- 1School of Electronic Information Engineering, Inner Mongolia University, Hohhot, China
- 2School of Economics and Finance, South China University of Technology, Guangzhou, China
- 3School of Business Administration, Joongbu University, Goyang, Republic of Korea
Rapid digital economy development is reshaping urban governance and resource allocation, but its impact on urban land green use efficiency (ULGUE) remains insufficiently examined. This study investigates whether and how digital economy development enhances ULGUE in China, focusing on direct effects, mediating mechanisms, and spatial spillovers. Using panel data from 282 prefecture-level cities during 2007–2022, ULGUE is measured with the Super-Slack-Based Measure model. The National E-Commerce Demonstration City policy serves as a quasi-natural experiment within a Differences-in-Differences framework. Complementary analyses include instrumental variable estimation, propensity score matching, and the spatial Durbin model, with robustness checks using 5G population density. Findings indicate that the digital economy and 5G infrastructure significantly improve ULGUE. Mechanism tests highlight green technology innovation and resource efficiency as key channels, with strong spatial spillover effects. Heterogeneity analysis reveals that policy impacts are strongest in eastern and early pilot cities, moderate in central regions, and weakest in western areas. Overall, the study enriches interdisciplinary research on digitalization and sustainability, and provides policy insights suggesting that region-specific green strategies and targeted digital infrastructure deployment are essential to achieve balanced and sustainable urban transitions.
1 Introduction
Efficient and green land use forms the foundation for high-quality urban development (Jin et al., 2019). However, the accelerating pace of global urbanization has caused negative consequences, including land resource scarcity and ecological degradation. To achieve sustainable development, ULGUE is a crucial statistic for assessing how well environmental protection coordinates with economic growth (Wang et al., 2021; Tan et al., 2021). China is aggressively seeking new catalysts for urban green transformation in line with the United Nations Sustainable Development Goals (SDGs), serving as a prime example of rapid urbanization. Empirical evidence shows that various policy pilots, such as low-carbon cities, smart cities, and innovation cities (Liu et al., 2022; Wang et al., 2021; Zuo and Zhang, 2025), along with environmental regulations (He et al., 2024; Zheng and Chen, 2024) and increased government attention (Lu and Tao, 2024), can all effectively enhance ULGUE. In addition, Zhang et al. (2023) provide robust evidence that smart city construction significantly contributes to urban green development through industrial restructuring and green technology innovation, while also generating positive spatial spillover effects across neighboring regions. This underscores the importance of incorporating digital and smart city initiatives into the study of land use efficiency.
Thanks to advancements in information technology, the digital economy has emerged as a major driver of urban green growth (Fan et al., 2024; Hao et al., 2023; Cheng et al., 2023). While its positive environmental effects are well established (Cheng et al., 2023; Wen and Sun, 2023), significant research gaps remain. First, regarding research perspectives, ULGUE—a crucial component of urban governance performance—is often overlooked in favor of macro-level environmental metrics, such as carbon emissions and green total factor productivity (Ding and Gao, 2023). In addition, concerning the mechanism, the specific pathways through which the digital economy affects ULGUE remain inadequately examined (Fan et al., 2024; Hao et al., 2023; Cheng et al., 2023). Furthermore, many researchers underestimate the spatial spillover effects produced by the digital economy’s network externalities (Chu et al., 2023; Yu et al., 2023).
Compared with prior studies such as Yu et al. (2023), which mainly emphasize environmental spillovers, and Tan et al. (2021), which focus on regional heterogeneity under general policy interventions, this paper innovates by explicitly centering on the urban land dimension and identifying new causal pathways. Therefore, constructing a comprehensive conceptual framework to analyze the digital economy’s effect on ULGUE represents an urgent scholarly need.
China’s National E-commerce Demonstration Cities (NEDC) policy, a flagship initiative for digital economy development, provides a robust quasi-natural experiment setting for examining this relationship. Unlike earlier studies relying on cross-sectional data or general proxies, this research leverages the staggered rollout of the NEDC policy to rigorously identify causal effects through a DID-based approach. Furthermore, it incorporates 5G infrastructure indicators, such as population density of base stations, into the analysis of ULGUE, offering a novel perspective on how emerging digital technologies shape land-use efficiency. Methodologically, this study also pioneers the use of an SDM-DID model, enabling simultaneous identification of causal impacts and spatial spillovers—a gap not addressed in existing literature.
This study makes three contributions. First, it advances beyond traditional macro-level environmental assessments by incorporating digital economy metrics into the ULGUE framework, thus enhancing the evaluation of sustainability externalities in urban spatial governance systems (Cheng et al., 2023; Zhang et al., 2024). Second, based on rigorous theoretical analysis and empirical modeling, it identifies and verifies two key mediating variables—green technology innovation and resource use efficiency—delineating the “innovation-driven resource allocation optimization” pathway through which the digital economy affects ULGUE (Guo and Zhang, 2024; Hao et al., 2023; Liu et al., 2025). Third, by incorporating spatial spillover analysis, it reveals significant positive radiation effects of digital economy development across regions, highlighting its potential to support coordinated regional development and collaborative green transformation. These insights provide a crucial foundation for the scientific allocation of digital infrastructure and the design of differentiated green transition policies (Chu et al., 2023; Tan et al., 2021).
The structure of the paper is as follows. Section 1 presents the problem statement and research background. Section 2 develops the research hypotheses and theoretical analysis. Section 3 describes the research technique in full. Section 4 provides an analysis of the empirical findings. Section 5 concludes and discusses policy implications.
2 Theoretical foundation and research hypotheses
This study develops its theoretical framework based on General Purpose Technology (GPT) theory (Bresnahan and Trajtenberg, 1995) to explain how the digital economy enhances ULGUE. GPT refers to foundational technologies with broad applicability, continuous evolution, and the ability to generate synergistic innovations and structural transformations. The digital economy represents a modern generation of GPT. It reshapes production functions and the structure of externalities, thus promoting urban green development. Its mechanisms include: (1) Technology Complementarity, which facilitates the integration of green technologies with digital infrastructure; (2) Factor Reallocation, which improves the efficiency of land, capital, and labor allocation; and (3) Spatial Spillovers, which enable the cross-regional diffusion of green practices and resource flows.
Building on this, the digital economy shows distinctive features that reinforce its role in improving ULGUE. Network effects accelerate the diffusion of green technologies and sustainable practices across regions. Data-driven decision-making, through big data, remote sensing, and digital twins, supports precise land management and efficient redevelopment. Smart land governance, via e-government and digital approval systems, enhances transparency and regulatory capacity, reducing idle land and promoting brownfield reuse. These mechanisms indicate that the digital economy, as a GPT, not only reallocates factors but also advances sustainable land use through institutional and technological innovations. Empirical evidence supports this view: Du et al. (2022) show that digitalization in low-carbon city initiatives improves ecological efficiency by fostering green innovation and governance capacity.
Based on this logic, ULGUE is defined as the dependent variable. Two mediating mechanisms are identified: green technology innovation (GTI), which represents R&D and the implementation of green technology, and resource use efficiency (RUE), which measures increased output and ecological performance per unit of resource input.
Our theoretical model positions GPT as the central tenet, as illustrated in Figure 1, and shows that the digital economy indirectly improves ULGUE through GTI and RUE, while also generating spatial spillovers that improve green performance in nearby areas.
2.1 Direct influence of digital economy on ULGUE
Drawing on GPT theory (Bresnahan and Trajtenberg, 1995), this study conceptualizes the digital economy as a transformative infrastructure that reshapes the allocation of urban land, capital, and labor under ecological constraints. As a GPT, the digital economy affects ULGUE through technology complementarity, factor reallocation, and altered externality structures.
