ORIGINAL RESEARCH article
Front. Environ. Sci.
Sec. Environmental Economics and Management
China's Urban Agglomerations as Drivers of Synergistic Pollution and Carbon Reduction
Provisionally accepted- 1Shandong University of Technology, Zibo, China
- 2Zhejiang A and F University, Hangzhou, China
- 3Southeast University, Nanjing, China
- 4Sher-e-Kashmir University of Agricultural Sciences and Technology of Kashmir, Srinagar, India
Select one of your emails
You have multiple emails registered with Frontiers:
Notify me on publication
Please enter your email address:
If you already have an account, please login
You don't have a Frontiers account ? You can register here
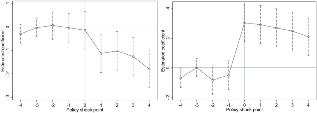
This study examines whether China’s national-level city cluster policy enhances the synergistic governance of urban pollution reduction and carbon reduction in terms of both “quantity reduction” and “efficiency improvement.” Using panel data from 274 prefecture-level and above cities for the period 2006–2023, the policy is treated as a quasi-natural experiment, and a difference-in-differences (DID) model—augmented by mediating and moderating effect analyses—is employed to estimate its impacts. The results show that the policy significantly reduces PM₂.₅ concentrations and CO₂ emissions in pilot cities while improving governance efficiency. Mechanism analysis identifies three key drivers: green technology innovation, knowledge spillovers, and industrial structure upgrading. Heterogeneity tests reveal that quantitative effects are stronger in hub cities, while efficiency gains are more pronounced in non-resource-based cities; differences between hub and non-hub cities are insignificant for efficiency, and resource endowment differences are insignificant for quantity. This study contributes to the literature in three ways. First, it constructs a dual-dimensional assessment framework to jointly evaluate “quantity reduction” and “efficiency improvement” in synergistic pollution and carbon governance. Second, it uncovers the mechanism pathways through which the city cluster policy operates. Third, it identifies heterogeneous effects across different city types. The findings confirm the dual promotion effect of the policy, the validity of mediating mechanisms, and the existence of regional heterogeneity. Policy implications include maintaining and moderately expanding the pilot programme, institutionalizing joint prevention and control mechanisms, fostering green innovation through talent and technology support, and tailoring city cluster development strategies to local conditions.
Keywords: City cluster policy, Synergistic governance, Pollution and Carbon Reduction, DID, Green technology innovation
Received: 18 Aug 2025; Accepted: 28 Oct 2025.
Copyright: © 2025 Ruxiao, Feng, Khalid and Nisar. This is an open-access article distributed under the terms of the Creative Commons Attribution License (CC BY). The use, distribution or reproduction in other forums is permitted, provided the original author(s) or licensor are credited and that the original publication in this journal is cited, in accordance with accepted academic practice. No use, distribution or reproduction is permitted which does not comply with these terms.
* Correspondence:
Fengcun Feng, fengfc2024@163.com
Zainab Khalid, zainabkhalid@seu.edu.cn
Ubair Nisar, ubair.nisar@gmail.com
Disclaimer: All claims expressed in this article are solely those of the authors and do not necessarily represent those of their affiliated organizations, or those of the publisher, the editors and the reviewers. Any product that may be evaluated in this article or claim that may be made by its manufacturer is not guaranteed or endorsed by the publisher.
