Your new experience awaits. Try the new design now and help us make it even better

ORIGINAL RESEARCH article

Front. Environ. Sci., 25 September 2025

Sec. Environmental Economics and Management

Volume 13 - 2025 | https://doi.org/10.3389/fenvs.2025.1660843

This article is part of the Research TopicCreating an Economy that is not Reliant on Coal, Oil, and GasView all 4 articles

Do sustainable development policies in resource-based cities contribute to industrial structure upgrading? empirical evidence from China

  • School of Economics, Central University of Finance and Economics, Beijing, China

Sustainable development policies serve as the primary driver for the transformation and upgrading of resource-based cities (RBCs). This study analyzes how China’s Sustainable Development Plan of Resource-Based Cities, 2013-2020(SDPRC), which was implemented in 2013, affects the industrial structure upgrading in Chinese Resource-Based Cities. Taking SDPRC as a quasi-natural experiment, we assess this effect by using the panel data of prefecture-level cities from 2007 to 2023. The results of the study found that: (1) the coefficient of SDPRC on the RBC’s industrial structure upgrading is positive and passes the significance level test, indicating that SDPRC promotes the industrial structure upgrading of RBCs. (2) The SDPRC promotes the industrial structure upgrading of RBC through the green technology innovation effect, the human resource effect, and the FDI effect. (3) In the heterogeneity analysis, it is found that the promotion effect of SDPRC on the industrial structure upgrading of RBCs is significant in RBCs located at the southeast side of Hu Huanyong Line. The effect of policies on promoting industrial structure upgrading is also more pronounced in regions with higher per capita GDP. This paper enriches the empirical and theoretical support on how sustainable development policies facilitate the industrial structure upgrading of RBCs, while providing valuable insights for RBCs in other countries seeking transformative development.

1 Introduction

Cities are centers of local politics, economy, education, science, culture, information, and administration. The sustainable development of cities is an important force in promoting economic development (Ruan et al., 2020). It not only promotes urban prosperity, and protects the environment, but also promotes the harmonious development of human-nature relations. Among all cities, RBCs faces more serious sustainability problems than other cities. Because of their rich natural resources (such as coal, oil, forests, metals, and so on), RBCs provides essential materials for production, promoting the local economic prosperity. However, in recent years, those types of cities have caused a lot of problems due to their high dependence on local resources, the unsustainability of these cities is globally recognized. Affected by multiple factors, such as the non-renewable nature of resources, the singularity of urban industrial structure, and changes in market demand, some RBCs have relatively low technological efficiency, low employment, and urban contraction, failing to achieve sustainable and high-quality development. This urban development phenomenon was labeled “pollute now, clean later” (Yu et al., 2016). Therefore, how to help RBCs realize an efficient and environmentally friendly economic development model is worth studying.

Most RBCs have developed a very homogenous industrial structure centered around the extraction and processing of local natural resources. Moreover, the employment of residents depends on the local heavy industry, which limits the development of other industries and prevents the establishment of a sound economic structure. At the same time, natural resources are non-renewable, and after a period of irrational overexploitation, these resources are eventually depleted (Li et al., 2013), which results in the collapse of local industries, economic recession, and urban shrinkage (Martinez-Fernandez et al., 2012; He et al., 2017). In addition, these cities face serious environmental problems, including industrial pollution emissions, deforestation, and ground subsidence. Poor economic conditions also adversely affect social welfare such as healthcare services, employment support, and education (Yu et al., 2016).

RBCs accounts for about 40% of China’s cities. As China’s important strategic guarantee base for energy resources, in the early stage, RBCs provided a large number of resources for China’s industrialization, which is an important support for national economic development. Therefore, the transformation and sustainability development of these cities is an important issue in China’s economic policy. China has always attached great importance to the sustainable development of RBCs. As early as 2001, the “10th Five-Year Plan” mentioned the need to adjust the secondary industrial proportion in the traditional industrial bases of the northeast region in China. When it comes to 2013, the State Council promulgated the SDPRC, which comprehensively proposed the measures and objectives of the transformation of RBCs for the first time. The SDPRC identified China’s RBCs into four categories: growth, maturity, decline, and regeneration, which laid the foundation guiding those cities’ next phase of development. Continuous structural adjustment is a necessary step for economic growth and a prerequisite for China to maintain high-quality development. Accordingly, in the SDPRC, industrial structure transformation is one of the five key tasks, aiming to reform the single industrial structure and weak endogenous power in those particular cities. In this context, this paper speculates that the launch and implementation of the SDPRC can promote industrial structure upgrading in these cities.

Within the literature on policy effects in RBCs, existing studies include reviews of China’s RBCs development policies (Li et al., 2013), case analyses discussing the development and transformation of specific Chinese RBCs (Yu et al., 2016; He et al., 2017), while some research concentrates on the provincial level (Zhang et al., 2018). The majority of evaluations regarding the effectiveness of policies targeting RBCs in China have focused on the policy introduced in 2007 specifically aimed at resource-exhausted cities (Sun and Liao, 2021; Yang et al., 2021; Yu et al., 2022; Shen et al., 2023). When it comes to the research on SDPRC, the existing research has studied on company’s green technological behavior (Sun et al., 2023); ESG performance (Wang et al., 2023); carbon emissions (Zheng and Ge, 2022); industrial transformation (Li et al., 2021).

Although existing studies have touched upon the issue of industrial restructuring in RBCs, their data coverage remains relatively outdated, and the exploration of underlying mechanisms is insufficient. Current research has only identified that policies alleviate resource dependency, thereby improving the proportion of the secondary industry in GDP. Otherwise, research on which key mechanisms play a role in the impact of policies on the industrial restructuring of RBCs remains insufficient. Furthermore, previous studies on the economic transformation of such cities have paid relatively little attention to the role of green technological innovation. As a unique category facing dual pressures from economic and environmental challenges, RBCs cannot be simplistically assumed to benefit from general technological innovation alone. Instead, it is essential to explore whether green technological innovation specifically can serve as an effective mechanism, thereby providing a clear direction for the sustainable development of RBCs in the future. Meanwhile, this study provides a detailed examination of the mechanisms through which the policy effects operate. It incorporates both human capital and foreign direct investment (FDI) into a unified analytical framework, enabling a more nuanced and multi-faceted investigation.

To fill this gap, our contributions are as follows: (1) By using the latest data, this study treats the SDPRC as a quasi-natural experiment, adopt difference-in-difference (DID) to identify its net effect on industrial structure upgrading of RBCs. (2) We examine the mechanistic roles of green technological innovation, human capital, and FDI in this process, thereby providing more specific pathways for industrial structure upgrading in RBCs. This analysis can also offer valuable insights for the transformation of resource-dependent cities in other countries. (3) Besides, the heterogeneous analysis concludes dual aspects of geographical features and economic attributes of the sample cities. We utilize the Hu Huanyong Line and regional economic development levels to examine whether the policy effects vary across RBCs located in different geographical positions and with different economic conditions.

The rest of this study is organized as follows: Section 2 presents the policy background. Section 3 is a literature review. Section 4 illustrates the theory hypothesis and describes the methodology and data. Sections 5,6 present a discussion of the empirical findings. Section 7 concludes discussion and conclusion.

2 Policy background

RBCs have made a historic contribution to the industrialization and modernization of China by providing raw materials such as minerals, forests, and oil, as well as processed goods based on local resources. However, the overconsumption of resources, weak industrial growth, and the aggravation of environmental problems have hindered the development of RBCs. Therefore, at the critical moment when China’s economic development has entered a new stage, it is an urgent mission for RBCs to promote the transformation of industrial structure and economic development mode. In this regard, as early as 2000, China had paid considerable attention to RBCs’ sustainability and continuously introduced policies to promote that.

In 2013, SDPRC was released, as a programmatic document for the transformation of RBCs in China during the 13th Five-Year Plan period. SDPRC identifies Chinese RBCs and provides a more specific definition: RBCs are cities that focus on the development, processing, and utilization of minerals, forests and other resources in the region. By the current situation of the resource stocks and utilization situation, the State Council finally identified 262 RBCs, including large and medium-sized cities, and defined them into four categories: Maturity (54%),Growth (12%), Decline (25%), and Regeneration (9%) (He et al., 2017). Figure 1 illustrates the geographical distribution of the four types of resource-based cities across China.

Figure 1
Map of China with various colored symbols representing different locations: blue squares, orange triangles, red inverted triangles, and green stars. Each symbol type likely denotes specific data categories. A scale bar is provided at the bottom. An inset map shows the islands to the southeast.

Figure 1. Distribution of four types of RBCs in China.

