Abstract
Indigenous agroforestry systems in tropical mountainous environments provide crucial ecosystem services, but these ecosystems are also facing some challenges. A loss of diversity and native tree species in the overstory layer has been a growing concern in agroforestry worldwide, yet the drivers behind it remain inadequately understood. We hypothesize that the choice of overstory tree species is closely linked to the ecosystem services required by farmers, their livelihood strategy, and the salient features of each system. We, therefore, investigated four different farming systems in the mountains of northeastern Tanzania, i.e., the Kihamba on Mt. Kilimanjaro, Ginger agroforestry in the South Pare mountains, and Miraba and Mixed spices agroforestry in the West and East Usambara. In 82 farms, we collected data on the structure, tree species composition (both native and non-native), diversity, and associated provisioning ecosystem services as identified by smallholder farmers. Our results indicate that although all studied systems are multi-layered with three or four vertical layers, they have notable differences in their salient features concerning structure, composition, and diversity. The unique climate, landscape setting, soil, historical background, and economic opportunities that exist in each region contribute to those differences. Our findings indicate that the Kihamba system had the highest number of native tree species, and the largest diversity in species used for provisioning services, followed by Ginger agroforestry. No native species were used in Miraba or Mixed spices agroforestry, where a limited number of non-native tree species are planted mainly for fuel and timber or as a crop, respectively. Our findings regarding reported provisioning ES corroborate our hypothesis and imply that policies to increase resilience and restore the native tree species cover of the agroforestry systems of Tanzania can only be successful if knowledge of the ES potential of native species is increased, and interventions are tailored to each system’s ES needs for conservation as well as livelihood.
1 Introduction
Mountain ecosystems in the tropics are important for the provision of ecosystem services, both on-site as to regions that are downhill (Grêt-Regamey et al., 2012; IPBES, 2019). Trees and forests are essential to those ecosystem services, given their positive effects on erosion control and slope stabilization, biodiversity, water buffering, nutrient cycling, carbon sequestration, microclimate and supporting other biodiversity, as well as harboring culturally important sites (e.g., Padilla et al., 2010; Hirschi et al., 2013; Pătru-Stupariu et al., 2020). In northeastern Tanzania, mountain ecosystems contain important conservation landscapes, including forest reserves and national parks with high species diversity and of international importance (Lovett and Wasser, 1993; Lovett, 1998; Burgess et al., 2007; Heckmann, 2011).
However, tropical mountain ecosystems are also facing growing environmental, social, and economic challenges as short-term needs in terms of livelihood and food security may conflict with conservation goals despite a local understanding that these goals benefit the community in the long run (Hamilton and Bensted-Smith, 1989; Kimaro et al., 2018; Glushkova et al., 2020; Kimaro and Chidodo, 2021). Indigenous agroforestry systems have been praised as a promising avenue for balancing those needs and as a model for climate-smart agriculture (Negash et al., 2012; FAO, 2022; Kassa, 2022). If properly managed, these ecosystems can play an important role in conservation efforts and simultaneously provide regulating, supporting, and cultural as well as provisioning ecosystem services (ES; Kuyah et al., 2016, 2017). In Tanzania, indigenous agroforestry systems support regions with large population densities (ranging from 150 to 350 persons/km2 (URT, 2013); 90% of them being smallholder farmers; Mattee et al., 2015). On the other hand, agroforestry systems are also at risk of environmental degradation associated with poverty and are vulnerable to the effects of climate change (FAO and UNCCD, 2019). Recent studies about the mountains of northeastern Tanzania have focused on specific aspects, such as soil organic carbon (Winowiecki et al., 2016; Kirsten et al., 2019), erosion (Wickama et al., 2014), dynamics of land use change (Hall et al., 2011), and land management and livelihoods (Lundgren, 1980; Reyes, 2008). Nevertheless, the term ‘agroforestry’ as a collective name for ‘land-use systems where woody perennials are deliberately used on the same land-management units as agricultural crops and/or animals (FAO, 2015)’ holds danger for generalization: In northeastern Tanzania, indigenous agroforestry systems considerably differ in their farming traditions, livelihood strategies, structural arrangement and choice of crops, animals or overstory species as well as in soils, rainfall, and landforms. Few studies have considered the interaction between those differences in salient features and the delivery of ecosystem services (Michon et al., 1983, 1986; Abebe et al., 2013).
