ORIGINAL RESEARCH article
Front. Energy Res.
Sec. Solar Energy
Long-term seasonal and interannual performance of a residential photovoltaic system in a temperate continental climate
Provisionally accepted- Transilvania University of Brașov, Brasov, Romania
Select one of your emails
You have multiple emails registered with Frontiers:
Notify me on publication
Please enter your email address:
If you already have an account, please login
You don't have a Frontiers account ? You can register here
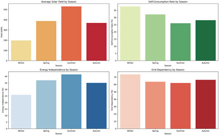
This study presents a comprehensive performance evaluation of a residential photovoltaic (PV) system located in Târlungeni, Brașov County, Romania, monitored over a 29-month period from January 2023 to May 2025. The 6.48 kWp system comprises 16 Canadian Solar HiKu6 Mono PERC 405W modules (module efficiency 20.7%) configured in an East-West orientation and connected to a Huawei SUN2000-5KTL-M0 inverter (maximum efficiency 98.4%). The analysis focuses on seasonal variations and interannual trends in energy production, self-consumption rates, and grid dependency patterns. Data extracted from the Huawei FusionSolar energy management platform reveals a significant increase in solar yield from 47.18 kWh in January 2023 (during the system commissioning phase with partial operational period) to 286.76 kWh in January 2025, reflecting full system maturity. Seasonal patterns show peak solar production of 654.83 kWh in August 2023, with substantial monthly variation driven by climate dynamics typical of temperate continental regions. The self-consumption rate averaged 27-36% across the monitoring period, while energy independence levels ranged from 17-22% in winter months to 50-58% in summer months. Grid dependency followed inverse patterns, with winter months requiring 77-82% grid import versus 42-48% in summer. The coefficient of variation for monthly solar yield was 52%, reflecting high seasonal variability characteristic of the temperate continental climate. These findings provide valuable insights for residential PV system planning in temperate continental climates.
Keywords: residential photovoltaic system1, solar energy performance2, self-consumption rate3, energy independence4, seasonal and interannual variation5, temperate continental climate5
Received: 06 Oct 2025; Accepted: 10 Nov 2025.
Copyright: © 2025 Vutoiu, Tabacaru, Beschea, Nastase, Dragomir, Brezeanu, Campean and Lodor. This is an open-access article distributed under the terms of the Creative Commons Attribution License (CC BY). The use, distribution or reproduction in other forums is permitted, provided the original author(s) or licensor are credited and that the original publication in this journal is cited, in accordance with accepted academic practice. No use, distribution or reproduction is permitted which does not comply with these terms.
* Correspondence: Beatrice Georgiana Vutoiu, beatrice.vutoiu@unitbv.ro
Disclaimer: All claims expressed in this article are solely those of the authors and do not necessarily represent those of their affiliated organizations, or those of the publisher, the editors and the reviewers. Any product that may be evaluated in this article or claim that may be made by its manufacturer is not guaranteed or endorsed by the publisher.
