ORIGINAL RESEARCH article
Front. Environ. Sci.
Sec. Drylands
This article is part of the Research TopicWater-Related Ecosystems in Drylands: Water Dynamics, Carbon Storage and Resilience to Climate Change and Human ActionsView all articles
Research on the hydrochemical characteristics of groundwater and dynamic changes in water level depth in Jinchang City
Provisionally accepted- 1Gansu Key Laboratory of Groundwater Engineering and Geothermal Resources, Lanzhou, China
- 2Gansu Geological Environment Monitoring Institute, Lanzhou, China
- 3Hohai University School of Earth Sciences and Engineering, Nanjing, China
- 4Gansu Hydrological and Water Resources Survey Center, Wuwei, China
Select one of your emails
You have multiple emails registered with Frontiers:
Notify me on publication
Please enter your email address:
If you already have an account, please login
You don't have a Frontiers account ? You can register here
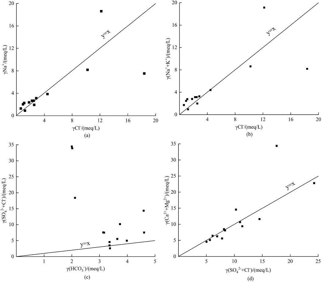
Jinchang City, an arid inland city in Northwest China and one of the country’s 110 most water-stressed cities (per capita water resources: 1173 m³, far below provincial and national averages), faces continuous groundwater level decline due to rapid agricultural land expansion and large-scale groundwater exploitation—threatening regional ecology, production, and livelihoods. This study aims to utilize hydrochemical data (13 national monitoring wells, September 2023) and monthly groundwater level data (2017-2023), combined with statistical analysis (SPSS 20.0), hydrochemical graphs (Origin 2021), spatial interpolation (Surfer), and random forest (R, optimized ntree = 50, mtry = 2); Using methods such as R2 = 0.83 and RMSE = 0.19 m, elucidate the impact of groundwater dynamics on hydrochemistry and determine the driving factors behind water level decline. Results showed: (1) Groundwater is slightly alkaline (pH 7.50–7.90, avg.7.73); total hardness (TH: 229–1720 mg/L, avg.569.62 mg/L) and TDS (334–2420 mg/L, avg.905.92 mg/L); dominant ions: Ca2+ > Na+ > Mg2+ > K+ (cations), SO42- > HCO3- > Cl- > NO3- (anions); main hydrochemical type: Ca-SO4. (2) Hydrochemistry is controlled by combined silicate weathering, carbonate dissolution, and evaporite dissolution: Ca²⁺ and Mg2+ from carbonates and silicates dissolution; Na+ mainly from halite dissolution (minor silicate contribution); SO42- and Cl- mainly from carbonates (supplemented by evaporites). (3) 2017–2023 groundwater level dropped 2.26 m (avg.0.38 m/a); random forest identified over-exploitation (importance index=1.2) and reduced runoff (0.67) as main drivers. (4) Level decline increased ion concentrations ( SO42- / NO3- exceeding standards), exacerbated pollution accumulation, and destabilized hydrochemical types. Practically, these findings provide a scientific basis for groundwater management in Jinchang City: for regional water resource managers, they support targeted measures such as strengthening the control of overexploitation in central agricultural areas, optimizing upstream water diversion (to alleviate the reduction of runoff from dams such as Hanjiaxia), and promoting water-saving irrigation. For local communities, these results help raise awareness of groundwater scarcity and provide a basis for rational water use in agriculture and daily life, thereby promoting the sustainable development of regional water resources.
Keywords: Arid zone groundwater process, hydrochemical evolution mechanism, Groundwater depth, Influencing factors, Machine learning application
Received: 15 Oct 2025; Accepted: 13 Nov 2025.
Copyright: © 2025 Shang, Liu, Guo and Jiang. This is an open-access article distributed under the terms of the Creative Commons Attribution License (CC BY). The use, distribution or reproduction in other forums is permitted, provided the original author(s) or licensor are credited and that the original publication in this journal is cited, in accordance with accepted academic practice. No use, distribution or reproduction is permitted which does not comply with these terms.
* Correspondence: Qiaona Guo, guoqiaona2010@hhu.edu.cn
Disclaimer: All claims expressed in this article are solely those of the authors and do not necessarily represent those of their affiliated organizations, or those of the publisher, the editors and the reviewers. Any product that may be evaluated in this article or claim that may be made by its manufacturer is not guaranteed or endorsed by the publisher.
