- 1School of Public Affairs, Zhejiang University, Hangzhou, China
- 2Centre for Development and Environment, University of Bern, Bern, Switzerland
Grassroots governments’ low-carbon policies play a pivotal role in shaping the overall performance of the low-carbon transition. Understanding their behavioral logic within China’s multi-level and polycentric governance system is therefore essential for advancing local transitions. This study develops a quadripartite evolutionary game (QEG) model involving municipal governments (MGs), county governments (CGs), township governments (TGs), and enterprises under two governance settings: the pre-pilot routine (PR) and the low-carbon pilot of “municipality-controlled townships” (LPMT). The model examines the determinants of TGs’ low-carbon policy choices under different incentive–constraint configurations. Simulations show that TGs prioritize county-level rewards/punishments and environmental performance metrics in policy decisions under PR, while focus more on municipal-level regulatory probability, intensity, and rewards/punishments under LPMT. The pilot system effectively mitigates the erosion of incentives and constraints under PR. Under identical parameter configurations, the choice of policy in LPMT is more likely to achieve a stable strategic equilibrium between TGs’ choice of incentive policies and enterprises’ active abatement. Conversely, it is easy to fall into the prisoner’s dilemma of punitive policies by TGs and passive emission reduction by enterprises under PR. By capturing the strategic interactions underlying grassroots policy choices within a polycentric governance framework, this study provides novel insights into how incentive–constraint mechanisms can be optimized to strengthen local governments’ motivation for low-carbon transition.
1 Introduction
To address the multifaceted challenges of global climate change, low-carbon development in emerging economies has become increasingly critical. As a nation renowned for its “Chinese miracle,” China has achieved rapid urbanization and industrialization while confronting significant ecological and environmental pressures (Primack, 2021; Xu and Li, 2023). To advance its low-carbon transition, China has implemented a comprehensive low-carbon pilot program spanning provincial, municipal, county, and township levels, with the aim of ‘reaching carbon peak by 2030 and achieving carbon neutrality by 2060’ (Zeng et al., 2023).
Within China’s vertical governance system, township governments—the lowest administrative tier and final policy executors—play a decisive role in meeting these dual carbon targets (Zhou, 2008). Their actions are shaped by the country’s distinctive political and administrative arrangements (Liu et al., 2020). The concept of polycentric governance, which describes systems in which multiple decision-making units possess some autonomy yet remain interconnected through cooperation, coordination, or conflict (Ostrom, 2010; Pahl-Wostl and Knieper, 2014), provides a valuable lens for examining such arrangements.
Comparative experience underscores the diversity of local autonomy across national contexts. In the United States, local governments enjoy considerable discretion in adopting low-carbon policies; in Germany, policy design is more responsive to public demand; whereas in Australia and other settings, low-carbon policies are often subject to capture by elite groups. By contrast, Chinese local governments, uniquely, navigate their low-carbon policy choices within a special institutional context. The existing literature, however, primarily interprets these arrangements through the interplay of centralization and decentralization reinforced by assessment-based incentives and constraints, a framework widely used to explain local government behavior since the reform and opening-up era (Cao, 2021). Administrative decentralization grants local governments discretion over public affairs (Qian and Xu, 1993), while political centralization maintains the principle of “command from above, implementation from below.” The higher-level government retains authority over the appointment, assessment, and supervision of the lower-level bureaucrats (Li and Zhou, 2005; Kong and Liu, 2023). Through goal-oriented management, they set policy targets, allocate fiscal resources, and drive strategy implementation via incentive and constraint mechanisms. The synergy between “administrative decentralization and political centralization” and “assessment-based incentives and constraints” is widely regarded as a core driver of China’s rapid economic growth over the past four decades (Shen and Fu, 2005; Qian et al., 2006; Gong et al., 2021).
However, due to limited government attention, local authorities’ prioritization of strong-incentive issues1 like economic development has led to neglect in weak-incentive governance areas such as agriculture, environment, healthcare, and low-carbon initiatives, as these typically fail to yield immediate economic results (Du and Yi, 2021). This has perpetuated a behavioral logic among local governments that “prioritizes development over protection,” and leading to environmental degradation, air pollution, and other challenges (Wang and Lei, 2020). Currently, grassroots governments adopt two primary approaches in low-carbon governance: (1) incentive-based tools (e.g., subsidies and tax preference) to encourage corporate emission reductions, and (2) punitive measures (e.g., excess-emission fines and production suspensions) to raise compliance costs. Punitive measures can rapidly achieve short-term emission cuts by compelling compliance, whereas incentive policies foster long-term corporate engagement for win-win outcomes (Zhang et al., 2021). Yet, as low-carbon affairs contribute limitedly to economic growth in the short term and are difficult to demonstrate political performance, leading economic management affairs to crowd out low-carbon affairs in certain jurisdictions. Many grassroots officials perceive low-carbon governance as “essential to discuss, secondary to act on, and nonessential when preoccupied with other priorities.” Consequently, they frequently divert limited budgetary resources away from support of low-carbon transformation, instead favoring high-energy-consuming, high-emission industries and traditional tax-based enterprises, often at the expense of green growth and efficiency (Liu et al., 2024).
Systemic breakthroughs in institutions are key to transforming low-carbon governance. By 2018, public affairs with “strong constraints,” such as food security and education—closely tied to national security—began receiving greater attention (Chen et al., 2018). Recent studies suggest that developing tailored incentive and constraint systems for specific governance domains, such as agricultural affairs, has reshaped the behavior of local governments - particularly at the grassroots level, mitigating long-standing neglect of issues with weak incentives (constraints) (Gong et al., 2023). Amidst the rising importance of green transformation, recent years have seen central and local governments progressively enhance the directed incentives (constraints) for low-carbon governance,2 including making low-carbon performance a key criterion for fiscal subsidies or officials’ accountability for grassroots governments. Increased emphasis on low-carbon assessments has prompted multiple levels of government to allocate more resources to low-carbon initiatives, shifting from a passive “wanting me to be low-carbon” mindset to proactive engagement. This evolution helps overcome institutional barriers to green development in the new era. Therefore, analyzing the logic behind grassroots governments’ low-carbon policy tool selection within the vertical governance system is of great practical significance.
The LPMT offers a valuable case for examining how top-down command-and-control mechanisms and grassroots–enterprise interactions shape low-carbon policy choices. In the PR setting, low-carbon tasks were delegated through administrative tiers, with MGs funding TGs via CGs. TG performance was embedded in routine county-level evaluations, often producing weak incentives due to insufficient assessment and funding. By contrast, the LPMT establishes direct connections between MGs and TGs in areas such as carbon emissions monitoring and digital management, enabling MGs to directly assess pilot townships and strengthen their low-carbon capacity. Policy documents highlight two primary objectives of the pilot: increasing fiscal support for townships and reinforcing assessment mechanisms. This dual approach seeks to drive low-carbon transformation while generating demonstration effects at the grassroots level. From a vertical governance perspective, optimizing incentive–constraint structures in such pilots provides a useful framework for evaluating the cost–benefit balance of different policy tools.
