statistical criteria, the difference is highly significant (χ2 = 416.553, df = 3, p = 0.00001), indicating (Figure 9) a marked variation in teachers' perceptions of augmented reality (AR) applications at the school level, and the result is indeed similar to the study conducted by Sahin and Yilmaz (2020).

Figure 9
A chi-square distribution curve representing statistical data is shown. The curve peaks near 1.225 and approaches the x-axis as it extends to the right, with a p-value of 0.00001. The chi-square value is 416.5.

Figure 9. Chi-square test of teachers' perception level on ARA based on overall variables.

So far as Figure 10 is concerned, significant differences in perception are clearly observed based on individual variables such as gender, type of school, teaching stream, and academic qualifications, and these types of findings were also supported by Faqih and Jaradat (2021). In contrast, factors like geographical location and, particularly, age did not show a significant impact (Turan et al., 2018). These findings suggest that professional background and institutional context play a more influential role in shaping teachers' perceptions and engagement with AR in education than demographic factors like age or school location (Dahri et al., 2024).

Figure 10
Bar chart showing Chi-Square values for teachers' perception level on ARA across six variables: Gender, Location of School, Categories of School, Stream of Teachers, Qualification, and Age. Green bars exceed the critical Chi-Square value line, indicating significant p-values for Gender, Categories of School, Stream of Teachers, and Qualification. Location of School and Age are below the critical value with non-significant p-values.

Figure 10. Chi-square test of teachers' perception level on ARA across different demographic variables.

Table 3 demonstrates whether there are any significant changes in teachers' impressions of ARA depending on various background characteristics using t-tests. Here is a straightforward explanation for each variable along with graphs:

Table 3
www.frontiersin.org

Table 3. Significant differences regarding the perception of teachers on augmented reality applications (ARA) in which t-tests were used to calculate the significant difference between the two groups (variables).

The sample consists of 237 male and 493 female teachers (Table 3). The mean perception score for male educators is 50.76 (SD1 = 12.67, SEM1 = 0.82), whereas female teachers have a slightly higher score of 52.54 (SD2 = 12.86, SEM2 = 0.58). The standard error of the difference (SED) is 1.012, with 728 degrees of freedom (df). The effect size is 0.14, and the 95% confidence interval ranges from 0.02 to 0.30, indicating a small effect. The computed t-value is 1.755, with a matching p-value of 0.079 (p > 0.05). Although female teachers have a slightly higher mean perception score, the difference between the two groups is not statistically significant at the traditional 0.05 level (Figure 11), demonstrating that gender has no meaningful influence on teachers' perceptions of ARA, and it does not play a major role in shaping perceptions of augmented reality in educational contexts (Nikou et al., 2024a; Qirom and Sukma, 2024).

Figure 11
A bell curve representing a normal distribution is shown with two shaded tails highlighting the areas outside the range between approximately -2 and 2 on the x-axis. The p-value is 0.079 with a t-value of 1.755.

Figure 11. Gender-wise t-test analysis of teachers' perception toward ARA.

There is a contrast in how rural and urban teachers see ARA (Table 3 and Figure 12). The average score for rural teachers is 51.18, while urban instructors score somewhat better at 52.25. However, the effect size (0.08) with a 95% confidence interval of 0.08 to 0.24 indicates only a marginal difference between the two groups, which is not statistically significant (t = 1.004, df = 728, p = 0.315, p > 0.05). This means that whether a teacher is from a rural or urban area does not make a meaningful difference in how they perceive the use of augmented reality in education (Salmee and Majid, 2022).

Figure 12
A bell-shaped normal distribution curve with shaded regions in both tails indicating a two-tailed test. The t-value is marked at 1.004, and the p-value is shown as 0.315. The x-axis ranges from negative four to four.

Figure 12. Teachers' perception of ARA by location using t-test.

The test measures teachers' perceptions toward ARA in both government and private schools (Table 3 and Figure 13). Government school teachers have an average score of 52.24, but private school teachers have a slightly lower average of 51.76. However, this minor difference is not statistically significant (t = 0.501, df = 728, p > 0.05). The negligible effect size (0.04) with a 95% confidence interval of 0.12 to 0.20 further suggests that the type of organization, whether government or private, has no meaningful influence on teachers' attitudes toward the use of augmented reality in education (Bhattacharya et al., 2025; Wyss et al., 2022).

Figure 13
A bell curve graph showing a normal distribution with a peak at zero. The shaded area under the curve between t = -0.501 and t = 0.501 represents a p-value of 0.616. Horizontal lines at intervals from -4 to 4 are marked under the x-axis.

Figure 13. Teachers' perception of ARA through t-test by type of organization.

Teachers in the arts and science streams' opinions of ARA are displayed in Table 3. The average score for science educators is slightly higher (52.18) than that of art teachers (51.79). At t = 0.401, df = 728, p > 0.05, the observed difference is negligible, with an effect size of 0.03 and a 95% confidence interval of 0.13 to 0.19, indicating no statistical significance (Figure 14). This indicates that a teacher's perception of the employment of augmented reality in the classroom is not much influenced by their academic background, whether it be in the arts or sciences (Almaleki, 2022; Grinshkun et al., 2021).

Figure 14
A normal distribution curve is shown with shaded areas under the curve on both sides of the mean. The x-axis is labeled with t-values ranging from -4 to 4. The shaded region between approximately -0.8 and 0.8 indicates the area within the confidence interval. The p-value is noted as 0.688 at the peak of the curve, and the t-value is 0.401 at the center.

Figure 14. Academic stream-wise t-test of teachers' perception toward ARA.

Table 3 indicates that trained graduate teachers' (TGTs') and postgraduate teachers' (PGTs') perceptions of ARA differ significantly. With an average score of 52.93, PGTs scored higher than TGTs, who had a lower average score of 47.07. The effect size of 0.52 with a 95% confidence interval of 0.30 to 0.73 indicates a moderate effect. This difference is statistically significant (t = 4.662, df = 728, p = 0.0001, p < 0.05, 0.01), making it highly unlikely to have occurred by chance (Figure 15). Therefore, designation plays an important role, with PGTs demonstrating noticeably more favorable perceptions of augmented reality in the classroom compared to TGTs (Al-Akloby, 2023).

Figure 15
A bell-shaped normal distribution curve is shown on a graph with horizontal and vertical axes. The curve peaks at zero and extends from approximately negative four to four on the horizontal axis. The p-value is 0.0001, and the t-value is 4.662, indicated at the bottom right.

Figure 15. Teachers' perception on ARA through t-test by designation.

The perspectives of teachers with varying degrees of experience about ARA are validated in Table 3. The mean score for teachers with more experience (41–60 years and beyond) is 54.02, whereas the mean score for teachers with less experience (20–40 years) is 51.66. This suggests that teachers with greater experience tend to hold more favorable perceptions of ARA. However, the effect size (0.20) with a 95% confidence interval of 0.04 to 0.44, though indicative of a small effect, is not statistically significant (t = 1.653, df = 728, p = 0.098, p > 0.05, 0.01; Figure 16). This means that the variation in perception based on years of experience is not strong enough to draw a firm conclusion, and experience level does not significantly influence teachers' views on the use of augmented reality in education (Bangga-Modesto, 2024; Nikou et al., 2024a).

Figure 16
A bell-shaped t-distribution curve displays the distribution of data. The x-axis ranges from negative four to four, with a peak at zero. Shaded areas on either side represent critical regions for a t-value of 1.653. The p-value is 0.098.

Figure 16. Teachers' perception on ARA through t-test by experience.

3.2 Hypothesis 2

The result of Hypothesis 2 assessed the significance of teachers' attitudes toward augmented reality applications (ARA) in schools. This analysis involved examining the range, frequencies, and percentages of respondents according to their gain scores. Furthermore, the hypothesis explored significant differences in attitude levels and the variables related to teachers' attitudes toward ARA. These differences were identified through chi-square and t-tests, based on the respondents' gain scores.

Table 4 shows the distribution of teachers' attitudes toward augmented reality applications (ARA) across five categories: very high, high, moderate, low, and very low, according to their scores. Most male and female educators displayed a high attitude level, with 204 males and 387 females scoring between 61 and 80, resulting in gain scores of 14,840 and 27,970, respectively, making up 20.33% and 38.32% of the overall gain scores. A lesser number of respondents exhibited a very high attitude (score range 81–100), consisting of 24 males and 66 females, leading to gain scores of 1,975 and 5,437, which account for 2.71% and 7.45%, respectively. Only a small number of educators (9 men and 40 women) are classified in the moderate range (scores 41–60), while no one is noted in the low or very low categories, signifying a generally favorable attitude toward ARA. In total, male and female educators contribute 23.67% and 48.86% to the overall percentage of gain scores, providing a combined total of 72.52%, which emphasizes a largely positive perception of ARA among the participants (Dahri et al., 2024).

Table 4
www.frontiersin.org

Table 4. Level of teachers' attitudes toward augmented reality applications (ARA).

The line graph (Figure 17) shows the percentage of gain scores of male and female teachers across five attitude levels (very high, high, moderate, low, and very low) regarding augmented reality applications.

Figure 17
Line graph showing teachers' perception levels on ARA, with percentages of gain scores for males, females, and total. Moderate levels are low, high levels peak with a total percentage of 58.643, and very high levels decrease significantly.

Figure 17. Teachers' attitude level on augmented reality applications (ARA).

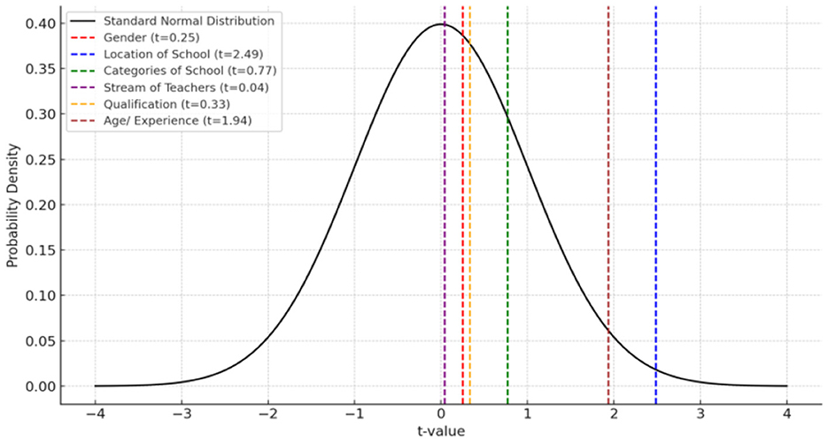
The results of the chi-square test, which explores the consequences of different demographic factors on teachers' attitudes toward the use of augmented reality applications (ARA) in schools, including gender, school location, school category, teacher stream, qualification, and age, are shown in Table 5. However, in this table, the low and very low categories were excluded from the test since all values are zero. At the classroom level, the chi-square (χ2) test examines gender variations in teachers' attitudes about ARA. With two degrees of freedom, the calculated chi-square value of 6.960 is higher than the critical value at the 5% significance level (5.99) but lower than the critical value at the 1% level (9.21). At the 95% confidence level (p < 0.05) with a small effect size (0.10) and a confidence interval ranging from 0.02 to 0.17, the p-value of 0.0308 indicates statistical significance. However, at the stricter 99% confidence level (p > 0.01), this result is not statistically significant. According to the results, male teachers are overrepresented in the moderate attitude group and marginally underrepresented in the very high and high attitude categories. In contrast, female teachers show a slightly higher-than-expected presence in both the very high and moderate categories. Notably, no male or female respondents reported low or very low attitudes toward ARA. These results suggest that gender has a statistically significant, albeit moderate, influence on teachers' attitudes toward the use of augmented reality in educational settings (Ewais and Troyer, 2019; Suhaimi et al., 2022).

Table 5
www.frontiersin.org

Table 5. Significant differences in teachers' attitudes toward augmented reality applications (ARA) were examined using various statistical measures, including observed frequency (f0), expected frequency (fe), the difference (f0fe), the square of the difference (f0fe)2, the ratio of the squared difference to the expected frequency (f0fe)2/fe, degrees of freedom (df), the chi-square (χ2), and the p-value based on respondents' gain scores.

On the other hand, the location of the school (rural vs. urban) shows no significant difference in attitude levels (χ2 = 3.185, p = 0.2034, effect size = 0.06, 95% CI = 0.00–0.13), suggesting that the geographical context does not significantly influence teachers' perceptions of ARA (Li et al., 2023; Sánchez-Obando and Duque-Méndez, 2023).

However, the table also presents a chi-square (χ2) test assessing whether teachers' attitudes toward ARA differ significantly based on school category (government vs. private). The observed frequencies (f0) and expected frequencies (fe) for attitude levels (very high to very low) have been compared, and the chi-square statistic has been calculated by summing the squared differences between f0 and fe, divided by fe, for each category. The calculated chi-square value is 8.235 with 2 degrees of freedom. According to the chi-square distribution table, the critical values are 5.991 at the 5% level and 9.210 at the 1% level. Since the chi-square value of 8.235 exceeds the critical value of 5.991 but not 9.210, and given the small effect size (0.10) with a 95% confidence interval of 0.03–0.17, the result is statistically significant at the 5% level (p = 0.0163 < 0.05), though not at the more stringent 1% level. This indicates that there is a statistically significant difference in teachers' attitudes toward ARA between government and private schools, meaning school category does have an influence on teachers' attitudes (Tzima et al., 2019).

The chi-square analysis examining the association between teachers' academic stream (science vs. arts) and their attitudes toward ARA in schools reveals no statistically significant difference. The computed chi-square value of 1.063 with 2 degrees of freedom, along with a small effect size (0.04) and a 95% confidence interval of 0.00–0.10, yields a p-value of 0.5879, which exceeds the 0.05 threshold (p > 0.05). This indicates that the difference in attitudes between science and arts stream teachers is not statistically significant. Both groups showed similar distributions across the very high, high, and moderate attitude levels, with no responses falling into the low or very low categories. These results suggest that a teacher's academic background, whether in science or arts, does not significantly influence their attitude toward adopting ARA in the school setting (Mohamad and Husnin, 2023).

The chi-square investigation of the link between teachers' qualifications (TGT vs. PGT) and attitudes toward ARA found no statistically significant association. The computed chi-square value of 0.0031 with 2 degrees of freedom, a very small effect size (0.002), and a 95% confidence interval of 0.00–0.05 produced a p-value of 0.9986, which is far above the 0.05 significance threshold (p > 0.05), indicating no meaningful difference. This implies that trained graduate teachers (TGT) and postgraduate teachers (PGT) have virtually equal views regarding ARA, with observed frequencies closely matching expected values across the very high, high, and moderate categories. Neither group expressed low or very low attitudes. As a result, the data suggest that teachers' qualifications have no substantial influence on their attitudes toward the use of augmented reality in the classroom (Salleh et al., 2023).

Interestingly, at the end of the table, a chi-square test shows the relationship between teachers' age groups and their attitudes toward ARA. The observed and expected frequencies have been compared across three age categories (20–33, 34–47, and 48–60) and three attitude levels (very high, high, and moderate), with low and very low categories excluded due to zero values. The calculated chi-square value is 9.62 with 4 degrees of freedom, accompanied by a very small effect size (0.08) and a 95% confidence interval ranging from 0.00 to 0.14. When compared to the chi-square distribution table, this value slightly exceeds the critical value of 9.488 at the 5% significance level but remains below the 1% critical value of 13.277. The associated p-value is 0.047, which is less than 0.05, indicating a statistically significant association at the 5% level. Thus, the alternative hypothesis is accepted, suggesting that teachers' age has a meaningful influence on their attitudes toward ARA, although the result is not significant at the more rigorous 1% level (Antonioli et al., 2014).

Overall, the findings advocate that gender, category of school, and age are significant factors influencing teachers' attitudes toward the adoption of augmented reality in educational settings alike (Giasiranis and Sofos, 2016; Habig, 2020), while location, academic stream, and qualification level are not (Radosavljevic et al., 2020; Tzima et al., 2019). However, the overall chi-square value of 748.558 with a p-value of 0.00001 (p < 0.05), together with a moderate-to-large effect size (0.40) and a 95% confidence interval of approximately 0.36–0.44, confirms the presence of significant differences among the various demographic groups in their attitudes toward the implementation of augmented reality in school education.

The graph in Figure 18 shows both the chi-square (χ2) values and corresponding p-values for each variable. A green dashed line at p = 0.05 indicates statistical significance.

Figure 18
Bar graph showing chi-square values in blue for six factors: Gender (6.960), Location of School (3.185), Categories of School (8.235), Stream of Teachers (1.063), Qualification (0.0031), and Age (9.620). Red line indicates p-values with a threshold at 0.05.

Figure 18. Chi-square and p-values of various variables of teachers' attitudes toward ARA.

The t-test results are presented in Table 6, highlighting the comparison of teachers' attitudes toward augmented reality applications (ARA) across various demographic variables. The aim of this analysis is to determine whether there are statistically significant differences in attitude scores among different groups of educators.

Table 6
www.frontiersin.org

Table 6. Significant difference regarding the attitudes of teachers on augmented reality applications (ARA), in which t-tests were used to calculate the significant difference between the two groups (variables).