The overstory layer is one of the important features in multi-layer agroforestry systems due to its influence on multiple ES (Soini, 2005; Graham et al., 2022). Nonetheless, the overstory layer is undergoing many changes in agroforestry systems around the globe (Pantera et al., 2021). In Africa, many homegardens are being transformed and native tree species are being replaced by non-natives for timber production (Yakob et al., 2014; Endale et al., 2017; Wagner et al., 2019; Gemechu et al., 2021). The increasing dominance of agroforestry canopies by fast-growing non-native tree species is a consequence of colonial governance in the period of 1900–1970 (von Hellermann, 2016), a bias toward production services and a focus in research and extension on species providing fodder or fixing nitrogen (Atangana et al., 2014; Franzel et al., 2014). Non-native species provide fewer ES because they score lower in terms of multifunctionality (van der Plas et al., 2016; Castro-Díez et al., 2019, 2021). Their increased share in agroforestry canopies is considered a signal of indigenous agroforestry degradation (Oginosako et al., 2006; Lelamo, 2021). Examples of non-native species with a negative effect include Eucalyptus spp. (acidification, water reserve, and nutrient depletion; Castro-Díez et al., 2012; Silva et al., 2017); Acacia mearnsii, Leucaena leucocephala, and Persea americana (biodiversity decline; Vilà et al., 2011; Sharma et al., 2022); and Cedrela odorata (native tree suppression; FORCONSULT, 2006). In Tanzania, common examples of non-native trees in homegardens include Eucalyptus saligna, Pinus patula, Cedrela odorata, Acacia mearnsii, Grevillea robusta, Persea americana, and Leucaena spp. (Lyimo et al., 2009). These species are promoted for provisional services, i.e., timber provision, fuel, food, and fodder, yet minimally contribute to regulating (water regulations, pollination, climate), cultural (esthetic values, heritage, recreation, and ecotourism), or supporting (nutrient cycling or soil formation) ES (Munishi et al., 2008; Lyimo et al., 2009; Negash et al., 2012; Abebe et al., 2013).
Despite the growing concern about this loss of native species and their services, governments in developing countries lack strategies for restoring native tree species in agroforestry systems at the landscape scale (FAO, 2013). Furthermore, such strategies have little chance of success if they are not tailored to the specific livelihood strategies and salient features of different types of agroforestry systems in different regions, nor to the drivers and ES requirements that are behind the choices that people make for their homegardens and fields. Hence, in this study, we focus on the internationally renowned (Kitalyi et al., 2013; FAO, 2022) yet rapidly transforming indigenous agroforestry systems in the mountains of northeastern Tanzania, i.e., in the Kilimanjaro, South Pare, and West and East Usambara region (cf. Munishi et al., 2008; Hall et al., 2011; Molla and Kewessa, 2015; Brus et al., 2019). We hypothesize that the choice of overstory tree species is closely linked to farmers ES needs, livelihood strategy, and the salient features of each system. To assess that hypothesis, we visited 82 smallholder farms to identify the structure and different components, i.e., crops, animals, and perennials, and discuss their roles in the livelihood strategy of the farmers. Next, we quantified the identity and diversity of the different trees in the canopy of each system. Finally, we discussed the different perceived ES services farmers require from those trees and how they relate to the salient features of each system. This information can guide future policies and campaigns to improve the canopy biodiversity to be in sync with the needs and preferences of the farmers in each region.
2 Materials and methods
2.1 Study area
Agroforestry in northeastern Tanzania is practiced on Mount Kilimanjaro, in South Pare, and in the West and East Usambara Mountains, each occupying an agricultural area of approximately 8,000 km2 (Figure 1; Burgess et al., 2007; Heckmann, 2011; Zech et al., 2014) with elevations ranging from 800 to 2,000 m asl. The climate is humid and monsoonal. Annual rainfall has a bimodal distribution with the main rainy season occurring between March and June (locally called Masika) and a shorter rainy season from October to December (Vuli). Each mountain range has its own unique indigenous agroforestry system (Akinnifesi et al., 2008; Reetsch et al., 2020a,b). These mountain ranges are referred to as ‘Kihamba’ or ‘Chagga homegardens’ on the southern slopes of Mount Kilimanjaro (Hemp and Hemp, 2008; Banzi and Kalisa, 2021), ‘Ginger agroforestry’ in South Pare (Ndaki, 2014; Mmbando, 2015), ‘Miraba’ in West Usambara (Msita, 2013), and ‘Mixed spices agroforestry’ in East Usambara (Hall et al., 2011; Patel et al., 2022).