The policy proposed the economic, social livelihood, and environmental indicators for RBCs, aiming to shift economic mode from extensive to intensive, and also realize green and sustainable growth. In terms of economy, it emphasizes improving the added value of resource-based products and building a diversified industrial system, which is conducive to the benign development of local industries and promotes low-carbon development. In terms of society and people’s livelihood, it emphasizes controlling the total emission of major pollutants, improving the infrastructure and public service system, strengthening the transformation of shanty towns, and raising both urban and rural residents’ income levels and social security levels. An important goal of the sustainable development strategy for RBCs is to promote industrial structure upgrading and to establish a mechanism for the sustainable development of RBCs.

In summary, from the beginning of 2000, China began to carry out the support policies for RBCs. Through more than a decade of managing the transformation of RBCs, the Chinese government has gained a certain amount of experience. By the time the SDPRC was launched in 2013, China had formed more complete and comprehensive measures for the sustainable development of RBCs. Therefore, it is important to assess whether the SDPRC has achieved the expected results. This research may provide a reference for the subsequent transformation of other cities.

3 Literature review

In this part, we review two strands of literature related to our study: (i) the impacts of government policy in RBCs, (ii) the factors influencing industry structure upgrading.

3.1 Impacts of government policy in RBCs

For policy-driven RBCs, achieving comprehensive, high-quality sustainable development hinges critically on strategic, well-organized urban planning and policy intervention. (Khan et al., 2020). Liu et al. (2012) observed that the initial urban formation of Hebi City, in Henan Province of China, was most driven by the central government and established based on the abundant coal resources in the area. When Hebi faced resource depletion, the local government introduced new enterprises and built a new city center in order to revitalize the city, leading to diversified development of the local economy. From the case of Hebi, it can be seen that policies played a crucial role in the formation and subsequent development of China’s RBCs. Li et al. (2013) reviewed the RBCs’ transforming policies and implementation performance, and found that compared to other cities, RBCs had a lower level of development; At the same time, the article analyzed several aspects of policy effect. However, there are some shortcomings in the process of policy implementation. He et al. (2017) reviewed the RBCs’ policies from a macro perspective, analyzed how the government responds to the urgent economic problems faced by RBCs, especially focusing on economic structural adjustment. In order to further analyze the policies of the central government and the diversity of local practices, this article proposes two case studies, one in an oil mining city (Daqing City) and one in a coal mining city (Pingxiang City). Yu et al. (2016) discussed the implementation of policies for rescuing and transforming resource-based cities in China, arguing that government conflicts between different administrative levels are the main obstacle to industrial transformation in Yichun City. Zhang et al. (2018) utilized panel data from 37 resource-exhausted cities between 2004 and 2014 for analysis and found that policy incentives can still improve transformation efficiency after experiencing long-term fluctuations.

Research on the effectiveness of policies in RBCs conclude economic, energy, and environmental dimensions, with specific transformation metrics including energy efficiency (Li et al., 2022); industrial structure transforming (Li et al., 2021; Pan et al., 2023; Shen et al., 2023); ESG (Wang et al., 2023); Company’s green behavior (Sun et al., 2023). A body of research has focused on policies introduced in 2007 targeting resource-exhausted cities (Sun and Liao, 2021; Yang et al., 2021; Yu et al., 2022; Shen et al., 2023). By using firm-level data, Sun and Liao (2021) examined the impact of the transformation of resource-depleted cities on industrial development. The findings indicate that the support policies stimulated capital investment, employment, and efficiency, thereby enhancing corporate output. Yang et al. (2021) using prefecture-level data of China from 2003 to 2018, found out that the policy of resource-exhausted cities promoted economic development. Yu et al. (2022) found that the policy help to improve the energy efficiency of the resource-exhausted cities. Shen et al. (2023) used difference-in difference model, to examine the effect of government policy targeted mineral resource-exhausted cities. The data scale is from 2004 to 2013. The results show that policy can promote the industrial structure upgrading in those mineral cities. And the mechanisms include heightened cost pressures, incentives for innovation, economic performance attractiveness, and improvements in energy efficiency.

As to the research on SDPRC, some studies are conducted at the company level. Sun et al. (2023) use DID method, based on data from Chinese heavy industrial enterprises (2007-2018), finding that SDPRC helps to promote company’s green technological innovation. This phenomenon is more pronounced in state-owned enterprises. In parallel, Wang et al. (2023) also use DID model to examine the policy effect on ESG performance of Chinese A-share listed companies from 2010 to 2021. The results show that SDPRC improve the companies’ ESG responsibilities. Furthermore, some research has been conducted utilizing city-level data. Zheng and Ge (2022) explored the impact of SDPRC on carbon emissions from the perspective of resource dependence. Our study most closely related to Li et al. (2021), which similarly investigated the impact of the SDPRC on the industrial transformation of RBCs. They examined whether the policy reduced the proportion of the secondary industry in GDP from 2013 to 2020. The results demonstrated that the policy decreased the share of heavy industry, with the mechanism underlying this effect achieved through the reduction of resource dependency.

3.2 Factors influencing industry structure upgrading

Industrial structure upgrading is a major research topic in economic transformation, and there is a substantial body of literature examining its influencing factors. Wei and Yang (2025) summarize these factors into three dimensions: policy interventions, endogenous drivers, and changes in the external environment. And our study not only explore the relationship between government policy and industrial structure upgrading, which is our first hypothesis, but also discuss the mechanism in this process: green technological innovation, human resources and FDI.

As mentioned before, policies have a significant impact on industrial restructuring (Li et al., 2021; Shen et al., 2023). Furthermore, based on provincial-level panel data from 2000 to 2016 in China, Li et al. (2023) examined the impact and mechanisms of different environmental policies on low-carbon industrial upgrading. The research findings reveal that in response to environmental policies, enterprises can choose to either reduce the production of high-carbon emission products or relocate to regions with lower environmental costs. However, both approaches ultimately lead to a gradual reduction in the scale of high-carbon emission industries in the policy-implementing region, thereby increasing the proportion of low-carbon emission industries.

Technological innovation is considered as one of the key endogenous drivers to industrial structure upgrading (Wei and Yang, 2025). As refer to green technological innovation, Calel and Dechezleprêtre (2016) also states that green technological progress drives industrial transformation. They believe environmental regulations work by encouraging green technology innovation. Regional central cities face dual pressures of environmental protection and economic restructuring. Traditional industries with insufficient green innovation capacity gradually lose their competitive edge and are replaced by emerging industries with higher levels of green technology innovation, thereby leading to the restructuring of local industrial systems (Wang et al., 2024).

In the study of industrial structure in the transformation of resource-based cities, Bravo-Ortega and De Gregorio (2005) paid early attention to the importance of human capital. Their research found that higher levels of human capital can effectively alleviate the negative impact of resource depletion on the economy. Kurtz and Sarah (2011) also pointed out that the lack of human capital may lead to the emergence of the “resource curse” phenomenon, and improving human capital can help upgrade the industrial structure of resource-based cities.

As to the research on FDI and industrial structure, Lin and Cai (2023) use Chinese provinces-level panel data to explore the relationship between resource availability and dependency on green economic growth. They found that, compared with government investment, FDI had a higher utilization efficiency of natural resources. To realize sustainability, societies must put great importance on green investment, natural resources, technological innovation, and financial development. Qiong and Minyu (2013) suggest that FDI contributes to the host countries economic growth through industrial restructuring. Millimet and Roy (2016) using U.S. state-level data and taking into account spatial spillovers, found that environmental regulation negatively affects foreign investment in pollution-intensive firms, which in turn affects local industrial structure.

Besides, there are also study focusing on other factors influencing industrial structure, like green finance (Zhang, 2023); new infrastructure (Gong et al., 2023). Zhang (2023) use Chinese provincial panel level to examine the effects of green finance on industrial structure upgrading. Gong et al. (2023) use instrumental variables analysis, based on Chinese province-level panel data from 2003 to 2017, to find out that new infrastructure is beneficial to industrial structure upgarding. And the contribution is mainly through technological innovation, human capital and guiding capital flows.

In summary, previous policy research on RBCs involved aspects such as economy, environment, and energy efficiency, but remain some limitations. In the study of the policy effect on industrial structure of RBCs, previous study put focus on the resource depleted cities, without involving the evaluation of different types of RBCs. Furthermore, the existing research on SDPRC has an early data scale, and there is also insufficient exploration of the transformation mechanism. Using the latest data, our study examines how SDPRC facilitates industrial restructuring in RBCs. In the meanwhile, we integrate three mechanisms—green technological innovation, human capital, and FDI—into a unified analytical framework to examine whether they play a facilitative role in the process through which SDPRC promote industrial structural upgrading. We comprehensively exaimne the roles of the supply side (green technological innovation), factor market (human resources), and capital investment (FDI) in the transition of RBCs, thereby broadening the mechanisms and providing concrete pathways for future urban sustainable development.