Existing research has primarily examined the indifference of local governments to low-carbon affairs within the context of pilots, these studies mainly focus on provincial and municipal levels. For instance, some studies emphasize climate initiatives aimed at reducing carbon emissions at these higher levels, showcasing their positive impact on promoting local green economic development and improving carbon emission efficiency (Cheng et al., 2019; Liu et al., 2022; Zhang et al., 2022; Zeng et al., 2023). Other research highlights the benefits of provincial and municipal low-carbon pilots, such as advancing industrial structure upgrading, optimizing energy structures, and fostering green technology innovation (Zheng et al., 2021; Lee et al., 2022; Yao et al., 2021). However, there remains a gap in the literature regarding the performance of grassroots governments in executing low-carbon functions and the underlying logic behind their policy tool selection within weak incentives (constraints) low-carbon pilot contexts. Few studies adopt the low-carbon pilot of “municipality-controlled township” as a framework for analyzing policy tool selection, leaving the structural interrelationships among stakeholders in low-carbon governance insufficiently explored.
This study applies a policy simulation approach based on Evolutionary Game Theory to explain why grassroots governments choose specific low-carbon policy tools and how these tools influence enterprise efficiency and flexibility in emission reduction within a polycentric governance structure. It addresses two main questions: (1) How do grassroots governments select low-carbon policy tools under “weak incentives and constraints” conditions? (2) How do top-down mechanisms and grassroots–enterprise interactions influence these selections? The study’s contributions are threefold. First, it systematically examines intergovernmental and government–enterprise relationships in both PR and LPMT contexts, providing new insights into grassroots low-carbon governance in China. Second, it introduces a QEG model into local government policy research, enriching the methodological toolkit and offering a fresh perspective on policy behavior. Third, by comparing the evolutionary trajectories of policy choices in PR and LPMT, it validates the pivotal role of target-based incentives in governing local public affairs.
The remainder of this paper is structured as follows. Section 2 outlines the institutional background of LPMT and the analytical framework. Section 3 develops two QEG models. Section 4 conducts simulation analysis of key parameters. Section 5 discusses the findings. Section 6 presents conclusions and policy recommendations.
2 Institutional background and theoretical framework
2.1 Institutional background of the LPMT
Since China promulgated the Constitution in 1982, the county-level township system has been the dominant form of local government. However, some scholars argue that its operation has deviated from its original goal of incentivizing or regulating lower-level governments to promote low-carbon transformation (Zhang and Zhong, 2022). In the 1990s, China halted the reform of county-township relations to streamline administration and decentralize power, weakening political centralization at the township level.3 Meanwhile, administrative decentralization continued to prioritize economic issues, leading to a chronic shortage of financial resources at the grassroots level (Li and Wang, 2020). In particular, MGs often intercept county-level fiscal resources, leaving TGs dependent on expanded economic management powers to generate short-term revenues. This dynamic has led many TGs to facilitate the establishment of highly polluting and high-emission enterprises. TGs also rely on fiscal support from CGs to sustain local enterprises and fund public services, neglecting the low-carbon transition.
Nevertheless, MGs and CGs retain discretion over low-carbon issues, with TGs responsible only for implementation. The GDP-first and tax-revenue-first approaches create dual political and economic incentives that affect the capacity of grassroots governments for socio-economic transformation (Whiting, 2006; Tang et al., 2021). In addition, the low-carbon transition poses short-term fiscal challenges, including revenue losses from enterprise closures and increased costs of technology innovation. These initiatives can also serve as evaluation criteria for civil servants, where poor performance could damage the government’s reputation and civil servants’ career prospects. As a result, CGs often create information asymmetries between MGs and TGs to avoid punitive measures such as closures, which could further impact local tax revenues. Since the National Climate Change Plan (2014–2020), China has gradually implemented the low-carbon pilot management system for townships under municipal control to address these challenges. This system has adjusted evaluation mechanisms and incentives for low-carbon affairs.
According to the guidelines the provincial and prefectural governments issued, the low-carbon pilot focuses primarily on establishing direct links between MGs and TGs in areas such as low-carbon industrial planning and clean energy application. Municipal leaders and relevant departments bypassed the CG and restructured the traditional three-tier system into a two-tier system of “municipality-county and township.” They assigned low-carbon tasks to CGs, selected pilot townships, and evaluated performance based on specific indicators. Low-carbon issues in TGs represent a mix of administrative decentralization and political re-centralization. These reforms theoretically give TGs discretion in managing low-carbon affairs, increasing political oversight and direct evaluation and reducing collusion between CGs and TGs.
2.2 Theoretical analysis and mechanism design
2.2.1 Theoretical analysis: low-carbon transformation under targeted incentives
Low-carbon governance examines interactions between social and ecological processes across multiple timescales and locations, applying this understanding to inform policy design. Because these interactions often span administrative and sectoral boundaries, polycentric governance approaches enable scientists and policymakers to facilitate sustainable transitions by engaging diverse stakeholders. By contrast, governance mechanisms confined to a single domain—whether central government agencies or grassroots communities—risk overlooking the autonomy of other actors who play a critical role in carbon reduction (Nagendra and Ostrom, 2012). In multi-level, interconnected systems, successful sustainability transitions depend on coordinated governance across domains, necessitating a high degree of polycentricity (Galaz et al., 2012).
Polycentric governance provides a robust analytical framework for understanding and shaping complex governance systems (Ostrom, 2010; 2011). In China’s low-carbon pilot programs, TGs operate within an institutional environment characterized by both centralized authority and local discretion. Recent expansions of local autonomy, combined with direct performance assessments, have reshaped the incentive structures influencing TGs’ policy choices. However, because these assessments often prioritize economic growth, they generate ambiguous signals for low-carbon initiatives. Consequently, despite the availability of multiple policy instruments for economic development, low-carbon governance frequently remains secondary, marked by limited incentives and weak constraints. Understanding TGs’ policy choices thus requires examining two interrelated dimensions.
First, within the vertical governance system, evaluations of economic growth are complemented by targeted incentives or constraints aimed at reshaping grassroots governments’ behavior. With increasing autonomy, local governments employ targeted incentives to integrate previously neglected objectives into low-carbon assessments, addressing both political and economic considerations. Politically, higher-level governments have transformed traditional assessment-driven incentives, while local governments use low-carbon performance evaluations and pilot demonstrations to encourage prioritization of green initiatives. Economically, stronger policy preferences and targeted fiscal allocations from higher levels support TGs in upgrading low-carbon technologies and restructuring industries. By layering low-carbon objectives onto traditional economic assessments, these incentives, combined with enhanced capacity from political centralization and administrative decentralization, improve governance efficiency, reconcile development with environmental protection, and enable multi-dimensional policy coordination.
Second, regarding the low-carbon policy toolbox, careful selection between incentive-based and regulatory instruments is essential. TGs can encourage emission reductions through fiscal subsidies or enforce compliance using regulatory measures that impose costs on non-compliant enterprises. Misalignment in tool selection may lead MGs and central governments to fail in controlling emissions, due to imbalances between costs and benefits, potentially undermining market vitality. This tension underscores the importance of deliberate policy tool design, as collective action dilemmas among stakeholders further constrain governance efficiency and introduce uncertainties. To mitigate these risks, higher-level governments must regulate institutional frameworks and guide TGs in balancing the selection and implementation of policy instruments.
2.2.2 Mechanism design: selection of low-carbon policy tools
This paper introduces a multi-stakeholder action situation in which low-carbon governance is divided into two types: the LPMT situation and the PR situation (Figure 1). Traditional bureaucratic models struggle to provide effective solutions to environmental problems. In this context, the strategic use of policy tools by local governments becomes crucial, as they act as the primary implementers of low-carbon governance for both higher-level governments and enterprises.
In the LPMT situation, the MG directly delegates the low-carbon governance task to TG. In contrast, the CG mainly manages TG’s day-to-day affairs in addition to low-carbon issues. The MG takes the lead in supervising the low-carbon work of TG and must evaluate and diagnose the progress of the pilot through unscheduled inspections and other methods, as well as adopt the form of acceptance to listen to and summarize the pilot experience of the TG. The discrepancy in the top-down regulatory approach entails various transaction costs for MGs, which must pay for communication and negotiation.