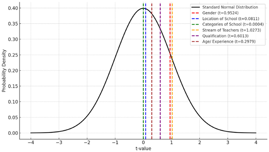
The data presents the attitudes toward ARA between male and female teachers. The mean attitude score for male teachers is 72.90, with a standard deviation (SD1) of 7.01 and a standard error of the mean (SEM1) of 0.46, based on a sample size of 237. The mean attitude score for female teachers is 72.34, with a standard deviation (SD2) of 7.60 and a standard error of the mean of 0.34, based on a larger sample size of 493. The t-value for the difference between male and female teachers is 0.9524, with a corresponding p-value of 0.3412, which exceeds the 0.05 threshold. The effect size is negligible (0.08) with a 95% confidence interval ranging from −0.09 to 0.25, indicating that there is no statistically significant difference in the attitudes of male and female teachers toward Augmented Reality in education. The p-value suggests that the observed difference in means (0.56) could be due to random variation, and we fail to accept the alternative hypothesis. Therefore, gender does not seem to have a significant impact on teachers' attitudes toward the use of augmented reality applications in this sample, although this finding is not consistent with the results reported by Tondeur et al. (2016). The table also shows that urban teachers have a mean score of 72.54 (SEM1 = 0.33, N1 = 531, SD1 = 7.61), while rural teachers have a mean score of 72.49 (SEM2 = 0.49, N2 = 199, SD2 = 6.87). The t-test (t = 0.0811, p = 0.9354, df = 728) and extremely small effect size (0.01), with 95% CI (0.15, 0.17), show no significant difference (p > 0.05), suggesting that location (urban vs. rural) does not significantly affect teachers' attitudes (Heintz et al., 2021).

On the other hand, the government school teachers (M1 = 72.526, SEM1 = 0.40, N1 = 306, SD1 = 6.95) and private school teachers (M2 = 72.5259, SEM2 = 0.38, N2 = 424, SD2 = 7.74) have nearly identical mean scores. The t-test (t = 0.0004, df = 728, p = 0.9997), along with a virtually zero effect size and a 95% confidence interval (0.16, 0.16), confirms the absence of any statistically significant difference (p > 0.05). This indicates that the type of school, whether government or private, has no influence on the measured variable. Similarly, the science teachers had a slightly higher mean score (M1 = 72.79, SEM1 = 0.41, N1 = 312, SD1 = 7.19) compared to arts teachers (M2 = 72.22, SEM2 = 0.37, N2 = 418, SD2 = 7.58). The t-test (t = 1.0273, df = 728, p = 0.3046), together with a small effect size (0.08) and a 95% confidence interval (0.07, 0.23), shows no statistically significant difference (p > 0.05). This suggests that subject specialization, whether in science or arts, does not play a major role in influencing the outcome.

Likewise, the trained graduate teachers (TGT) have a mean score of 72.17 (SEM1 = 0.71, N1 = 131, SD1 = 7.81), while postgraduate teachers (PGT) have a mean of 72.60 (SEM2 = 0.30, N2 = 609, SD2 = 7.34). The t-test (t = 0.6013, df = 728, p = 0.5478), along with a negligible effect size (0.06) and a 95% confidence interval (0.13, 0.25), indicates no statistically significant difference (p > 0.05). This suggests that the teaching level, whether TGT or PGT, does not have a meaningful impact on the results. Table also shows that the teachers with high experience (41–60 years) have a mean score of 72.72 (SEM1 = 0.30, N1 = 92, SD1 = 7.54), while those with low experience (20–40 years) have a mean of 72.50 (SEM2 = 0.68, N2 = 638, SD2 = 6.48). The t-test (t = 0.2979, df = 728, p = 0.7659), together with a very small effect size (0.03) and a 95% confidence interval (0.15, 0.21), shows no statistically significant difference (p > 0.05). This indicates that years of teaching experience do not have a meaningful effect on the measured variable (Salleh et al., 2023).

However, the teachers' attitudes about augmented reality applications do not differ statistically significantly across all demographic characteristics (gender, locality, institution type, topic background, teaching position, and experience level), which is similar to the studies of Al-Shahrani (2021) and Bangga-Modesto (2024). This implies that ARA are perceived universally positively or neutrally across varied educator profiles, implying that any future training or implementation of AR-based solutions can be implemented generally and without regard for specific demographic groupings (Mena et al., 2023; Oliveira et al., 2021; Zhu and Chen, 2022).

The bell-shaped normal distribution curve with vertical dashed lines, as shown in Figure 19, represents the t-values for each variable, each in a different color. This graph clearly illustrates how far the t-values of each variable deviate from the mean of the standard normal distribution in which closer to the center indicates weaker statistical significance.

Figure 19
Bell curve of a standard normal distribution with vertical colored lines representing t-values for various factors. The legend indicates factors: gender, location of school, categories of school, stream of teachers, qualification, and age/experience, with corresponding t-values.

Figure 19. Teachers' attitudes on ARA through t-tests across gender, location of schools, categories of school, streams of school, qualifications, and experience.

3.3 Hypothesis 3

The results of Hypothesis 3 evaluated the significance of teachers' behavior in terms of practices toward augmented reality applications (ARA) in schools. This evaluation included an analysis of the range, frequencies, and percentages of respondents based on their gain scores. Additionally, the hypothesis investigated significant differences in behavior levels and the factors associated with teachers' behavior toward ARA. These differences were determined using chi-square and t-tests, derived from the respondents' gain scores.

Table 7 illustrates the levels of practice reflected in the behavior of both male and female teachers toward augmented reality applications (ARA), categorized by score ranges corresponding to five behavioral levels: very high, high, moderate, low, and very low. Each level is defined by a specific range of scores: very high (81–100), high (61–80), moderate (41–60), low (21–40), and very low (<20). The table lists the number of male and female teachers within each category, along with their respective gain scores and percentages of total gain scores.

Table 7
www.frontiersin.org

Table 7. Level of practices in terms of behavior of teachers toward augmented reality applications (ARA).

In the very high behavior category, 22 male and 86 female teachers are recorded, contributing gain scores of 1,849 and 7,265, respectively. This corresponds to 2.533% for males and 9.950% for females, totaling 12.483% of the overall gain score. The high category has the largest number of participants, with 183 males and 322 females, contributing the highest gain scores: 13,341 and 23,162, making up 18.275% and 31.728%, respectively, totaling a significant 50.003%. This indicates that a majority of teachers, especially females, exhibit high-level behavioral engagement with ARA. In the moderate behavior range, 32 male and 75 female teachers account for gain scores of 1,651 and 4,128, which represent 2.260% and 5.655%, respectively, totaling 7.915%. The low behavior level has no male participants and only 10 females, with a collective gain score of 375, representing just 0.514%. Notably, no teacher, either male or female, fell into the very low behavior category, indicating a baseline level of positive engagement with ARA across the board.

Overall, the total percentage of gain scores across all behavior levels is 70.915%, with females contributing a higher share (47.847%) compared to males (23.068%). This suggests that female teachers, in general, show more active and positive behavioral engagement with ARA than their male counterparts (Aboudahr et al., 2023). The data highlights a strong inclination toward higher levels of behavioral adoption of ARA, especially among female educators, and provides valuable insight into gender-based engagement trends in educational technology practices (Nizar et al., 2020; Peikos and Sofianidis, 2024).

The line graph (Figure 20) shows the percentage of gain scores of male and female teachers across five behavioral levels (very high, high, moderate, low, and very low) regarding augmented reality applications.

Figure 20
Line graph showing percentages of gain scores based on teachers' perception levels. The perceptions range from Very Low to Very High. Male gain scores (blue) are consistently lower than female gain scores (red). The total gain scores (black) peak at High with fifty percent. The Very High category shows a decline for all groups.

Figure 20. Teachers' behavioral level on augmented reality applications.

Table 8 contains a detailed analysis of teachers' behavioral practices in using augmented reality applications (ARA) by means of the chi-square test (using multiple demographic and institutional variables: gender, school location, educational categories, teachers' streams, education qualifications, age). The variable very low has been excluded from the statistical analysis due to its zero frequency across all subgroups, which would result in computational distortion in the chi-square test.

Table 8
www.frontiersin.org

Table 8. The significant difference in teachers' behavioral practices regarding augmented reality applications (ARA) was analyzed using various statistical methods.

The table presents the associations between gender and teachers' behavioral levels in relation to ARA. The observed frequencies (fo) are compared with the predicted frequencies (fe) for each level of behavior: very high, high, moderate, and low. Male teachers have significantly lower counts of students with a very high behavioral level (22) than predicted (37.57%), and high-frequency behavior (183) is reported more frequently than the predicted (163.97%), while low-frequency behavior has been reported rarely (with an expected count of 3.25%). These differences contribute to the chi-square statistic for males and individual components such as 4.87 (for very high) and 3.25 (for low) indicate their substantial deviation. However, results from females are similar, with more participants than expected reporting very high behavior (386 vs. 72.93), and slightly fewer participants than expected engaging in the high category (322 vs. 341.03).

The cumulative chi-square value is 15.63, calculated with 3 degrees of freedom. This is significantly higher than the critical values at the 0.05 level (7.015) and the 0.01 level (11.334). The p-value of 0.00135, together with a small effect size (0.18) and a 95% confidence interval ranging from 0.08 to 0.22, confirms that the result is statistically significant (Ghobadi et al., 2023). Similarly, the table also provides information on the association between school location (rural vs. urban) and teacher behavioral levels in relation to the use of ARA. The chi-square value of 11.03 with 3 degrees of freedom and a p-value of 0.0116, along with a small effect size (0.12) and a 95% confidence interval of 0.05–0.19, indicates that the result is statistically significant at the 0.05 level (critical value = 7.815). However, it falls just short of the stricter 0.01 significance level (critical value = 11.345), but slightly below the statistical significance threshold at the 0.01 level (critical value = 11.345). This indicates that there is a significant association between school location and teacher behavioral levels in relation to the use of ARA, and those rural and urban teachers have significantly different approaches and behavioral practices with respect to augmented reality in classrooms (Suhaimi et al., 2022).

In another case, the table also shows the chi-square (χ2) value, i.e., 12.94, which is compared against the critical values of chi-square at different significance levels for 3 degrees of freedom (df = 3). At the 0.05 level, the critical value is 7.815, and at the 0.01 level, it is 11.345. Since the chi-square value of 12.94 exceeds the critical value of 7.815, and the small effect size (0.13) with a 95% confidence interval of 0.06–0.20 supports this finding, the result is statistically significant at the 0.05 level, indicating a significant association between school category (government or private) and teachers' behavioral levels on ARA. This means that teachers' behavioral responses toward ARA significantly differ between government and private schools. However, because 12.94 is only slightly higher than 11.345, the result is borderline significant at the 0.01 level, suggesting a stronger association but not one that meets the stricter criterion of p < 0.01. The p-value of 0.0048 confirms this significance, as it is less than 0.05, reinforcing that the observed differences are unlikely to have occurred by chance alone (Lampropoulos et al., 2022). In the case of the stream of teachers, the calculated chi-square (χ2) value is 26.03 with 3 degrees of freedom, which is significantly higher than the critical values at both the 0.05 level (7.815) and the 0.01 level (11.345). This indicates a highly significant association between the stream of teachers (science vs. arts) and their behavioral levels regarding ARA. The extremely low p-value of 0.0001, combined with a small effect size (0.19) and a 95% confidence interval of 0.12–0.26, provides strong evidence that the observed differences are statistically significant and unlikely to have occurred by chance. Therefore, teachers' behavioral responses toward ARA differ markedly between the science and arts streams (Nizar et al., 2020).

On the basis of teachers' qualifications, the calculated chi-square (χ2) value is 9.54 with 3 degrees of freedom, which is greater than the critical value at the 0.05 level (7.815) but less than that at the 0.01 level (11.345). This indicates a statistically significant association between teachers' qualifications (TGT vs. PGT) and their behavioral levels toward ARA at the 5% level of significance. The p-value of 0.023, being below the 0.05 threshold, together with a small effect size (0.11) and a 95% confidence interval ranging from 0.04 to 0.18, indicates that the observed differences are statistically significant and unlikely to be due to chance (Peikos and Sofianidis, 2024). However, the result is not significant at the stricter 1% level (p > 0.01), suggesting a moderate level of association between qualification and behavioral response to ARA (Sáez-López et al., 2020). In this context, several possibilities could be considered, such as differences in learning styles, comfort and interest in using technology, level of technological understanding, or teachers' prior experience in similar areas.

Similarly, the calculated chi-square (χ2) value for teachers' age is 15.32 with 6 degrees of freedom, exceeding the critical value at the 0.05 level (12.592) but significantly below the critical value at the 0.01 level (16.812). This shows a statistically significant relationship between age groups and teachers' attitudes about ARA at the 0.05 level (Alalwan et al., 2020), but not at the stricter 0.01 level (Sulisworo et al., 2021). The p-value of 0.018, along with an effect size of 0.10 and a 95% confidence interval ranging from 0.04 to 0.16, confirms statistical significance. This suggests that behavioral responses to ARA vary across age groups, although the strength of the association is relatively mild. Factors such as age-related differences in teachers' interest in adopting technology, along with concerns or fears related to digital fraud, could also contribute to this variation.

The overall chi-square analysis in the table (χ2 = 800.47, df = 3, p < 0.00001), with the p-value being practically zero (≈2.2 × 10−173), along with an effect size of 0.47 and a 95% confidence interval ranging from 0.43 to 0.51 reveals an overwhelmingly significant departure from a uniform distribution of teachers' behavioral levels, far exceeding the critical thresholds at both the 0.05 (7.815) and 0.01 (11.345) significance levels. When combined across all demographic factors like gender, school location, school type, academic stream, qualification, and age, the uniformly large chi-square value underscores that these characteristics exert a powerful influence on how teachers adopt and engage with augmented reality applications in educational settings (Alalwan et al., 2020; Ghobadi et al., 2023; Nizar et al., 2020; Peikos and Sofianidis, 2024; Sáez-López et al., 2020; Suhaimi et al., 2022; Sulisworo et al., 2021).

The bar and line graph of Figure 21 shows the comparison of chi-square and p-values for six variables. The stream of school shows the strongest association (χ2 = 26.03, p = 0.0001), indicating high statistical significance. All p-values are below 0.05, suggesting significant relationships between each variable and the outcome being analyzed.

Figure 21
Bar and line chart comparing Chi-square values and p-values across six categories: Gender, Location of school, Category of school, Stream of school, Qualification, and Age. Chi-square bars are tallest for Stream of school at 26.03, while Location of school shows the highest p-value line at 0.0116.

Figure 21. Chi-square and p-values of various variables of teachers' behaviors toward ARA.

The well-structured explanation of the data presented in Table 9 regarding the significant differences in the behaviors of teachers toward augmented reality applications (ARA) uses independent-sample t-tests to compare across various demographic groups:

Table 9
www.frontiersin.org

Table 9. Significant difference regarding the behaviors of teachers on augmented reality applications (ARA) in which t-tests were used to calculate the significant difference between the two groups (variables).

The table shows behavioral scores of male and female teachers regarding the use of ARA, are compared using an independent-sample t-test. The mean score of male teachers is 71.06, while female teachers score slightly lower with a mean of 70.85. The calculated t-value is 0.2503, which is significantly lower than the critical values at both 0.05 and 0.01 significance levels (1.96 and 2.58, respectively), with 728 degrees of freedom. Furthermore, the p-value of 0.8024 is well above the 0.05 threshold, and the effect size is negligible (0.01) with a 95% confidence interval of 0.13 to 0.17, indicating that the observed difference is not statistically significant. This suggests that gender does not have a significant impact on teachers' behavior toward AR applications (Mercader and Duran-Bellonch, 2021).

In terms of residential background, rural teachers show a higher mean behavioral score (72.49) compared to urban teachers (70.33). The calculated t-value in this comparison is 2.4879, which exceeds the critical value at the 0.05 level (1.96) but falls slightly below the threshold at the 0.01 level (2.58), which is similar to the study of Dutta et al. (2022). With 728 degrees of freedom, the p-value is 0.0131, which is less than 0.05. This indicates a statistically significant difference at the 5% level, while the effect size (0.10) with a 95% confidence interval of 0.04 to 0.37 suggests that rural teachers exhibit more favorable behaviors toward the adoption of AR applications than urban teachers (Asokan and Ponnusamy, 2023). So far as the type of school is concerned, the government and private school teachers reveal a negligible difference in behavior toward ARA, with mean scores of 71.27 and 70.67, respectively. The t-value is calculated at 0.7721, which is much lower than the critical values at both 0.05 and 0.01 levels. The p-value of 0.4403 is well above the 0.05 significance threshold, and the effect size is negligible (0.03) with a 95% confidence interval of 0.09 to 0.20, indicating that the observed difference is not statistically significant. Hence, the type of school affiliation does not appear to influence teachers' behavioral responses to AR (Asiri and El-aasar, 2022). Similarly, the teachers with academic backgrounds in science and arts show almost identical behavior toward AR applications, with mean scores of 70.90 and 70.93, respectively. The t-value is extremely low at 0.0413, the effect size is virtually zero, and the p-value of 0.9670 far exceeds the standard significance threshold, indicating no statistically significant difference. Hence, these results strongly suggest no significant difference between science and arts teachers in terms of their behavioral engagement with AR, reflecting a uniform attitude across disciplines (Cheng and Tsai, 2014; Meccawy, 2023).