4 Theory and hypothesis

4.1 SDPRC and industrial structure upgrading

Most of the industries in RBCs are based on local mineral resources and value-added industries related to them and have been characterized by high energy consumption and pollution in their past development history. This made the secondary industry account for a disproportionately high proportion of local industries. The comparative advantage of resource-based industries squeezes out the investment of capital and technology and other factors of production in other industries. This resulted in even if there are more efficient and environmentally friendly industries, they were unable to form a certain scale of advantage in RBCs. Moreover, an unreasonably high proportion of the secondary sector results in a lack of follow-through in local economic growth and an inability to flexibly adapt to changes in the market. Moreover, the secondary industry absorbs less labor than the tertiary industry. And if the market fluctuates and causes bankrupt of RBCs’ main corporates, for the residents, there are no good alternative employment opportunities after unemployment.

In this background, it is an essential implementation for RBCs to improve the situation of industrial structure. To more intuitively demonstrate how policies have influenced the industrial structure upgrading, we have drawn Figure 2. The government’s sustainable development policy mainly affects industrial upgrading through resource reallocation. Government policies are needed to redistribute factors of production using regulation and adjustment through policy favoritism, price adjustments, or raising entry thresholds. Government policies can also deepen the development of industrial agglomeration, promote vertical as well as horizontal cooperation among enterprises through the effect of economies of scale, enable industrial chain agglomeration and collaboration and the formation of an industrial chain (Shen et al., 2023), and stimulate scientific and technological innovation. Local industrial development can be continuously optimized through scientific and technological innovation, attracting foreign investment and high-quality talents, which will not only achieve subsequent economic development but also solve the serious problem of local unemployment.

Figure 2
Flowchart illustrating the impact of SDPRC Policy on industrial structural upgrading. The policy influences resource agglomeration, resource reallocation and mechanisms, which include green technological innovation, human resources and FDI, which include resource reallocation, green technological innovation, human resources, and FDI, all contributing to industrial upgrading.

Figure 2. Theoretical analysis.

The industrial transformation of resource-oriented cities occupies a relatively important position in SDPRC. SDPRC emphasizes the need to build a diversified industrial system, vigorously develop successive alternative industries, enhance scientific and technological innovation capacity, actively promote new industrialization, enhance industrial competitiveness, actively develop labor-intensive industries with strong employment-absorbing capacity from the supply-side perspective, enhance the proportion of high-tech industries, enhance the proportion of tertiary industries, and absorb more unemployed people. At the same time, the value added by the mining industry as a percentage of the regional value-added should be reduced by 4% year by year, while the share of the value added by the service industry should be steadily increased by 8% per annum. The level of development of the service industry will be significantly improved, the diversified industrial system will be fully established, and the competitiveness of the industry will be significantly enhanced, which will directly promote the increase of the value-added of the local tertiary industry, thus realizing the advanced industrial structure. These measures can optimize the resource allocation of RBCs, guide technology, capital, and talents to high-tech industries, emerging industries, and tertiary industries, and promote the transformation of industrial structure while achieving sustainable economic development and increasing local jobs. Based on the above analysis, this paper puts forward the following research hypotheses.

Hypothesis 1. SDPRC promoted the industrial structure upgrading in RBCs.

4.2 The mechanisms of SDPRC and industrial structure upgrading

Technological innovation, capital, and human resources are the three main factors of economic growth. Therefore, this paper explores the mechanism of these three factors of production in the impact of sustainable development policies on industrial structure upgrading in RBCs. In the context of drastic climate change, green technological innovation is increasingly becoming an important mechanism in China’s industrial restructuring (Wang et al., 2024). Therefore, this study focuses on green technology innovation in the transformation of RBCs.

4.2.1 Green technological innovation

Technological innovation is one of the driving factors of economic development (Jelinek, 1992; Uppenberg, 2009). However, traditional technological innovation only focuses on the scale and speed of development, ignoring the impact on the environment, such as the efficiency use of natural resources, and the destruction of the ecological environment. Those environmental concerns are not in the scope of the priority of traditional technological development, which means they are unsustainable (Barbieri et al., 2020). In contrast, green technological innovation is recognized as providing both economic and environmental benefits (Fussler and James, 1996). Green technological innovation is defined as the type of innovation that reduces energy consumption, and pollution emissions, and also promotes harmony between humans and nature (Xia et al., 2015; Jiao et al., 2020). Green innovation includes technological improvements that save energy, prevent pollution, or enable waste recycling, also includes green product design and corporate environmental management (Aguilera-Caracuel and Ortiz-de-Mandojana, 2013). Green technology innovation can not only address the challenges of environmental degradation but also serve as a fundamental strategy to enhance local eco-efficiency (Wang et al., 2024). Therefore, green technological innovation, as a type of technological innovation that can balance scientific development, economic development, and environmental protection, is very much in line with the SDPRC sustainable development policy for RBCs. It can promote the economic development of resource cities from crude to intensive sustainable development.

Factors affecting green technological innovation include: The first kind of influence factors is government regulatory instruments, such as environmental regulations, access regulations, R&D expenditures, performance appraisals, and tax policies (Lanoie et al., 2011; Rassier and Earnhart, 2015). The Government’s access principle sets the threshold for highly polluting and energy-consuming enterprises to enter the market. Environmental regulation can increase the pollution cost of corporations. Enterprises can only change the original high pollution, high energy consumption of the production process, to reduce their environmental pollution costs, to ensure that corporate profitability at the same time in line with the government’s environmental regulatory requirements. This forces local firms to change their existing technology and production process to meet the governmental access requirements. And those firms that cannot afford the environmental pollution cost may consider moving to another place with less strict regulation. To some extent, enterprises that implement green technological innovations can comply with government environmental standards, and their products can be profitable once they have achieved a certain market size. In addition, environmental performance takes up a large part of Chinese officials’ appraisals forcing officials to urge the local environmental protection part of the local enterprises to strengthen the control of environmental pollution emissions; Government R&D subsidies to enterprises and tax incentives for green technological innovation can make up for the enterprises cost of developing green technology innovation. The second kind of influencing factors of green technological innovation is the internal organization structure of the enterprise, including the top management’s attention and commitment to environmental protection, which leads to the development of advanced environmental protection strategies (Kagan et al., 2003; del Río González, 2009); and the scientific research and talent pool related to environmental protection (del Rio Gonzalez, 2004; del Río González, 2009).

On the other hand, green technological innovation is conducive to the industrial structure upgrading of RBCs. RBCs are facing the double pressure of environmental protection and economic transformation, in which traditional industries with insufficient green innovation capacity will gradually lose their competitive position and be replaced by new industries with higher levels of green technological innovation, leading to the adjustment of the local industrial structure (Wang et al., 2024). Technological progress can effectively promote industrial structure upgrading, which is the key to the advanced industrial structure in China at this stage, and green technological innovation can also improve the efficiency of resource utilization and enhance the competitive advantage of enterprises. The environmental regulations and requirements in SDPRC can promote the local industrial structure upgrading by promoting green technological innovation. Firstly, the industrial aggregation effect can promote green technological innovation, thus promote the transformation and upgrade of the industrial structure of RBCs. It is mentioned that the government should actively guide the development of industrial agglomeration, strengthen the construction of supporting infrastructure such as transportation, water supply, power supply, etc., renovate specialized industrial parks and industrial clusters. RBCs should actively cultivate and introduce several leading enterprises based on the criteria of technological content, environmental protection level, and strong investment and employment-absorbing capacity. The agglomeration effect can reduce information asymmetry and negative externality, which is conducive to better cooperation and communication between enterprises and employees, increasing the research and development of green innovation.

In addition, the policy constraints on high-pollution and high-energy-consumption enterprises will squeeze out some of the local investment in such enterprises and industries, and transfer these capitals from pollution-intensive industries to cleaner industries, which can optimize resource allocation as well as promote industrial structure upgrading. In addition, government financial support is also an important incentive for enterprises to engage in R&D of energy-saving and emission-reduction technologies. SDPRC points out that government financial resources should be more inclined to RBCs, emphasizing the important role of government investment in guiding the transfer of factors of production to successive alternative industries. Therefore, the implementation of SDPRC can send a favorable signal to investors and promote the development of tertiary industries such as clean industries and services.