In this regard, TGs need to weigh and synergize between environmental protection, political reputation and economic benefits, thereby opting for incentive or punitive tools, as these effectively reduce the collective action dilemma of free riding and subject shirking. If the former is chosen, the TG may receive special funds and bonus subsidies from MG and CG. Still, there is also a risk of expanding expenditures within the fiscal budget, which may cause short-term fluctuations in the local economy and its assessment results. If the latter is selected, the TG may reduce expenditure but may quickly lose its reputation and continue the tradition of collusion between government and enterprises.
Enterprises are key implementers of the government’s emission reduction strategies but face the soft constraint of maximizing profits. Enterprises may reduce high-energy equipment, upgrade energy-saving technologies, or install photovoltaic systems to promote green production, all of which require significant initial investment. However, they can later recover some of these costs through government tax rebates, subsidies, and rewards for high-tech enterprises. Alternatively, enterprises may resist government emission strategies, saving costs but risking penalties or shutdowns for excessive emissions. Over time, they may face market obsolescence or tax hikes. Regardless of their choice, the resulting fiscal revenue and environmental protection outcomes contribute to the political achievements of governments at all levels. The difference lies in how enterprises reduce emissions: their positive impact can generate a pilot demonstration effect sought by MG. However, if enterprises fail to reduce pollution, it could harm the social reputation and legitimacy of the MG.
CGs are tasked with assessing the performance of TGs concerning other matters in the LPMT situation and come under the supervision of MGs. Because of the ‘hard constraints’ imposed by the political and administrative system, CGs can incentivize TGs and enterprises to act responsibly by granting additional county-level fiscal subsidies and exceptional funding support. Once the CG sidelined low-carbon affairs, and as the economic development task grew in priority, the assessment requirements for the completion of low-carbon tasks in TGs were relaxed, and excessive corporate pollution was even ignored.
In the PR situation, the goals of the four actors diverge from those in the LPMT situation. First, the MG is both the agent that takes on the task and the principal that issues the task. It is chiefly responsible for assessing the county-level low-carbon governance tasks and providing fiscal budget support. Second, the CG’s degree of seriousness about low-carbon governance derives from the attitude of the MG, and it conducts daily evaluations and assessments of the effectiveness of low-carbon transformation at the township level accordingly. Finally, the TG is the ultimate agent that takes on the task and is directly assessed by the CG. Suppose low-carbon governance does not constitute a pilot task. In that case, the goal is to convey, issue and implement tasks, rather than focusing on low-carbon transformation to generate actual environmental benefits.
3 Construction and stability analysis of evolutionary game models
Evolutionary game analysis is a theoretical analysis method that assumes bounded rationality and incomplete information, examining the process of actor strategy changes and evolutionary trends by constructing mathematical models such as replicative dynamic equations. It has significant advantages in analyzing the formation mechanism of social norms and institutions and the influencing factors of different behavioral strategies (Pan et al., 2015; Qi and Yang, 2020; Chu et al., 2022; Tang et al., 2025). Considering the bounded rational characteristics and information asymmetry in the selection of low-carbon policy tools by TG, this article attempts to establish an evolutionary game model for the selection of policy tools by TG in PR and LPMT, simulate low-carbon strategies of TG with different incentive and constraint relationships, and clarify the main influencing factors of low-carbon policy tool selection by TG.
3.1 Problem description, model assumptions, and construction
Based on research examples, the study assumes that the MG, CG, TG, and enterprises in low-carbon governance are individuals with bounded rationality and learning abilities aiming to maximize their interests, and they are all under incomplete information. In the game process, they correspond to the strategy sets of {strict supervision, loose supervision}, {emphasis on low-carbon, neglect of low-carbon}, {incentive policies, punitive policies}, and {active emission reduction, passive emission reduction}, respectively. The two strategies within each entity are mutually exclusive and constantly change according to their cost-benefit changes. The probabilities of strict supervision by MG, emphasis on the pilot by CG, incentive policies adopted by TG, and active emission reduction by enterprises are x, y, z, and m, respectively, where x, y, z, m ∈ [0,1], all of which are functions of time. Therefore, the game system of low-carbon policy tool selection of TG under the LPMT and the PR is constructed, respectively.4
By constructing the quadripartite game income matrix,5 calculating the income function for the different strategies of each subject, and combining the principle of the Malthusian equation, the replication dynamic equations of four subjects are obtained, and the replication dynamic system of policy tool selection of TG in LPMT is established (Equation 1):
Similarly, the replication dynamic system in PR can be obtained (Equation 2):
3.2 Stability analysis of policy tool selection by TGs
Derivation of the replication dynamic equations reveals distinct factors influencing TGs’ low-carbon policy choices under LPMT versus PR (Table 1). Specifically, differentiating the replication dynamic equation for the LPMT: F′(z)=(1 - 2z){CT2 - CT1 + (1 - d)(1 - m)[xFT - (1-e2)FE] + (d + m - dm)[(a + x - ax)BT1 - BE] + m(b + y - by)BT2 + (m - 1)e2f2P2}. Furthermore, according to the stability theorem of differential equations, it can be deduced that as the probability of strict supervision by MG increases, the probability of emphasis on low-carbon by CG increases, and the TG tends to choose incentive policies. On the contrary, if the MG loses supervision and the CG neglects low-carbon, the stability strategy of the TG will be a punitive policy. Similarly, in the PR, as the probability of strict supervision by MG decreases, TG will shift from incentive policies to punitive policies.
4 Simulation analysis
Simulation analysis is an analytical method that simulates the evolution trend of a system through computer modelling. It focuses on revealing the dynamics of change and providing decision-making references for the evolution trend. In the game system of policy tool selection, simulation analysis methods can explore whether, how, and to what extent the strategies of higher-level governments and policy targets affect the policy tool selection of TG.
4.1 Initial parameter setting and simulation
Due to their forward-looking nature, China’s low-carbon town pilots have not yet been fully rolled out nationwide, primarily concentrating in cities within provinces such as Zhejiang and Guangdong. Considering that Hangzhou is not only one of China’s first low-carbon pilot cities but also a pioneer in LPMT, it possesses extensive pilot experience and mature institutional design in low-carbon initiatives. Therefore, this paper takes town A,6 one of Hangzhou’s first low-carbon pilot townships, as a case study. Based on field research data, the model variables are assigned, and a simulation analysis is conducted to examine the choice of low-carbon policy tools by local governments under different contexts. The selection of Town A as the research site was guided by the representativeness of the case and the credibility of the data. On the one hand, Town A is one of Hangzhou’s hubs for energy-intensive industries, where the local government has clear emission reduction targets, pressing needs, and tangible actions in its low-carbon pilot efforts. On the other hand, Town A has introduced a series of policy documents related to low-carbon initiatives, and the relevant data can be cross-verified with research materials to ensure objectivity and authenticity.