Correspondingly, behavioral responses based on teaching designations (TGTs and PGTs) also reveal minimal differences. TGTs have a mean score of 70.63, while PGTs score slightly higher at 70.98. The t-value of 0.3348 is far below the critical threshold, and the p-value of 0.7378 exceeds 0.05. Additionally, the effect size is negligible (0.02) with a 95% confidence interval of 0.16 to 0.23, indicating no statistically significant difference. Thus, no significant difference is observed between TGTs and PGTs, indicating that teachers' designation levels do not substantially affect their behavioral orientation toward AR usage (Anju and Thiyagu, 2023). The final comparison examines the role of teaching experience. Teachers with higher experience (41–60 years) have a mean score of 68.95, slightly lower than those with less experience (20–40 years), who score 71.20. The t-value of 1.9389 is just below the critical value at the 0.05 level (1.96), and the p-value of 0.0529 is just above 0.05. This places the result in a marginal or borderline non-significant zone. Although not statistically significant, the finding does suggest a possible trend where less experienced teachers may be somewhat more open or favorable toward AR applications, possibly due to higher digital exposure or training (da Silva et al., 2019).

However, the only statistically significant difference observed in this study was based on residential background, with rural teachers showing more positive behavior toward ARA use than urban teachers (Liao et al., 2024; Wang et al., 2024). All other variables—gender, school type, academic background, designation, and experience—do not show significant differences, although teaching experience approaches significance. These findings suggest that while demographic factors may play some role, particularly geographical location, most teachers across groups share similar behavioral tendencies toward adopting AR in education (Berson et al., 2018; Buchner et al., 2022; Dickmann et al., 2019; Ratmaningsih et al., 2024).

The graph in Figure 22 shows a bell-shaped curve in which vertical dashed lines represent the t-values for each variable in different colors. This visualization clearly represents how extreme each t-value is, indicating the strength of statistical evidence.

Figure 22
A probability density graph with a standard normal distribution curve and t-values on the x-axis, ranging from -4 to 4. Various dashed vertical lines represent different factors: gender, location of school, categories of school, stream of teachers, qualification, and age/experience. Each factor's t-value is noted in the legend, with location of school (t=2.49) and age/experience (t=1.94) having the highest positive t-values. The y-axis shows probability density.

Figure 22. Teachers' behavior on ARA through t-test across gender, location of schools, categories of school, streams of school, qualification, and experience.

3.4 Hypothesis 4

The results of Hypothesis 4 evaluated the significant level of relationship among the teachers' in terms of practices, attitudes, and behavior on augmented reality applications (ARA). This evaluation included an analysis of the correlation of respondents based on their gain scores.

Table 10 presents the results of multiple correlation analysis among teachers' perception, attitudes, and behaviors regarding the use of ARA. The findings reveal significant positive correlations between all three domains. Specifically, teachers' perception of ARA is moderately correlated with their attitudes (r = 0.34, p < 0.001) and shows a weaker but still significant correlation with their behaviors (r = 0.21, p < 0.001). The strongest relationship observed is between teachers' attitudes and their behaviors (r = 0.63, p < 0.001), suggesting that more favorable attitudes are closely linked to higher engagement or positive behavioral responses toward ARA. These results imply that attitudes may serve as a key mediator between perception and behavior (Nikou et al., 2024b; Sakir, 2025). The overall coefficient of multiple correlation (R) is 0.39, with a medium effect size (f2 = 0.18) and a 95% confidence interval ranging from 0.33 to 0.45. This indicates that teachers' perception and attitudes together exert a moderate and meaningful influence on their behavioral tendencies toward the use of augmented reality in the classroom. This suggests that while both perception and attitude are important, additional factors may also influence behavior, warranting further exploration (Castaño-Calle et al., 2022; Khukalenko et al., 2022; Mota et al., 2018).

Table 10
www.frontiersin.org

Table 10. Multiple correlations among the teachers' perception, attitudes, and behaviors regarding augmented reality applications (ARA).

In Figure 23, a line graph shows the correlations between teachers' perception, attitudes, and behavior on ARA. Each line represents how one domain correlates with the others. The strongest correlation is between attitudes and behavior (r = 0.63), indicating a strong relationship between what teachers feel and how they act.

Figure 23
Line graph showing correlation coefficients comparing teachers' perception, attitudes, and behavior on ARA. Perception starts high and decreases; attitudes and behavior increase. Lines cross in the middle.

Figure 23. Correlations between teachers' perception, attitudes, and behavior on ARA.

Table 11 presents the results of independent samples t-tests conducted to assess whether there are significant differences between the three core variables—perception, attitudes, and behavior of teachers toward augmented reality applications (ARA). These comparisons offer insights into how distinct or aligned these psychological constructs are in the context of educational technology adoption.

Table 11
www.frontiersin.org

Table 11. Significant differences regarding the perception, attitudes and behavior of teachers on augmented reality applications (ARA) in which t-tests and F-tests were used to calculate the significant difference between the two groups and among the three groups (variables).

The comparison between the perception and attitudes of teachers toward ARA reveals a substantial and statistically significant difference. The mean score for perception is 51.96 (SD = 12.82, SEM = 0.47), while for attitudes, the mean is much higher at 72.53 (SD = 7.41, SEM = 0.27). The calculated t-value is 44.6612, which is far greater than the critical values at both the 0.05 and 0.01 significance levels (1.96 and 2.58, respectively). The associated p-value (<0.0001), along with a large effect size (≈1.97) and a 95% confidence interval of 1.858 to 2.082, indicates a highly significant and substantial difference between teachers' perception and attitudes toward augmented reality. This implies that while teachers may be aware of or perceive AR in a certain way, their attitudes toward its actual implementation are far more positive and favorable.

The comparison between teachers' perception and their actual behavior regarding ARA use also shows a statistically significant difference. The mean for perception remains at 51.96 (SD = 12.82, SEM = 0.47), while the mean for behavior is significantly higher at 70.92 (SD = 10.46, SEM = 0.39).

The calculated t-value is 34.6312, which again surpasses the critical thresholds of significance, and the p-value is < 0.0001, along with a very large effect size (1.63) with a 95% confidence interval of 1.515 to 1.745. The calculated t-value of 34.6312 far exceeds the critical threshold for significance, with a p-value < 0.0001. This is accompanied by a very large effect size (=1.63) and a 95% confidence interval ranging from 1.515 to 1.745, indicating a highly significant difference. This suggests that although teachers may have moderate perceptions of AR, their actual behaviors or engagement with AR tools are considerably more active or positive, possibly due to institutional support, peer influence, or personal interest once the technology is experienced, which is similar to the study of Abed (2021). The final comparison between attitudes and behavior reveals a moderate yet significant difference. Attitudes (M = 72.53, SD = 7.41, SEM = 0.27) are slightly higher than behavior (M = 70.92, SD = 10.46, SEM = 0.39), with a t-value of 5.2867 and a p-value < 0.0001, along with a small effect size (0.16) and a 95% confidence interval of 0.054 to 0.266. Though this difference is statistically significant, it is less pronounced compared to the previous two comparisons. This result indicates a closer alignment between what teachers feel about ARA and how they actually use it, suggesting that attitudes are a stronger predictor of behavior in this context (Asokan and Ponnusamy, 2023; Dirin et al., 2019).

Overall, the findings from Table 11 highlight significant gaps between teachers' perceptions, attitudes, and behaviors toward ARA. The most notable gap exists between perceptions and both attitudes and behavior, suggesting that initial understanding or awareness of AR might be limited or cautious. However, once attitudes are formed, possibly through exposure or training they tend to translate more directly into behavior. These results underscore the importance of improving awareness and training programs that can positively shift perception and, in turn, support favorable attitudes and active usage of AR tools in educational settings (Anju and Thiyagu, 2023; da Silva et al., 2019).

The bell curve of Figure 24 shows t-values for teacher comparisons on ARA. High t-values 44.66 (perception and attitudes), 34.63 (perception and behavior), and 5.29 (attitudes and behavior) indicate statistically significant differences. All lie far in the tails, showing strong evidence of differences in perceptions, attitudes, and behaviors regarding ARA.

Figure 24
A probability density plot shows a standard normal distribution curve in black. Vertical dashed lines indicate t-values for three groups: Perception and Attitudes (t=44.66, blue line), Perception and Behavior (t=34.63, green line), and Attitudes and Behavior (t=5.29, red line). The x-axis is labeled “t-value” ranging from -10 to 50, and the y-axis is labeled “Probability Density” ranging from 0.00 to 0.40.

Figure 24. Teachers' perception, attitudes, and behavior on ARA through t-test.

Table 12 presents the results of a one-way ANOVA conducted to examine whether there are statistically significant differences among teachers' perceptions, attitudes, and behaviors regarding ARA. The analysis compares the means of these three domains across 2,190 observations. The F-value computed is 871.5964, which is far greater than the critical F-value at both the 0.05 and 0.01 significance levels for degrees of freedom (df) between groups = 2 and within groups = 2,187. The given F(2,2,187) = 871.60, p < 0.001 (p = 0.000) associated values, along with a very large effect size (=0.44) and a 95% confidence interval ranging from 0.435 to 0.452, indicate an extremely low probability of obtaining such a result by chance, effectively confirming that the differences among the group means are highly statistically significant. Since the p-value is less than the conventional alpha level of 0.05, the null hypothesis (H0), which posits that there is no difference in the means of the three variables, is rejected. This implies that at least one of the variables—perception, attitude, or behavior—differs significantly from the others in terms of mean score. Moreover, the very small p-value strongly supports the alternative hypothesis (H1), suggesting that the observed differences are not due to random variation (Suhaimi et al., 2022; Tzima et al., 2019). The F-value of 871.6 lies far outside the acceptance region (which ranges from 0 to approximately 2.9998 at 95% confidence), further reinforcing the statistical significance of the result. However, this test provides robust evidence that teachers' perceptions, attitudes, and behaviors regarding ARA are significantly different from one another, highlighting the need to address these domains independently in training or implementation strategies (Abed, 2021; Ewais and Troyer, 2019; Faqih and Jaradat, 2021; Habig, 2020; Ibáñez et al., 2020; Lampropoulos et al., 2022; Meng et al., 2024; Uygur et al., 2018; Ventrella and Cotnam-Kappel, 2024).

Table 12
www.frontiersin.org

Table 12. The sum of squares (SS), degrees of freedom (df), mean square (MS), F-values, and critical values were obtained from the scores of teachers regarding their perception, attitudes, and behaviors related to augmented reality application (ARA).

This graph (Figure 25) illustrates the results of ANOVA for teachers' perceptions, attitudes, and behaviors on ARA. The between-group variation (SS = 191,036) is substantial compared to within-group variation (SS = 239,673), resulting in a highly significant F-value (871.60, p < 0.001), indicating strong group differences.

Figure 25
Graph of an F distribution with a peak around 0.2, showing two shaded areas: green for acceptance region under most of the curve, and red for rejection region beyond a value of 2. A legend indicates red as rejection (α), green as acceptance, and black as the F distribution curve.

Figure 25. One-way ANOVA test using F distribution.

3.5 Hypothesis 5 and research questions

3.5.1 Qualitative analysis of research questions

To address the research questions, teachers were engaged in semi-structured interviews that included several open-ended questions. A comprehensive overview of the interview participants is presented in Table 13.

Table 13
www.frontiersin.org

Table 13. This table presents the thematic analysis of participants' statements regarding their perceptions, attitudes, and behaviors toward the use of augmented reality (AR) applications.

Table 13 (RQ1) clearly reflects the basic factors and suitable strategies for using Augmented Reality (AR) applications in the classroom. The interview data reveal that Indian school teachers' perceptions, attitudes, and behaviors toward AR integration are significantly shaped by limited knowledge, lack of interest, and low motivation (Marrahi-Gomez and Belda-Medina, 2022). This is especially evident among educators in rural areas, who often express uncertainty about the practical application of AR despite having encountered related content online (Asokan and Ponnusamy, 2023). Some teachers admitted facing barriers to AR adoption, primarily due to the absence of support and encouragement from school administrators and colleagues (Theodorio et al., 2024). Nonetheless, several participants indicated that while implementing AR in regular classroom settings is challenging, it is achievable when teachers are self-motivated and resourceful. Effective strategies included the use of personal smartphones, dividing students into small groups, and implementing group-based AR activities to navigate infrastructural and technological constraints. These findings underscore the urgent need for structured professional development and institutional backing, particularly in underserved regions (Mena et al., 2023; Rawat, 2025). Passionate and tech-savvy teachers often employed flexible approaches such as Bring Your Own Device (BYOD) or Use Your Own Gadget (UYOG) to facilitate AR use. In areas with poor internet connectivity, some teachers pre-downloaded AR content in advance to ensure uninterrupted classroom use. The data highlight the critical role of intrinsic motivation in successful AR integration. Even without formal training, a basic understanding of AR tools, coupled with personal interest and adaptability, enabled teachers to incorporate AR effectively. Moreover, many educators emphasized the importance of parental awareness and involvement in reinforcing AR-based learning at home. They recommended proper parent–teacher meetings (PTMs) as opportunities to demonstrate AR tools and foster parental support (Nitza and Roman, 2017).

Table 13 (RQ2) presents the various challenges and limitations experienced by teachers while using AR applications in educational settings. The data clearly reveals that numerous barriers hinder the effective integration of AR in classrooms, significantly influencing teachers' perceptions, attitudes, and behaviors toward its adoption, similar to the study conducted by Alkhattabi (2017). One of the primary challenges is the lack of infrastructure in schools. Many institutions do not have the required devices or technological resources to support AR applications. The unavailability of essential hardware, projection tools, sound systems, and other equipment prevents teachers from even considering the use of ICT-based tools. Additionally, software and hardware malfunctions, network connectivity problems, and power shortages further disrupt the learning process. In several instances, even interested teachers become demotivated due to unstable internet connections and unreliable power supply. Some teachers resort to using their personal mobile data to keep the technology functioning during class, which is neither sustainable nor encouraged. The high cost of AR implementation is another major constraint. Most schools lack funding and administrative support to bear the expenses of infrastructure development and technological tools. The cost of creating customized AR content is particularly high, and due to a lack of in-house expertise, aligning content with the curriculum becomes a significant challenge. Resource scarcity, competing academic priorities, and budgetary constraints contribute to the limited adoption of AR in classrooms. Teacher readiness and demographic disparities also influence AR adoption. The data suggest that younger teachers tend to be more tech-savvy and open to using AR-based teaching methods (Gajbhiye, 2024). However, many older and more experienced teachers struggle to update their skills (Thakur and Sulaiman, 2024; Theodorio et al., 2024) and show little interest in learning new technologies, as seen in the studies of Köroǧlu (2025) and Ateş and Garzón (2023). Several educators avoid training programs and self-study, resulting in a persistent technology gap; some even express fear or discomfort in using basic devices like smartphones, highlighting a lack of confidence in integrating technology into their teaching practices (Iqbal and Bhatti, 2020). Administrative support is often lacking, leaving teachers without the necessary encouragement or training opportunities. In many schools, a traditional mindset prevails where educators prefer conventional teaching methods and resist innovation. Furthermore, classroom arrangements often do not support the effective use of AR tools, creating practical difficulties in lesson execution. Additional concerns raised by participants include data privacy, health and safety risks, technological dependence, and the potential for social isolation (Alagood et al., 2023). Teachers worry that students may become overly reliant on technology, leading to reduced interest in reading books and writing answers. Excessive screen time may also contribute to distractions, binge-watching habits, and a decline in academic performance (Chakraborty and Thakur, 2024; Raza et al., 2021). The integration of diverse learners within a single AR-based lesson is another significant challenge, often requiring advanced customization and support that is currently unavailable in most schools. However, while some teachers demonstrate enthusiasm and potential for using AR in education, the lack of infrastructure, high costs, skill gaps, administrative indifference, and socio-psychological concerns act as significant barriers to the widespread adoption of AR in Indian classrooms (Chavez-Perez and Iparraguirre-Villanueva, 2025; Gasteiger et al., 2022).

Table 13 (RQ3) presents a variety of suggestions and expectations shared by participants regarding the integration of AR in classroom settings. A common theme that emerges is the necessity for adequate institutional resources, such as supportive devices and up-to-date software, to enable the effective implementation of AR regardless of geographical location. Participants emphasize the importance of administrative support, consistent availability of resources, and regular training opportunities to encourage and sustain positive teacher behavior toward AR. Many believe that teachers must receive continuous training to stay updated and proficient in using AR tools in real classroom scenarios. Some participants suggest that institutions can utilize school funds to purchase tablets or mobile devices, which can be rotated among students to deliver interactive lessons. Others highlight the need to improve technological infrastructure in rural schools, advocating for more affordable devices, reliable internet connectivity, and structured training programs. Administrators are encouraged to support educators by organizing focused training on AR application and implementation. Participants also point out that with proper planning and institutional backing, AR can significantly enrich teaching and learning experiences. There is a call to enhance digital involvement among educators and to foster peer influence and student engagement, ensuring that AR remains interactive and meaningful for learners across all age groups. Additionally, awareness programs addressing health concerns, data security, and privacy are recommended for both teachers and students to promote responsible and secure technology usage. This includes ensuring adherence to ethical standards while addressing potential risks such as technology addiction and misinformation. Several participants underscore the need to raise awareness about the appropriate use of AR in classrooms and believe schools should actively encourage its adoption. Furthermore, there is a strong consensus that AR and technology-based programs should be embedded into the curriculum as vital components of contemporary education (Thanya, 2025). A few contributors argue that AR applications should not only be part of the curriculum but also allow for customization, enabling educators to tailor AR content to meet specific instructional objectives. Overall, participants express a shared vision that through institutional commitment, strategic planning, and educator empowerment, AR has the potential to become a transformative educational tool that enhances curriculum delivery and fosters more engaging and effective learning environments (Liu et al., 2023; Radu et al., 2022).