Empirical evidence strongly supports this theoretical linkage. For example, Zhang et al. (2024) found that the rapid expansion of e-commerce in China significantly reduced carbon emission intensity and increased land-use efficiency by optimizing logistics systems. Within the framework of China’s National E-commerce Demonstration Cities (NEDC) policy, Liu et al. (2025) showed that digital infrastructure contributed to more rational urban land use and more efficient resource allocation. Guo and Zhang (2024) found that digital technologies facilitate accurate matching of land resources with complementary production factors, effectively reducing carbon-intensive and extensive land-use patterns. Additionally, Liu and Qiu (2023) confirmed that digital infrastructure applications decrease carbon emissions per unit of GDP, which indicates stronger ecological sustainability. According to Zhang et al.’s (2022) analysis of data from 265 Chinese cities, e-commerce pilot cities performed better than others in pollution control and ULGUE improvement.
In summary, this study conceptualizes the digital economy as a GPT that drives green transformation, highlighting its transformative effect on urban land use for sustainable development. We propose Hypothesis 1:
H1. The growth of the digital economy notably improves ULGUE.
2.2 The mediating role of green technology innovation
From the GPT perspective, the digital economy stimulates green innovation through technology complementarity. As a foundational technology with broad applicability and evolutionary potential, it lowers innovation costs, facilitates cross-firm learning, and provides information infrastructure. Therefore, it accelerates the development and diffusion of eco-friendly technologies. These technologies, in turn, reduce carbon emissions, optimize energy structures, and enhance land-use sustainability.
Numerous studies offer strong support. Liu et al. (2025) found that the NEDC policy, through increased R&D funding and digital infrastructure, significantly drives GTI. Cheng et al. (2023) employed spatial econometrics to confirm that digital economy development suppresses urban carbon emissions, with green technology diffusion showing a 23.7% mediation effect and a spatial spillover coefficient of 0.215. Fan et al. (2024) noted that higher regional digitalization strengthens firms’ absorptive capacity for green technologies; the elasticity of green innovation reaches 0.394 in high-tech industries. Hao et al. found a sharp marginal increase in green innovation effects when the digital index exceeded 0.68. Liu and Qiu (2023) reported that green patents accounted for 20.07% of emission reductions under the NEDC policy, and energy consumption per unit of land declined by 14.2%. Yu et al. (2023) highlighted that fiscal incentives, internet infrastructure, and agglomeration effects jointly support the spatial diffusion of green innovation, with a spillover effect up to 1.025.
These findings confirm that the digital economy, as a GPT, enhances ULGUE by promoting the diffusion of green technology innovation across cities. We assume Hypothesis 2:
H2. Innovation in green technologies helps ULGUE by acting as a mediator in the growth of the digital economy.
2.3 The mediating role of resource use efficiency
Another critical feature of GPT is to enhance resource use efficiency. Digital platforms reduce information asymmetry, automate operational processes, and enable real-time optimization of factor allocation. As a result, they decrease energy inefficiencies and improve the productivity of land, labor, and capital inputs. This represents a key pathway toward green and intensive land use.
Liu et al. (2023) used China’s e-commerce demonstration city policy as a natural experiment and revealed significant energy-saving effects of digital platforms on economic output. Guo and Zhang (2024) argued that, under energy constraints, digital transformation improves urban resource allocation and has become an endogenous driver of high-quality urban development. Jiang et al. (2024) empirically demonstrated that e-commerce platforms enhance energy–output conversion efficiency from a carbon productivity perspective. Liu and Qiu (2023) further confirmed through econometric analysis that the NEDC policy significantly reduced energy consumption per unit of land, establishing it as an important indirect indicator of ULGUE improvement. Ding and Gao (2023) highlighted from a micro perspective that the digital economy facilitates the dynamic reallocation of labor and capital, which increases overall factor productivity. Ding and Gao (2023) also provided additional evidence that green technologies enhance energy efficiency and Green Total Factor Productivity (Green TFP), further complementing resource optimization.
Collectively, digital economy development improves resource use efficiency, as measured by lower energy and land consumption per unit of GDP, thereby indirectly promoting greener and more intensive urban land use. We suppose Hypothesis 3:
H3. Digital economic growth boosts ULGUE indirectly by optimizing resource use efficiency.
2.4 Spatial spillover effects of digital economy development
The systemic nature of GPT also appears in spatial externalities. Digital infrastructure, platforms, and network structures support knowledge sharing, institutional coordination, and regional collaboration. These mechanisms generate green effects that extend beyond local boundaries and initiate a “diffusion-coordination-progress” mechanism among cities.
Empirical evidence supports this mechanism. According to Zhang et al. (2024), core cities are important channels for the geographical spread of sustainable practices, and digital platforms play an instrumental role in reshaping regional factor flows. Cheng et al. (2023) applied spatial models and found nonlinear spillover effects in carbon emission reduction, with an effect radius exceeding 300 km. Liu et al. (2025) observed that the NEDC policy produces significant intra- and inter-regional effects; through the diffusion of green innovations and fiscal incentives, it affects adjacent cities’ green TFP and ULGUE. Zhang and Chen (2024) emphasize the strong regional penetration of e-commerce infrastructure, which supports cross-city green innovation collaboration and increases environmental technology levels across urban clusters. The spatial aggregation and evolutionary trajectory of ULGUE in the Yangtze River Delta are further supported by Tan et al. (2021), who highlight the interdependence of green performance across cities.
Therefore, through platforms, knowledge externalities, and factor flows, the advancement of the digital economy has a major positive spatial spillover effect, enhancing ULGUE in nearby cities. This leads to our final hypothesis:
H4. The expansion of the digital economy exerts a substantial positive spatial spillover effect on the ULGUE of neighboring cities. The study’s theoretical model is shown in Figure 1.
3 Methodology
3.1 Model specification
3.1.1 Baseline regression model
Following the analytical framework proposed by Moser and Voena, this study constructs a quasi-natural experiment based on the NEDC program to evaluate the effect of growing digital infrastructure on ULGUE. We determine the causal policy effects using a differences-in-differences (DID) model. In 2011, a collaborative policy document titled “Guidelines on Launching National E-commerce Demonstration Cities,” issued by five ministries, including the NDRC, laid the foundation for the three-phase implementation of the NEDC strategy across 70 cities. These phases were launched in 2011, 2014, and 2017, respectively, and show a typical staggered promotion pattern. The NEDC policy has strong exogeneity and institutional shock characteristics. First, pilot cities were designated by the central government through top-down administrative assignment, which eliminates self-selection by local governments and reduces sample selection bias. Second, the clear temporal structure of the policy rollouts facilitates the construction of a progressive DID model. Third, the division between treatment and control groups is explicit, so policy effects can be captured through interaction terms.
To estimate the effect of the development of the digital economy, as represented by the NEDC policy, on ULGUE, the baseline regression model (Equation 1) is created as follows:
where i and t denote city and year, respectively;
3.1.2 Mediating effect model
Using Baron and Kenny’s traditional mediation analysis approach, this study systematically developed multiple regression equation sets to examine the role of mediating factors in the policy influence process. To enhance the statistical credibility of the results, Sobel tests and bootstrap repeated sampling techniques were introduced to verify the significance of the mediating pathways. The specific analysis paths were divided into the following three groups of models (Equations 2–4):
In this study,
3.1.3 Spatial durbin differences-in-differences model
This study combines the spatial econometric method proposed by Corrado and Fingleton (2012) to extend the traditional DID Model (Equation 5) by embedding spatial lag variables and spatial weight matrices, thereby constructing the Spatial Durbin DID Model (SDM-DID). This approach systematically identifies regional linkage and spatial spillover effects resulting from policy implementation.
where
3.2 Variable selection
3.2.1 Explained variable (land green use efficiency)
The study focuses on ULGUE as the key variable, aiming to show the correlation between the logical distribution of input elements and the efficiency of outputs in urban land resource development (Xu et al., 2025). Regarding Tone’s proposed super-efficiency SBM model, a system has been developed for practical measurement.