The study uses the identification of provincial-level “specialized, refined, distinctive, and innovative” SMEs as an exemplar to parameterize the model (Table 2). The main sources for the parameter values are policy documents, statistical yearbooks, and case studies. According to the policy documents related to the low-carbon township pilot and industrial transformation in town A, for enterprises recognized for the first time in the area, the MG will provide a one-time subsidy of no more than 200,000 yuan, the CG will provide a one-time subsidy of 300,000 yuan, and town A will provide a one-time reward of 100,000 yuan. Therefore, SE1, SE2, and BE will be assigned 20, 30, and 10, respectively. According to the recognition criteria, the annual R&D expenses of the enterprise should not be less than 1 million yuan, and the total yearly operating income should not be less than 10 million yuan. Based on the enterprise survey data, the cost CE of the low-carbon transformation of the enterprise is assigned a value of 360, and the profits P1 and P2 are assigned a value of 180 and 150, respectively. Additionally, based on the 2020 carbon-emission levels reported in the Statistical Yearbooks, h1 and h2 are set to 0.13 and 0.04, respectively. Parameter t was set to 0.15 based on local corporate income tax rates and their reduction quotas. Data from government official interviews revealed that the implementation costs of low-carbon policies for grassroots governments are typically in the range of 50,000–200,000 yuan. Considering that punitive policies often involve higher communication costs, CT1 and CT2 were provisionally assigned values of 5 and 10, respectively. In terms of government incentives, rewards from higher-level governments to lower-level governments for low-carbon governance were estimated by officials to frequently exceed 50,000 yuan. Given that TGs are the primary implementing entities and MG’s incentives for CGs are generally lower than for TGs, and referencing relevant policy documents, BT1, BT2, and BC were set to 15, 5, and 15, respectively. Regarding penalty mechanisms, fines imposed by higher-level governments on lower-level governments are typically lower than rewards, often around 50,000 yuan, thus FT and FT2 are both set to 5. According to the enterprise’s research data, after being evaluated, the annual carbon emissions of the surveyed enterprise decreased by about 1000 tons. Based on the market price of 100 yuan/ton in the carbon market, E is assigned a value of 10. For penalties, to avoid dampening enterprise activity, grassroots governments impose relatively small fines, so FE is set to 2. If production suspension is enforced, the typical duration is 2 weeks, hence n is set to 0.04. All other variable values are drawn from case studies, see Supplementary Appendix SA for details.
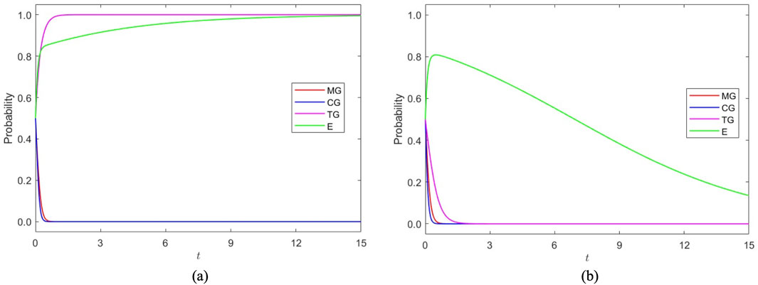
When the initial strategy value is set as [0.5,0.5,0.5,0.5], in the LPMT (Figure 2a), the CG takes the lead in neglecting low-carbon due to the low assessment weight and lack of incentives of the MG. Considering the increase in supervision cost and incentive expenditure, the MG has evolved into loose supervision. After the strategy of CG and MG is stable, TG gradually develops towards adopting incentive policy. Based on the principle of revenue maximization, enterprises quickly evolved towards active emission reduction when local government subsidies were high in the early stage, and the evolution speed slowed down as subsidies declined in the later stage. The system eventually approaches a stable state of (0,0,1,1) around t = 15. In the PR (Figure 2b), the MG evolved to loose supervision, the CG to neglect low-carbon, and the TG to adopt punitive policies. Due to changes in government subsidies and penalties, enterprises evolve from active emission reduction to passive emission reduction when t = 0.5, and the system finally approaches the stable state of (0,0,0,0) around t = 30. The initial strategy simulation shows that under the premise of the MG’s loose supervision and the CG’s neglect of the low-carbon, the LPMT can achieve the ideal stable state where TGs choose incentive policies and low-carbon enterprises actively reduce emissions, under certain conditions. Under the same conditions, low-carbon governance under PR quickly falls into the dilemma of government inaction and enterprises not reducing emissions.

Figure 2. Simulation of the initial strategy of the quadripartite game in the selection of policy tools by TG. (a) denotes the LPMT situation, (b) denotes the PR situation.
4.2 Subject’s initial strategy and TG’s policy tool selection
To explore the influence of different subject strategies on the selection of policy tools by TGs, this paper sets differentiated initial values for various subjects based on existing parameter assignments. It focuses on observing the evolution trend of policy tool selection strategies by TGs.
4.2.1 Initial strategy of municipal government
When the MG’s initial strategy is loose supervision, the TG tends to choose incentive policies in LPMT (Figure 3a). In contrast, it tends to choose punitive policies in PR (Figure 3c). When the MG’s initial strategy is strict supervision (Figures 3b,d), the TG’s policy tool selection system in LPMT finally achieves a stable equilibrium of (0,0,1,1). In contrast, the system converges toward (0,0,0,1) in PR, and the TG’s strategy selection lags behind that of the CG and enterprises.

Figure 3. Initial strategy and system evolution of MG, CG and enterprise. (a,b,e,f,i,j) denotes the LPMT situation; (e,d,g,h,k,l) denotes the PR situation.
4.2.2 Initial strategy of the county government
Similar to the MG, in the LPMT (Figures 3e,f), regardless of whether the initial strategy of the CG is to neglect or emphasize the low-carbon, the policy choice of the TG evolves into the incentive policy. The difference is that when the CG’s strategy emphasizes low-carbon, the system can achieve the ideal stable state of (0,1,1,1). In the PR (Figures 3g,h), as the initial strategy of the CG changes from neglecting the low-carbon to emphasizing the low-carbon, the strategy of the TG also changes from the stable policy of punishment to the unstable strategy. Meanwhile, the enterprise’s strategy changes from unstable to active emission reduction.
4.2.3 Initial strategy of the enterprise
From the perspective of the initial strategy of enterprises, compared with the LPMT (Figures 3h,i), the initial strategy of enterprises has a more significant impact on the choice of policy tools of the TG in the PR (Figures 3j,k). In the LPMT, when the initial strategy of the enterprise is active emission reduction, the system finally achieves the ideal stable equilibrium of (0,0,1,1). In the PR, when the initial strategy of the enterprise is passive emission reduction, the system finally reaches a stable state of (0,0,0,0).
4.3 Parameter change and system evolution
With other parameters unchanged, the study systematically simulates the influence of policy cost and other factors on the strategy selection of different agents by adjusting the assignment of individual parameters.
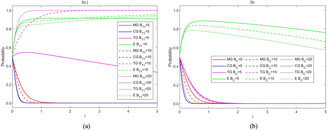
BE is one of the main costs for TG when choosing the incentive policy. When the reward is reduced to 5, the TG in the LPMT stabilizes to the incentive policy at t = 0.5 (Figure 4a). In contrast, in the PR, the incentive policy changes to the punitive policy at t = 5 (Figure 4b). However, when the reward is increased to 20 and 40 because the reward exceeds the limit of the TG, the strategies of the TG evolve to punitive policies in both situations. Companies are gradually switching to passive emission reduction. It can be seen that setting the differentiated reward amount according to the financial capacity of the TG is conducive to achieving the ideal stable state of the system faster and improving the overall efficiency of the system. Suppose the number of incentives is increased unconditionally beyond the financial capacity of the TG. In that case, it will lead to a chain reaction of strategy changes between the subjects, which is not conducive to the development of local low-carbon governance.

Figure 4. Effect of BE changes on the system. (a) denotes the LPMT situation, (b) denotes the PR situation.
