ORIGINAL RESEARCH article
Front. Environ. Sci.
Sec. Environmental Citizen Science
Reliability of low-cost colorimetric phosphate and nitrate tests used by citizen scientists to assess river water quality
Provisionally accepted- 1University of Bristol, Bristol, United Kingdom
- 2Cardiff University, Cardiff, United Kingdom
- 3The Rivers Trust, Callington, United Kingdom
- 4Friends of the River Wye, Hereford, United Kingdom
Select one of your emails
You have multiple emails registered with Frontiers:
Notify me on publication
Please enter your email address:
If you already have an account, please login
You don't have a Frontiers account ? You can register here
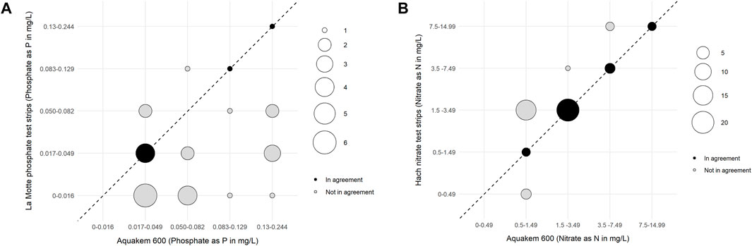
Water quality in UK rivers is an issue of increasing public and political concern, yet statutory water quality monitoring programmes are resource limited. Whilst citizen scientists can gather large quantities of data, the quality of these data is not well understood, particularly the accuracy and bias of data reported by volunteers using low-cost colorimetric nutrient tests. In this study, the performance of popular, low-cost field tests used to assess phosphate and nitrate concentrations in freshwater were compared to accredited laboratory methods by paired sample analysis. During three mass sampling events in the River Wye catchment, some tests demonstrated a good degree of accuracy when performed by volunteers: 62% of Hanna Phosphate Checker results and 66% of Hach nitrate test strip results were in agreement with paired laboratory results. In comparison, La Motte Insta-test strips for phosphate, widely used by citizen scientists across the UK, demonstrated poor performance in this study: only 17% of phosphate results reported by volunteers were in agreement with laboratory analysis of paired samples, although we note their utility for identifying high concentration events. We conclude that a comprehensive assessment of any low-cost test kit being considered for use by volunteer monitoring programmes is a critical first step to producing relevant, high-quality and trustworthy citizen science water quality datasets that can reliably help fill monitoring data gaps. Nevertheless, our results demonstrate that, with appropriate low-cost test kits and the correct training, volunteers can produce high-quality datasets that enhance understanding of water quality issues across river catchments and could reliably support statutory monitoring.
Keywords: citizen science, Water Quality, data quality, mass sampling event, Low-cost monitoring, Nutrient analysis
Received: 16 Jul 2025; Accepted: 06 Nov 2025.
Copyright: © 2025 von Benzon, Bagshaw, Perkins, Browning and Tibbits. This is an open-access article distributed under the terms of the Creative Commons Attribution License (CC BY). The use, distribution or reproduction in other forums is permitted, provided the original author(s) or licensor are credited and that the original publication in this journal is cited, in accordance with accepted academic practice. No use, distribution or reproduction is permitted which does not comply with these terms.
* Correspondence: Elizabeth A Bagshaw, liz.bagshaw@bristol.ac.uk
Disclaimer: All claims expressed in this article are solely those of the authors and do not necessarily represent those of their affiliated organizations, or those of the publisher, the editors and the reviewers. Any product that may be evaluated in this article or claim that may be made by its manufacturer is not guaranteed or endorsed by the publisher.