In terms of input specification, this study includes four categories of factor variables. First, labor input is quantified using annual year-end employment figures, which reflect the total workforce engaged in productive activities, following the methodology of Wang et al. (2021). This serves as an indicator of human capital utilization. Second, capital input is adapted from Xu et al. (2025), using total fixed asset investment to represent material capital expenditure within the city. Third, science and technology investment is measured as the aggregate of research and development expenditures and educational funding allocations, reflecting the level of knowledge capital investment. Fourth, the energy dimension is represented by annual total water and electricity consumption, which serve as proxy indicators for resource consumption.
For output indicators, this study adopts per capita GDP, following the approach of He et al. (2024) and Wang et al. (2021), as a proxy for urban economic development. In response to the unanticipated outcomes, and in line with the method of Wang and Han, environmental effect is measured using three types of industrial emissions: wastewater, sulfur dioxide, and smoke dust. All fluctuating data are sourced from the China Urban Statistical Yearbook, which guarantees reliability, uniformity in breadth, and thoroughness across the time series.
3.2.2 Explanatory variable (digital economy development)
Drawing on the methodological framework of Liu et al. (2023), this study uses a DID estimation strategy to assess the causal effect of NEDC policies on ULGUE. The main identification strategy constructs interaction terms between binary treatment indicators (policy intervention group) and temporal dummy variables (pre/post implementation). Specifically, if a city initiates the policy pilot in a given year, the urban area is included in the treatment group, with the treatment group identification variable set to one. At the same time, the temporal indicator variable is coded as one for all years after policy implementation. Cities not selected for the pilot program serve as the control group, with both treatment and time dummies equal to zero. This interaction term specification allows for rigorous estimation of the policy’s causal effects using the difference-in-differences framework.
3.2.3 Mechanism variables
Resource use efficiency. Following Zheng and Chen (2024), resource use efficiency is measured by the amount of energy consumption that corresponds to economic output per person. The calculation method converts different types of energy consumption at the urban level—including total electricity consumption, as well as artificial, natural, and liquefied petroleum gas supplies—into a standard coal equivalent (measured in 100 tons). This value is then divided by the region’s per capita GDP (measured in yuan) to obtain the energy-to-per capita output ratio. A natural logarithmic transformation is applied to this ratio to represent “resource use efficiency” and to control for the effect of outliers.
Green technology innovation (GTI). Following Fu’s (2024) methodological framework, this study includes GTI as a core explanatory variable, measured using city-level counts of green patent applications. The calculation method is as follows: GTI = ln (1 + number of green invention patents + number of green utility model patents). This approach applies a logarithmic transformation to the annual sum of green invention and utility model patents declared by each city. This metric effectively captures regional innovation outputs in green technology, providing both practical applicability and strong representativeness for policy evaluation.
3.2.4 Control variables
The analysis includes several control variables in three important dimensions to reduce the possibility of omitted variable bias and increase the accuracy of model estimation: (1) Economic Development Level (InPGDP): According to He et al. (2024) and Wang et al. (2021), the logarithm of a region’s per capita real GDP represents its economic output capabilities. (2) Industrial Structure (IS): According to Lu et al. (2020), the degree of service sector dominance is gauged by the tertiary industry’s added value as a percentage of the regional GDP. (3) Environmental Regulation Strength (ERS): Referring to Berman and Bui, (1998), an indicator was constructed by obtaining the frequency of occurrence of environment-related terms in policy documents through text analysis methods. (4) Population density (InDENS): It is defined as the natural logarithmic value of the number of permanent residents per unit of land area (Liu et al., 2022). (5) Financial development level (FinDev): Following the idea proposed by Beck et al. (2000), financial resource allocation capacity is proxied by the share of loan balances held by financial institutions relative to GDP. Variable definitions are listed in Table 1.
3.2.5 Sample selection and data processing
A balanced panel data set is constructed, including 282 prefecture-level and above cities in China, with continuous annual data from 2007 to 2022. The study period is selected to balance methodological requirements and data availability. Although the National E-commerce Demonstration City (NEDC) policy was formally introduced in 2011, the analysis extends the starting year to 2007 to provide an adequate pre-policy period, which meets the parallel trends assumption of the DID model. The end year is set as 2022 because it is the most recent year with complete and consistent city-level data, which allows for an assessment of the medium-to long-term policy effects.
To ensure data completeness and consistency in administrative divisions, the final sample includes 67 pilot cities with complete observations—23 from the first batch, 29 from the second, and 15 from the third—as well as 215 non-pilot cities that were never included in the policy. The main data sources are the China Urban Statistical Yearbook, the China Energy Statistical Yearbook, and statistical bulletins issued by cities at the prefecture level. Missing values for certain years are addressed using group mean imputation or linear interpolation, which aims to improve data integrity and reduce estimation bias. Table 2 displays descriptive statistics for the primary variables.
Additionally, Figure 2 shows the trajectory of ULGUE for various categories during 2007–2022. In terms of trend, ULGUE demonstrates a continuous upward development for the whole country, model cities, and non-model cities. Analyzing various urban clusters indicates a consistent superiority in the efficiency of green land use, with demonstration cities consistently outperforming non-demonstration cities throughout the research period. Between 2011 and 2022, the ULGUE of demonstration cities increased from 0.406 to 0.572, an increase of 40.726%, whereas the growth rate of this metric in cities without demonstrations during that period was 14.316%. The observed disparities suggest a causal linkage to the NEDC policy intervention. Pilot cities show significantly stronger performance gains in green land use intensification, while the divergence from non-pilot counterparts progressively widens.
4 Analysis of empirical test results
4.1 Baseline model regression
Using the DID Model requires adherence to the parallel trend hypothesis. The pre-treatment data show parallel trends in green land use efficiency between the experimental and control cohorts, which satisfies a critical quasi-experimental assumption. To rigorously test this condition and dynamically assess policy effects, we implement an event-study framework and specify the following econometric specification (Equation 6):
In this model,
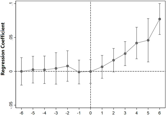
Figure 3 shows the outcomes of the parallel trend examination. The regression coefficients in the pre-policy period fluctuate around zero and are not statistically significant, which supports the parallel trend condition between the treated and control cities and validates the use of the DID strategy. In the year the policy was introduced, and in the following 2 years, the coefficients remain insignificant, suggesting a delayed policy response. Beginning in the third year after the policy enactment, the regression coefficients show a notable positive trend and continue to rise. The NEDC policy initially shows limited effects on ULGUE, indicating a temporal lag in the digital economy’s capacity to increase green land use outcomes. This evidence, combined with the exogenous and staggered rollout of NEDC designations (2011, 2014, and 2017), further reinforces the credibility of the DID strategy.

Figure 3. Parallel trend and dynamic effect test results. Note: The upper and lower lines of the solid points represent 95% confidence intervals.