Table 13 (RQ4) highlights subject-wise major issues in using AR, revealing that teachers hold mixed views on its integration into the teaching–learning process. While some educators across disciplines like mathematics, science, social science, and language report successful implementation of AR without significant challenges, others teaching the same subjects face notable difficulties, especially when dealing with practical or application-based topics. In mathematics, for instance, several teachers note that AR is helpful for visualizing geometric shapes and facilitating interactive problem-solving, though aligning AR content precisely with specific curriculum concepts remains a common challenge. In science, some participants express concerns about the accuracy of virtual models and simulations, particularly in conducting virtual experiments or illustrating scientific processes. Biology teachers, however, mention using technology occasionally and report no major difficulties in classroom implementation. In language teaching, a few educators identify difficulties in sourcing effective AR content that supports literacy development, such as immersive storytelling and vocabulary enhancement. Social science teachers raise concerns regarding the accuracy of historical content and the need for cultural sensitivity, especially when using AR for virtual tours or reenactments of historical events. Music teachers, on the other hand, acknowledge that AR is particularly useful when addressing theoretical aspects, such as historical background or conceptual discussions, especially in the absence of physical instruments. In such cases, AR serves as an effective tool to bridge gaps and convey abstract ideas more vividly. Overall, the subject-wise application of AR presents varying experiences, influenced by both content-specific requirements and available resources (Gusteti et al., 2025).

The qualitative findings in Table 13 clearly focused on a multifaceted view of AR integration in Indian classrooms, especially through the lens of teacher perceptions, attitudes, and behaviors. The first and second research questions (RQ1, RQ2) not only reflected rural and semi-urban teachers' significant engagement with AR but also showed how it was influenced by their limited awareness, low motivation, institutional readiness, insufficient institutional support, infrastructural inadequacies, high implementation costs, lack of technical training, and institutional inertia. These systemic barriers were enough to prove the gap in teachers' professional development compared to the studies (Oke and Arowoiya, 2021; Thangavel et al., 2025; Theodorio et al., 2024); therefore, unless teachers are encouraged to develop their foundational knowledge and practical exposure to AR, its adoption will remain shallow and unreliable. Equally, these broader challenges in EdTech integration in developing regions need to reinforce policy-level interventions and sustainable investment in digital infrastructure (Huang et al., 2016; Jamrus and Razali, 2021; Manna, 2023). Interestingly, despite all these gaps, some teachers validated resilience and innovation by employing adaptive strategies such as the Bring Your Own Device (BYOD), Use Your Own Gadget (UYOG) approaches, and group-based collaborative activities. These self-motivated practices pointed to the potential of grassroots-level agency in overcoming technological and monetary barriers, although their scalability remains limited without proper institutional support and sustained funding (Aggarwal, 2018; Holzmann and Gregori, 2023). The data related to RQ3 not only highlighted the growing consensus on the need for administrative support, funding, teacher training programs, parental involvement, and curricular integration for effective AR implementation but also emphasized how collaboration among stakeholders such as school leaders, families, and policymakers can foster the development of a holistic and supportive educational ecosystem (Schina et al., 2025). However, discipline-specific disparities in the use of AR were evident in the data corresponding to RQ4. Subjects like science and geography reflected more positive perceptions, attitudes, and behaviors toward AR, likely due to their inherently visual and spatial nature. In contrast, other disciplines faced significant challenges, such as the lack of culturally relevant content, model inaccuracies, and poor alignment with learning outcomes, which have limited AR's overall effectiveness. To address these issues, there is a need for the development of context-sensitive content and increased research in cross-disciplinary areas to optimize AR tools for diverse subjects and varied learner needs (Basumatary and Maity, 2024; De-Lima et al., 2022; Marrahi-Gomez and Belda-Medina, 2022).

3.6 Major findings

• The majority of the teachers showed moderate to high perception levels toward ARA, with females revealing higher gain scores than males, indicating significant gender differences. Similarly, significant perception differences were also observed by school category, stream, designation, and qualification, while age, location, and experience showed no effect.

• The maximum number of teachers exhibited high to very high attitudes toward ARA, with females scoring significantly higher, reflecting gender-based differences. Attitudes also varied significantly by school category and age, favoring females and private schools. However, no significant differences were found across stream, qualification, designation, or experience, indicating overall uniformity.

• The highest number of teachers demonstrated moderate to high behavior levels toward ARA, with females showing higher engagement. Behavior significantly varied by gender, school location, category, stream, qualification, and age, highlighting their influence on AR adoption. However, only school location showed significant mean score differences; other factors showed no significant impact.

• Significant positive correlations exist among teachers' perception, attitudes, and behavior on ARA, indicating interconnectedness. Additionally, distinct mean differences were found across these domains, reflecting varied levels of perception, attitude, and behavior. Overall, a highly significant difference highlights meaningful variation in how teachers engage with ARA across these areas.

• Qualitative findings reveal that AR integration in Indian classrooms faces barriers such as limited awareness, low motivation, poor infrastructure, and lack of training. Despite this, teachers show resilience through adaptive strategies. Effective AR use requires administrative support, funding, training, collaboration, and the development of discipline-specific, culturally relevant content.

4 Discussion

In the preliminary calculation, the data revealed (Tables 1, 2, 4, 5, 7, 13; RQ1, 2, 3) that across the different levels, the female teachers' perception, attitude, and behavior were higher compared to the male teachers (Köroǧlu, 2025; Putiorn et al., 2018; Sakir, 2025). This trend was reflected through quantitative as well as qualitative insights, indicating that the female teachers were not only more interested, but they were also too curious to accept the integration of technology in the form of AR. This is similar to previous studies such as (Asokan and Ponnusamy 2023), Cabero-Almenara et al. (2019a), and Dirin et al. (2019). However, a few studies revealed greater openness, sincerity, seriousness, and adaptability among male teachers toward adopting AR tools (Tripathy and Panda, 2021; Wyss et al., 2022). A surprising study also found (Tables 3, 6, 9) no knowledge gap and no diverse perception, attitudes, and behavior levels among both male and female teachers regarding the use of AR and technology due to the imbalanced distribution of scores in the groups, e.g., more males in low perception and close mean scores (Asiri and El-aasar, 2022; Dembe, 2024; Mercader and Duran-Bellonch, 2021). Since the male teachers were showing and reflecting lower engagement compared to female teachers in using AR, this gap in perception, attitude, and behavior levels is truly guiding us to apply gender-sensitive intervention strategies focusing on enhancing male teachers' engagement with emerging technologies (Gomez-Trigueros and de Aldecoa, 2021; Meenakshi and Indu, 2025; Nikou et al., 2024a).

However, this highly favorable or extremely skeptical position of teachers strongly recommends personalized capacity-building initiatives and supportive infrastructure for more positive engagement for both male and female teachers (Abed, 2021; Tripathy and Panda, 2021).

So far as the government and private schools are concerned, the teachers from private schools showed higher perception, attitude, and behavior levels, especially in the high and moderate ranges, compared to their government counterparts (Tables 2, 5, 8, 13; RQ3). On the other hand, a study (Tables 3, 6, 9) found nearly identical perceptions and attitudes between government and private teachers; as the categories were diverse, the average perception levels showed minimal variation (Akinradewo et al., 2025; Tzima et al., 2019). In this connection, qualitative insights indicated reasons such as better infrastructure, access to digital tools, professional development opportunities, and greater autonomy in private institutions. Therefore, there must be more investment and awareness programs in government schools to enhance AR adoption (Liao et al., 2024; Mohamad and Husnin, 2023; Wyss et al., 2022). Meanwhile, the study also revealed (Tables 2, 8, 13; RQ4) that science teacher's demonstrated positive perceptions and stronger behavior toward ARA in contrast to the arts teachers (Cabero-Almenara et al., 2019b). Oddly, the study found (Tables 3, 5, 6, 9) no gap based on academic stream due to similar means regarding the perception and attitudes of science/arts teachers in different categorical levels (Almaleki, 2022; Dembe, 2024; Grinshkun et al., 2021; Meccawy, 2023). Though the study clearly found that AR naturally aligns with the visual and spatial content used in science education, there is limited AR content aligned with humanities topics. Therefore, it is very much needed to promote AR content in non-science subjects by developing AR tools with cross-disciplinary relevance and ensuring cultural and pedagogical alignment (Alkhabra et al., 2023; Alqahtani, 2023; Chen, 2022; Thanya, 2025).

Perception and behavior levels are also influenced by the qualifications of the teachers, in which TGTs revealed their higher usage and openness toward AR, whereas PGTs showed a lower level of perception and behavior (Tables 2, 3, 8, 13; RQ2, 4). This is similar to the studies of Alalwan et al. (2020) and da Silva et al. (2019). However, this present study also found uniformity among science and arts teachers regarding attitudes and behavior (Tables 5, 6, 9; Salleh et al., 2023). Nonetheless, the levels of perception and behavior were undoubtedly indicative of the skills and training gap in digital pedagogy, along with lesser exposure at higher qualification levels (Lampropoulos et al., 2022; Meenakshi and Indu, 2025; Thangavel et al., 2025; Uygur et al., 2018). Teachers in both rural and urban settings, along with all age groups (Tables 2, 3, 6, 13; RQ1), revealed similar levels of perception and attitudes toward AR (Li et al., 2023; Sánchez-Obando and Duque-Méndez, 2023). However, the behavior of urban and younger teachers was significantly higher (Al-Shahrani and Asiri, 2023a), while perception and attitudes had slightly higher frequencies in the high category (Basumatary and Maity, 2024). In contrast, rural and older teachers were less adaptable regarding the acceptance of educational technology (Tables 5, 8, 9, 13; RQ2) (Alamäki et al., 2021; Liao et al., 2024; Miller and Liu, 2023). Less experienced teachers exhibited slightly greater behavior in applying AR due to being more open to and trained in newer technologies, which aligns with the studies (Chang et al., 2022; Romano et al., 2020). This indicates that geographical location and age to be a determining factors regarding the use of AR. Though the combined results revealed highly significant, indicating that demographic factors—especially gender, school type, academic stream, and qualification—play a key role in shaping teachers' perceptions, attitudes, and behaviors regarding AR applications through integration (Bhattacharya et al., 2025; Dirin et al., 2019; Mercader and Duran-Bellonch, 2021; Rahmiati et al., 2025). On the other hand, meaningful insights into the significant relationships among teachers' perceptions, attitudes, and behaviors regarding AR were also revealed (Table 10) (Martín-Gutiérrez et al., 2015; Robles, 2017). In this context, teachers' understanding of AR was found to have a moderately positive influence on their attitude but only a weak positive relationship with their behavior. Attitude emerged as a key mediator between perception and behavior, suggesting that a positive mindset alone is insufficient for implementing AR (Table 11) (Eutsler and Long, 2021; Holly et al., 2021; Linus et al., 2025). Additionally, despite favorable attitudes, a lack of deep perception and lagging behavior highlighted that the differences between the domains (perception, attitude, behavior) were more significant than the variations within each domain (Tables 12, 13; RQ3). Furthermore, external barriers such as technological limitations, policy gaps, poor infrastructure, lack of training, absence of peer support, and inadequate administrative encouragement contributed to the relatively low-to-moderate multiple correlation coefficient, which may have dampened behavioral outcomes (Aguayo et al., 2017; Albishri and Blackmore, 2025; De-Lima et al., 2022; Radosavljevic et al., 2020; Ratmaningsih et al., 2024; Sirakaya and Sirakaya, 2022). Therefore, raising awareness about AR through comprehensive strategies could foster more positive impacts on both attitude and behavior.

5 Limitations of this study

The study was limited to Indian educators, mainly from secondary and higher secondary schools, because of time and financial constraints. Since it followed a cross-sectional design, the data were collected only at one point in time and relied on teachers' self-reported responses. This creates the possibility of self-report bias, as their answers may not fully reflect their actual classroom practices. Moreover, the findings may not be directly applicable to other countries, as they are shaped by India's specific educational system, culture, and policy environment.

In this study, corrections for multiple comparisons were also not applied. The main aim was to explore and understand Indian teachers' perceptions, attitudes, and behaviors toward AR, rather than to test a wide range of specific hypotheses. Applying such corrections could have increased the risk of type II errors, meaning some important patterns might have been overlooked. Therefore, the findings have been interpreted with caution, giving importance to thematic insights along with statistical results instead of relying only on significance levels.

6 Conclusion

Undoubtedly, we have become increasingly technology-centric in today's world, and there is no scope to deny this reality. Therefore, it is almost impossible to think of anything excluding technology. In the present age, if students at the foundational level fail to develop a clear understanding of subject concepts, they will not only lose interest in studying but also lose respect for the learning process itself. Since all of us are connected to technology in some way, if we do not incorporate technology-based approaches to teach different subject concepts to our students or children, they will miss out on the joy of learning. On the other hand, by using technology, we will not only foster greater interest and curiosity among them, but it will also enhance both their engagement and academic motivation. From our study, it is clearly evident that across the country, it is not just a lack of knowledge but also a lack of interest among teachers that hinders the use of technology in education. Therefore, to enhance teachers' interest in using technology, it is essential first to raise their awareness. This awareness will gradually improve their perception levels, which in turn will strengthen their attitudes and positively influence their behavior. Ultimately, this will help foster a mindset among teachers that is more open and willing to integrate technology into teaching. However, to achieve this, proper training, institutional initiatives, motivation, and government support are crucial. Our study makes a valuable contribution in this area and provides insights that can inform implementation strategies and further research efforts. Additionally, investigating the perspectives of both teachers and students, as well as the availability and usage of resources, will be beneficial. These elements are interdependent and can significantly shape the success of technology implementation. By enhancing our understanding of these issues, we can better support schools, educators, policymakers, and educational technology developers. This will help promote the use of Augmented Reality (AR) and other digital media tools for educational entertainment, thereby contributing significantly to the broader goal of digitalizing education through edutainment. Still, more research focusing on teachers' perspectives is essential.

Though building on the limitations of this study, several directions for future research can be considered. A wider sampling frame that includes teachers from the primary, secondary, and university levels would provide a more holistic understanding of educators' perceptions and practices. Similarly, conducting cross-country comparative studies could help highlight both commonalities and differences across diverse educational systems, thereby making the findings more generalizable beyond the Indian context. Since self-reported data may sometimes be influenced by personal bias, future research could strengthen reliability by adopting a triangulated approach, combining teacher responses with classroom observations, student feedback, or other external measures to ensure a more accurate representation of actual practices. Therefore, future studies should not only explore internal and external factors affecting teachers but also consider in-depth peripheral factors at the school and government levels that influence the integration of technology in education. These include support from school and government-level actors such as fellow teachers, administrators, and policymakers whose assistance is vital for effective change.

Data availability statement

The raw data supporting the conclusions of this article will be made available by the authors, without undue reservation.

Ethics statement

Ethical approval was not required for the studies involving humans because ethical consent was taken from every participants and from our side we have used all the information only for research purpose and we have not revealed their identity. The studies were conducted in accordance with the local legislation and institutional requirements. The participants provided their written informed consent to participate in this study. Written informed consent was obtained from the individual(s) for the publication of any potentially identifiable images or data included in this article.

Author contributions

SB: Writing – review & editing, Investigation, Data curation. AS: Investigation, Writing – review & editing, Methodology, Validation. PB: Investigation, Methodology, Writing – review & editing, Data curation, Formal analysis. CS: Data curation, Formal analysis, Investigation, Methodology, Writing – review & editing. SC: Data curation, Formal analysis, Investigation, Writing – review & editing. NT: Formal analysis, Investigation, Writing – review & editing, Conceptualization, Methodology, Supervision, Validation, Writing – original draft.

Funding

The author(s) declare that no financial support was received for the research and/or publication of this article.

Conflict of interest

The authors declare that the research was conducted in the absence of any commercial or financial relationships that could be construed as a potential conflict of interest.

Generative AI statement

The author(s) declare that no Gen AI was used in the creation of this manuscript.

Any alternative text (alt text) provided alongside figures in this article has been generated by Frontiers with the support of artificial intelligence and reasonable efforts have been made to ensure accuracy, including review by the authors wherever possible. If you identify any issues, please contact us.

Publisher's note

All claims expressed in this article are solely those of the authors and do not necessarily represent those of their affiliated organizations, or those of the publisher, the editors and the reviewers. Any product that may be evaluated in this article, or claim that may be made by its manufacturer, is not guaranteed or endorsed by the publisher.