Hypothesis 2a. SDPRC promotes the industrial structure upgrading of RBCs by increasing the level of green technological innovation.

4.2.2 Human resources

The importance of human capital in economic growth has been emphasized in endogenous growth theory (Lucas, 1988; Romer, 1989), and the contribution of human capital and technological innovation to economic development in an economy is often inextricably linked: the more years of education a human capital has on average, the less costly he or she expects to incur in technological innovation in the future (Kim and Lee, 2011). Part of the reason for China’s high growth is attributed to the high average rate of investment in human capital (Ding and Knight, 2011). Ramos et al. (2012) point out that an increase in the amount of human capital does not necessarily lead to economic growth, but rather to a shift to manpower that matches the structure of the industry to drive economic development. Therefore, the dynamic evolution of human capital from primary to advanced can promote technological upgrading, as well as industrial structure upgrading. The enhancement of human capital can be matched with higher-end technologies and industries, and quickly adapt to changes in industries and markets. When emerging industries rise to replace traditional and low-end endogenous industries, there is a sufficient reserve of talent in the process of industrial development from low to a high level, and further, transfer the industries from labor-intensive to technology-intensive and knowledge-intensive. The improvement of human capital’s innovation ability enhances the value within the industry chain and helps promote industrial upgrading by improving the quality of enterprise products.

Not only has the function of promoting economic development, but the impact of human capital on the environment is found that it can help to prevent the further deterioration of the environment, as well as reduce the emission of pollution (Shabani, 2024; Zhang et al., 2024). At the same time, the rapid development of technological innovation cannot be separated from human capital, especially green technological innovation. Highly educated and skilled personnel can better understand the significance of environmental policies and the implementation process in the production of enterprises and further discover the room for improvement in the current production. They can find alternative energy sources before production, improve productivity and energy efficiency during production, and reduce pollutant emissions or treat pollutants in an environmentally friendly way after production. At the same time, the concentration of local talent can produce knowledge spillover effects, promote the exchange and development of knowledge and technology, and further promote the local industrial structure upgrading.

The enhancement of human capital promotes the industrial structure upgrading of RBCs through the increase of income level and the change of consumption demand. The advancement of human capital raises people’s higher standards and requirements for the environment, and their consumption demand is more inclined to environmentally friendly commodities, which pushes RBCs to change their original high-pollution and high-energy-consumption production mode, improve their production efficiency, and promote the development of the industry to a higher level and a higher level. Highly educated talents have relatively high requirements for the environment, and high-quality talents in their work and life will push the local area to improve production efficiency, reduce the proportion of high-pollution and high-energy-consuming industries, and promote the development of industrial structure towards cleaner and more efficient industries, as well as promote the development of tertiary industries such as high-end service industries.

Hypothesis 2b. SDPRC promotes the industrial structure upgrading of RBCs by enhancing the level of human resources.

4.2.3 FDI

First, the capital effect of FDI can promote the industrial structure upgrading of the host country. In the early stage of development, the inflow of FDI can increase the capital stock of the host country, make up for the capital gap of local enterprises and industries, and help them to have a fast start. In addition, FDI combines with sufficient local labor resources to develop labor-intensive industries. At the same time, the rapid development of the host country’s industries increases the employment and income of residents, which can boost local demand (Haaja, 2020). In the meantime, it helps to improve the local consumption structure, drive the development of the local economy, and promote the transformation of the local industry from the primary industry to the secondary and tertiary industries.

Second, FDI promotes the industrial structure upgrading of host countries through advanced management experience, excellent talents, and technology transfer. The technology overflow brought by FDI is one of the main reasons for the rapid technological and economic growth since China’s reform and opening up. FDI sent management personnel to the host countries, helping those countries train local employees. The local talents quickly learn advanced production methods and management methods. Moreover, FDI helps host countries save learning costs, so that the local industry, including related upstream and downstream enterprises, absorb the up-to-date industry knowledge and skills. In conclusion, FDI brought new technology and knowledge from the parent company to the host country enterprises, driving the local industrial structure upgrading.

FDI promotes industrial structure upgrading through environmental effects. Regarding the impact of FDI on the local environment, there are two classic theories in academia. One is the “Pollution Haven Hypotheses” (Walter and Ugelow, 1979; Baumol and Oates, 1988), which holds that in the early stage of development, to attract FDI, host countries tend to lower environmental standards to attract capital investment restricted by high domestic environmental standards. Another theory is the “Pollution Halo Hypotheses” (Birdsall and Wheeler, 1993), which holds that the advanced technology and high environmental protection standards of FDI can improve the situation of high energy consumption and high pollution in the host countries. Meanwhile, the host country’s enterprises learn, imitate, and absorb the technology and production process, helping them to improve their efficiency and effectiveness based on higher environmental standards. Based on the above analysis, this paper puts forward the following hypotheses:

Hypothesis 2c. SDPRC promotes industrial structure upgrading of RBCs by enhancing the level of FDI.

5 Research design

5.1 Model

Based on the RBCs list announced by the SDPRC in 2013, a difference-in-difference (DID) approach is employed to assess the causal relationship between the SDPRC policy and industrial structure upgrading. The cities included in the pilot scope are the experimental groups, and the remaining regions are the control group. The impact of the SDPRC on industrial structure upgrading is identified by comparing the experimental and control groups.

TSit=β0+β1Treati×Postt+Controlit+μi+λt+εit(1)

In Equation 1, TSit a measure of industrial structure upgrading in the city i of the year t. Treati×Postt indicates a dummy variable that is equal to one if city i is RBCs defined by SDPRC in the year t. Otherwise, it equals zero. Controlit are a set of time-varying city-level control variables, μi is the city-fixed effect, and λt is the year-fixed effect, εit is the error term. In the benchmark analysis, β1 , the coefficient of Treati×Postt, is what we focus on. If the coefficient β1 is positive, we can infer that the SDPRC increased the industrial structure upgrading level of RBCs effectively. The coefficient also reflects the difference between pilot and non-pilot cities before and after the implementation of SDPRC.

5.2 Data

Our data comes from CSMAR database and Macrodatas (https://www.macrodatas.cn). The panel data concludes 300 prefecture-level cities in China from 2007 to 2023. There are 262 RBCs classified in the SDPRC, due to missing data and then removing outliers, 114 cities were included in the RBCs as the treatment group. The remaining non-RBCs were included in the control group. The data on green technological innovation is from the Green Patent Research Database (GPRD), which belongs to the Chinese Research Data Services (CNRDS).

5.3 Measurement

5.3.1 Dependent variable

This paper chooses to measure industrial structure upgrading (TSit) by the ratio of added value of tertiary industry to secondary industry. Industrial structure upgrading is the process of industrial structure development from a low-level state to a high-level state. One phenomenon is that in an economy, with continuous development, the dominant industry gradually shifts from primary to secondary and tertiary industries. Although the increase in the proportion of non-agricultural output value is a fundamental law, after the 1970s, driven by information technology, “the service-oriented economic structure” is the main feature of industrial structure upgrading, and the growth rate of the tertiary industry is higher than that of the secondary industry in this process. Based on this, this paper adopts the ratio of the added value of the tertiary industry to the added value of the secondary industry to measure the industrial structure upgrading.

5.3.2 Independent variable

To run the DID model, we construct two dummy variables. One is to differentiate the treatment group and control group (Treati). It equals one if a city is influenced by SDPRC policy. Otherwise, it equals 0. The other one is the time dummy variable (Postt). Using the SDPRC policy implementation as the policy shock point, Post equals one if an observation appears in or later than 2013. Otherwise, it equals 0. Therefore, Treati×Postt is the cross-production of the individual dummy variable Treati and the time dummy variable Postt.

5.3.3 Mechanism variables

For the measurement of green technological innovation, this article uses the ration of green inventions in the total patents granted annually within the region. As to the human resources, this article uses the logarithm of the number of students in regular higher education institutions. The FDI level is the logarithm of the number of foreign-invested enterprises.

5.3.4 Control variables

Based on existing studies on determinants of industrial structure upgrading, we control some variables in our regression models. First, we control the economic status of cities and GDP per capita. Second, we control the local information level, measured by the ratio of postal and telecommunication services per capita to GDP per capita. Third, the employment rate is measured by the people employed in the household population. Last, the education level is measured by the share of the government’s investment in education to GDP. Table 1 provides definitions of all the variables and Table 2 provides their descriptive statistics.

Table 1
www.frontiersin.org

Table 1. The variable names and definitions.

Table 2
www.frontiersin.org

Table 2. Descriptive statistics.