Table 3 reports the baseline regressions. Columns 1–4 progressively add year and city fixed effects. Across all models, the coefficient of digital economy development is positive and significant at the 1% level, supporting Hypothesis 1. In Model (4), the interaction term (Treat × Post) is 0.060, significant at 1%. This implies that the NEDC policy raised ULGUE in pilot cities by 0.060 units on average, about 14.85% of the sample mean (0.404), reflecting a substantial policy effect. These results align with Liu et al. (2025), who show that digital infrastructure improves resource allocation efficiency, and with Guo and Zhang (2024), who find that digital technologies enhance factor matching and reduce inefficient land development.
Control variables also matter. Economic development has a significant positive effect, indicating that cities with stronger foundations integrate resources more effectively (Zheng and Chen, 2024). Population density is positive, suggesting that labor supply and urban vitality promote efficiency (Liu et al., 2022). By contrast, environmental regulation intensity is negative and significant, likely due to higher short-term compliance costs or uneven enforcement, reflecting transitional rather than long-term effects. Industrial upgrading and financial development also significantly affect ULGUE.
Overall, the green transformation of land use depends not only on digital tools but also on industrial policies, institutional support, and financial systems.
4.2 Robustness test
4.2.1 Robustness checks
We conduct robustness checks through variable substitution and model extension:
First, regarding the explanatory variables, we introduce three representative indicators of communication infrastructure: Internet penetration, 5G population density, and long-distance cable length per unit area. Although existing empirical studies rarely apply “5G base station population density” directly to urban land green use efficiency, Yang et al. (2018) from the communication engineering field show that base station density is a key factor affecting network performance, especially in urban deployment scenarios, where it determines the transition from noise-limited to interference-limited regimes. Based on this theoretical foundation, we treat 5G population density as a structural proxy for digital infrastructure and include it in the robustness analysis to strengthen the engineering logic behind our green land use model. Following the methodologies of Wang and Wang (2024) and El-Garaihy et al. (2022), we also use Internet penetration rate and fiber-optic cable density (km/km2) as key infrastructure indicators to examine the consistency of our core conclusions. As shown in Columns (1)–(3) of Table 4, all three infrastructure indicators have significantly positive coefficients at the 1% significance level (p < 0.01). The signs and magnitudes of the control variables remain consistent with theoretical expectations, and the model’s explanatory power (R2) varies within ±0.03, which indicates the robustness of the baseline findings across alternative digital economy measures. Second, for the dependent variable, we extend the original Super-SBM model. In addition to the initial specification that includes only the “three industrial wastes” as undesirable outputs, CO2 emissions are also included as an additional undesirable output to recalculate ULGUE. The regression results reported in Column (4) of Table 4 show that the effect of digital economy development remains positive and statistically significant at the 5% level, which provides further support for the external validity of the core model.
Taken together, these robustness checks, which include both the substitution of explanatory variables and the alternative estimation of the dependent variable, provide strong evidence that digital infrastructure construction significantly contributes to improving ULGUE. Therefore, these results reinforce the reliability and validity of our main conclusions.
4.2.2 Instrumental variable method
This study adopts Guo and Zhang (2024)’s causal inference framework to address endogeneity, focusing on how e-commerce policies affect urban development, and applies the instrumental variable (IV) approach of Li et al. (2016) based on historical communication facilities. The two-stage least squares method (2 S LS) is used. Specifically, we employ the correlation between post office counts and Internet user numbers in 1984 as the key instrument, reflecting early infrastructure foundations of digitalization.
To justify exogeneity, we argue that postal density in 1984 mainly reflected administrative layout and communication demand, not current determinants of ULGUE. At that time, China’s land market was undeveloped and the notion of ULGUE did not exist, making a direct effect implausible. Our specification also controls for structural city characteristics such as economic development, population density, industrial structure, and financial development, reducing concerns that postal density captures persistent unobserved traits. From a theoretical standpoint, 1984 postal density is unlikely to correlate with pre-treatment ULGUE, supporting the exclusion restriction.
The instrument’s strength is confirmed by the first stage: the IV coefficient is 0.126 (p < 0.01), with an F-statistic of 158.049, well above the threshold of 10. The Kleibergen–Paaprk LM statistic (p = 0.000) rejects weak-instrument and under-identification concerns. In the second stage (Table 5, Column 2), the policy variable remains positive and significant (p < 0.01). After addressing endogeneity, digital economy development continues to enhance ULGUE, indicating robust results.
Overall, combined with strong statistical evidence and consistency with prior studies using historical infrastructure as instruments (Li et al., 2016; Guo and Zhang, 2024), the instrument is both relevant and exogenous, reinforcing the reliability of the baseline estimates.
4.2.3 PSM-DID test
To address potential non-randomness in sample selection, this paper adopts the Propensity Score Matching–Difference-in-Differences (PSM-DID) method following Moser and Voena (2012). A binary variable indicates city participation in the NEDC program (1 for pilot, 0 otherwise). Control variables are included as covariates in a Logit regression to estimate propensity scores. Two strategies are applied: kernel matching, which weights all controls by score distance, and caliper matching with a width of 0.1, conducted with replacement to improve comparability.
Balance tests show that covariate means between treatment and control groups are statistically indistinguishable, with standardized bias below 10%, confirming good match quality. Re-estimated DID regressions on the matched samples (Table 6) indicate that, at the 1% level, NEDC construction continues to exert a significantly positive effect on urban development, supporting the robustness of the baseline findings.
4.2.4 Other robustness tests
Four supplementary tests were conducted to ensure the robustness of the results. First, Propensity Score Matching (PSM) was used to reconstruct the sample by matching treated and untreated cities through kernel and caliper matching methods, which mitigates sample selection bias (see Columns (1) and (2) of Table 6). The findings confirm the reliability of the baseline results by showing that the beneficial effect of digital economy growth on ULGUE is statistically significant. Second, to prevent estimate bias because of inherent locational and resource advantages, key cities—municipalities directly under the central government, provincial capitals, and sub-provincial cities—were excluded from the sample (see Column (3)). Third, the core explanatory variable was lagged by one period to account for the delayed effect of policy implementation and to reduce potential reverse causality (see Column (4)). Lastly, dummy variables for the smart city policy and the low-carbon pilot policy were included to control for interference from concurrent policies that may also affect ULGUE (see Columns (5) and (6)).
The digital economy development coefficient consistently shows significant positive effects in all robustness tests, confirming the stability and reliability of the baseline results. This identification strategy aligns with previous studies. For example, Liu et al. (2025) adopted comparable strategies, such as sample exclusion and lagged variable settings, and found that the NEDC initiative notably enhanced urban green performance. Similarly, Zheng and Chen (2024) used a spatial DID model and placebo testing to verify the favorable effect of low-carbon policies on ULGUE. Liu, Feng, and Wang (2022) highlight the role of green transformation policies in increasing land use efficiency, which supports our inclusion of policy control variables. Together, these studies provide strong theoretical and empirical support for our estimation approach and conclusions.
According to Table 7, once matching was performed, no covariate differences between the treatment and control samples reached statistical significance (p > 0.05), suggesting that the groups achieved adequate balance through the matching process.
4.2.5 Placebo test
Based on the counterfactual idea of placebo testing, this article refers to the study by Wang and Wang, (2024) to construct false policy regions for robustness testing. This study conducts a spatial placebo test by randomly assigning pseudo-treatment status across potential pilot cities. Figure 4 shows the distribution of estimated coefficients and corresponding p-values using kernel density plots, which are derived from 500 random replications of the treatment group assignment. The results show two key findings: first, the mean regression coefficient (0.032) is close to zero, which indicates no systematic treatment effect under randomization; and second, more than 90% of the simulated p-values are above conventional significance thresholds (p > 0.1). These patterns confirm that the observed policy effects are unlikely to result from chance spatial correlations, thus supporting the validity of our causal inferences.