References

Abdelmagid, M., Abdullah, N., and Aldaba, A. M. A. (2021). Exploring the acceptance of augmented reality among tesl teachers and students and its effects on motivation level: a case study in Kuwait. Adv. Soc. Sci. Res. J. 8, 23–34. doi: 10.14738/assrj.812.11356

Crossref Full Text | Google Scholar

Abdusselam, M., and Karal, H. (2020). The effect of using augmented reality and sensing technology to teach magnetism in high school physics. Technol. Pedagog. Educ. 29, 407–424. doi: 10.1080/1475939X.2020.1766550

Crossref Full Text | Google Scholar

Abed, S. S. (2021). Examining augmented reality adoption by consumers with highlights on gender and educational-level differences. Rev. Int. Bus. Strategy, 31, 397–415. doi: 10.1108/RIBS-08-2020-0100

Crossref Full Text | Google Scholar

Aboudahr, S. M. F. M., Govindarajoo, M. V., Olowoselu, A., and Sani, R. M. (2023). Investigating moderating influence of gender on augmented reality and students satisfaction: experiences in cultures and linguistic diversity. Asian J. Univ. Educ. (AJUE) 19, 447–461. doi: 10.24191/ajue.v19i3.23328

Crossref Full Text | Google Scholar

Aggarwal, D. (2018). Bring your own device (BYOD) to the classroom: a technology to promote green education. Int. J. Res. Anal. Rev. (IJRAR) 5, 354–358.

Google Scholar

Aguayo, C., Cochrane, T., and Narayan, V. (2017). Key themes in mobile learning: prospects for learner-generated learning through AR and VR. Aust. J. Educ. Technol. 33, 27–40. doi: 10.14742/ajet.3671

Crossref Full Text | Google Scholar

Akcayır, M., and Akcayır, G. (2017). Advantages and challenges associated with augmented reality for education: a systematic review of the literature. Educ. Res. Rev. 20, 1–11. doi: 10.1016/j.edurev.2016.11.002

Crossref Full Text | Google Scholar

Akçayir, M., Akçayir, G., Pektaş, H. M., and Ocak, M. A. (2016). Augmented reality in science laboratories: the effects of augmented reality on university students' laboratory skills and attitudes toward science laboratories. Comput. Hum. Behav. 57, 334–342. doi: 10.1016/j.chb.2015.12.054

Crossref Full Text | Google Scholar

Akinradewo, O., Hafez, M., Aliu, J., Oke, A., Aigbavboa, C., and Adekunle, S. (2025). Barriers to the adoption of augmented reality technologies for education and training in the built environment: a developing country context. Technologies 13:62. doi: 10.3390/technologies13020062

Crossref Full Text | Google Scholar

Alagood, J., Prybutok, G., and Prybutok, V. R. (2023). Navigating privacy and data safety: the implications of increased online activity among older adults post-covid-19 induced isolation. Information 14:346. doi: 10.3390/info14060346

Crossref Full Text | Google Scholar

Al-Akloby, S. B. S. F. (2023). The degree of using augmented reality technology among students of the optimum investment project for teaching personnel program and the difficulties they face at Al-Shaqra University. J. Coll. Educ. Women 34, 30–47. doi: 10.36231/coedw.v34i2.1663

Crossref Full Text | Google Scholar

Alalwan, N., Cheng, L., Al-Samarraie, H., Yousef, R., Alzahrani, A. I., and Sarsam, S. M. (2020). Challenges and prospects of virtual reality and augmented reality utilization among primary school teachers: a developing country perspective. Stud. Educ. Eval. 66:100876. doi: 10.1016/j.stueduc.2020.100876

Crossref Full Text | Google Scholar

Alam, A., and Mohanty, A. (2023). Educational technology: exploring the convergence of technology and pedagogy through mobility, interactivity, AI, and learning tools. Cog. Eng. 10:2283282. doi: 10.1080/23311916.2023.2283282

Crossref Full Text | Google Scholar

Alamäki, A., Dirin, A., and Suomala, J. (2021). Students' expectations and social media sharing in adopting augmented reality. Int. J. Inf. Learn. Technol. 38, 196–208. doi: 10.1108/IJILT-05-2020-0072

Crossref Full Text | Google Scholar

Al-Anazi, M. N., and Khalaf, M. H. R. (2023). The effect of using augmented reality technology on the cognitive holding power and the attitude towards it among middle school students in Al-Qurayyat Governorate, Saudi Arabia. Inf. Sci. Lett. 12, 1053–1067. doi: 10.18576/isl/120241

Crossref Full Text | Google Scholar

Albishri, B., and Blackmore, K. L. (2025). Duality in barriers and enablers of augmented reality adoption in education: a systematic review of reviews. Interact. Technol. Smart Educ. 22, 167–191. doi: 10.1108/ITSE-10-2023-0194

Crossref Full Text | Google Scholar

AlGerafi, M. A. M., Zhou, Y., Oubibi, M., and Wijaya, T. T. (2023). Unlocking the potential: a comprehensive evaluation of augmented reality and virtual reality in education. Electronics 12:3953. doi: 10.3390/electronics12183953

Crossref Full Text | Google Scholar

Alhassn, I., Asiamah, N., Opuni, F. F., and Alhassan, A. (2022). The Likert scale: exploring the unknowns and their potential to mislead the world. UDS Int. J. Dev. 9, 867–880. doi: 10.47740/586.UDSIJD6i

Crossref Full Text | Google Scholar

Alkhabra, Y. A., Ibrahem, U. M., and Alkhabra, S. A. (2023). Augmented reality technology in enhancing learning retention and critical thinking according to STEAM program. Hum. Soc. Sci. Commun. 10, 1–10. doi: 10.1057/s41599-023-01650-w

Crossref Full Text | Google Scholar

Alkhattabi, M. (2017). Augmented reality as e-learning tool in primary schools' education: barriers to teachers' adoption. Int. J. Emerg. Technol. Learn. 12:91. doi: 10.3991/ijet.v12i02.6158

Crossref Full Text | Google Scholar

Almaleki, D. (2022). Designing a tool for evaluating employing augmented reality technology to distinguish between similar alphabets. Int. J. Educ. Sci. 39, 1–3. doi: 10.31901/24566322.2022/39.1-3.1254

Crossref Full Text | Google Scholar

Alqahtani, E. (2023). Augmented reality facilitates teachers ‘teaching and students' learning in higher education. Adv. Soc. Sci. Res. J. 10, 86–90. doi: 10.14738/assrj.1011.15758

Crossref Full Text | Google Scholar

Alqarni, T. (2021). Comparison of augmented reality and conventional teaching on special needs students' attitudes towards science and their learning outcomes. J. Baltic Sci. Educ. 20, 558–572. doi: 10.33225/jbse/21.20.558

Crossref Full Text | Google Scholar

Al-Shahrani, H. A. (2021). Examining Saudi secondary school teachers' acceptance of augmented reality technology. Islam. Univ. J. Educ. Soc. Sci. 5, 153–179. doi: 10.36046/2162-000-005-014

Crossref Full Text | Google Scholar

Al-Shahrani, H. A. M., and Asiri, A. M. S. (2023a). The degree of secondary school teachers' use of augmented reality technology in education from their point of view and their attitudes towards it and its relationship to some variables. Alustath J. Hum. Soc. Sci. 62, 56–80.

Google Scholar

Al-Shahrani, H. A. M., and Asiri, A. M. S. (2023b). The reality of using augmented reality technology by secondary school female teachers in Abha city in teaching from their point of view. J. Educ. Soc. Res. 13, 46–59. doi: 10.36941/jesr-2023-0056

Crossref Full Text | Google Scholar

Alzahrani, N. M. (2020). Augmented reality: a systematic review of its benefits and challenges in e-learning contexts. Appl. Sci. 10:5660. doi: 10.3390/app10165660

Crossref Full Text | Google Scholar

Amores-Valencia, A., Burgos, D., and Branch-Bedoya, J. W. (2023). The impact of augmented reality (AR) on the academic performance of high school students. Electronics 12:2173. doi: 10.3390/electronics12102173

Crossref Full Text | Google Scholar

Anju, V., and Thiyagu, K. (2023). Pre-service teachers' perceptions about augmented reality (AR) applications in science learning. Indian J. Educ. Technol. 5, 115–132.

Google Scholar

Antonioli, M., Blake, C., and Sparks, K. (2014). Augmented reality applications in education. J. Technol. Stud. 40, 96–107. doi: 10.21061/jots.v40i2.a.4

Crossref Full Text | Google Scholar

Arena, F., Collotta, M., Pau, G., and Termine, F. (2022). An overview of augmented reality. Computers 11:28. doi: 10.3390/computers11020028

Crossref Full Text | Google Scholar

Arici, F., Yilmaz, R. M., and Yilmaz, M. (2021). Affordances of augmented reality technology for science education: views of secondary school students and science teachers. Hum. Behav. Emerg. Tech. 3, 1153–1171. doi: 10.1002/hbe2.310

Crossref Full Text | Google Scholar

Asbulah, L. H., Sahrim, M., Soad, N. F. A. M., Rushdi, N. A. A. M., and Deris, M. A. H. M. (2022). Teachers' attitudes towards the use of augmented reality technology in teaching Arabic in primary school Malaysia. Int. J. Adv. Comput. Sci. Appl.,13, 465–474. doi: 10.14569/IJACSA.2022.0131055

Crossref Full Text | Google Scholar

Ascher-Svanum, H., Novick, D., Haro, J. M., Aguado, J., and Cui, Z. (2013). Empirically driven definitions of “good,” “moderate,” and “poor” levels of functioning in the treatment of schizophrenia. Qual. Life Res. 22, 2085–2094. doi: 10.1007/s11136-012-0335-z

PubMed Abstract | Crossref Full Text | Google Scholar

Ashley-Welbeck, A., and Vlachopoulos, D. (2020). Teachers' perceptions on using augmented reality for language learning in primary years programme (PYP) education. Int. J. Emerg. Technol. Learn. 15, 116–135. doi: 10.3991/ijet.v15i12.13499

Crossref Full Text | Google Scholar

Asiri, M. M., and El-aasar, S. A. (2022). Employing technology acceptance model to access the reality of using augmented reality applications in teaching from teachers' point of view in Najran. J. Posit. Sch. Psychol. 6, 5241–5255.

Google Scholar

Asokan, V., and Ponnusamy, P. (2023). Mobile augmented reality in teaching upper primary school science: perspectives of subject handling teachers. Indian J. Educ. Technol. 5, 67–74.

Google Scholar

Atalay, N. (2022). Augmented reality experiences of preservice classroom teachers in science teaching. Int. Technol. Educ. J. 6, 28–42.

Google Scholar

Ateş, H., and Garzón, J. (2023). An integrated model for examining teachers' intentions to use augmented reality in science courses. Educ. Inf. Technol. 28, 1299–1321. doi: 10.1007/s10639-022-11239-6

Crossref Full Text | Google Scholar

Bandla, S., Lella, S., Kola, A., Parvathaneni, K. M., and Rani, J. (2024). Association of anxiety, depression and sleep quality with binge-watching behavior in college students–An observational study. Archiv. Ment. Health 25, 107–111. doi: 10.4103/amh.amh_11_24

Crossref Full Text | Google Scholar

Banerjee, G., and Walunj, S. (2019). “Exploring in-service teachers' acceptance of augmented reality,” in 2019 IEEE Tenth International Conference on Technology for Education (T4E) (Goa: IEEE), 186–192.

Google Scholar

Bangga-Modesto, D. (2024). Examining student perception on mobile augmented reality integration, gender differences, learning styles, feedback, challenges, and opportunities in an online physics class. Sci. Educ. Int. 35, 2–12. doi: 10.33828/sei.v35.i1.1

Crossref Full Text | Google Scholar

Basumatary, D., and Maity, R. (2024). The potential of augmented reality in Indian rural primary education. IEEE Potentials 43, 26–31. doi: 10.1109/MPOT.2024.3450195

Crossref Full Text | Google Scholar

Belisario, J. S. M., Jamsek, J., Huckvale, K., O'Donoghue, J., Morrison, C. P., and Car, J. (2015). Comparison of self-administered survey questionnaire responses collected using mobile apps versus other methods. Cochrane Database Syst. Rev. 7, 1–99. doi: 10.1002/14651858.MR000042.pub2

PubMed Abstract | Crossref Full Text | Google Scholar

Berame, J. S., Bulay, M. L., Mercado, R. L., Ybanez, A. R. C., Aloyon, G. C. A., Dayupay, A. M. F., et al. (2022). Improving grade 8 students' academic performance and attitude in teaching science through augmented reality. Am. J. Educ. Technol. 1, 62–72. doi: 10.54536/ajet.v1i3.840

Crossref Full Text | Google Scholar

Berson, M., Ng, D., Shin, J., and Jenkinson, J. (2018). Assessing augmented reality in helping undergraduate students to integrate 2D and 3D representations of stereochemistry. J. Biocommun. 42:e4. doi: 10.5210/jbc.v42i1.9187

Crossref Full Text | Google Scholar

Best 3 ARToolKit Alternatives for 2024. (2024). Aircada. Available online at: https://aircada.com/blog/artoolkit-alternatives (Accessed July 6, 2024).

Google Scholar

Bhalerao, A. K. (2015). Application and performance of Google Forms for online data collection and analysis: a case of North Eastern Region of India. Indian J. Ext. Educ. 51, 49–53.

Google Scholar

Bhattacharya, S., Sau, A., Bera, P., Sardar, C., Chaudhuri, S., and Thakur, N. (2025). Teachers and technology: a comprehensive study on augmented reality awareness among school educators in India. J. Inf. Syst. Eng. Manag. 10, 233–252. doi: 10.52783/jisem.v10i45s.8723

Crossref Full Text | Google Scholar

Bock, D. E., Velleman, P. F., and Veaux, R. D. D. (2010). Stats: Modeling the World: AP Edition. Boston, MA: Addison Wesley.

Google Scholar

Buchner, J., Krüger, J. M., Bodemer, D., and Kerres, M. (2022). “Teachers' use of augmented reality in the classroom: reasons, practices, and needs,” in Proceedings of the 16th International Conference of the Learning Sciences-ICLS 2022, eds. C. Chinn, E. Tan, C. Chan, and Y. Kali (Hiroshima: International Society of the Learning Sciences), 1133–1136. doi: 10.22318/icls2022.1133

Crossref Full Text | Google Scholar

Cabero-Almenara, J., Barroso-Osuna, J., Llorente-Cejudo, C., and Fernández-Martínez, M. D. M. (2019a). Educational uses of augmented reality (AR): experiences in educational science. Sustainability 11:4990. doi: 10.3390/su11184990

Crossref Full Text | Google Scholar

Cabero-Almenara, J., Fernández-Batanero, J. M., and Barroso-Osuna, J. (2019b). Adoption of augmented reality technology by university students. Heliyon 5, 1–9. doi: 10.1016/j.heliyon.2019.e01597

PubMed Abstract | Crossref Full Text | Google Scholar

Cai, S., Chiang, F. K., and Wang, X. (2013). Using the augmented reality 3D technique for a convex imaging experiment in a physics course. Int. J. Eng. Educ. 29, 858–865.

Google Scholar

Cao, W., and Yu, Z. (2023). Retracted article: the impact of augmented reality on student attitudes, motivation, and learning achievements—a meta-analysis (2016–2023). Hum. Soc. Sci. Commun. 10, 1–12. doi: 10.1057/s41599-023-01852-2

Crossref Full Text | Google Scholar

Castaño-Calle, R., Jiménez-Vivas, A., Castro, R. P., Álvarez, M. I. C., and Jenaro, C. (2022). Perceived benefits of future teachers on the usefulness of virtual and augmented reality in the teaching-learning process. Educ. Sci. 12:855. doi: 10.3390/educsci12120855

Crossref Full Text | Google Scholar

Cepeda-Galvis, P. A., Mendoza-Moreno, M. A., and Rodriguez-Hernandez, A. A. (2017). Educational and cultural environments enriched using augmented reality technology. New Trends Issues Proc. Hum. Soc. Sci. 4, 52–59. doi: 10.18844/prosoc.v4i8.2976

Crossref Full Text | Google Scholar

Cetin, H. (2022). A systematic review of studies on augmented reality based applications in primary education. Int. J. Educ. Lit. Stud. 10, 110–121. doi: 10.7575/aiac.ijels.v.10n.2p.110

Crossref Full Text | Google Scholar

Chakraborty, S., and Thakur, N. (2024). Reflections of adult learners on binge-watching and its detrimental impact on the environment in West Bengal, India. Cog. Educ. 11:2428895. doi: 10.1080/2331186X.2024.2428895

Crossref Full Text | Google Scholar

Chang, H. Y., Binali, T., Liang, J. C., Chiou, G. L., Cheng, K. H., Lee, S. W. Y., et al. (2022). Ten years of augmented reality in education: a meta-analysis of (quasi-) experimental studies to investigate the impact. Comput. Educ. 191:104641. doi: 10.1016/j.compedu.2022.104641

Crossref Full Text | Google Scholar

Chang, K. E., Chang, C. T., Hou, H. T., Sung, Y. T., Chao, H. L., and Lee, C. M. (2014). Development and behavioral pattern analysis of a mobile guide system with augmented reality for painting appreciation instruction in an art museum. Comput. Educ. 71, 185–197. doi: 10.1016/j.compedu.2013.09.022

Crossref Full Text | Google Scholar

Chavez-Perez, J., and Iparraguirre-Villanueva, O. (2025). Digital inclusion and accessibility through augmented reality mobile technologies in education: a systematic review. Int. J. Interact. Mob. Technol. 19, 48–64. doi: 10.3991/ijim.v19i04.52845

Crossref Full Text | Google Scholar

Chen, S. Y. (2022). To explore the impact of augmented reality digital picture books in environmental education courses on environmental attitudes and environmental behaviors of children from different cultures. Front. Psychol. 13:1063659. doi: 10.3389/fpsyg.2022.1063659

PubMed Abstract | Crossref Full Text | Google Scholar

Cheng, K. H., and Tsai, C. C. (2014). Children and parents' reading of an augmented reality picture book: analyses of behavioral patterns and cognitive attainment. Comput. Educ. 72, 302–312. doi: 10.1016/j.compedu.2013.12.003

Crossref Full Text | Google Scholar

Cheon, J., Lee, S., Crooks, S. M., and Song, J. (2012). An investigation of mobile learning readiness in higher education based on the theory of planned behavior. Comput. Educ. 59, 1054–1064. doi: 10.1016/j.compedu.2012.04.015

Crossref Full Text | Google Scholar

Cipresso, P., Meriggi, P., Carelli, L., Solca, F., Meazzi, D., Poletti, B., et al. (2011). “The combined use of brain computer interface and eye-tracking technology for cognitive assessment in amyotrophic lateral sclerosis,” in 2011 5th International Conference on Pervasive Computing Technologies for Healthcare (Pervasive Health) and Workshops (Dublin: IEEE), 320–324.