6 Empirical analysis

6.1 DID results

Based on the baseline model (1), the impact of the SDPRC on industrial structure upgrading is in Table 3, columns (1) and (2). In column (1), the regression contains city and year-fixed effects, not including the control variables. It shows that the coefficient Treati×Postt is significantly positive at the level of 5%, and the regression coefficient is 0.033. After adding the control variables, the coefficient is significantly positive at 1% level, which the coefficient is 0.051. This shows that SDPRC has a positive impact on industrial structure upgrading of RBCs. Therefore, Hypothesis 1 has been verified. The DID regression results show that the implementation of SDPRC promoted industrial restructuring in RBCs.

Table 3
www.frontiersin.org

Table 3. Regression results.

6.2 Robustness test

6.2.1 The parallel trend

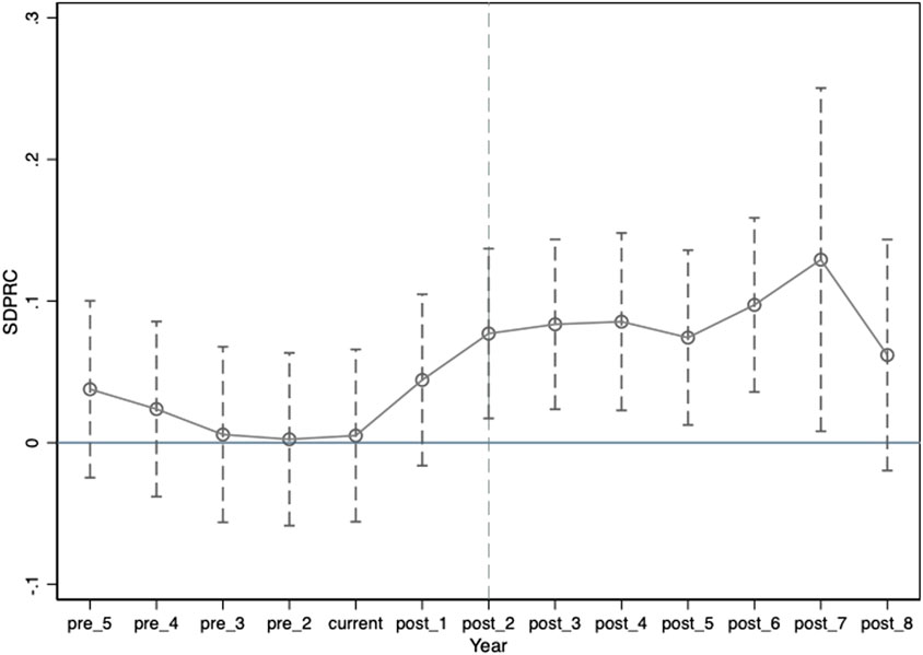
The essential assumption of employing DID analysis is the parallel trend. It assumes that the treatment group and the control group would have had a similar trend if the treatment had not been. Thus, after the treatment, the difference between the treatment group and the control group can be attributed to the implementation of the treatment. At the same time, the DID method also needs to meet the policy homogeneity, that is, individuals should not form effective expectations before policy implementation. To avoid multicollinearity issues, the sample year before the policy implementation was removed. The dummy variable for non-pilot cities is 0. The equation is as follows:

TSit=β0+k=52βkBeforeKit+βcCurrentit+k=18βkPostKit+Controlit+μi+λt+εit(2)

In Equation 2, the time dummy variable, BeforeKit represents the observed values of cities before the implementation of SDPRC; Currentit represents the year that SDPRC was introduced;PostKit represents the years after policy implementation. To avoid multicollinearity, the sample from the year before policy implementation was removed, and the dummy variable for non-pilot cities was set to 0. The regression results, as shown in Figure 3 indicate that the regression coefficient of the SDPRC for the industrial structure upgrading in RBCs before the policy implementation is close to 0. It means that the parallel trend holds and there is no effective expectation before the policy implementation. In the second year after the implementation of the policy, the regression coefficient gradually becomes positive and significant, indicating that there is a certain lag in the implementation of the policy. The promotion of economic transformation in the local area by local governments is a dynamic and constantly learning process, so the policy effect will not immediately appear after it is introduced. With the gradual promotion of relevant policies in pilot cities, the experience of local governments continues to be enriched, and the effectiveness of measures taken continues to emerge.

Figure 3
Line graph showing SDPRC data over time, with years labeled as pre_5 to post_8 on the x-axis and SDPRC values on the y-axis. The data points connect with a line, including error bars. Values fluctuate, increasing notably after the

Figure 3. The parallel trend test.

6.2.2 PSM-DID

The target cities of SDPRC are not randomly selected. The cities in the scope are selected based on the characteristics of their resource reserves, and leading industries. This selective bias may cause deviations in the policy effects of SDPRC. Therefore, this article uses the propensity score matching-difference in difference (PSM-DID) method for robustness testing. Firstly, identifying individuals in the control group that are similar to those in the experimental group. Then, the differences between the experimental group and the control group can be reduced, helping facilitate better policy evaluation. By conducting Logit regression on covariates such as economic development status, information technology level, employment situation, and education level, propensity scores are obtained to match similar individuals between the experimental group and the control group. This article adopts the “k-nearest neighbor matching method” (k = 3) for testing. The regression results after matching are shown in columns (3) of Table 3. The regression results in PSM-DID are consistent with the DID results in the basic regression, with regression coefficients of 0.053, and significant at the 1% level. It indicates that the results in the basic regression are robust. The introduction of SDPRC helped to promote the industrial structure upgrading of RBCs.

6.2.3 Placebo test

To further verify the reliability of the baseline regression results, this paper employs a placebo test to mitigate potential confounding effects from unobservable factors. Specifically, we construct a fictional treatment timing and generate artificial treatment groups to construct a placebo treatment variable, then re-run the regression estimation. If the placebo treatment variable shows no statistically significant impact on the outcome variable, it suggests that the baseline results are more likely to reflect the actual policy effect rather than being driven by other unobserved confounding factors.

Figure 4 displays the distribution of the estimated coefficients from the placebo test. We randomly simulated 500 “placebo treatment groups” and estimated their corresponding policy effects. The results indicate that the estimated coefficients of the simulated treatment effects are concentrated near zero, with a mean of −0.00015 and a standard deviation of 0.01017. The distribution approximates a normal shape centered around zero. In contrast, the actual estimated treatment effect lies significantly outside this distribution, providing further support for the robustness of the baseline regression findings. This implies that under the placebo policy shock, no statistically significant deviation from zero is observed—that is, there is no discernible policy effect—which strongly reinforces the conclusion that the baseline results are not driven by non-policy factors and enhances the credibility of the core findings.

Figure 4
A probability density plot shows a normal distribution curve in blue, overlaid with a red line of data points shaped like an inverted parabola. The x-axis is labeled

Figure 4. Placebo test.

6.3 Regression analysis of mechanism effect

In this article, we explore the mechanisms of the SDPRC. To test the mediating effect of SDPRC on industrial structure upgrading of RBCs, based on the previous theoretical analysis, this paper constructs the following model: (3), (4), and (5). We assess if green technological innovation, human resources, and FDI are the mediator variables. This article draws on the approach of Jiang (2022). Taking green technological innovation, human resources, and FDI as independent variables, identifying the causal relationship between the dependent variable Treati×Postt and those variables. If the regression results are significant, we assume the SDPRC affects these mechanism variables. As to the mechanism variables’ effects on industrial structure upgrading, we already discuss them based on existing theories and research in section 4.2. The regression models are as follows:

Greentechit=β0+β1Treati×Postt+Controlit+μi+λt+εit(3)
Human_reit=β0+β1Treati×Postt+Controlit+μi+εit(4)
FDIit=β0+β1Treati×Postt+Controlit+μi+λt+εit(5)

6.3.1 Green technological innovation

The regression results of green technological innovation, Equation 3, are shown in Table 4, column (1) and (2). When no control variables were added, the regression coefficient was 0.009, significant at the 1% level. After adding control variables, the regression coefficient was 0.016, significant at the 1% level. This means that the introduction of SDPRC promotes green technological innovation in RBCs.

Table 4
www.frontiersin.org

Table 4. Mechanism: Green technological innovation.

This phenomenon may be due to the innovation compensation effect which is simulated by the government’s policy. Under the pollution reduction and environmental protection requirements of SDPRC, RBCs will attract more investment in clean industries, while incentivizing local enterprises to shift from high-pollution production towards clean production, which needs them to adopt or invest in green technological production. On the other hand, the incentive measures of SDPRC push local enterprises and other innovative entities to carry out green technological research and application activities and guide enterprises to adopt energy-saving and emission-reduction technologies and production equipment. This not only directly promotes green technological innovation in the industry or sector in these cities, but also generates knowledge spillover effects. Therefore, the introduction of the SDPRC helps improve the level of green technological innovation of RBCs.