BT1 and BC represent the incentives the MG provided to the TG in LPMT and the CG in PR. The simulation results show that when BT1 is reduced, the strategy stability time of incentive policy selection is delayed, and there is a possibility of evolution to punitive policy due to insufficient incentive. When BT1 is added, the four types of agent strategies and their evolution trends do not change significantly compared to the baseline state (Figure 5a). Under the same parameter setting, increasing or decreasing BC does not considerably change the strategies of the different agents compared to the initial scenario, but increasing rewards helped to advance the time when the system approached stability (Figure 5b). In general, in the LPMT, BT1 can significantly affect the choice of policy tools and the time to reach the stabilization strategy of TG. Under PR, increasing incentives to CG within the affordable range of MG is temporarily challenging to help TG and enterprises out of the locking effect of punitive policies and passive emission reduction.

Figure 5. Effects of BT1 and BC changes on the system. (a) denotes the LPMT situation, (b) denotes the PR situation.
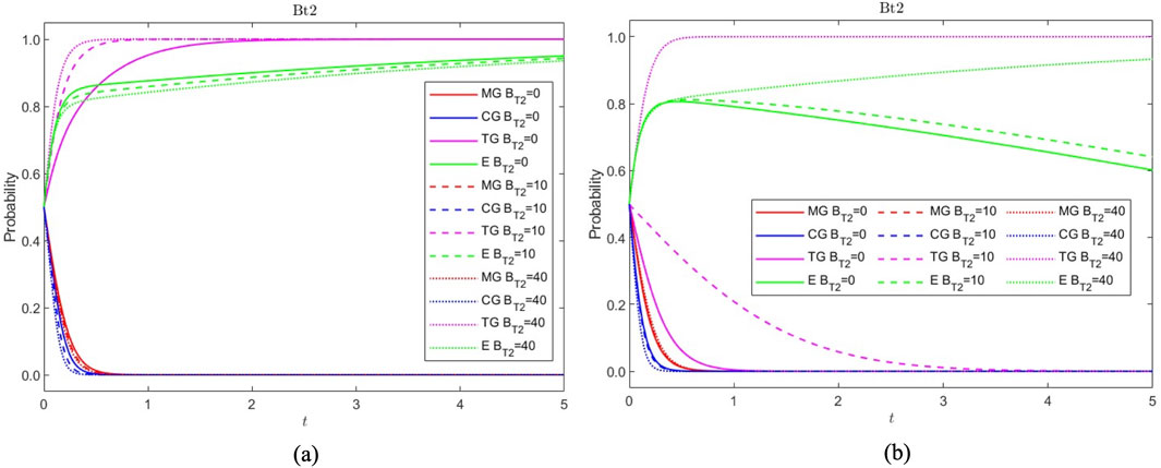
BT2 represents the incentives provided by CG to TG. With the increase of BT2, in the LPMT, the time for TG to approach the stability point of incentive policy continues to advance. Still, the marginal benefit of increasing the amount of incentive decreases (Figure 6a). In the PR, when BT2 increases to 40, the TG changes from punitive policy to incentive policy. The strategy of enterprises also changes from passive emission reduction to active emission reduction (Figure 6b). In contrast, BT2 demonstrates greater sensitivity to the strategic choices of TGs in PR.

Figure 6. Effects of BT2 changes on the system. (a) denotes the LPMT situation, (b) denotes the PR situation.
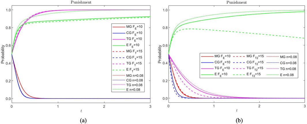
The change in punishment intensity involves variables such as the fines FE imposed by the TG on the enterprise, FT imposed by the MG on the TG, and n (stoppage days imposed by the CG). In the LPMT, the FE, FT, and n increase will not change the system’s final stable state. Still, the increase of n significantly advanced the stabilization time of the enterprise’s active emission reduction strategy (Figure 7a). In the PR, the rise of FT2 has little impact on system evolution, and the increase of FE and n can change the enterprise strategy to active emission reduction. Still, the TG strategy has not changed (Figure 7b). This also shows that the punishment mechanism has a more direct impact on the strategy of enterprises in both situations and has no significant effect on the choice of TG policy tools.

Figure 7. Effects of change of punishment intensity on the system. (a) denotes the LPMT situation, (b) denotes the PR situation.
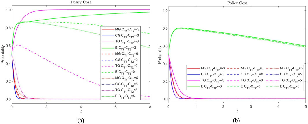
CT1 and CT2 represent the cost of implementing incentive and punitive policies. By adjusting the difference between the two, in the PR, all agent strategies are not sensitive to the policy cost difference, and the system evolution state is no different from the baseline scenario (Figure 8b). In the LPMT (Figure 8a), when the policy cost difference is 0 (CT1 = 5, CT2 = 5) and 5 (CT1 = 15, CT2 = 10), due to the increase in incentive policy cost, the TG changes to punitive policy, and the more significant the difference between the two, the faster the TG’s strategy of choosing punitive policy becomes stable. At this time, there is also a trend of enterprise strategy shifting towards passive emission reduction. When the policy cost difference is −3 (CT1 = 5, CT2 = 8), the stabilization time of the TG’s choice of incentive policy is slightly delayed. In contrast, changes in policy costs significantly affect the strategic decisions of TG and enterprises under the LPMT. Saving incentive policy costs as much as possible is a critical means to actively encourage enterprises to reduce emissions under weak incentives and constraints.

Figure 8. Effects of the difference between CT1 and CT2 on the system. (a) denotes the LPMT situation, (b) denotes the PR situation.
P1 and P2 represent the actual income of enterprises after active emission reduction and passive emission reduction. By adjusting P1 and P2, it can be found that in the LPMT (Figure 9a), when the difference between the two increases, the stabilization time of the TG’s choice of incentive strategy is advanced. When the difference decreases, the enterprise strategy will evolve from active emission reduction to passive emission reduction. If the difference is 0, the stabilization time of neglecting low-carbon strategies by CG will lag. The system evolution in the PR (Figure 9b) is similar to that in the LPMT. Only when P1 is significantly higher than P2 will the enterprise stabilize its strategy choice of active emission reduction. At this time, the time for the TG to choose the punitive policy also lags behind the benchmark state. In general, the changes of P1 and P2 will change the strategic choices of TG and enterprises in the LPMT and manifest the expected income of enterprises’ active emission reduction through policy publicity and technological transformation in the process of low-carbon governance, which becomes a feasible path to encourage enterprises to reduce emissions and achieve the performance of low-carbon governance actively.

Figure 9. Effects of P1 and P2 changes on the system. (a) denotes the LPMT situation, (b) denotes the PR situation.
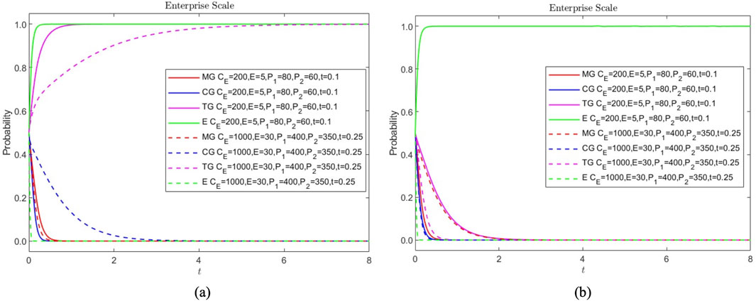
The change in enterprise size is related to CE (the cost of active emission reduction), P1 and P2 (profit income), t (tax level) and E (environmental benefit after emission reduction). Under the existing incentive and constraint criteria, the smaller the enterprise scale in the LPMT, the faster the system will reach the ideal stable state of (0,0,1,1). With the expansion of enterprise scale, the existing subsidy standard cannot meet the cost of enterprises’ active emission reduction, and enterprises will rapidly evolve in the direction of passive emission reduction. At this time, the strategic stability of the CG’s neglect of low-carbon and the TG’s choice of incentive policies lagged (Figure 10a). In the PR, small-scale enterprises will rapidly evolve towards active emission reduction, and the expansion of enterprise-scale will eventually lead to a stable state of (0,0,0,0) (Figure 10b). This indicates that the size of an enterprise is a key factor affecting its strategy in different contexts. Governments at all levels of low-carbon governance should design targeted incentive policies based on the enterprise’s size to promote the pilot’s smooth implementation.