These findings are highly consistent with those of Zheng and Chen (2024), who use a spatial DID model to evaluate the effect of China’s low-carbon city pilot policy on ULGUE. Their analysis includes a placebo approach to validate the robustness of the identified causal relationship. The results show that when the treatment status is randomly assigned, the statistical significance of the policy effect disappears. This further confirms that the original estimation is not driven by model specification or sample selection bias, but instead reflects a genuine policy effect. Both studies demonstrate that the placebo test, as a counterfactual-based robustness check, is an effective tool for enhancing the credibility of causal inference and strengthening the reliability of empirical conclusions.
4.3 Mechanism effect test
This section examines how the digital economy influences ULGUE through two mediating paths: RUE and green technology innovation (GTI). Drawing on Fu (2024) and Zheng and Chen (2024), we adopt a parallel mediation model, treating GTI and RUE as independent rather than sequential channels. Although the two may be correlated in practice, the identification relies on the assumption that each captures a distinct pathway from digital economy development to ULGUE, consistent with Liu et al. (2023) and Guo and Zhang (2024).
Regression results in Table 8 show that digital economy development significantly promotes GTI (coef. = 1.539, p < 0.01), and GTI positively affects ULGUE (coef. = 0.015, p < 0.01), supporting Hypothesis 2. These findings are consistent with Liu et al. (2025) and Cheng et al. (2023). Similarly, the digital economy significantly enhances RUE by reducing energy intensity (coef. = −0.003, p < 0.01), while RUE has a strong negative effect on ULGUE (coef. = −0.993, p < 0.01). Since RUE is measured as energy consumption per unit of GDP, the negative sign indicates that lower energy intensity improves efficiency and land sustainability, validating Hypothesis three and aligning with Liu et al. (2023) and Guo and Zhang (2024).
The Sobel tests (16.510 for GTI and 4.675 for RUE, both p < 0.001) confirm these mediation effects. Overall, the results reveal a dual parallel mediation mechanism, showing that digitalization enhances ULGUE by advancing green innovation and resource efficiency, while avoiding endogeneity concerns tied to assuming a strict causal sequence.
Table 9 presents the robustness check of mediation effects using the Bootstrap resampling method, following the recommendations of Hair et al. (2021). We conducted 1,000 bootstrap replications to generate 95% confidence intervals for the indirect effects. All intervals exclude zero and align with the Sobel test, confirming the stability of the mediation results.
4.4 Spatial spillover effects test
This study analyzes the spatial-economic effects of the NEDC policy within a spatial econometric framework following Corrado and Fingleton (2012). Three spatial weight matrices capture different inter-city relationships. The geographic distance matrix (Wd) measures spatial adjacency using inverse geographic distances between city coordinates, reflecting Tobler’s First Law of Geography. The economic distance matrix (We) is constructed from the reciprocal of absolute differences in per capita GDP, capturing disparities in development levels and potential spillover channels. This widely used measure offers a robust proxy for economic proximity. Alternative indicators such as FDI flows were considered but excluded due to missing data and comparability issues at the prefecture level. A hybrid matrix (Wm = 0.5Wd + 0.5We) assigns equal weight to geographic and economic proximity. Following Corrado and Fingleton (2012) and Elhorst (2014), this design reflects both spatial and economic linkages.
Using these matrices, Moran’s I values are calculated to test spatial correlation in ULGUE. Table 10 provides annual Moran’s I statistics with Z-scores, while Figure 5 illustrates their evolution from 2007 to 2022. The figure shows a clear upward trend, indicating increasingly significant positive spatial correlation across cities. This confirms the appropriateness of spatial econometric modeling.
Model specification is further validated through diagnostics. LM-lag and LM-error tests (p < 0.10) identify spatial dependence; Wald and LR tests (p < 0.01) reject reducing the Spatial Durbin Model (SDM) to SAR or SEM; and Hausman and LR tests (p < 0.01) support adopting a two-way fixed effects SDM. These checks together confirm the robustness of the empirical framework.
Results in Table 11 show that across all three matrices, the “W × Digital Economy Development” coefficient is significantly positive, indicating that NEDC pilot construction enhances ULGUE. The positive “W × Land Green Use Efficiency” coefficient confirms spatial spillovers: local efficiency gains extend to surrounding areas. Decomposition of spatial effects reveals three dimensions: direct, indirect, and total effects, all significant at the 1% level. The indirect effect under Wd (1.543) is especially strong, likely due to (i) knowledge spillovers, whereby digital and green technologies developed in demonstration cities diffuse to nearby regions; (ii) labor mobility and inter-city firm linkages, which facilitate the transfer of skills, practices, and managerial know-how across urban areas; and (iii) shared infrastructure networks, such as broadband connectivity, logistics systems, and e-commerce platforms, which enhance inter-city integration and amplify policy diffusion Thus, the NEDC policy improves land-use efficiency not only within pilot cities but also across neighboring regions, confirming Hypothesis 4. These findings are consistent with Zheng and Chen (2024), who showed similar spatial effects for the Low-Carbon City Pilot Policy, reinforcing that green development initiatives generate significant regional spillovers.
Table 12 further reports sensitivity tests of the hybrid matrix (v = 0.3, 0.7). Results remain robust, with larger weights on economic distance amplifying indirect effects, indicating asymmetric spillovers. This supports v = 0.5 as a reasonable baseline.
4.5 Heterogeneity analysis
To examine how digital economic development affects ULGUE differently across two important aspects, this study conducts a comprehensive heterogeneity analysis: (1) geographical regions and (2) policy implementation cohorts. The multi-dimensional assessment shows significant variations in policy effectiveness based on locational characteristics and adoption timing.
4.5.1 Regional heterogeneity
Building on Zhu et al. (2023), this study divides the sample into Eastern, Central, and Western regions to test for regional variation in the digital economy’s impact on urban land green use efficiency (ULGUE). Table 13 shows uniformly positive and significant coefficients, confirming that digitalization enhances ULGUE overall but with spatial gradients. The Eastern region records the strongest effect (0.068, p < 0.01), reflecting advantages in infrastructure, institutional support, and green innovation resources. The Central region also demonstrates a significant effect (0.049, p < 0.01), suggesting that digitalization contributes to greener land use even under weaker conditions. By contrast, the Western region’s effect is weaker (0.039, p < 0.05), constrained by limited infrastructure, inefficient resource allocation, and restricted factor mobility. These findings align with Zheng and Chen (2024), who report that low-carbon city pilots deliver stronger benefits in the East due to solid economic and governance foundations.
Figure 6 further illustrates these regional disparities. Standardized coefficients are 0.217, 0.280, and 0.223 for the Eastern, Central, and Western regions, respectively, underscoring the heterogeneity of policy effects across China’s economic zones.
4.5.2 Batch heterogeneity
To evaluate whether policy timing influences the green effects of digital economy development, this study incorporates batch-specific dummies within a triple difference (DDD) framework. As shown in Table 14, the estimated coefficients for the first and second batches are 0.084 and 0.058, both significant at the 1% level, while the third batch yields a coefficient of 0.010, significant only at the 10% level. These results indicate that the policy markedly enhanced ULGUE in the first two cohorts, but its impact in the third batch remains limited.
A Wald joint test is further performed on the coefficients of Digital Economy × 1st batch, 2nd batch, and 3rd batch. The joint statistic equals 17.840 and is significant at the 1% level, confirming that batch heterogeneity is statistically evident.
The weaker performance of later cohorts may stem from diminishing marginal returns, as the earlier pilots had already established critical digital infrastructure and institutional frameworks, reducing incremental benefits for subsequent cities. In addition, fiscal constraints, limited digital literacy, and weaker governance capacity hindered effective adoption of digital tools and enforcement of regulatory frameworks. These frictions along the chain from “digital investment → institutional embedding → green outcomes” further diluted policy effectiveness.