6.3.2 Human resources

The regression results of human capital, Equation 4, are shown in columns (1) and (2) of Table 5. When no control variables were added, the regression coefficient was 0.424, significant at the 1% level. After adding control variables, the regression coefficient was 0.068, significant at the 1% level. The introduction of SDPRC has a significant positive effect on the human capital level of RBCs. One of the key points for industrial structure upgrading of RBCs in the SDPRC is also to develop the tertiary industry dominated by the service industry. Therefore, human capital should be an important factor in the transformation process of RBCs. The series of measures in the plan also demonstrates the importance and attraction of talent in RBCs. Firstly, SDPRC encourages the establishment of diversified industries, the development of modern service industries, and new industries, which can provide more high-level employment opportunities. Secondly, SDPRC mentions strengthening the construction of talent teams in RBCs. Improve the labor competence of production personnel through vocational education and on-the-job training. At the same time, through key enterprises and research projects, as well as higher education institutions, RBCs can guide and cultivate innovative talents. In the meanwhile, set up entrepreneurship platforms to attract overseas students to return to resource-based cities for entrepreneurship. Thirdly, as to the environment, there are specific annual targets for reducing environmental pollution in the SDPRC. The reduction of environmental pollution in RBCS can improve the living environment. In addition, improving people’s livelihoods is also one of the three main evaluation indicators of the SDPRC. The growth rate of residents’ disposable income should be higher than the national average, with an average annual growth rate of 8%; The establishment of a basic public service system and the continuous improvement of social security levels for elderly care, medical care, work-related injuries, and unemployment, these have all enhanced the attractiveness of RBCs to talents.

Table 5
www.frontiersin.org

Table 5. Mechanism: Human resources.

6.3.3 FDI

The regression results of the core explanatory variable Treati×Postt on FDI, Equation 5, are shown in columns (1) and (2) of Table 6, indicating that SDPRC has a significant promoting effect on FDI in RBCs. When no control variable is added, the regression coefficient is 0.086; After adding control variables, the regression coefficient is 0.124, all significant at 1% level.

Table 6
www.frontiersin.org

Table 6. Mechanism: FDI.

Firstly, SDPRC includes direct attraction policies for FDI and emphasizes improving the level of utilization of FDI. It encourages FDI to invest in new industries, environmental protection industries, and modern service industries. Moreover, a complete local industrial chain and supporting infrastructure are the key factors in attracting FDI. Therefore, SDPRC emphasizes the construction of infrastructure and industrial parks in RBCs. For infrastructure construction, RBCs increase the construction and renovation of municipal public facilities such as water supply and drainage, heating, gas supply, and garbage collection and disposal. Meanwhile, it is necessary to connect the transportation network of RBCs and orderly promote the construction of dedicated transportation lines for coal, ore, oil, and other transportation. As to the industrial parks, based on the existing foundation, SDPRC guides industries of RBCs to form an intensive and characteristic industrial development pattern. All of these are beneficial for RBCs to attract FDI. In the above, this article also explores the cultivation and attraction of talents in RBCs by SDPRC, and sufficient high-quality labor can also help these cities to attract FDI.

6.4 Regression results of heterogeneity analysis

6.4.1 Heterogeneity of regional variations—Hu Huanyong Line

The Hu Huanyong Line is a demographic boundary proposed by Chinese geographer Hu Huanyong in 1935. Running from Heihe in Heilongjiang Province to Tengchong in Yunnan Province, this line divides China into southeastern and northwestern sections. The southeastern region, comprising 36% of the country’s land area, is home to 96% of the population, while the northwestern region, covering 64% of the territory, contains only 4% of the population. This stark contrast vividly illustrates the profound geographical imbalance in China’s population distribution.

The hererogeneity regression results in Table 7 show that the policy effect of SDPRC on RBCs is significant at the southeast side of Hu Huanyong Line. The coefficient is 0.039, significant at 5% level. On the other hand, the policy effect is not significant at the northwest side of Hu Huanyong Line. The industrial structure upgrading requires not only policy support from the government but also the backing of various local factors such as economic conditions, talent pool, and capital flow. These elements are well-present in the densely populated and economically concentrated southeastern region of China, whereas they remain relatively weak in the northwestern region. Additionally, transportation infrastructure in the northwest is less developed compared to that in the northeast. In this study, the indicator for industrial structure upgrading is measured by the ratio of the value-added of the tertiary industry to that of the secondary industry. Given that the tertiary industry relies more heavily on market size and population scale, this may explain why the regression results are statistically significant in the southeastern region but not in the northwestern region.

Table 7
www.frontiersin.org

Table 7. Heterogeneity analysis.

6.4.2 Heterogeneity of economic variations

According to Zheng and You (2023), We divided the sample into two groups based on the annual median per capita GDP: a high per capita GDP group and a low per capita GDP group. From the regression results in Table 7, it can be observed that the effect of SDPRC on the industrial structure upgrading of RBCs is significant in the high per capita GDP group, with a coefficient of 0.078, significant at the 1% level. However, it is not significant in the low per capita GDP group. This may be because areas with higher per capita GDP not only exhibit a more advanced level of economic development, but also possess greater technological innovation capacity, better infrastructure, and a larger pool of highly skilled technical talent. As a result, policy interventions are likely to yield stronger effects in these regions. To better visualize the heterogeneity, we created Figure 5 using a forest plot.

Figure 5
Heterogeneity Analysis Results chart showing subgroup analysis by region and GDP level. Red lines represent low and high GDP analyses, blue lines represent regional analyses. A dashed red vertical line at zero indicates null effect. The coefficient estimate axis ranges from negative point one to point three.

Figure 5. Heterogeneity analysis.

7 Discussion and conclusion

The sustainable development of cities, including economic growth, environmental protection, and the employment and income of residents, has been one of the important issues explored in the development process of various countries. As a major type of city, the establishment and subsequent development of RBCs are closely related to local resources. Therefore, after the exhaustion of local resources, how to solve the environmental pollution problems left over from history, as well as to realize the success of industrial transformation are important questions. To cope with the dual economic and environmental problems of RBCs in the process of development, the Chinese government launched the SDPRC in 2013, which puts forward specific targets in terms of economic development and environmental protection, as well as the income of residents. Then, whether the launch of SDPRC has achieved the success of the transformation of RBCs is yet to be proved empirically.

Therefore, this study empirically examines the impact of SDPRC on the industrial structure upgrading of RBCs and explores the impact mechanism from the theoretical as well as the empirical level. Most studies on the transformation of RBCs focus on one aspect of the environment or the economy, but this paper chooses the perspective of the double effect of the economy and the environment. First of all, this is reflected in the selection of indicators in this paper, this paper selects the indicator of the proportion of the added value of the tertiary industry and the added value of the secondary industry. After the development of the secondary industry, the continuous growth and development of the tertiary industry can not only solve the problem of the dominance of the heavy pollution industry in RBCs, but also provide more clean jobs. Some studies show that in cities, the manufacturing industry creates fewer jobs than services (Rodrik and Sandhu, 2025). Secondly, in the study of mechanisms, this paper focuses on green technological innovation, human capital, and FDI as the research object. Empirical research found that these three mediating variables play a certain role in this process. In the heterogeneity analysis, the promotion effect of the SDPRC on the industrial structure upgrading of RBCs is significantly positive in RBCs located at the southeast side divided by Hu Huanyong Line, and there is no significant promotion effect on the cities located at the northwest side. Furthermore, the policy effect is significant in the high per capita GDP cities.

Based on the above research, this article proposes the following suggestions: firstly, continue to adjust and upgrade the industrial structure of RBCs. The launch of the SDPRC has achieved significant results in the declining and regenerating RBCs. Consequently, in formulating development strategies for such cities, emphasis should be placed on redefining their industrial positioning, cultivating and strengthening substitute industries, and gradually reducing their excessive reliance on natural resources. Additionally, there is a need to actively explore new pathways for industrial transformation and development, continuously enhance the output scale, production efficiency, and resource recycling capabilities of RBCs, and promote the growth of industries characterized by green innovation.

Secondly, by persistently assessing the environmental quality of RBCs, local governments are forced to actively solve environmental pollution problems, reduce the proportion of high-polluting and energy-consuming industries, vigorously promote the development of modern service and high-tech industries, attract high-tech talents, stimulate the technological innovation ability and market competitiveness of enterprises, form more innovation compensation benefits, obtain comparative advantages in green production, and promote the overall industrial structure adjustment and resource optimization allocation of the industry through the transformation and upgrading of enterprises themselves, thus promoting the transformation and upgrading of RBCs.