Figure 10. Effects of enterprise size change on the system. (a) denotes the LPMT situation, (b) denotes the PR situation.
5 Discussion
The findings of this study underscore the critical role of the dynamic interplay between centralization and decentralization in shaping policy tool selection by grassroots governments in China. This interaction creates a complex governance landscape, particularly in the context of low-carbon initiatives. Within this polycentric system, multiple centers of authority—including the MGs, CGs and TGs—interact, sometimes cooperatively and sometimes competitively, producing diverse policy outcomes. Although CGs and MGs have distinct responsibilities, they often encounter weak incentives and limited constraints in promoting low-carbon objectives at the grassroots level (Zhuang, 2020). This study extends the existing literature by demonstrating how hierarchical structures influence policy choices under conditions of weak incentives, and how the dual roles of MGs and CGs in low-carbon pilot programs can foster proactive engagement by TGs despite these limitations.
The theoretical contribution of this study lies in integrating vertical governance with evolutionary game theory within the framework of polycentric governance. This approach provides a nuanced perspective on how multiple, overlapping centers of authority interact and influence local decision-making. While prior studies primarily emphasize the influence of higher-level governments on local behavior (Cao, 2021), this paper highlights the importance of considering interactions among all stakeholders—including enterprises—within a polycentric system. The analysis indicates that, although weak incentives and constraints may initially hinder low-carbon outcomes, mechanisms such as the LPMT can mitigate these effects. In this pilot context, TGs function not merely as implementers but as active participants in policymaking, strategically balancing incentives to achieve emission reductions.
Moreover, the study emphasizes the tension between short-term and long-term considerations in TG decision-making. Immediate rewards, such as subsidies and financial incentives, often take precedence over sustainable environmental benefits. Shifting TG behavior toward policies that deliver both immediate economic returns and long-term low-carbon outcomes requires restructuring incentive mechanisms across all government levels, ensuring that political performance, environmental objectives, and financial sustainability are appropriately balanced (Jiang and You, 2016; Zhang et al., 2023). Polycentric governance suggests that such alignment is more likely when multiple actors coordinate effectively while maintaining autonomy, highlighting the importance of fostering both collaboration and adaptive capacity among different centers of authority.
Furthermore, the findings provide new insights into the CG’s role as a mediator between MGs and TGs. Traditionally regarded as an intermediary, the CG can significantly influence TG behavior by enhancing incentives and constraints related to low-carbon governance. Realizing this influence requires a stronger institutional commitment from the CG to prioritize environmental objectives alongside economic growth—a stance historically underemphasized. Within a polycentric framework, the CG’s active role can help stabilize governance interactions and reduce the risks of fragmented policy implementation, thereby leveraging its authority to drive more substantive low-carbon initiatives at the grassroots level.
Finally, this study contributes to a broader understanding of interactions between local governments and enterprises in low-carbon transitions. The results indicate that TGs’ policy tool selection is shaped not only by intergovernmental dynamics but also by interactions with enterprises (Zhong and Peng, 2023), which can both drive emissions reductions and present compliance challenges. The intersubjective relationships captured in the game-theoretical model provide valuable insights into the evolving role of enterprises within a polycentric governance system, highlighting how multiple interacting actors collectively influence environmental outcomes.
6 Conclusion and policy recommendations
6.1 Conclusion
To incentivize grassroots governments’ participation in low-carbon transition, this study constructs two QEG involving MG, CG, TG, and enterprise, examining the selection of policy tools by TGs in the context of LPMT and PR. The analysis reveals the game process and decision-making logic across different governance frameworks. Key findings include:
1. In a policy environment characterized by weak incentives and constraints, TGs in LPMT are more likely to adopt incentive policies when initial strategies include loose supervision, neglect of low-carbon and active emission reduction. In contrast, TGs in PR tend to implement punitive policies or struggle to establish a stable policy strategy.
2. The costs and benefits of TGs’ choice of low-carbon policy tools vary according to the governance structure. In PR, TGs operate under the direct guidance of the CG, and their policy choices are primarily influenced by the CG’s system of rewards and fines and the weight of environmental benefit indicators in assessments. In contrast, in LPMT, MG directly oversee low-carbon governance at the TG level. As a result, TGs’ policy decisions are more sensitive to the likelihood and intensity of MG’s regulatory oversight and the rewards and penalties imposed on TGs.
3. The LPMT framework is shown to mitigate the incentive and constraint inefficiencies observed in the PR situation and to correct the negative behavior of TGs in low-carbon transition. Using identical weak incentive and constraint parameter settings, the LPMT situation is more likely to achieve a stable policy equilibrium characterized by MG exercising loose oversight, CG deprioritizing low-carbon targets, TG favoring incentive policies and enterprises actively reducing emissions. Conversely, the PR situation is more prone to a “prisoner’s dilemma,” with TG opting for punitive policies and enterprise adopting passive emission reduction strategies. However, this equilibrium is not entirely stable. In the LPMT, an increase in the incentives provided by TG to enterprise, a reduction in the rewards provided by MG to TG, and a widening cost gap between incentive and punitive policies may shift TG preferences towards punitive policies. Conversely, in PR settings, increasing the CG’s reward allocation to TG has encouraged the adoption of incentive policies, thereby promoting a stable and active emissions reduction strategy among enterprises.
6.2 Policy recommendations
The selection of policy at the grassroots level constitutes a critical factor influencing the performance of local low-carbon governance, with this selection process being significantly shaped by the initial strategies of relevant actors and the inter-organizational relationships among them. Under the reality that the weak incentive-constraint policy environment is unlikely to undergo fundamental transformation in the short term, there are pathways to enhance local governments’ enthusiasm for low-carbon governance by adjusting actor strategies and modifying interrelationships. Based on the findings of this research, the following policy recommendations are proposed.
1. Local governments should be provided with more robust financial rewards directly linked to measurable low-carbon outcomes, such as emission reductions or energy efficiency improvements. This can encourage local authorities to prioritize low-carbon policies without compromising short-term fiscal targets.
2. The central government should refine the role of the CG to ensure that it actively supports low-carbon initiatives, particularly by improving financial and policy incentives. The CG could be incentivized to act as a stronger intermediary, focusing on economic growth and environmental objectives.
3. The MG, CG and enterprise should work together to address the challenge of enterprise resistance to low-carbon policies. This could include joint initiatives such as co-funded low-carbon projects, where companies are incentivized to adopt green technologies through tax breaks or subsidies while local governments ensure compliance with environmental standards. These recommendations aim to align local government actions with the broader national goal of achieving carbon neutrality by 2060 while addressing the unique challenges of grassroots governance in China’s complex administrative framework.