Figure 1

Location of the studied areas (top) and selected wards (bottom) in the northeastern mountains of Tanzania.
2.2 Data collection
2.2.1 Site selection
For each mountain range, an area of ca. 200 km2 was demarcated (Figure 1), comprising six representative administrative wards (local government areas; Figure 2). In each ward, plots of 0.2–0.5 ha were demarcated in randomly selected household farms. In total, 82 plots were selected, i.e., 35 in Kihamba, 18 in Ginger agroforestry, 20 in Miraba, and 9 in Mixed spices agroforestry. For each area, mean annual rainfall and temperature were derived using Modern-Era Retrospective Analysis for Research and Applications (MERRA-2) and Geodetic Earth Orbiting Satellite GEOS 5.12.4 from the Prediction of Worldwide Energy Resources (POWER) database [Global Modeling and Assimilation Office (GMAO), 2015]. Landform and soil information were derived from the Harmonized World Soil and SOTER Databases (FAO, 2016) and the WoSIS database in SoilGrids (ISRIC, 2023), complemented by own field observations. The data are presented in Table 1.
Figure 2

Detailed boundaries and location of administrative wards within each study landscape: (A) Mount Kilimanjaro; (B) South Pare Mountains; (C) West Usambara Mountains; (D) East Usambara Mountains. Boundaries and location of administrative wards were generated using QGIS 3.16.6 with GRASS 7.8.5 software.
Table 1
| Mt. Kilimanjaro | South Pare Mountains | West Usambara | East Usambara | |
|---|---|---|---|---|
| Studied area | 212 km2 | 252 km2 | 243 km2 | 209 km2 |
| Agroforestry type | Kihamba | Ginger agroforestry | Miraba | Mixed spices agroforestry |
| Altitude | 800–2,000 m asl | 1,200–1,800 m asl | 1,300–1,800 m asl | 800–900 m asl |
| Mean annual rainfall | 1,890 mm | 1,000 mm | 1,700 mm | 1,920 mm |
| Mean annual temperature range | 16–19°C | 15–20°C | 17–18°C | 17–24°C |
| Landform | Foot ridges and very steep riverside valley slopes | Dissected plateau, rolling to hilly relief, slopes ranging from 10 to 40% | Ridges, steep to very steep slopes, narrow and broad U-shaped valley bottoms | Ridges, steep to very steep slopes, narrow V-shaped valley bottoms |
| Soils | Nitisols and Cambisols on volcanic material | Acrisols and Leptosols on old precambrian basement rocks | Acrisols and Alisols on old precambrian basement rocks | Acrisols and Alisols on old precambrian basement rocks |
| Selected wards | Uru North & South; Mbokomu; Kilema central; Marangu West & East | Bombo Mvaa & Mjema; Mtii; Lugulu & Kanza; Chome | Lukozi, ndabwa; Manolo; Mwangoi; Shume; Kwai | Amani shebomeza, Magoda & mlesa; Kisiwani; Mbomole; Misalai |
| Number of selected household farm plots | 35 | 18 | 20 | 9 |
| Field/homegarden size range (ha) | 0.2–0.5 | 0.2–1 | 0.2–0.5 | 0.2–1 |
Climatic and topographic characteristics of the areas included in the study.
2.2.2 System structure and tree species composition in the indigenous agroforestry systems
We conducted a field survey from July to September 2021, collecting data on salient features of each agroforestry system (i.e., vertical structure (number of layers and canopy depth), horizontal arrangement, mixing patterns and management aspects, and species composition; cf. Michon et al., 1983; Hemp and Hemp, 2008; Dhanya et al., 2014). The canopy depth was assessed by a tape measure and clinometer (cf. Leonard et al., 2010; Kanmegne-Tamga et al., 2023), and photographs of farm plots were taken at the eye level during the daytime to document structure and arrangement. All photographs were taken at 50 m from the predominant agroforestry layers. Tree species (both vernacular and botanical names) were identified with the help of plot owners, botanists from Tanzania Forest Research Institute, digital photo interpretation [PlantNet] app, 2021 (Goëau et al., 2013), and vegetation identification guides (Mbuya et al., 1994; Maundu and Tengnäs, 2005; NAFORMA, 2010; Thijs et al., 2014).