Thirdly, further strengthen financial support for RBCs. Using fiscal investment, we can guide production factors to cluster towards alternative industries, optimize the industrial structure, weaken the dependence of RBCs on fossil energy, and provide strong financial support for RBCs to break the “path dependence”.

8 Limitations

The discussion of sustainable development in RBCs in this paper is limited to the city level, but the role of enterprises in the transition process is very important for local development. Therefore, future research will be refined on the impact of the introduction of the SDPRC on local enterprises, and further research is needed to determine whether the environmental restrictions in the SDPRC act as incentives or disincentives for enterprises to make the transition to a greener environment.

Data availability statement

The original contributions presented in the study are included in the article/supplementary material, further inquiries can be directed to the corresponding author.

Author contributions

TT: Data curation, Conceptualization, Writing – original draft. TZ: Writing – review and editing.

Funding

The author(s) declare that no financial support was received for the research and/or publication of this article.

Conflict of interest

The authors declare that the research was conducted in the absence of any commercial or financial relationships that could be construed as a potential conflict of interest.

Generative AI statement

The author(s) declare that no Generative AI was used in the creation of this manuscript.

Any alternative text (alt text) provided alongside figures in this article has been generated by Frontiers with the support of artificial intelligence and reasonable efforts have been made to ensure accuracy, including review by the authors wherever possible. If you identify any issues, please contact us.

Publisher’s note

All claims expressed in this article are solely those of the authors and do not necessarily represent those of their affiliated organizations, or those of the publisher, the editors and the reviewers. Any product that may be evaluated in this article, or claim that may be made by its manufacturer, is not guaranteed or endorsed by the publisher.

Abbreviations

SDPRC, China’s Sustainable Development Plan of Resource-Based Cities, 2013-2020; RBCs, Resource-Based Cities; FDI, Foreign Direct Investment; DID, Difference-in-difference.

References

Aguilera-Caracuel, J., and Ortiz-de-Mandojana, N. (2013). Green innovation and financial performance: an institutional approach. Organ. and Environ. 26, 365–385. doi:10.1177/1086026613507931

CrossRef Full Text | Google Scholar

Barbieri, N., Marzucchi, A., and Rizzo, U. (2020). Knowledge sources and impacts on subsequent inventions: do green technologies differ from non-green ones? Res. Policy 49, 103901. doi:10.1016/j.respol.2019.103901

CrossRef Full Text | Google Scholar

Baumol, W. J., and Oates, W. E. (1988). The theory of environmental policy. Cambridge, United Kingdom: Cambridge University Press.

Google Scholar

Birdsall, N., and Wheeler, D. (1993). Trade policy and industrial pollution in Latin America: where are the pollution havens? J. Environ. and Dev. 2, 137–149. doi:10.1177/107049659300200107

CrossRef Full Text | Google Scholar

Bravo-Ortega, C., and De Gregorio, J. (2005). The relative richness of the poor?natural resources, human capital, and economic growth. Washington, DC: World Bank.

Google Scholar

Calel, R., and Dechezleprêtre, A. (2016). Environmental policy and directed technological change: evidence from the European carbon market. Rev. Econ. statistics 98, 173–191. doi:10.1162/rest_a_00470

CrossRef Full Text | Google Scholar

del Rio Gonzalez, P. (2004). Public policy and clean technology promotion. The synergy between environmental economics and evolutionary economics of technological change. Int. J. Sustain. Dev. 7, 200–216. doi:10.1504/ijsd.2004.005371

CrossRef Full Text | Google Scholar

del Río González, P. (2009). The empirical analysis of the determinants for environmental technological change: a research agenda. Ecol. Econ. 68, 861–878. doi:10.1016/j.ecolecon.2008.07.004

CrossRef Full Text | Google Scholar

Ding, S., and Knight, J. (2011). Why has China grown so fast? The role of physical and human capital formation. Oxf. Bull. Econ. Statistics 73, 141–174. doi:10.1111/j.1468-0084.2010.00625.x

CrossRef Full Text | Google Scholar

Fussler, C., and James, P. (1996). Driving eco-innovation: a breakthrough discipline for innovation and sustainability.

Google Scholar

Gong, M., Zeng, Y., and Zhang, F. (2023). New infrastructure, optimization of resource allocation and upgrading of industrial structure. Finance Res. Lett. 54, 103754. doi:10.1016/j.frl.2023.103754

CrossRef Full Text | Google Scholar

Haaja, E. (2020). Why do some SMEs engage in joint internationalisation and others do not? Exploring the role of mental images in collective international opportunity recognition. J. Int. Entrepreneursh. 18, 15–43. doi:10.1007/s10843-019-00253-4

CrossRef Full Text | Google Scholar

He, S. Y., Lee, J., Zhou, T., and Wu, D. (2017). Shrinking cities and resource-based economy: the economic restructuring in China’s mining cities. Cities 60, 75–83. doi:10.1016/j.cities.2016.07.009

CrossRef Full Text | Google Scholar

Jelinek, M., and Porter, M. E. (1992). The competitive advantage of Nations. Adm. Sci. Q. 37, 507. doi:10.2307/2393460

CrossRef Full Text | Google Scholar

Jiang, T. (2022). Mediating effects and moderating effects in causal inference. China Ind. Econ. 5, 100–120. doi:10.19581/j.cnki.ciejournal.2022.05.005

CrossRef Full Text | Google Scholar

Jiao, J., Chen, C., and Bai, Y. (2020). Is green technology vertical spillovers more significant in mitigating carbon intensity? Evidence from Chinese industries. J. Clean. Prod. 257, 120354. doi:10.1016/j.jclepro.2020.120354

CrossRef Full Text | Google Scholar

Kagan, R. A., Gunningham, N., and Thornton, D. (2003). Explaining corporate environmental performance: how does regulation matter? Law and Soc. Rev. 37, 51–90. doi:10.1111/1540-5893.3701002

CrossRef Full Text | Google Scholar

Khan, Z., Hussain, M., Shahbaz, M., Yang, S., and Jiao, Z. (2020). Natural resource abundance, technological innovation, and human capital nexus with financial development: a case study of China. Resour. Policy 65, 101585. doi:10.1016/j.resourpol.2020.101585

CrossRef Full Text | Google Scholar

Kim, Y. J., and Lee, J.-W. (2011). Technological change, human capital structure, and multiple growth paths. Jpn. Econ. Rev. 62, 305–330. doi:10.1111/j.1468-5876.2009.00507.x

CrossRef Full Text | Google Scholar

Kurtz, M. J., and Sarah, M. (2011). Conditioning the “resource curse”: globalization, human capital, and growth in oil-rich nations. Comp. Polit. Stud. 44, 747–770. doi:10.1177/0010414011401215

CrossRef Full Text | Google Scholar

Lanoie, P., Laurent-Lucchetti, J., Johnstone, N., and Ambec, S. (2011). Environmental policy, innovation and performance: new insights on the Porter hypothesis. J. Econ. and Manag. strategy 20, 803–842. doi:10.1111/j.1530-9134.2011.00301.x

CrossRef Full Text | Google Scholar

Li, H., Long, R., and Chen, H. (2013). Economic transition policies in Chinese resource-based cities: an overview of government efforts. Energy Policy 55, 251–260. doi:10.1016/j.enpol.2012.12.007

CrossRef Full Text | Google Scholar

Li, Q., Zeng, F., Liu, S., Yang, M., and Xu, F. (2021). The effects of China’s sustainable development policy for resource-based cities on local industrial transformation. Resour. Policy 71, 101940. doi:10.1016/j.resourpol.2020.101940

CrossRef Full Text | Google Scholar

Li, B., Han, Y., Wang, C., and Sun, W. (2022). Did civilized city policy improve energy efficiency of resource-based cities? Prefecture-level evidence from China. Energy Policy 167, 113081. doi:10.1016/j.enpol.2022.113081

CrossRef Full Text | Google Scholar

Li, K., Qi, S., and Shi, X. (2023). Environmental policies and low-carbon industrial upgrading: heterogenous effects among policies, sectors, and technologies in China. Technol. Forecast. Soc. Change 191, 122468. doi:10.1016/j.techfore.2023.122468

CrossRef Full Text | Google Scholar

Lin, C., and Cai, P. (2023). Analyzing the impacts of natural resource utilization and green economic growth in China: evidence from a econometric analysis. Resources Policy 81, 103311. doi:10.1016/j.resourpol.2023.103311