These findings accord with Liu et al. (2025), who show that the NEDC policy yields stronger impacts in early pilots with more advanced digital ecosystems. Similarly, Guo and Zhang (2024) reveal that initial batches facilitated efficient allocation of land and production inputs, supporting sustainable, low-carbon growth. Overall, the evidence indicates that the policy’s effectiveness in enhancing ULGUE depends on timing and local readiness, while later cohorts encounter diminishing returns and uneven outcomes from weaker implementation.
5 Discussion
5.1 Key findings
This research shows that the digital economy can increase ULGUE, which is consistent with Guo and Zhang (2024) and Liu and Qiu (2023), who find that digital technology promotes resource efficiency and environmental improvement. In the context of rapid urbanization in China, digitalization is an important tool for green urban transformation. However, the effect of the digital economy may be limited by regional development levels and infrastructure, and its effectiveness differs among cities (Cheng et al., 2023; Liu et al., 2025). Our results confirm this: the digital economy has stronger effects in China’s eastern regions than in western regions. Eastern areas have more advanced economic development and stronger digital infrastructure, which allow for broader technology adoption and promotion. Therefore, policies are more effective in increasing ULGUE in these regions.
In contrast, underdeveloped infrastructure in western regions limits the potential of the digital economy (Chu et al., 2023). Additionally, eastern China’s superior human capital and innovation capacity amplify digital benefits, resulting in more substantial green benefits. Meanwhile, inadequate innovation endowments and underdeveloped economic foundations in western regions constrain the efficacy of the digital economy in advancing sustainable land use practices.
The digital economy indirectly improves ULGUE by stimulating green innovation and optimizing resource allocation. This finding supports Liu and Qiu’s (2023) and Fan et al.’s (2024) arguments regarding the intermediary function of technological innovation in green transitions. These scholars show that innovation enhances environmental outcomes, enables efficient resource use, and facilitates greener land utilization. Because innovation effects depend on institutional environments and financial development (Berman and Bui, 1998; Beck et al., 2000), this study includes these variables as controls. This approach reinforces the robustness of our conclusion concerning the mediating role of green innovation. Nevertheless, we acknowledge that GTI and RUE may themselves be endogenously affected by digital economy development, which could bias mediation estimates. Although additional methods such as instrumental variables or dynamic panel approaches could mitigate this issue, it remains a limitation of the present study.
Moreover, The digital economy yields spatial spillovers: it raises local ULGUE and improves neighbors’ green performance. As Chu et al. (2023) show, digital infrastructure promotes efficiency via diffusion, information, and factor flows. Our estimate gives a spillover coefficient of 1.543. Yet, spillovers may be constrained by geography and institutions, especially where infrastructure is weak (Cheng et al., 2023), implying regionally divergent effects needing targeted policies.
5.2 Theoretical contributions
This research addresses gaps in examining the environmental effects of the digital economy across perspectives, mechanisms, and spatial dimensions. It also extends General Purpose Technology (GPT) theory.
First, we broaden the research perspective. While previous research often focuses on macro-level environmental indicators, this study examines ULGUE as a specific dimension. This approach enriches studies that link the digital economy to sustainable development.
Second, it reveals the internal mechanisms. Through empirical testing, we identify two core transmission pathways: GTI and RUE. This finding clarifies how digital technologies affect urban green transitions.
Third, we verify and quantify spatial spillover effects. This study incorporates spatial considerations into the analytical framework and uses spatial econometric techniques to empirically verify and quantify the significant positive spillover effects of the digital economy on ULGUE. This finding provides new empirical evidence for spatial economics.
Fourth, this study refines and expands the theoretical framework of GPTs. While GPT theory traditionally emphasizes the broad applicability and inter-industry complementarity of technologies (Bresnahan and Trajtenberg, 1995), it offers limited explanation of how these technologies function within ecological and sustainability transitions. To address this gap, this study introduces two specific transmission mechanisms—green technology innovation (GTI) and resource use efficiency (RUE)—to operationalize the abstract notion of “technological complementarity” described by Helpman and Trajtenberg (1994). These mechanisms clarify how digital infrastructure drives green innovation and improves resource allocation, thereby enriching the theoretical logic of GPTs in sustainability research. Furthermore, the integration of spatial econometric techniques shows that digital infrastructure and platforms generate measurable green spillover effects across city boundaries. This spatial extension complements earlier GPT formulations by including regional interaction and cross-boundary externalities, offering new insights into how digital systems support network-based diffusion, coordinated development, and collective urban green transformation. The findings strengthen the theoretical robustness and policy relevance of GPT theory in guiding green and sustainable regional development. At the same time, we also recognize that GPTs, including digital technologies, may generate unintended environmental externalities such as electronic waste and high energy consumption in data centers, which should be incorporated into future theoretical extensions.
5.3 Policy implications
While China operates under a hierarchical and multi-tiered governance structure, the execution of NEDC policies requires coordination among multiple entities, such as governments, urban planners, and economic policymakers. Therefore, we propose targeted recommendations.
For governments, optimizing top-level design with regionally differentiated strategies is fundamental. Policies should implement tailored fiscal and industrial measures concerning uneven digital infrastructure and economic development across eastern, central, and western regions. Governments should scale up replicable models from successful E-commerce Demonstration Cities. In addition, specific policy instruments can be introduced, such as linking subsidies for 5G infrastructure to measurable improvements in green land use efficiency, or establishing cross-city digital–green innovation cooperation zones in urban clusters like the Yangtze River Delta. Governments can also lead efforts to build cross-regional digital governance and data-sharing platforms to harness spatial externalities and create green synergies.
For urban planners, integrating digital technology into spatial planning is essential. Planning departments should include digital infrastructure, such as 5G and IoT, in land-use plans. Technologies such as remote sensing and digital twins can be used to develop dynamic monitoring and simulation systems that improve land use efficiency. Land supply models should be reformed to connect land quotas and prices with firms’ green technology and digital maturity. This market-oriented approach can promote ULGUE.
For economic policymakers, promoting a digital-driven green industrial ecosystem is critical. This includes establishing special funds, encouraging integration between digital platforms and manufacturing firms, and accelerating the diffusion of green technologies. Additionally, financial incentives, such as subsidies and tax breaks, can support firms in their green and digital transitions, ultimately supporting green industrial clusters and enhancing regional green competitiveness.
5.4 Limitations and future research
5.4.1 Limitations
Several limitations should be noted. First, because pollution and energy statistics are published with a lag, the dataset ends in 2022 and does not capture emerging developments such as generative AI (AIGC). Second, although the DID approach satisfies the parallel trend assumption, potential interference from concurrent initiatives (e.g., smart city or low-carbon programs) and unobservable shocks cannot be ruled out. Third, the mechanism analysis relies on proxies—patent counts for green innovation and the energy-to-GDP ratio for resource efficiency. While widely used, these indicators may not fully reflect how digital technologies affect land-use practices: patents indicate innovation potential rather than application, and energy intensity may miss structural or behavioral changes. The lack of firm-level surveys or case studies also limits explanatory depth.
In addition, comparative fit statistics (e.g., log-likelihood, AIC) for the three spatial models are not reported; although useful for robustness, they would considerably increase the analytical burden. The findings are also shaped by China’s unique institutional context of state-led digital infrastructure and public land ownership, which restricts generalization to market-based or private land systems. Finally, the framework does not incorporate moderating factors such as institutional quality or urban density, nor account for feedback loops. Excluding these elements, though improving tractability, may reduce the framework’s comprehensiveness.