Google Scholar

Contreras, G., de Cabo, R. M., and Gimeno, R. (2024). Women who LinkedIn: the gender networking gap among executives. Eur. Manag. J. 43, 383–398. doi: 10.1016/j.emj.2024.10.003

Crossref Full Text | Google Scholar

Creswell, J. W., and Clark, V. L. P. (2017). Designing and Conducting Mixed Methods Research. Thousand Oaks, CA: Sage publications.

Google Scholar

Creswell, J. W., and Clark, V. L. P. (2023). “Revisiting mixed methods research designs twenty years later,” in Sage Handbook of Mixed Methods Designs, ed. C. Poth (Thousand Oaks, CA: Sage Publications), 623–635.

Google Scholar

Crogman, H. T., Cano, V. D., Pacheco, E., Sonawane, R. B., and Boroon, R. (2025). Virtual reality, augmented reality, and mixed reality in experiential learning: transforming educational paradigms. Educ. Sci. 15:303. doi: 10.3390/educsci15030303

Crossref Full Text | Google Scholar

Cyril, N., Thoe, N. K., Sinniah, D. N., Rajoo, M., Sinniah, S., Adzmin, W. N., et al. (2022). Exploring the effect of science teachers' age group on technological knowledge, technological content and pedagogical knowledge in augmented reality. Dinamika J. Ilmiah Pendidikan Dasar 14, 1–11. doi: 10.30595/dinamika.v14i1.13302

Crossref Full Text | Google Scholar

da Silva, M. M. O., Teixeira, J. M. X. N., Cavalcante, P. S., and Teichrieb, V. (2019). Perspectives on how to evaluate augmented reality technology tools for education: a systematic review. J. Braz. Comput. Soc. 25, 1–18. doi: 10.1186/s13173-019-0084-8

Crossref Full Text | Google Scholar

Dahri, N. A., Yahaya, N., Al-Rahmi, W. M., Noman, H. A., Alblehai, F., Kamin, Y. B., et al. (2024). Investigating the motivating factors that influence the adoption of blended learning for teachers' professional development. Heliyon 10:e34900. doi: 10.1016/j.heliyon.2024.e34900

PubMed Abstract | Crossref Full Text | Google Scholar

Dejonckheere, M., Lindquist-Grantz, R., Toraman, S., Haddad, K., and Vaughn, L. M. (2019). Intersection of mixed methods and community-based participatory research: a methodological review. J. Mixed Methods Res. 13, 481–502. doi: 10.1177/1558689818778469

Crossref Full Text | Google Scholar

De-Lima, C. B., Walton, S., and Owen, T. (2022). A critical outlook at augmented reality and its adoption in education. Comput. Educ. Open 3:100103. doi: 10.1016/j.caeo.2022.100103

Crossref Full Text | Google Scholar

Dembe, H. A. (2024). The integration of virtual reality (VR) and augmented reality (AR) in classroom settings. Res. Invent. J. Eng. Phys. Sci. 3, 102–113.

Google Scholar

Dickmann, T., Opfermann, M., Dammann, E., Lang, M., and Rumann, S. (2019). What you see is what you learn? The role of visual model comprehension for academic success in chemistry. Chem. Educ. Res. Pract. 20, 804–820. doi: 10.1039/C9RP00016J

Crossref Full Text | Google Scholar

Di-Fuccio, R., Kic-Drgas, J., and Wozniak, J. (2024). Co-created augmented reality app and its impact on the effectiveness of learning a foreign language and on cultural knowledge. Smart Learn. Environ. 11:21. doi: 10.1186/s40561-024-00304-x

Crossref Full Text | Google Scholar

Dirin, A., Alamäki, A., and Suomala, J. (2019). Gender differences in perceptions of conventional video, virtual reality and augmented reality. Int. J. Interact. Mob. Technol. (iJIM) 13, 93–102. doi: 10.3991/ijim.v13i06.10487

Crossref Full Text | Google Scholar

Do, H. N., Shih, W., and Ha, Q. A. (2020). Effects of mobile augmented reality apps on impulse buying behavior: an investigation in the tourism field. Heliyon 6:e04667. doi: 10.1016/j.heliyon.2020.e04667

PubMed Abstract | Crossref Full Text | Google Scholar

Dsouza, N. P., and Hemmige, B. D. (2023). Teacher's perspective on using augmented reality in the classroom to teach scientific concepts. Iconic Res. Eng. J. 6, 207–213.

Google Scholar

Dunleavy, M., Dede, C., and Mitchell, R. (2009). Affordances and limitations of immersive participatory augmented reality simulations for teaching and learning. J. Sci. Educ. Technol. 18, 7–22. doi: 10.1007/s10956-008-9119-1

Crossref Full Text | Google Scholar

Dutta, R., Mantri, A., and Singh, G. (2022). Assess teachers' attitude towards mobile augmented reality systems for teaching digital electronics course. ECS Trans. 107, 7631–7638. doi: 10.1149/10701.7631ecst

Crossref Full Text | Google Scholar

Egunjobi, D., and Adeyeye, O. J. (2024). Revolutionizing learning: the impact of augmented reality(AR) and artificial intelligence (AI on education). Int. J. Res. Publ. Rev. 5, 1157–1170. doi: 10.55248/gengpi.5.1024.2734

Crossref Full Text | Google Scholar

Elford, D., Lancaster, S. J., and Jones, G. A. (2022). Exploring the effect of augmented reality on cognitive load, attitude, spatial ability, and stereochemical perception. J. Sci. Educ. Technol. 31, 322–339. doi: 10.1007/s10956-022-09957-0

PubMed Abstract | Crossref Full Text | Google Scholar

Eutsler, L., and Long, C. S. (2021). Preservice teachers' acceptance of virtual reality to plan science instruction. Educ. Technol. Soc. 24, 28–43. doi: 10.3102/1682167

Crossref Full Text | Google Scholar

Ewais, A., and Troyer, O. D. (2019). A usability and acceptance evaluation of the use of augmented reality for learning atoms and molecules reaction by primary school female students in Palestine. J. Educ. Comput. Res. 57, 1643–1670. doi: 10.1177/0735633119855609

Crossref Full Text | Google Scholar

Faqih, K. M., and Jaradat, M. I. (2021). Integrating TTF and UTAUT2 theories to investigate the adoption of augmented reality technology in education: Perspective from a developing country. Technol. Soc. 67:101787. doi: 10.1016/j.techsoc.2021.101787

Crossref Full Text | Google Scholar

Finkler, A. (2010). Goodness of fit statistics for sparse contingency tables. arXiv [Preprint]. arXiv:1006.2287. doi: 10.48550/arXiv.1006.2287

Crossref Full Text | Google Scholar

Gajbhiye, D. R. S. (2024). Virtual reality (VR) and augmented reality (AR) in libraries. Royal Int. Glob. J. Adv. Appl. Res. 1, 8–10.

Google Scholar

Garratt, A. M., Helgeland, J., and Gulbrandsen, P. (2011). Five-point scales outperform 10-point scales in a randomized comparison of item scaling for the patient experiences questionnaire. J. Clin. Epidemiol. 64, 200–207. doi: 10.1016/j.jclinepi.2010.02.016

PubMed Abstract | Crossref Full Text | Google Scholar

Gasteiger, N., van der Veer, S. N., Wilson, P., and Dowding, D. (2022). How, for whom, and in which contexts or conditions augmented and virtual reality training works in upskilling health care workers: realist synthesis. JMIR Serious Games 10:e31644. doi: 10.2196/31644

PubMed Abstract | Crossref Full Text | Google Scholar

Georgiou, Y., and Kyza, E. A. (2017). Investigating immersion in relation to students' learning during a collaborative location-based augmented reality activity [Paper presentation]. International conference of computer supported collaborative learning, PA, International Society of the Learning Sciences, Philadelphia.

Google Scholar

Ghobadi, M., Shirowzhan, S., Ghiai, M. M., Ebrahimzadeh, F. M., and Tahmasebinia, F. (2023). Augmented reality applications in education and examining key factors affecting the users' behaviors. Educ. Sci. 13:10. doi: 10.3390/educsci13010010

Crossref Full Text | Google Scholar

Giard, F., and Guitton, M. J. (2016). Spiritus ex machina: augmented reality, cyberghosts and externalised consciousness. Comput. Hum. Behav. 55, 614–615. doi: 10.1016/j.chb.2015.10.024

Crossref Full Text | Google Scholar

Giasiranis, S., and Sofos, L. (2016). Production and evaluation of educational material using augmented reality for teaching the module of “representation of the information on computers” in junior high school. Creat. Educ. 7, 1270–1291. doi: 10.4236/ce.2016.79134

Crossref Full Text | Google Scholar

Gomez-Trigueros, I. M., and de Aldecoa, C. Y. (2021). The digital gender gap in teacher education: the TPACK framework for the 21st century. Eur. J. Investig. Health Psychol. Educ. 11, 1333–1349. doi: 10.3390/ejihpe11040097

PubMed Abstract | Crossref Full Text | Google Scholar

Government of India Ministry of Education (2020). National Education Policy 2020. Government of India. Available online at: https://www.education.gov.in/nep-2020

Google Scholar

Grinshkun, A. V., Perevozchikova, M. S., Razova, E. V., and Khlobystova, I. Y. (2021). Using methods and means of the augmented reality technology when training future teachers of the digital school. Eur. J. Contemp. Educ. 10:358–374. doi: 10.13187/ejced.2021.2.358

Crossref Full Text | Google Scholar

Gusteti, M. U., Musdi, E., Dewata, I., and Rasli, A. M. (2025). A ten-year bibliometric study on augmented reality in mathematical education. Eur. J. Educ. Res. 14, 723–741. doi: 10.12973/eu-jer.14.3.723

Crossref Full Text | Google Scholar

Habig, S. (2020). Who can benefit from augmented reality in chemistry? Sex differences in solving stereochemistry problems using augmented reality. Br. J. Educ. Technol. 51, 629–644. doi: 10.1111/bjet.12891

Crossref Full Text | Google Scholar

Heintz, M., Law, E. L. C., and Andrade, P. (2021). “Augmented reality as educational tool: Perceptions, challenges, and requirements from teachers,” in Technology-Enhanced Learning for a Free, Safe, and Sustainable World, EC-TEL 2021, Lecture Notes in Computer Science, eds. T. De Laet, R. Klemke, C. Alario-Hoyos, I. Hilliger, and A. Ortega-Arranz (Bolzano: Springer, Cham), 315–319.

Google Scholar

Hervás-Gómez, C., Toledo-Morales, P., and Díaz-Noguera, M. D. (2017). Augmented reality applications attitude scale (ARAAS): diagnosing the attitudes of future teachers. New Educ. Rev. 50, 215–226. doi: 10.15804/tner.2017.50.4.17

Crossref Full Text | Google Scholar

Holly, M., Pirker, J., Resch, S., Brettschuh, S., and Gütl, C. (2021). Designing VR experiences–expectations for teaching and learning in VR. Educ. Technol. Soc. 24, 107–119.

Google Scholar

Holzmann, P., and Gregori, P. (2023). The promise of digital technologies for sustainable entrepreneurship: a systematic literature review and research agenda. Int. J. Inf. Manag. 68:102593. doi: 10.1016/j.ijinfomgt.2022.102593

Crossref Full Text | Google Scholar

Hsu, H. Y., and Wang, S. K. (2017). Integrating technology: using Google Forms to collect and analyze data. Sci. Scope 40, 64–67. doi: 10.2505/4/ss17_040_08_64

Crossref Full Text | Google Scholar

Huang, T. C., Chen, C. C., and Chou, Y. W. (2016). Animating eco-education: to see, feel, and discover in an augmented reality-based experiential learning environment. Comput. Educ. 96, 72–82. doi: 10.1016/j.compedu.2016.02.008

Crossref Full Text | Google Scholar

Ibáñez, M. B., Portillo, A. U., Cabada, R. Z., and Barrón, M. L. (2020). Impact of augmented reality technology on academic achievement and motivation of students from public and private Mexican schools. A case study in a middle-school geometry course. Comput. Educ. 145:103734. doi: 10.1016/j.compedu.2019.103734

Crossref Full Text | Google Scholar

Ibili, E., Resnyansky, D., and Billinghurst, M. (2019). Applying the technology acceptance model to understand maths teachers' perceptions towards an augmented reality tutoring system. Educ. Inf. Technol. 24, 2653–2675. doi: 10.1007/s10639-019-09925-z

Crossref Full Text | Google Scholar

Iqbal, S., and Bhatti, Z. A. (2020). A qualitative exploration of teachers' perspective on smartphones usage in higher education in developing countries. Int. J. Educ. Technol. High. Educ. 17:29. doi: 10.1186/s41239-020-00203-4

Crossref Full Text | Google Scholar

Jamrus, M. H. M., and Razali, A. B. (2021). Acceptance, readiness and intention to use augmented reality (AR) in teaching English reading among secondary school teachers in Malaysia. Asian J. Univ. Educ. (AJUE) 17, 312–326. doi: 10.24191/ajue.v17i4.16200

Crossref Full Text | Google Scholar

Jiang, H., Zhu, D., Chugh, R., Turnbull, D., and Jin, W. (2025). Virtual reality and augmented reality-supported K-12 STEM learning: trends, advantages and challenges. Educ. Inf. Technol. 30, 12827–12863. doi: 10.1007/s10639-024-13210-z

Crossref Full Text | Google Scholar

Johnson, R. B., and Onwuegbuzie, A. J. (2004). Mixed methods research: a research paradigm whose time has come. Educ. Res. 33, 14–26. doi: 10.3102/0013189X033007014

Crossref Full Text | Google Scholar

Joshi, A., Kale, S., Chandel, S., and Pal, D. K. (2015). Likert scale: explored and explained. Br. J. Appl. Sci. Technol. 7, 396–403. doi: 10.9734/BJAST/2015/14975

Crossref Full Text | Google Scholar

Jung, T., and tom-Dieck, M. C. (Eds.). (2018). Augmented Reality and Virtual Reality: Empowering Human, Place and Business. Cham: Springer.

Google Scholar

Kamarainen, A. M., Metcalf, S., Grotzer, T., Browne, A., Mazzuca, D., Tutwiler, M. S., et al. (2013). Eco mobile: integrating augmented reality and probeware with environmental education field trips. Comput. Educ. 68, 545–556. doi: 10.1016/j.compedu.2013.02.018

Crossref Full Text | Google Scholar

Kamarudin, S., Shoaib, H. M., Jamjoom, Y., Saleem, M., and Mohammadi, P. (2023). “Use of Augmented Reality Application in E-learning System During COVID-19 Pandemic,” in Explore Business, Technology Opportunities and Challenges After the Covid-19 Pandemic, ICBT 2022, Lecture Notes in Networks and Systems, eds. B. Alareeni, and A. Hamdan (New York: Springer, Cham), 241–251.

Google Scholar

Karthick, M., and Shanmugam, P. N. L. (2024). Exploring prospective teachers' awareness and perception of augmented reality (AR): a survey-based study. Educ. Adminstr. Theory Pract. 30, 2984–2991. doi: 10.53555/kuey.v30i3.8808

Crossref Full Text | Google Scholar

Kazakou, G., and Koutromanos, G. (2022). “Augmented reality smart glasses in education: teachers' perceptions regarding the factors that influence their use in the classroom,” in New Realities, Mobile Systems and Applications, IMCL 2021, Lecture Notes in Networks and Systems, eds. M. E. Auer and T. Tsiatsos (Cham: Springer), 145–155, 411.

