ORIGINAL RESEARCH article
Front. Environ. Sci.
Sec. Land Use Dynamics
This article is part of the Research TopicNew Insights and Advancement of Land Use Analytics in Modern City DevelopmentView all 13 articles
Geo-temporal Analysis of Land Use Dynamics in the Dolphin Coast, KwaZulu-Natal, South Africa, Using RapidEye and PlanetScope Imagery
Provisionally accepted- University of KwaZulu-Natal, Disciplines of Geography, Durban, South Africa
Select one of your emails
You have multiple emails registered with Frontiers:
Notify me on publication
Please enter your email address:
If you already have an account, please login
You don't have a Frontiers account ? You can register here
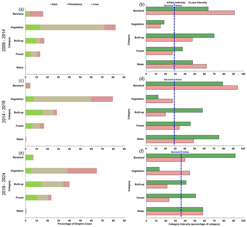
Land use and land cover (LULC) in the Dolphin Coast of South Africa has undergone substantial transformation over the years, driven by increasing human activity and environmental pressures. Monitoring these changes in a complex coastal landscape is challenging; however, advances in high-resolution satellite imagery and cloud-based platforms have enabled detailed temporal assessments. This study used RapidEye and PlanetScope imagery, classified using the Random Forests algorithm within Google Earth Engine (GEE), to map five LULC categories: built-up, bareland, forest, vegetation, and water. The classification achieved overall accuracies between 88% and 95% at individual time points, indicating strong agreement between predicted and reference data for each respective time point. In addition to multi-temporal classification, we applied a structured change analysis to quantify land transitions, examining the components of quantity, exchange, and shift. Results revealed dominant transitions such as vegetation to built-up (9.0 km2), bareland to built-up (3.6 km2), and vegetation to forest (5.6 km2). Built-up areas consistently gained over time, while vegetation experienced both gains and substantial losses. The findings offer a clear trajectory of land cover dynamics and highlight the importance of spatially explicit change metrics for understanding patterns of landscape transformation. These results provide evidence-based insights that can guide policymakers and planners in designing sustainable land-use frameworks, controlling unplanned urban expansion, and protecting ecologically sensitive coastal zones.
Keywords: Land use and Land cover change, PlanetScope, RapidEye, Random forests, Dolphin Coast
Received: 02 Jun 2025; Accepted: 21 Oct 2025.
Copyright: © 2025 Nxumalo, Nzimande and Xulu. This is an open-access article distributed under the terms of the Creative Commons Attribution License (CC BY). The use, distribution or reproduction in other forums is permitted, provided the original author(s) or licensor are credited and that the original publication in this journal is cited, in accordance with accepted academic practice. No use, distribution or reproduction is permitted which does not comply with these terms.
* Correspondence: Nzuzo Nxumalo, nzuzonxumalo06@gmail.com
Disclaimer: All claims expressed in this article are solely those of the authors and do not necessarily represent those of their affiliated organizations, or those of the publisher, the editors and the reviewers. Any product that may be evaluated in this article or claim that may be made by its manufacturer is not guaranteed or endorsed by the publisher.