To verify livelihood strategies and management aspects, we consulted with four key people from each ward in a focus group discussion, including a village executive officer, a ward executive officer, an agricultural extension officer, and senior/experienced smallholder farmers (Appendices 1, 2). In addition, we complemented that information with 82 household interviews (see section 2.2.2; interviews and open-ended questionnaires) where farmers were asked about local management techniques carried out on their farm plots, such as indigenous irrigation, application of farmyard manure, green manure, mulches, opening the tree canopy, lopping, and spacing out the banana stools (cf. Sabbath, 2015; Reetsch et al., 2020a,b).
2.2.3 Ecosystem services in the indigenous agroforestry systems
At each farm plot, a household representative was interviewed using a semi-structured questionnaire to identify farmers’ perceptions and needs regarding ES provided by the canopy layer in the system. This study focused on ES relevant for production (food, fodder, fuel wood, timber, and shade) as most essential to the livelihood strategies of smallholder farmers (Fisher and Turner, 2008; Kuyah et al., 2016, 2017; Mkonda and He, 2017; Wagner et al., 2019). Each ES was ranked by smallholder farmers using the 3-point Likert ordinal scale (1 = not important, 2 = important, 3 = most important) for each of the trees identified on their plot (Munishi et al., 2008).
2.3 Data analysis
2.3.1 Stand structure and species composition in the indigenous agroforestry systems
We developed schematic profile representations of the canopy depth of the dominant multi-layer agroforestry systems based on the field photographs using Adobe Photoshop with the aim to better visualize layers and distinguish tree species and canopy depth (cf. Reetsch et al., 2020a,b).
We used descriptive statistical analyses from R software (3.6.3 version, R Core Team, 2021) and data visualization packages psych and ggplot2 (Nordmann et al., 2022) to explore the distribution of tree identity (native and non-native) and their provisioning of multiple ES within and across the studied systems. We excluded Mixed spices agroforestry because the upper canopy only consists of one non-native tree species (clove, see also Pungar et al., 2021).
2.3.2 Tree species diversity
For each smallholder farm, we calculated tree species diversity, richness, and evenness using the Shannon and Weaver (1963) index of diversity (Eq. 1; Admas and Yihune, 2016; Patel et al., 2022) and Shannon’s equitability (EH) index (Eq. 2),
Shannon index (H′):
Shannon equitability index EH:
where H' is index of species diversity, pi is proportion of total sample belonging to i-th species, lnS is (S = number of species encountered), and Hmax is the highest possible species diversity value.
We also used Sorenson’s coefficient index to determine similarities between the identified tree species in two adjacent systems with similar characteristics in terms of multi-layer vegetation composition and local management (McCune and Grace, 2002; Eq. 3),
where C is the number of tree composition the two AGF landscapes have in common, L1 is the total number of tree composition found in a system/area1, and L2 is the total number of tree composition in system/area 2.
Sorenson’s coefficient gives a value between 0 and 1, and the closer the value is to 1, the more the systems have in common, with the value of 1 indicating complete overlap in species and a value of 0 indicating two systems are completely different in species composition (Clarito et al., 2020).
2.3.3 Ecosystem services in the indigenous agroforestry systems
We used descriptive and non-metric multi-dimensional scaling (NMDS) approaches in R (Dexter et al., 2018) to analyze the perceived ES offered by the different tree species (Kenkel and Orloci, 1986; Ampoorter et al., 2015). In the NMDS plot, the closer the points are together in the ordination space, the more the similar are their ecosystem communities (Lefcheck, 2012; Buttigieg and Ramette, 2014). The function metaMDS command from the vegan package (Oksanen et al., 2020) in R, coupled with Bray–Curtis similarity and dissimilarity metric calculation between samples (Bray and Curtis, 1957), was deployed for suitable ordination to run the NMDS and check for the homogeneity of the variances (i.e., tree species), respectively (Pot et al., 2022). We used R package ggplot2 to plot the ordination graph. We assessed differences in the ES offered by the different tree species using the permutation test (PERMANOVA) to assess whether differences were significant.