These recommendations aim to align local governments’ actions with China’s national goal of carbon neutrality by 2060 while addressing the unique challenges of grassroots governance within a complex administrative system. However, this study faced methodological constraints in model construction, excluding citizens, NGOs, and other social actors, thereby overlooking their potential influence on decision-making. Future research should refine methodologies to include a wider set of participants. Additionally, due to limited data accessibility, the simulation relied on a single case study. Expanding data sources and survey scope will be essential to improve the robustness and generalizability of findings.
Data availability statement
The original contributions presented in the study are included in the article/Supplementary Material, further inquiries can be directed to the corresponding author.
Author contributions
LS: Conceptualization, Data curation, Formal Analysis, Investigation, Methodology, Software, Visualization, Writing – original draft. YC: Project administration, Resources, Supervision, Writing – original draft, Writing – review and editing.
Funding
The author(s) declare that financial support was received for the research and/or publication of this article. This work is supported by the National Natural Science Foundation of China Key Project under (Grant No. 72134006), National Key Research and Development Program of the Ministry of Science and Technology under (Grant No. 2020YFA0608604), Chinese-Swiss Science and Technology Programme SSSTC (CN EG 012022 05) and State Scholarship Fund of China Scholarship Council (Grant No. 202206320084).
Acknowledgments
The authors are grateful to the editor and reviewers for their critical suggestions of this manuscript.
Conflict of interest
The authors declare that the research was conducted in the absence of any commercial or financial relationships that could be construed as a potential conflict of interest.
Generative AI statement
The author(s) declare that no Generative AI was used in the creation of this manuscript.
Any alternative text (alt text) provided alongside figures in this article has been generated by Frontiers with the support of artificial intelligence and reasonable efforts have been made to ensure accuracy, including review by the authors wherever possible. If you identify any issues, please contact us.
Publisher’s note
All claims expressed in this article are solely those of the authors and do not necessarily represent those of their affiliated organizations, or those of the publisher, the editors and the reviewers. Any product that may be evaluated in this article, or claim that may be made by its manufacturer, is not guaranteed or endorsed by the publisher.
Supplementary material
The Supplementary Material for this article can be found online at: https://www.frontiersin.org/articles/10.3389/fenvs.2025.1647303/full#supplementary-material
Footnotes
1For instance, local governments often invest heavily in projects that yield immediate economic returns, such as infrastructure development, industrial parks, new urban areas, and industrial support initiatives.
2For example, quantifiable reference indicators for the construction of pilot cities/parks were proposed in the carbon Peak pilot.
3It is worth noting that the 1990s marked a turning point in the relationship between counties and townships, linked to the market-oriented reforms of the Chinese central government. Before the 1980s, the rebuilt township-level governments suffered from institutional deficiencies and functional shortcomings. In other words, they had neither independent finances nor the power to manage the functional departments under their jurisdiction, and they were politically directly subordinate to higher authorities. Therefore, the “streamlining of administration and devolution of powers” reform established township governments’ human and financial authority. However, this period was critical for China’s development strategy, and local governments had to undertake institutional reforms. To this end, the central government implemented “administrative streamlining and power delegation” and adopted a “block grant” (财政包干 caizheng baogan) approach to financial management. This was accompanied by the separation of government and enterprises and the decentralization of enterprises. At the same time, the autonomy of counties and townships was greatly enhanced, and township enterprises emerged in large numbers. The economic benefits generated by these township enterprises became the financial benefits of local governments, which were used to improve public services and infrastructure. However, during this reform, the devolution of power from the county to the township was not thorough, the administrative nature of the devolution of power was apparent, the departmentalization of interests was pronounced, and the supporting measures were imperfect. As a result, the reform was eventually halted. At the same time, in 1994, China introduced a tax-sharing system that redefined the division of power and financial authority between the central and local governments. As a result, township governments became very financially strained, while economic development issues increased rather than decreased, and they had to rely on budgetary support from the county government.
4Detailed parameter settings are shown in Supplementary Appendix SA.
5Detailed information is shown in Supplementary Appendix SB,SC.
6The output value of the secondary industry in town A accounts for more than 58%, and the leading industry enterprises are mainly textile and plasticizing, which have the characteristics of high energy consumption and heavy pollution and are the key fields of pollution reduction and carbon reduction. Since being selected as a low-carbon township pilot at the municipal level, town A has determined the overall idea of ‘focusing on the low-carbon transformation of traditional industries and creating a low-carbon upgrading model of traditional industrial townships’ to comprehensively promote the industrial transformation and upgrading in the region.
References
Cao, Z. H. (2021). The vertical-mutual constraint system: a historical state model in China. Chin. J. Sociol. 41 (04), 30–68. doi:10.15992/j.cnki.31-1123/c.2021.04.002
Chen, Y. J., Li, P., and Lu, Y. (2018). Career concerns and multitasking local bureaucrats: evidence of a target-based performance evaluation system in China. J. Dev. Econ. 133, 84–101. doi:10.1016/j.jdeveco.2018.02.001
Cheng, J., Yi, J., Dai, S., and Xiong, Y. (2019). Can low-carbon city construction facilitate green growth? Evidence from China’s pilot low-carbon city initiative. J. Clean. Prod. 231, 1158–1170. doi:10.1016/j.jclepro.2019.05.327
Chu, Z., Bian, C., and Yang, J. (2022). How can public participation improve environmental governance in China? A policy simulation approach with multi-player evolutionary game. Environ. Impact Assess. Rev. 95, 106782. doi:10.1016/j.eiar.2022.106782
Du, J., and Yi, H. T. (2021). Target-setting, political incentives, and the tricky trade-off between economic development and environmental protection. Public Adm. 100 (4), 923–941. doi:10.1111/padm.12768
Galaz, V., Crona, B., Österblom, H., Olsson, P., and Folke, C. (2012). Polycentric systems and interacting planetary boundaries: emerging governance of climate change-ocean acidification-marine biodiversity. Ecol. Econ. 81, 21–32. doi:10.1016/j.ecolecon.2011.11.012
Gong, Q., Liu, C., and Wu, M. (2021). Does administrative decentralization enhance economic growth? Evidence from a quasi-natural experiment in China. Econ. Model. 94, 945–952. doi:10.1016/j.econmod.2020.02.035
Gong, B. L., Zhang, Q. Z., and Yuan, L. R. (2023). Fiscal decentralisation, targeted incentives and agricultural growth: evidence from China’s province-managing-county fiscal reform. J. Manag. World 39 (07), 30–46. doi:10.19744/j.cnki.11-1235/f.2023.0089
Jiang, K., and You, D. M. (2016). Evolutionary game analysis of environmental regulation strategy from the perspective of decentralization between central and local governments. China Popul. Resour. Environ. 26 (9), 139–148.