5.4.2 Future research
Future studies can explore the following directions. First, researchers can shift the analytical focus to the micro firm level. Although this study identifies green innovation and resource efficiency as mediators at the city level, firm-level data may provide deeper insights into how digital technologies affect production processes, supply chain management, and land use decisions. Firm surveys or case studies, in particular, could help verify whether patent-based indicators and energy-intensity measures accurately reflect changes in actual land-use efficiency. Second, cross-country comparative research can be conducted. To assess the external validity and institutional contingencies of the findings, future work may compare the digital economy’s effects on land-use efficiency across countries or regions with different governance structures. Third, the mechanism analysis can be refined and extended. Beyond technological and resource-based mechanisms, the digital economy may affect green land use through sociological channels, such as governance reforms, lifestyle shifts, and environmental preferences. In addition, subsequent research could integrate moderating factors such as institutional quality and urban density, as well as feedback loops within the theoretical framework, to better capture the complex interactions between digitalization and sustainable land use. Finally, future research should also pay attention to the negative externalities of digitalization, such as electronic waste and the rising energy consumption of data centers, to achieve a more balanced assessment of its role in sustainable urban transitions.
6 Conclusion
To rigorously assess the effect of digital economy expansion on ULGUE and its underlying mechanisms, this study uses panel data from 282 Chinese cities and treats the NEDC policy as a quasi-natural experiment. The main conclusions are as follows. First, the digital economy has a strong positive effect on ULGUE, which shows that digital technologies substantially contribute to urban growth and the green transformation of land use. Second, two core pathways drive this improvement: stimulating green technology innovation to upgrade land-use practices, and increasing resource allocation efficiency to direct production factors toward greener, higher-productivity sectors. Third, spatial analysis shows strong network externalities. The digital economy not only improves ULGUE locally but also positively affects neighboring cities, which emphasizes the need for regional coordination to capture digital dividends. Fourth, regional heterogeneity analysis finds an east-to-west decreasing effect, where the digital economy’s benefits are greatest in eastern China, intermediate in central areas, and lowest in the west. Earlier policy adoption also produces stronger effects, which highlights the importance of policy timing and infrastructure maturity in determining effectiveness.
Data availability statement
The raw data supporting the conclusions of this article will be made available by the authors, without undue reservation.
Author contributions
HJ: Conceptualization, Data curation, Investigation, Methodology, Resources, Writing – original draft. SX: Formal Analysis, Software, Validation, Writing – review and editing. Y-SS: Conceptualization, Supervision, Project administration, Funding acquisition, Visualization, Writing – review and editing.
Funding
The author(s) declare that no financial support was received for the research and/or publication of this article.
Acknowledgments
The authors is grateful to the editor and the referees for their highly constructive comments and suggestions.
Conflict of interest
The authors declare that the research was conducted in the absence of any commercial or financial relationships that could be construed as a potential conflict of interest.
Generative AI statement
The author(s) declare that no Generative AI was used in the creation of this manuscript.
Any alternative text (alt text) provided alongside figures in this article has been generated by Frontiers with the support of artificial intelligence and reasonable efforts have been made to ensure accuracy, including review by the authors wherever possible. If you identify any issues, please contact us.
Publisher’s note
All claims expressed in this article are solely those of the authors and do not necessarily represent those of their affiliated organizations, or those of the publisher, the editors and the reviewers. Any product that may be evaluated in this article, or claim that may be made by its manufacturer, is not guaranteed or endorsed by the publisher.
References
Baron, R. M., and Kenny, D. A. (1986). The moderator–mediator variable distinction in social psychological research: conceptual, strategic, and statistical considerations. J. Personality Soc. Psychol. 51 (6), 1173–1182. doi:10.1037/0022-3514.51.6.1173
Beck, T., Demirgüç-Kunt, A., and Levine, R. (2000). A new database on the structure and development of the financial sector. World Bank Econ. Rev. 14 (3), 597–605. doi:10.1093/wber/14.3.597
Berman, E., and Bui, L. T. M. (1998). Environmental regulation and productivity: evidence from oil refineries. Natl. Bureau Econ. Res. 83 (3), 498–510. doi:10.3386/w6776
Bresnahan, T. F., and Trajtenberg, M. (1995). General purpose technologies: Engines of growth. J. Econ. 65 (1), 83–108. doi:10.1016/0304-4076(94)01598-T
Cheng, Y., Zhang, Y., Wang, J., and Jiang, J. (2023). The impact of the urban digital economy on China’s carbon intensity: spatial spillover and mediating effect. Resour. Conservation Recycl. 189, 106762. doi:10.1016/j.resconrec.2022.106762
Chu, H., Ning, Y., and Qie, X. (2023). Measurement and spatial correlation analysis of the development level of the digital economy in the Yangtze River Delta urban agglomeration. Sustainability 15 (18), 13329. doi:10.3390/su151813329
Corrado, L., and Fingleton, B. (2012). Where is the economics in spatial econometrics? J. Regional Sci. 52 (2), 210–239. doi:10.1111/j.1467-9787.2011.00726.x
Ding, M., and Gao, Q. (2023). The impact of E-commerce transformation of cities on green total factor productivity. Sustainability 15 (24), 16734. doi:10.3390/su152416734
Du, M., Antunes, J., Wanke, P., and Chen, Z. (2022). Ecological efficiency assessment under the construction of low-carbon city: a perspective of green technology innovation. J. Environ. Plan. Manag. 65 (9), 1727–1752. doi:10.1080/09640568.2021.1945552
El-Garaihy, W. H., Badawi, U. A., Seddik, W. A. S., and Torky, M. S. (2022). Investigating performance outcomes under institutional pressures and environmental orientation motivated green supply chain management practices. Sustainability 14 (3), 1523. doi:10.3390/su14031523
Elhorst, J. P. (2014). Spatial econometrics: from cross-sectional data to spatial panels. Springer. doi:10.1007/978-3-642-40340-8
Fan, Z., Long, R., and Shen, Z. (2024). Regional digitalization, dynamic capabilities and green innovation: evidence from e-commerce demonstration cities in China. Econ. Model. 134, 106846. doi:10.1016/j.econmod.2024.106846
Fu, Y. (2024). Digital economy and urban green innovation: empirical evidence from Chinese prefecture-level cities. Highlights in Business Economics and Management, 34, 108–121. doi:10.54097/dfhpnv13
Guo, Q., and Zhang, N. (2024). High-quality development under energy constraints: an empirical study based on e-commerce demonstration zones. Front. Energy Res. 12, 1373847. doi:10.3389/fenrg.2024.1373847