Google Scholar

Kececi, G., Yildirim, P., and Zengin, F. K. (2021). Determining the effect of science teaching using mobile augmented reality application on the secondary school students' attitudes of toward science and technology and academic achievement. Sci. Educ. Int. 32, 137–148. doi: 10.33828/sei.v32.i2.7

Crossref Full Text | Google Scholar

Khan, T., Johnston, K., and Ophoff, J. (2019). The impact of an augmented reality application on learning motivation of students. Adv. Hum. Comput. Interact. 2019, 1–14. doi: 10.1155/2019/7208494

Crossref Full Text | Google Scholar

Khukalenko, I. S., Kaplan-Rakowski, R., An, Y., and Iushina, V. D. (2022). Teachers' perceptions of using virtual reality technology in classrooms: a large-scale survey. Educ. Inf. Technol. 27, 11591–11613. doi: 10.2139/ssrn.4074142

PubMed Abstract | Crossref Full Text | Google Scholar

Köroǧlu, M. (2025). Pioneering virtual assessments: augmented reality and virtual reality adoption among teachers. Educ. Inf. Technol. 30, 9901–9948. doi: 10.1007/s10639-024-13159-z

Crossref Full Text | Google Scholar

Koutromanos, G., and Jimoyiannis, A. (2022). “Augmented reality in education: exploring Greek teachers' views and perceptions,” in Technology and Innovation in Learning, Teaching and Education. TECH-EDU 2022. Communications in Computer and Information Science, eds. A. Reis, J. Barroso, P. Martins, A. Jimoyiannis, R.Y. M. Huang, and R. Henriques, Vol. 1720 (Springer, Cham), 31–42.

Google Scholar

Kudale, P., and Buktar, R. (2022). Investigation of the impact of augmented reality technology on interactive teaching learning process. Int. J. Virtual Pers. Learn. Environ. 12, 1–16. doi: 10.4018/IJVPLE.285594

Crossref Full Text | Google Scholar

Kumari, S., and Polke, N. (2019). “Implementation issues of augmented reality and virtual reality: a survey,” in International Conference on Intelligent Data Communication Technologies and Internet of Things (ICICI) 2018, eds. J. Hemanth, X. Fernando, P. Lafata, and Z. Baig (New York: Springer International Publishing), 853–861.

Google Scholar

Lampropoulos, G., Keramopoulos, E., Diamantaras, K., and Evangelidis, G. (2022). Augmented reality and virtual reality in education: public perspectives, sentiments, attitudes, and discourses. Educ. Sci. 12:798. doi: 10.3390/educsci12110798

Crossref Full Text | Google Scholar

Lee, J., and Lee, C. F. (2022). “Analysis of variance and chi-square tests,” in Essentials of Excel VBA, Python, and R, eds. L. John and L. Cheng-Few (New York: Springer, Cham), 331–352.

Google Scholar

Lham, T., Jurmey, P., and Tshering, S. (2020). Augmented reality as a classroom teaching and learning tool: teachers' and students' attitude. Asian J. Educ. Soc. Stud. 12, 27–35. doi: 10.9734/ajess/2020/v12i430318

Crossref Full Text | Google Scholar

Li, Q., Liu, Q., and Chen, Y. (2023). Prospective teachers' acceptance of virtual reality technology: a mixed study in rural China. Educ. Inf. Technol. 28, 3217–3248. doi: 10.1007/s10639-022-11219-w

Crossref Full Text | Google Scholar

Liao, C. H. D., Wu, W. C. V., Gunawan, V., and Chang, T. C. (2024). Using an augmented-reality game-based application to enhance language learning and motivation of elementary school EFL students: a comparative study in rural and urban areas. Asia Pac. Educ. Res. 33, 307–319. doi: 10.1007/s40299-023-00729-x

Crossref Full Text | Google Scholar

Lin, T. J., Duh, H. B. L., Li, N., Wang, H. Y., and Tsai, C. C. (2013). An investigation of learners' collaborative knowledge construction performances and behavior patterns in an augmented reality simulation system. Comput. Educ. 68, 314–321. doi: 10.1016/j.compedu.2013.05.011

Crossref Full Text | Google Scholar

Linus, A. A., Monsuir, I. A., Elizabeth, F. J., and Justina, A. A. (2025). Teachers' ICT competency and their attitude towards integrating virtual reality (VR) and augmented reality (AR) in the classroom in IJEBU-ODE local government area of OGUN state. J. Contemp. Res. 4, 32–48.

Google Scholar

Liu, E., Cai, S., Liu, Z., and Liu, C. (2023). WebART: web-based augmented reality learning resources authoring tool and its user experience study among teachers. IEEE Trans. Learn. Technol. 16, 53–65. doi: 10.1109/TLT.2022.3214854

Crossref Full Text | Google Scholar

Makwana, D., Engineer, P., Dabhi, A., and Chudasama, H. (2023). Sampling methods in research: a review. Int. J. Trend Sci. Res. Dev. 7, 762–768.

Google Scholar

Manna, M. (2023). Teachers as augmented reality designers: a study on Italian as a foreign language-teacher perception. Int. J. Mob. Blended Learn. 15, 1–16. doi: 10.4018/IJMBL.318667

Crossref Full Text | Google Scholar

Marín-Marín, J. A., López-Belmonte, J., Pozo-Sánchez, S., and Moreno-Guerrero, A. J. (2023). Attitudes towards the development of good practices with augmented reality in secondary education teachers in Spain. Technol. Knowl. Learn. 28, 1443–1459. doi: 10.1007/s10758-023-09671-9

Crossref Full Text | Google Scholar

Marrahi-Gomez, V., and Belda-Medina, J. (2022). The integration of augmented reality (AR) in education. Adv. Soc. Sci. Res. J. 9, 475–487. doi: 10.14738/assrj.912.13689

Crossref Full Text | Google Scholar

Martín-Gutiérrez, J., Fabiani, P., Benesova, W., Meneses, M. D., and Mora, C. E. (2015). Augmented reality to promote collaborative and autonomous learning in higher education. Comput. Hum. Behav. 51, 752–761. doi: 10.1016/j.chb.2014.11.093

Crossref Full Text | Google Scholar

McNair, C. L., and Green, M. (2016). “Preservice teachers' perceptions of augmented reality,” in Literacy Summit Yearbook, 2nd Edn., eds. E. E. Martinez and J. Pilgrim (Specialized Literacy Professionals and Texas Association for Literacy Education), 74–81.

Google Scholar

Meccawy, M. (2023). Teachers' prospective attitudes towards the adoption of extended reality technologies in the classroom: interests and concerns. Smart Learn. Environ. 10:36. doi: 10.1186/s40561-023-00256-8

Crossref Full Text | Google Scholar

Meenakshi, P. K., and Indu, H. (2025). Understanding the potential of augmented reality to improve mathematical education. Indian J. Educ. Technol. 7, 190–121.

Google Scholar

Mena, J., Estrada-Molina, O., and Pérez-Calvo, E. (2023). Teachers' professional training through augmented reality: a literature review. Educ. Sci. 13:517. doi: 10.3390/educsci13050517

Crossref Full Text | Google Scholar

Meng, Y., Xu, W., Liu, Z., and Yu, Z. G. (2024). Scientometric analyses of digital inequity in education: problems and solutions. Hum. Soc. Sci. Commun. 11, 1–13. doi: 10.1057/s41599-024-03480-w

Crossref Full Text | Google Scholar

Mercader, C., and Duran-Bellonch, M. (2021). Female higher education teachers use digital technologies more and better than they think. Digit. Educ. Rev. 40, 172–184. doi: 10.1344/der.2021.40.172-184

Crossref Full Text | Google Scholar

Milad, M., and Fayez, F. (2025). Perception and attitudes towards augmented reality (AR) enhanced academic writing: Satisfaction levels. World J. Engl. Lang. 15, 268–288. doi: 10.5430/wjel.v15n6p268

Crossref Full Text | Google Scholar

Miller, R., and Liu, K. (2023). After the virus: Disaster capitalism, digital inequity, and transformative education for the future of schooling. Educ. Urban Soc. 55, 533–554. doi: 10.1177/00131245211065419

Crossref Full Text | Google Scholar

Mirza, T., Dutta, R., Tuli, N., and Mantri, A. (2025). Leveraging augmented reality in education involving new pedagogies with emerging societal relevance. Discover Sustainability 6, 1–15. doi: 10.1007/s43621-025-00877-8

Crossref Full Text | Google Scholar

Mohamad, S., and Husnin, H. (2023). Teachers' perception of the use of augmented reality (AR) modules in teaching and learning. Int. J. Acad. Res. Bus. Soc. Sci. 13, 9–34. doi: 10.6007/IJARBSS/v13-i9/18319

Crossref Full Text | Google Scholar

Mota, J. M., Ruiz-Rube, I., Dodero, J. M., and Arnedillo-Sánchez, I. (2018). Augmented reality mobile app development for all. Comput. Electr. Eng. 65, 250–260. doi: 10.1016/j.compeleceng.2017.08.025

Crossref Full Text | Google Scholar

Mundy, M., Hernandez, J., and Green, M. (2019). Perceptions of the effects of augmented reality in the classroom. J. Instr. Pedagog. 22, 1–15.

Google Scholar

Naveau, P., Huser, R., Ribereau, P., and Hannart, A. (2016). Modeling jointly low, moderate, and heavy rainfall intensities without a threshold selection. Water Resourc. Res. 52, 2753–2769. doi: 10.1002/2015WR018552

Crossref Full Text | Google Scholar

Nikou, S. A. (2024). Factors influencing student teachers' intention to use mobile augmented reality in primary science teaching. Educ. Inf. Technol. 29, 15353–15374. doi: 10.1007/s10639-024-12481-w

Crossref Full Text | Google Scholar

Nikou, S. A., Perifanou, M., and Economides, A. A. (2024a). Development and validation of the teachers' augmented reality competences (TARC) scale. J. Comput. Educ. 11, 1041–1060. doi: 10.1007/s40692-023-00288-6

Crossref Full Text | Google Scholar

Nikou, S. A., Perifanou, M., and Economides, A. A. (2024b). Exploring teachers' competences to integrate augmented reality in education: Results from an international study. Tech. Trends 68, 1208–1221. doi: 10.1007/s11528-024-01014-4

Crossref Full Text | Google Scholar

Nitza, D., and Roman, Y. (2017). Who needs parent-teacher meetings in the technological era? Int. J. High. Educ. 6, 153–162. doi: 10.5430/ijhe.v6n1p153

Crossref Full Text | Google Scholar

Nizar, N. N. M., Rahmat, M. K., and Damio, S. M. (2020). Evaluation of pre-service teachers' actual use towards augmented reality technology through MARLCardio. Int. J. Acad. Res. Bus. Soc. Sci. 10, 1091–1101. doi: 10.6007/IJARBSS/v10-i11/8184

Crossref Full Text | Google Scholar

Oke, A. E., and Arowoiya, V. A. (2021). Critical barriers to augmented reality technology adoption in developing countries: a case study of Nigeria. J. Eng. Design Technol. 20, 1320–1333. doi: 10.1108/JEDT-12-2020-0519

Crossref Full Text | Google Scholar

Okumuş, A., and Savaş, P. (2024). Investigating EFL teacher candidates' acceptance and self-perceived self-efficacy of augmented reality. Educ. Inf. Technol. 29, 16571–16596. doi: 10.1007/s10639-024-12517-1

Crossref Full Text | Google Scholar

Oliveira, G., Teixeira, J. G., Torres, A., and Morais, C. (2021). An exploratory study on the emergency remote education experience of higher education students and teachers during the COVID-19 pandemic. Br. J. Educ. Technol. 52, 1357–1376. doi: 10.1111/bjet.13112

PubMed Abstract | Crossref Full Text | Google Scholar

Ozdamli, F., and Hursen, Ç. (2017). An emerging technology: augmented reality to promote learning. Int. J. Emerg. Technol. Learn. 12, 121–137. doi: 10.3991/ijet.v12i11.7354

Crossref Full Text | Google Scholar

Palada, B., Chandan, V. S., Gowda, C. P., and Nikitha, P. (2024). The Role of Augmented Reality (AR) in education. Int. J. Res. Appl. Sci. Eng. Technol. 12, 1400–1408. doi: 10.22214/ijraset.2024.59079

Crossref Full Text | Google Scholar

Paladini, M. (2018). 3 Different Types of AR Explained: Marker-Based, Markerless and Location. Blippar. Available online at: https://www.blippar.com/blog/2018/08/14/marker-based-markerless-or-location-based-ar-different-types-of-ar

Google Scholar

Panakaje, N., Rahiman, H. U., Parvin, S. M. R., Shareena, P., Madhura, K., Yatheen, et al. (2024). Revolutionizing pedagogy: navigating the integration of technology in higher education for teacher learning and performance enhancement. Cog. Educ. 11:2308430. doi: 10.1080/2331186X.2024.2308430

Crossref Full Text | Google Scholar

Papakostas, C., Troussas, C., Krouska, A., and Sgouropoulou, C. (2022). Exploring users' behavioral intention to adopt mobile augmented reality in education through an extended technology acceptance model. Int. J. Hum. Comput. Interact. 39, 1294–1302. doi: 10.1080/10447318.2022.2062551

Crossref Full Text | Google Scholar

Pasalidou, C., and Fachantidis, N. (2021). “Teachers' perceptions towards the use of mobile augmented reality: the case of Greek educators,” in Internet of Things, Infrastructures and Mobile Applications: Proceedings of the 13th IMCL Conference 13, eds. M. E. Auer and T. Tsiatsos (New York: Springer International Publishing), 1039–1050.

Google Scholar

Pasalidou, C., Fachantidis, N., and Koiou, E. (2023). “Using augmented reality and a social robot to teach geography in primary school,” in Learning and Collaboration Technologies HCII 2023, Lecture Notes in Computer Science, eds. P. Zaphiris and A. Ioannou (Cham: Springer), 371–385.

Google Scholar

Peikos, G., and Sofianidis, A. (2024). What is the future of augmented reality in science teaching and learning? An exploratory study on primary and pre-school teacher students' views. Educ. Sci. 14:480. doi: 10.3390/educsci14050480

Crossref Full Text | Google Scholar

Perifanou, M., Economides, A. A., and Nikou, S. A. (2023). Teachers' views on integrating augmented reality in education: needs, opportunities, challenges and recommendations. Fut. Internet 15:20. doi: 10.3390/fi15010020

Crossref Full Text | Google Scholar

Putiorn, P., Nobnop, R., Buathong, P., and Soponronnarit, K. (2018). “Understanding teachers' perception toward the use of an augmented reality-based application for astronomy learning in secondary schools in Northern Thailand,” in 2018 Global Wireless Summit (GWS) (Chiang Rai: IEEE), 77–81.

Google Scholar

Qirom, M. S., and Sukma, L. R. G. (2024). The effect of augmented reality in mathematics education: gender perspective. AIP Conf. Proc. 3220:030003. doi: 10.1063/5.0234749

Crossref Full Text | Google Scholar

Radosavljevic, S., Radosavljevic, V., and Grgurovic, B. (2020). The potential of implementing augmented reality into vocational higher education through mobile learning. Interact. Learn. Environ. 28, 404–418. doi: 10.1080/10494820.2018.1528286

Crossref Full Text | Google Scholar

Radu, I., Joy, T., Bott, I., Bowman, Y., and Schneider, B. (2022). “A survey of educational augmented reality in academia and practice: effects on cognition, motivation, collaboration, pedagogy and applications,” in 2022 8th International Conference of the Immersive Learning Research Network (iLRN) (Vienna: IEEE), 1–8.

Google Scholar

Rahmat, A. D., Kuswanto, H., Wilujeng, I., Putranta, H., and Ilma, A. Z. (2023). Teachers' perspective toward using augmented reality technology in science learning. Cypriot J. Educ. Sci. 18, 215–227. doi: 10.18844/cjes.v18i1.8191

Crossref Full Text | Google Scholar

Rahmiati, D., Sarwi, S., Sudarmin, S., and Cahyono, A. N. (2025). The use of augmented reality diorama media in natural and social sciences subjects for fourth grade elementary school. J. La Edusci. 6, 61–78. doi: 10.37899/journallaedusci.v6i1.1871

Crossref Full Text | Google Scholar

Ratmaningsih, N., Abdulkarim, A., Sopianingsih, P., Anggraini, D. N., Rahmat, R., Juhanaini, J., et al. (2024). Gender equality education through augmented reality (AR)-based flashcards in learning social studies education in schools as an embodiment of sustainable development goals (SDGs). J. Eng. Sci. Technol. 19, 1365–1388.

Google Scholar

Rawat, A. (2025). AR in Education- Use Cases, Benefits, Challenges and More. Noida: Appinventiv.

Google Scholar

Rayhan, R. U., Zheng, Y., Uddin, E., Timbol, C., Adewuyi, O., and Baraniuk, J. N. (2013). Administer and collect medical questionnaires with Google documents: a simple, safe, and free system. Appl. Med. Inf. 33, 12–21.

PubMed Abstract | Google Scholar

Raza, S. H., Yousaf, M., Sohail, F., Munawar, R., Ogadimma, E. C., and Siang, J. M. L. D. (2021). Investigating binge-watching adverse mental health outcomes during Covid-19 pandemic: moderating role of screen time for web series using online streaming. Psychol. Res. Behav. Manag. 14, 1615–1629. doi: 10.2147/PRBM.S328416

PubMed Abstract | Crossref Full Text | Google Scholar

Ripsam, M., and Nerdel, C. (2024). Teachers' attitudes and self-efficacy toward augmented reality in chemistry education. Front. Educ. 8:1293571. doi: 10.3389/feduc.2023.1293571

Crossref Full Text | Google Scholar

Robles, B. F. (2017). La utilización de objetos de aprendizaje de realidad aumentada en la enseñanza universitaria de educación primaria. IJERI: Int. J. Educ. Res. Innov. 9, 90–104.