Kong, D. M., and Liu, C. H. (2023). Centralization and regulatory enforcement: evidence from personnel authority reform in China. J. Public Econ. 229, 105030. doi:10.1016/j.jpubeco.2023.105030
Lee, C. C., Feng, Y., and Peng, D. (2022). A green path towards sustainable development: the impact of low-carbon city pilot on energy transition. Energy Econ. 115, 106343. doi:10.1016/j.eneco.2022.106343
Li, Y. Y., and Wang, C. (2020). Can centralised fiscal reform narrow the gap between urban and rural areas? Evidences based on natural experiments of village-finance-supervised-by-county reform. J. Manag. World 36 (04), 113–130. doi:10.19744/j.cnki.11-1235/f.2020.0057
Li, H., and Zhou, L. A. (2005). Political turnover and economic performance: the incentive role of personnel control in China. J. Public Econ. 89 (9-10), 1743–1762. doi:10.1016/j.jpubeco.2004.06.009
Liu, Z., Yang, Y., and Wu, J. (2020). Participatory management, goal ambiguity, and gaming behaviors in performance management: evidence from township government cadres in mainland China. Public Perform. and Manag. Rev. 44 (1), 58–80. doi:10.1080/15309576.2020.1768873
Liu, X., Li, Y., Chen, X., and Liu, J. (2022). Evaluation of low carbon city pilot policy effect on carbon abatement in China: an empirical evidence based on time-varying DID model. Cities 123, 103582. doi:10.1016/j.cities.2022.103582
Liu, S., Kuang, J., Ding, D., Madsen, D. Ø., Shi, X., and Fan, X. (2024). Low-carbon governance, fiscal decentralization, and enterprise green development: evidence from China. PLoS ONE 19 (3 March), e0296490. doi:10.1371/journal.pone.0296490
Nagendra, H., and Ostrom, E. (2012). Polycentric governance of multifunctional forested landscapes. Int. J. Commons 6 (2), 104–133. doi:10.18352/ijc.321
Ostrom, E. (2010). Beyond markets and states: polycentric governance of complex economic systems. Am. Econ. Rev. 100, 641–672. doi:10.1257/aer.100.3.641
Ostrom, E. (2011). Background on the institutional analysis and development framework. Policy Stud. J. 39 (1), 7–27. doi:10.1111/j.1541-0072.2010.00394.x
Pahl-Wostl, C., and Knieper, C. (2014). The capacity of water governance to deal with the climate change adaptation challenge: using fuzzy set qualitative comparative analysis to distinguish between polycentric, fragmented and centralized regimes. Glob. Environ. Change 29, 139–154. doi:10.1016/j.gloenvcha.2014.09.003
Pan, F., Xi, B., and Wang, L. (2015). Analysis on environmental regulation strategy of local government based on evolutionary game theory. Syst. Engineering-Theory Pract. 35 (06), 1393–1404. doi:10.1109/ICMSE.2014.6930475
Primack, R. B. (2021). Biodiversity science blossoms in China. Natl. Sci. Rev. 8 (7), nwab058–nwab061. doi:10.1093/nsr/nwab058
Qi, K., and Yang, Z. (2020). Multi-scenario evolutionary game analysis of network public opinion governance in sudden crisis. Chin. J. Manag. Sci. 28 (03), 59–70. doi:10.16381/j.cnki.issn1003-207x.2020.03.007
Qian, Y., and Xu, C. G. (1993). Why China’s economic reforms differ:the M-form hierarchy and entry/expansion of the non-state sector. Econ. Transition 1 (2), 135–170. doi:10.1111/j.1468-0351.1993.tb00077.x
Qian, Y., Roland, G., and Xu, C. (2006). Coordination and experimentation in M-form and U-form organizations. J. Political Econ. 114 (2), 366–402. doi:10.1086/501170
Shen, K. R., and Fu, W. L. (2005). The relationship between China’s decentralised system in finance and her regional economic growth. J. Manag. World 1, 171–172. doi:10.197-44/j.cnki.11-1235/f.2005.01.005
Tang, P., Feng, Y., Li, M., and Zhang, Y. (2021). Can the performance evaluation change from central government suppress illegal land use in local governments? A new interpretation of Chinese decentralisation. Land Use Policy 108, 105578. doi:10.1016/j.landusepol.2021.105578
Tang, X. F., Liu, S., Wang, Y. H., Youwei, W., and Dirane Nubea, M. (2025). Carbon emission reduction in China’s iron and steel industry through technological innovation: a quadrilateral evolutionary game analysis under government subsidies. Front. Environ. Sci. 12, 1491608. doi:10.3389/fenvs.2024.1491608
Wang, X., and Lei, P. (2020). Does strict environmental regulation lead to incentive - contradiction? Evidence from China. J. Environ. Manag. 269, 110632. doi:10.1016/j.jenvman.2020.110632
Whiting, S. H. (2006). Power and wealth in rural China: the political economy of institutional change. Cambridge: Cambridge University Press.
Xu, H., and Li, X. (2023). Effect mechanism of Chinese-style decentralization on regional carbon emissions and policy improvement: evidence from China’s 12 urban agglomerations. Environ. Dev. Sustain. 25 (1), 474–505. doi:10.1007/s10668-021-02063-y
Yao, S., Yu, X., Yan, S., and Wen, S. (2021). Heterogeneous emission trading schemes and green innovation. Energy Policy 155, 112367. doi:10.1016/j.enpol.2021.112367
Zeng, S., Jin, G., Tan, K., and Liu, X. (2023). Can low-carbon city construction reduce carbon intensity?Empirical evidence from low-carbon city pilot policy in China. J. Environ. Manag. 332, 117363. doi:10.1016/j.jenvman.2023.117363
Zhang, R. B., and Zhong, C. B. (2022). Smart city pilot projects, nearby pollution transfer, and green and low-carbon development: new evidence from Chinese counties. China Popul. Resour. Environ. 32 (04), 91–104. doi:10.12062/cpre.20210622
Zhang, S. Y., Wang, C. X., and Pardalos, P. M. (2021). Co-evolutionary game of manufacturers’ abatement behavior under carbon tax-subsidy policy. Int. J. Low-Carbon Technol. 16 (4), 1217–1228. doi:10.1093/ijlct/ctaa081
Zhang, H., Feng, C., and Zhou, X. (2022). Going carbon-neutral in China: does the low-carbon city pilot policy improve carbon emission efficiency? Sustain. Prod. Consum. 33, 312–329. doi:10.1016/j.spc.2022.07.002
Zhang, L., Song, Y., Zhang, M., and Wu, W. (2023). Evolutionary game analysis of strategic interaction of environmental regulation among local governments. Environ. Dev. 45, 100793. doi:10.1016/j.envdev.2022.100793
Zheng, J., Shao, X., Liu, W., Kong, J., and Zuo, G. (2021). The impact of the pilot program on industrial structure upgrading in low-carbon cities. J. Clean. Prod. 290, 125868. doi:10.1016/j.jclepro.2021.125868
Zhong, Z. Q., and Peng, B. H. (2023). Multi-agent behavior strategy game and evolutionary simulation analysis under environmental regulation. Energy and Environ. 34 (8), 3365–3390. doi:10.1177/0958305X221125126
Zhou, X. G. (2008). Collusion among local governments: the institutional logic of a government behavior. Sociol. Stud. 6, 1–21+243. doi:10.19934/j.cnki.shxyj.2008.06.001
Keywords: low-carbon transition, grassroots government, policy tool selection, quadripartite evolutionary game, multi-level governance
Citation: Shui L and Chen Y (2025) Motivating grassroots governments in low-carbon transition: comparative analysis of two quadripartite evolutionary game. Front. Environ. Sci. 13:1647303. doi: 10.3389/fenvs.2025.1647303
Received: 15 June 2025; Accepted: 29 August 2025;
Published: 12 September 2025.
Edited by:
Mohammad Shbool, The University of Jordan, JordanReviewed by:
Saraa Alasadi, American University of Bahrain, BahrainWassim Jrad, American University of Bahrain, Bahrain
Copyright © 2025 Shui and Chen. This is an open-access article distributed under the terms of the Creative Commons Attribution License (CC BY). The use, distribution or reproduction in other forums is permitted, provided the original author(s) and the copyright owner(s) are credited and that the original publication in this journal is cited, in accordance with accepted academic practice. No use, distribution or reproduction is permitted which does not comply with these terms.
*Correspondence: Yuchao Chen, eXVjaGFvY2hlbkB6anUuZWR1LmNu