Hair, J. F., Hult, G. T. M., Ringle, C. M., Sarstedt, M., Danks, N. P., and Ray, S. (2021). Partial least squares structural equation modeling (PLS-SEM) using R: a workbook. Springer International Publishing. doi:10.1007/978-3-030-80519-7
Hao, X., Li, Y., Ren, S., Wu, H., and Hao, Y. (2023). The role of digitalization on green economic growth: does industrial structure optimization and green innovation matter? J. Environ. Manag. 325, 116504. doi:10.1016/j.jenvman.2022.116504
He, S., Gong, X., Ding, J., and Ma, L. (2024). Environmental regulation influences urban land green use efficiency: incentive or disincentive effect? Evidence from China. Heliyon 10 (9), e30122. doi:10.1016/j.heliyon.2024.e30122
Helpman, E., and Trajtenberg, M. (1994). A time to sow and a time to reap: growth based on general purpose technologies (NBER Working Paper No. 4854). National Bureau of Economic Research. Cambridge, MA: MIT Press. doi:10.3386/w4854
Jiang, H., Hu, W., Guo, Z., Hou, Y., and Chen, T. (2024). E-commerce development and carbon emission efficiency: evidence from 240 cities in China. Econ. Analysis Policy 82, 586–603. doi:10.1016/j.eap.2024.04.009
Jin, G., Chen, K., Wang, P., Guo, B., Dong, Y., and Yang, J. (2019). Trade-offs in land-use competition and sustainable land development in the North China Plain. Technol. Forecast. Soc. Change 141, 36–46. doi:10.1016/j.techfore.2019.01.004
Jin, H., Yu, L. H., and Wei, J. L. (2022). Research on the influence and mechanism of the National E-commerce Demonstration City on green technological innovation of enterprises. Sci. and Technol. Prog. Policy 39 (10), 81–90. doi:10.6049/kjjbydc.C202106128
Li, P., Lu, Y., and Wang, J. (2016). Does flattening government improve economic performance? Evidence from China. J. Dev. Econ. 123, 18–37. doi:10.1016/j.jdeveco.2016.07.002
Liu, D., and Qiu, Z. (2023). Can e-commerce reduce urban CO2 emissions? Evidence from National E-commerce Demonstration Cities policy in China. Environ. Sci. Pollut. Res. 30 (20), 58553–58568. doi:10.1007/s11356-023-26657-3
Liu, J., Feng, H., and Wang, K. (2022). The low-carbon city pilot policy and urban land use efficiency: a policy assessment from China. Land 11 (5), 604. doi:10.3390/land11050604
Liu, M., Hou, Y., and Jiang, H. (2023). The energy-saving effect of E-commerce development—a quasi-natural experiment in China. Energies 16 (12), 4718. doi:10.3390/en16124718
Liu, Y., Zhang, M., Fan, B., Fu, S., and Liu, Y. (2025). The green side of digital trade: evaluating the impact of National E-commerce Demonstration Cities policy. Int. Rev. Econ. and Finance 99, 104071. doi:10.1016/j.iref.2025.104071
Lu, X., and Tao, X. (2024). Local government environmental attention and urban land green use efficiency in China: the intermediary role of industrial restructuring. Land 13 (1), 21. doi:10.3390/land13010021
Lu, X., Chen, D., Kuang, B., Zhang, C., and Cheng, C. (2020). Is high-tech zone a policy trap or a growth drive? Insights from the perspective of urban land use efficiency. Land Use Policy 95, 104583. doi:10.1016/j.landusepol.2020.104583
Moser, P., and Voena, A. (2012). Compulsory licensing: evidence from the trading with the enemy act. Am. Econ. Rev. 102 (1), 396–427. doi:10.1257/aer.102.1.396
Tan, S., Hu, B., Kuang, B., and Zhou, M. (2021). Regional differences and dynamic evolution of urban land green use efficiency within the yangtze river delta, China. Land Use Policy 106, 105449. doi:10.1016/j.landusepol.2021.105449
Tone, K. A. (2002). A slacks-based measure of super-efficiency in data envelopment analysis. Eur. J. Operational Res. 143 (1), 32–41. doi:10.1016/S0377-2217(01)00324-1
Wang, J., and Han, P. (2023). The impact of industrial agglomeration on urban green land use efficiency in the Yangtze River Economic Belt. Sci. Rep. 13 (974), 974. doi:10.1038/s41598-023-28250-7
Wang, C., and Wang, L. (2024). Does broadband infrastructure promote urban innovation? Evidence from the “Broadband China” demonstration policy. Struct. Change Econ. Dyn. 69, 349–362. doi:10.1016/j.strueco.2024.01.005
Wang, D., Zhou, T., Lan, F., and Wang, M. (2021). ICT and socio-economic development: evidence from a spatial panel data analysis in China. Telecommun. Policy 45 (7), 102173. doi:10.1016/j.telpol.2021.102173
Wang, A., Lin, W., Liu, B., Wang, H., and Xu, H. (2021a). Does smart city construction improve the green utilization efficiency of urban land? Land 10 (6), 657. doi:10.3390/land10060657
Wen, L., and Sun, S. (2023). The impact of urban E-commerce transformation on carbon emissions in Chinese cities: an empirical analysis based on the PSM-DID method. Sustainability 15 (7), 5659. doi:10.3390/su15075659
Xu, H., Li, Z., Guo, L., and Liu, Y. (2025). The impact of innovative city pilot policy on urban land green use efficiency: a quasi-natural experiment from China. Land 14 (1), 168. doi:10.3390/land14010168
Yang, B., Mao, G., Ding, M., Ge, X., and Tao, X. (2018). Dense small cell networks: from noise-limited to dense interference-limited. IEEE Trans. Veh. Technol. 67 (5), 4262–4277. doi:10.1109/TVT.2018.2794452
Yu, Y., Hu, W., Dong, C., Gu, X., and Obrenovic, B. (2023). E-commerce development and green technology innovation: impact mechanism and the spatial spillover effect. Sustainability 15 (17), 12988. doi:10.3390/su151712988
Zhang, Z., Sun, Z., and Lu, H. (2022). Does the E-Commerce City Pilot reduce environmental pollution? Evidence from 265 cities in China. Front. Environ. Sci. 10, 813347. doi:10.3389/fenvs.2022.813347
Zhang, Y., Liu, Y., Zhao, J., and Wang, J. (2023). Smart city construction and urban green development: empirical evidence from China. Sci. Rep. 13 (1), 17366. doi:10.1038/s41598-023-44061-2
Zhang, R., Liu, H., Xie, K., Xiao, W., and Bai, C. (2024). Toward a low carbon path: do E-commerce reduce CO2 emissions? Evidence from China. J. Environ. Manag. 351, 119805. doi:10.1016/j.jenvman.2023.119805
Zhang, Y., Lu, K., and Chen, H. (2024). Enhancing urban sustainability through E-commerce transformation: insights on energy conservation and emission reduction. J. Knowl. Econ. 16, 4146–4160. doi:10.1007/s13132-024-02163-w
Zheng, L., and Chen, J. (2024). Impacts of low-carbon city pilot policy on urban land green use efficiency: evidence from 283 cities in China. Sustainability 16 (10), 4115. doi:10.3390/su16104115
Zhu, S., Sun, H., Zhang, B., Yang, Z., and Xia, X. (2023). Bilateral effects of ESG responsibility fulfillment of industrial companies on green innovation. Sustainability 15 (13), 9916. doi:10.3390/su15139916
Keywords: digital economy, 5G communication infrastructure, urban land green use efficiency, space spillover effect, differences-in-differences
Citation: Jiang H, Xiang S and Shin Y-S (2025) How does digital economy development influence urban land green efficiency? evidence from China. Front. Environ. Sci. 13:1659159. doi: 10.3389/fenvs.2025.1659159
Received: 04 July 2025; Accepted: 16 September 2025;
Published: 02 October 2025.
Edited by:
Cunyi Yang, Sun Yat-sen University, ChinaReviewed by:
Minzhe Du, South China Normal University, ChinaHe Kai, Jinan University, China
Athar Marwat, Iqra National University, Pakistan
Copyright © 2025 Jiang, Xiang and Shin. This is an open-access article distributed under the terms of the Creative Commons Attribution License (CC BY). The use, distribution or reproduction in other forums is permitted, provided the original author(s) and the copyright owner(s) are credited and that the original publication in this journal is cited, in accordance with accepted academic practice. No use, distribution or reproduction is permitted which does not comply with these terms.
*Correspondence: Yeon-Soo Shin, eXNzaW5Aam9vbmdidS5hYy5rcg==