CrossRef Full Text | Google Scholar

Liu, Y., Yin, G., and Ma, L. J. C. (2012). Local state and administrative urbanization in post-reform China: a case study of Hebi City, Henan Province. Cities 29, 107–117. doi:10.1016/j.cities.2011.08.003

CrossRef Full Text | Google Scholar

Lucas, R. E. (1988). On the mechanics of economic development. Journal of Monetary Economics 22, 3–42. doi:10.1016/0304-3932(88)90168-7

CrossRef Full Text | Google Scholar

Martinez-Fernandez, C., Wu, C., Schatz, L. K., Taira, N., and Vargas-Hernández, J. G. (2012). The shrinking mining city: urban dynamics and contested territory. Int. J. Urban Reg. Res. 36, 245–260. doi:10.1111/j.1468-2427.2011.01094.x

PubMed Abstract | CrossRef Full Text | Google Scholar

Millimet, D. L., and Roy, J. (2016). Empirical tests of the pollution haven hypothesis when environmental regulation is endogenous: empirical tests of the pollution haven hypothesis. J. Appl. Econ. 31, 652–677. doi:10.1002/jae.2451

CrossRef Full Text | Google Scholar

Pan, X., Wang, M., and Li, M. (2023). Low-carbon policy and industrial structure upgrading: based on the perspective of strategic interaction among local governments. Energy Policy 183, 113794. doi:10.1016/j.enpol.2023.113794

CrossRef Full Text | Google Scholar

Qiong, Z., and Minyu, N. (2013). Influence analysis of FDI on China’s industrial structure optimization. Procedia Comput. Sci. 17, 1015–1022. doi:10.1016/j.procs.2013.05.129

CrossRef Full Text | Google Scholar

Ramos, R., Surinach, J., and Artís, M. (2012). Regional economic growth and human capital: the role of over-education. Reg. Stud. 46, 1389–1400. doi:10.1080/00343404.2012.675140

CrossRef Full Text | Google Scholar

Rassier, D. G., and Earnhart, D. (2015). Effects of environmental regulation on actual and expected profitability. Ecol. Econ. 112, 129–140. doi:10.1016/j.ecolecon.2015.02.011

CrossRef Full Text | Google Scholar

Rodrik, D., and Sandhu, R. (2025). Servicing development: productive upgrading of labor-absorbing services in developing economies. Glob. Policy 16, 306–318. doi:10.1111/1758-5899.70003

CrossRef Full Text | Google Scholar

Romer, P. M. (1989). Human capital and growth: theory and evidence.

Google Scholar

Ruan, F., Yan, L., and Wang, D. (2020). The complexity for the resource-based cities in China on creating sustainable development. Cities 97, 102571. doi:10.1016/j.cities.2019.102571

CrossRef Full Text | Google Scholar

Shabani, Z. D. (2024). Renewable energy and CO2 emissions: does human capital matter? Energy Rep. 11, 3474–3491. doi:10.1016/j.egyr.2024.03.021

CrossRef Full Text | Google Scholar

Shen, Q., Pan, Y., Meng, X., Ling, X., Hu, S., and Feng, Y. (2023). How does the transition policy of mineral resource-exhausted cities affect the process of industrial upgrading? New empirical evidence from China. Resour. Policy 86, 104226. doi:10.1016/j.resourpol.2023.104226

CrossRef Full Text | Google Scholar

Sun, Y., and Liao, W.-C. (2021). Resource-Exhausted City Transition to continue industrial development. China Econ. Rev. 67, 101623. doi:10.1016/j.chieco.2021.101623

CrossRef Full Text | Google Scholar

Sun, J., Xue, J., and Qiu, X. (2023). Has the sustainable energy transition in China’s resource-based cities promoted green technology innovation in firms? Socio-Economic Plan. Sci. 87, 101330. doi:10.1016/j.seps.2022.101330

CrossRef Full Text | Google Scholar

Uppenberg, K. (2009). Innovation and economic growth. eib Papers 14.

Google Scholar

Walter, I., and Ugelow, J. L. (1979). Environmental policies in developing countries. Ambio, 102–109. Available online at: http://www.jstor.org/stable/4312437.

Google Scholar

Wang, K., Chen, X., and Wang, C. (2023). The impact of sustainable development planning in resource-based cities on corporate ESG–Evidence from China. Energy Econ. 127, 107087. doi:10.1016/j.eneco.2023.107087

CrossRef Full Text | Google Scholar

Wang, H.-J., Zheng, M.-Q., Yin, H.-T., and Chang, C.-P. (2024). Green innovation, industrial structure and urban eco-efficiency in Chinese cities. Econ. Analysis Policy 82, 1011–1024. doi:10.1016/j.eap.2024.04.028

CrossRef Full Text | Google Scholar

Wei, W., and Yang, S. (2025). Study on the factors and paths of optimizing and upgrading the regional industrial structure: a hybrid analysis based on extended NCA and fsQCA. Econ. Analysis Policy 87, 2083–2102. doi:10.1016/j.eap.2025.08.009

CrossRef Full Text | Google Scholar

Xia, D., Chen, B., and Zheng, Z. (2015). Relationships among circumstance pressure, green technology selection and firm performance. J. Clean. Prod. 106, 487–496. doi:10.1016/j.jclepro.2014.11.081

CrossRef Full Text | Google Scholar

Yang, B., Zhan, X., and Tian, Y. (2021). Evaluation on the effect of the transformation policy of resource-exhausted cities—an empirical analysis based on the difference-in-difference model. Energy Rep. 7, 959–967. doi:10.1016/j.egyr.2021.09.177

CrossRef Full Text | Google Scholar

Yu, C., de Jong, M., and Cheng, B. (2016). Getting depleted resource-based cities back on their feet again – the example of Yichun in China. J. Clean. Prod. 134, 42–50. doi:10.1016/j.jclepro.2015.09.101

CrossRef Full Text | Google Scholar

Yu, W., Peng, Y., and Yao, X. (2022). The effects of China’s supporting policy for resource-exhausted cities on local energy efficiency: an empirical study based on 284 cities in China. Energy Econ. 112, 106165. doi:10.1016/j.eneco.2022.106165

CrossRef Full Text | Google Scholar

Zhang, G. (2023). The heterogeneous role of green finance on industrial structure upgrading - based on spatial spillover perspective. Finance Res. Lett. 58, 104596. doi:10.1016/j.frl.2023.104596

CrossRef Full Text | Google Scholar

Zhang, H., Xiong, L., Li, L., and Zhang, S. (2018). Political incentives, transformation efficiency and resource-exhausted cities. J. Clean. Prod. 196, 1418–1428. doi:10.1016/j.jclepro.2018.06.093

CrossRef Full Text | Google Scholar

Zhang, H., Ben, F., and Qin, M. (2024). Mineral resources, tourism, human capital, and carbon neutrality: a path towards balanced and sustainable development. Resour. Policy 90, 104756. doi:10.1016/j.resourpol.2024.104756

CrossRef Full Text | Google Scholar

Zheng, H., and Ge, L. (2022). Carbon emissions reduction effects of sustainable development policy in resource-based cities from the perspective of resource dependence: theory and Chinese experience. Resour. Policy 78, 102799. doi:10.1016/j.resourpol.2022.102799

CrossRef Full Text | Google Scholar

Keywords: resource-based cities, sustainable development policy, industrial structure upgrading, green technological innovation, human resources, FDI

Citation: Tong T and Zhang T (2025) Do sustainable development policies in resource-based cities contribute to industrial structure upgrading? empirical evidence from China. Front. Environ. Sci. 13:1660843. doi: 10.3389/fenvs.2025.1660843

Received: 07 July 2025; Accepted: 15 September 2025;
Published: 25 September 2025.

Edited by:

Katundu Imasiku, Georgia Institute of Technology, United States

Reviewed by:

Hasim Altan, United Arab Emirates University, United Arab Emirates
Mengyao Guo, Yunnan University, China

Copyright © 2025 Tong and Zhang. This is an open-access article distributed under the terms of the Creative Commons Attribution License (CC BY). The use, distribution or reproduction in other forums is permitted, provided the original author(s) and the copyright owner(s) are credited and that the original publication in this journal is cited, in accordance with accepted academic practice. No use, distribution or reproduction is permitted which does not comply with these terms.

*Correspondence: Tong Tong, dG9uZ3RvbmdhaHNAMTYzLmNvbQ==

Disclaimer: All claims expressed in this article are solely those of the authors and do not necessarily represent those of their affiliated organizations, or those of the publisher, the editors and the reviewers. Any product that may be evaluated in this article or claim that may be made by its manufacturer is not guaranteed or endorsed by the publisher.