Google Scholar

Romano, M., Diaz, P., and Aedo, I. (2020). Empowering teachers to create really experiences: the effects on the educational experience. Interact. Learn. Environ. 31, 1546–1563. doi: 10.1080/10494820.2020.1851727

Crossref Full Text | Google Scholar

Sáez-López, J. M., Cózar-Gutiérrez, R., González-Calero, J. A., and Gómez-Carrasco, C. J. (2020). Augmented reality in higher education: an evaluation program in initial teacher training. Educ. Sci. 10:26. doi: 10.3390/educsci10020026

Crossref Full Text | Google Scholar

Sahin, D., and Yilmaz, R. M. (2020). The effect of augmented reality technology in middle school students' achievements and attitudes towards science education. Comput. Educ. 144:103710. doi: 10.1016/j.compedu.2019.103710

Crossref Full Text | Google Scholar

Sakir, A. (2025). Augmented reality in preschool settings: a cross-sectional study on adoption dynamics among educators. Interact. Learn. Environ. 33, 2954–2977. doi: 10.1080/10494820.2024.2428361

Crossref Full Text | Google Scholar

Salleh, A. B., Phon, D. N. E., Rahman, N. S. A., Hashim, S. B., and Lah, N. H. C. (2023). “Examining the correlations between teacher profiling, ICT skills, and the readiness of integrating augmented reality in education,” in 2023 IEEE 8th International Conference On Software Engineering and Computer Systems (ICSECS) (Penang: IEEE), 303–308.

Google Scholar

Salmee, M. S. A., and Majid, A. F. (2022). A study on in-service English teachers' perceptions towards the use of augmented reality (AR) in ESL classroom: implications for TESL programme in higher education institutions. Asian J. Univ. Educ. 18, 499–509. doi: 10.24191/ajue.v18i2.18065

Crossref Full Text | Google Scholar

Sánchez-Obando, J. W., and Duque-Méndez, N. D. (2023). Augmented reality strategy as a didactic alternative in rural public schools in Colombia. Comput. Appl. Eng. Educ. 31, 552–573. doi: 10.1002/cae.22598

Crossref Full Text | Google Scholar

Scharf, E. M., and Baldwin, L. P. (2007). Assessing multiple choice question (MCQ) tests – a mathematical perspective. Active Learn. High. Educ. 8, 31–47. doi: 10.1177/1469787407074009

Crossref Full Text | Google Scholar

Schina, D., Kalemaki, I., Miron, M. I., Patsias, A., Vlachopoulos, D., Thorkelsdóttir, R. B., et al. (2025). “Promoting sustainable digital behaviors: evaluation of the ecodigital curriculum in schools in Greece and Romania,” in INTED2025 Proceedings, eds. L. G. Chova, C. G. Martínez, and J. Lees (Valencia: IATED), 5011–5019.

Google Scholar

Schlomann, A., Memmer, N., and Wahl, H. W. (2022). Awareness of age-related change is associated with attitudes toward technology and technology skills among older adults. Front. Psychol. 13:905043. doi: 10.3389/fpsyg.2022.905043

PubMed Abstract | Crossref Full Text | Google Scholar

Schmidthaler, E., Andic, B., Schmollmüller, M., Sabitzer, B., and Lavicza, Z. (2023). Mobile augmented reality in biological education: perceptions of Austrian secondary school teachers. J. Effic. Respons. Educ. Sci. 16, 113–127. doi: 10.7160/eriesj.2023.160203

Crossref Full Text | Google Scholar

Schoonenboom, J., and Johnson, R. B. (2017). How to construct a mixed methods research design. Kolner Z. Soziol. Sozialpsychol. 69, 107–131. doi: 10.1007/s11577-017-0454-1

Crossref Full Text | Google Scholar

Sensorama (2024). In Wikipedia. Available online at: https://en.wikipedia.org/wiki/Sensorama

Google Scholar

Sethuraman, R., Kerin, R. A., and Cron, W. L. (2005). A field study comparing online and offline data collection methods for identifying product attribute preferences using conjoint analysis. J. Bus. Res. 58, 602–610. doi: 10.1016/j.jbusres.2003.09.009

Crossref Full Text | Google Scholar

Shapiro, S. S., and Wilk, M. B. (1965). An analysis of variance test for normality (complete samples). Biometrika 52, 591–611. doi: 10.1093/biomet/52.3-4.591

Crossref Full Text | Google Scholar

Shivani, and Chander, Y. (2023). Effect of online learning augmented reality programme on academic achievement in science. Indian J. Educ. Technol. 5, 8–23.

Google Scholar

Singh, R. (2025). Types of AR Experiences: Marker-Based, Markerless, and Location-Based. Vadodara: Twin Reality.

Google Scholar

Sirakaya, M., and Cakmak, E. K. (2018). Investigating student attitudes toward augmented reality. Malays. Online J. Educ. Technol. 6, 30–44. doi: 10.17220/mojet.2018.02.005

Crossref Full Text | Google Scholar

Sirakaya, M., and Sirakaya, D. A. (2022). Augmented reality in STEM education: a systematic review. Interact. Learn. Environ. 30, 1556–1569. doi: 10.1080/10494820.2020.1722713

Crossref Full Text | Google Scholar

Sökmen, Y., Sarikaya, I., and Nalçaci, A. (2024). The effect of augmented reality technology on primary school students' achievement, attitudes towards the course, attitudes towards technology, and participation in classroom activities. Int. J. Hum. Comput. Interact. 40, 3936–3951. doi: 10.1080/10447318.2023.2204270

Crossref Full Text | Google Scholar

Stojsic, I., Ostojic, N., and Stanisavljevic, J. (2022). Students' acceptance of mobile augmented reality applications in primary and secondary biology education. Int. J. Cogn. Res. Sci. Eng. Educ. 10, 129–138. doi: 10.23947/2334-8496-2022-10-3-129-138

Crossref Full Text | Google Scholar

Suhaimi, H., Aziz, N. N., Ibrahim, E. N. M., and Isa, W. A. R. W. M. (2022). Technology acceptance in learning history subject using augmented reality towards smart mobile learning environment: case in Malaysia. J. Autom. Mob. Robot. Intell. Syst. 16, 20–29. doi: 10.14313/JAMRIS/2-2022/12

Crossref Full Text | Google Scholar

Sulisworo, D., Drusmin, R., Kusumaningtyas, D. A., Handayani, T., Wahyuningsih, W., Jufriansah, A., et al. (2021). The Science teachers' optimism response to the use of marker-based augmented reality in the global warming issue. Educ. Res. Int. 2021:7264230. doi: 10.1155/2021/7264230

Crossref Full Text | Google Scholar

Syahputri, D. (2019). The effect of multisensory teaching method on the students' reading achievement. Budapest Int. Res. Crit. Linguist. Educ. 2, 124–131. doi: 10.33258/birle.v2i1.192

Crossref Full Text | Google Scholar

Tanujaya, B., Prahmana, R. C. I., and Mumu, J. (2022). Likert scale in social sciences research: problems and difficulties. FWU J. Soc. Sci. 16, 89–101. doi: 10.51709/19951272/Winter2022/7

Crossref Full Text | Google Scholar

Thakur, N., and Sulaiman, Z. K. (2024). A study on the influence of social media on forming the social skills among adolescents. Tuijin Jishu J. Propuls. Technol. 45, 554–570. doi: 10.20944/preprints202409.1997.v1

Crossref Full Text | Google Scholar

Thangavel, S., Sharmila, K., and Sufina, K. (2025). Revolutionizing education through augmented reality (AR) and virtual reality (VR): innovations, challenges and future prospects. Asian J. Interdiscip. Res. 8, 1–28. doi: 10.54392/ajir2511

Crossref Full Text | Google Scholar

Thanya, R. (2025). AR vs. VR in education: a comparative study of their impact on academic learning. Bodhi Int. J. Res. Hum. Arts Sci. 9, 81–88. doi: 10.64938/bijri.v9n4.25.JL045

Crossref Full Text | Google Scholar

The Sword of Damocles (virtual reality) (2024). In Wikipedia. San Francisco, CA. Available online at: https://en.wikipedia.org/wiki/The_Sword_of_Damocles_(virtual_reality)

Google Scholar

Theodorio, A. O., Waghid, Z., and Wambua, A. (2024). Technology integration in teacher education: challenges and adaptations in the post-pandemic era. Discov. Educ. 3:242. doi: 10.1007/s44217-024-00341-1

Crossref Full Text | Google Scholar

Tiede, J., Grafe, S., and Mangina, E. (2022). “Teachers' attitudes and technology acceptance towards AR apps for teaching and learning,” in 2022 8th International Conference of the Immersive Learning Research Network (iLRN), Teachers' attitudes and technology acceptance towards AR apps for teaching and learning (Vienna: IEEE Xplore), 1–8.

Google Scholar

Tipton, E. (2013). Stratified sampling using cluster analysis: a sample selection strategy for improved generalizations from experiments. Eval. Rev. 37, 109–139. doi: 10.1177/0193841X13516324

PubMed Abstract | Crossref Full Text | Google Scholar

Tondeur, J., Van-de Velde, S., Vermeersch, H., and Van-Houtte, M. (2016). Gender differences in the ICT profile of University students: a quantitative analysis. J. Divers. Gender Stud. 3, 57–77. doi: 10.11116/jdivegendstud.3.1.0057

Crossref Full Text | Google Scholar

Toyama, M., and Hori, T. (2025). Technology-enhanced multimodal approaches in classroom L2 pronunciation training. Front. Educ. 10:1552470. doi: 10.3389/feduc.2025.1552470

Crossref Full Text | Google Scholar

Tripathy, M. K., and Panda, B. N. (2021). Adaptability and awareness of augmented reality in teacher education. Educ. Quest Int. J. Educ. Appl. Soc. Sci. 12, 107–114. doi: 10.30954/2230-7311.2.2021.7

Crossref Full Text | Google Scholar

Turan, Z., Meral, E., and Sahin, I. F. (2018). The impact of mobile augmented reality in geography education: achievements, cognitive loads, and university students' views. J. Geogr. High. Educ. 42, 427–441. doi: 10.1080/03098265.2018.1455174

Crossref Full Text | Google Scholar

Turhan, M. E., Metin, M., and Çevik, E. E. (2022). A content analysis of studies published in the field of augmented reality in education. J. Educ. Technol. Online Learn. 5, 243–262. doi: 10.31681/jetol.925340

Crossref Full Text | Google Scholar

Tzima, S., Styliaras, G., and Bassounas, A. (2019). Augmented reality applications in education: teachers point of view. Educ. Sci. 9:99. doi: 10.3390/educsci9020099

Crossref Full Text | Google Scholar

Uderbayeva, N., Karelkhan, N., Zharlykassov, B., Radchenko, T., and Imanova, A. (2025). Developing future teachers' competences in IT and robotics using virtual and augmented reality: a study of teaching effectiveness. J. Techn. Educ. Train. 17, 119–132. doi: 10.30880/jtet.2025.17.01.010

Crossref Full Text | Google Scholar

Uygur, M., Yelken, T. Y., and Akay, C. (2018). Analyzing the views of pre-service teachers on the use of augmented reality applications in education. Eur. J. Educ. Res. 7, 849–860. doi: 10.12973/eu-jer.7.4.849

Crossref Full Text | Google Scholar

Vaida, S., and Pongracz, G. A. (2022). Mobile augmented reality applications in higher education. Educatia 21, 70–76. doi: 10.24193/ed21.2022.23.07

Crossref Full Text | Google Scholar

Ventrella, F. M., and Cotnam-Kappel, M. (2024). Examining digital capital and digital inequalities in Canadian elementary schools: Insights from teachers. Telemat. Inf. 86:102070. doi: 10.1016/j.tele.2023.102070

Crossref Full Text | Google Scholar

Wadkar, S. K., Singh, K., Chakravarty, R., and Argade, S. D. (2016). Assessing the reliability of attitude scale by Cronbach's alpha. J. Glob. Commun. 9, 113–117. doi: 10.5958/0976-2442.2016.00019.7

Crossref Full Text | Google Scholar

Wang, X., Young, G. W., Iqbal, M. Z., and Guckin, C. M. (2024). The potential of extended reality in rural education's future–perspectives from rural educators. Educ. Inf. Technol. 29, 8987–9011. doi: 10.1007/s10639-023-12169-7

Crossref Full Text | Google Scholar

Weng, C., Otanga, S., Christianto, S., and Chu, R. (2020). Enhancing student's biology learning by using augmented reality as a learning supplement. J. Educ. Comput. 58, 747–770. doi: 10.1177/0735633119884213

Crossref Full Text | Google Scholar

Wijnen, F., Molen, J. W. V. D., and Voogt, J. (2023). Primary school teachers' attitudes toward technology use and stimulating higher-order thinking in students: a review of the literature. J. Res. Technol. Educ. 55, 545–567. doi: 10.1080/15391523.2021.1991864

Crossref Full Text | Google Scholar

Wojciechowski, R., and Cellary, W. (2013). Evaluation of learners' attitude toward learning in ARIES augmented reality environments. Comput. Educ. 68, 570–585. doi: 10.1016/j.compedu.2013.02.014

Crossref Full Text | Google Scholar

Wu, H. K., Lee, S. W. Y., Chang, H. Y., and Liang, J. C. (2013). Current status, opportunities and challenges of augmented reality in education. Comput. Educ. 62, 41–49. doi: 10.1016/j.compedu.2012.10.024

Crossref Full Text | Google Scholar

Wyss, C., and Bäuerlein, K. (2024). Augmented reality in the classroom—mentor teachers' attitudes and technology use. Virtual Worlds 3, 572–585. doi: 10.3390/virtualworlds3040029

Crossref Full Text | Google Scholar

Wyss, C., Degonda, A., Buhrer, W., and Furrer, F. (2022). The impact of student characteristics for working with AR technologies in higher education-findings from an exploratory study with Microsoft HoloLens. MDPI 13:112. doi: 10.3390/info13030112

Crossref Full Text | Google Scholar

Yaneva, V., Clauser, B. E., Morales, A., and Paniagua, M. (2022). Assessing the validity of test scores using response process data from an eye-tracking study: a new approach. Adv. Health Sci. Educ. 27, 1401–1422. doi: 10.1007/s10459-022-10107-9

PubMed Abstract | Crossref Full Text | Google Scholar

Youm, S., Jung, N., and Go, S. (2024). GPS-induced disparity correction for accurate object placement in augmented reality. Appl. Sci. 14:2849. doi: 10.3390/app14072849

Crossref Full Text | Google Scholar

Zhu, G., and Chen, M. (2022). Positioning preservice teachers' reflections and I-positions in the context of teaching practicum: a dialogical-self theory approach. Teach. Teach. Educ. 117:103734. doi: 10.1016/j.tate.2022.103734

Crossref Full Text | Google Scholar

Zuo, R., Wenling, L., and Xuemei, Z. (2025). Augmented reality and student motivation: a systematic review (2013–2024). J. Comput. Sci. Math. Learn. 2, 38–52. doi: 10.70232/jcsml.v2i1.23

Crossref Full Text | Google Scholar

Zuo, T., Hu, J., Spek, E. V., and Birk, M. (2024). “Understanding the effect of fantasy in augmented reality game-based learning from a player journey perspective,” in CHCHI '23: Proceedings of the Eleventh International Symposium of Chinese CHI (New York: Association for Computing Machinery, Inc), 55–60.

Google Scholar

Keywords: attitudes, augmented reality, behaviors, Indian educators, perceptions

Citation: Bhattacharya S, Sau A, Bera P, Sardar C, Chaudhuri S and Thakur N (2025) Exploring Indian educators' perceptions, attitudes, and behaviors regarding augmented reality applications in school settings: a comprehensive mixed-methods study. Front. Educ. 10:1655843. doi: 10.3389/feduc.2025.1655843

Received: 28 June 2025; Accepted: 30 September 2025;
Published: 25 November 2025.

Edited by:

Amna Mirza, University of Delhi, India

Reviewed by:

Arti Prihatini, Universitas Muhammadiyah Malang, Indonesia
Nurul Fathihah Nor Azhar, International Languages Teacher Training Institute, Malaysia

Copyright © 2025 Bhattacharya, Sau, Bera, Sardar, Chaudhuri and Thakur. This is an open-access article distributed under the terms of the Creative Commons Attribution License (CC BY). The use, distribution or reproduction in other forums is permitted, provided the original author(s) and the copyright owner(s) are credited and that the original publication in this journal is cited, in accordance with accepted academic practice. No use, distribution or reproduction is permitted which does not comply with these terms.

*Correspondence: Nabin Thakur, bmFiaW50aGFrdXJAZ21haWwuY29t

Disclaimer: All claims expressed in this article are solely those of the authors and do not necessarily represent those of their affiliated organizations, or those of the publisher, the editors and the reviewers. Any product that may be evaluated in this article or claim that may be made by its manufacturer is not guaranteed or endorsed by the publisher.