3 Results
3.1 Salient features and livelihood strategies of the indigenous agroforestry systems in the study areas
3.1.1 Kihamba (Chagga homegardens) on the southern slopes of Mount Kilimanjaro
Agroforestry farms at Mt. Kilimanjaro are managed according to the traditional homegarden system of the Chagga tribe, known as ‘Kihamba.’ The plots in our study typically consisted of a complex, four-layered system (Figure 3): The first layer is a canopy of trees with a canopy depth ranging from 12 to ≥30 m. In the plots in our study, the most common native tree species in the tree layer include Maragaritaria discoidea, Bridelia micrantha, Albizia schimperiana, Cusonia holstii; Rauvolfia caffra, Ficus natalensis, Cordia africana, and Croton macrostachyus (Table 2; Figure 3; Supplementary Table S1). Common non-native species include Grevillea robusta, Magnifera indica (mango), Persea americana (avocado), Artocarpus heterophyllus (jackfruit), and Eriobotrya japonica (loquat). Some evergreen climbing species, such as oysternut (Telfairia pedata) and vanilla (Vanilla planifolia/polylepis), are grown with the trees as support.
Figure 3

Overview of different homegarden agroforestry systems in mountain regions of Tanzania: Kihamba (left), Ginger (center), and Mixed spices agroforestry (right). For each agroforestry system, the main vertical layers are illustrated; for example, for the Ginger agroforestry: A = Trees (first layer); B = Banana (second layer); C=Sugarcane (third layer); D = Ginger (fourth layer; photographs by O. D. Kimaro, August 2021). The structure of Miraba, which is not a homegarden system, is depicted in Figure 4.
Table 2
| Vernacular names | |||
|---|---|---|---|
| Tree species | Chagga | Pare | Sambaa |
| Native species | |||
| Albizia schimperiana Oliv | Mfuruanje, Mruka | Mririgwi, Mshai, Mruka | |
| Bridelia micrantha (Hochst.) Baill. | Mmarie | Mwira | |
| Cordia africana Lam. (C. abyssinica R. Br.) | Mringaringa | Mringaringa | |
| Commiphora zimmermannii (C. Zimmermann) | Mfifina | ||
| Croton macrostachyus Hochst. ex Delile | Mfurufuru | ||
| Croton megalocarpus Hutch. | Muhande, Irisa, Mfurufuru | ||
| Cussonia holstii Harms ex Engl. | Mnengere | ||
| Ficus Vallis-Choudae Del. | Mkuu | Mkuu | |
| Ficus natalensis Hochst. | Mfumu | ||
| – | Ihoko | ||
| Lannea schweinfurthii (Engl.) Engl. | Mshishina | ||
| Maragaritaria discoidea (Baill.) G.L. Webster | Mshamana | ||
| Markhamia lutea (Benth.) K. Schum. | Mtalawanda | Mtaanda | |
| – | Mhodo | ||
| Mitragyna rubrostipulata (K. Schum.) Havil. | Mkundukundu | ||
| Newtonia buchananii (Baker) Gilbert & Boutique | Mririgwi, Mhashita | ||
| Olea capensis L. | Mloliondo/Mchiio | ||
| Pterocarpus angolensis DC. | Mninga wa kipare | ||
| Rauvolfia caffra Sonder | Msesewe, Mwembemwitu, Mkufi | ||
| Syzigium guineense (Willd.) DC | Mlama | ||
| Tarenna pavettoides (Harv.) Sim | Kitundu | ||
| Telfairia pedata (Sims) Hook. | Oysternut, Kweme | Oysternut, Kweme | |
| Trichilia dregeana Sond. | Mgolimazi wa mzitui, Nduruma, Mtimaji | ||
| Vangueria madagascariensis J.F.Gmel. | Ndowiro | ||
| Non-native species | |||
| Annona senegalensis Pers. | Mtopetope | ||
| Acacia mearnsii De Wild. (black wattle) | Miwati, Mgamadume, Mblakiwato | ||
| Mhache | |||
| Artocarpus heterophyllus Lam. (Jackfruit) | Mfenesi | Mfenesi | |
| Calliandra calothyrsus Meissner | – | ||
| Callistemon citrinus (Curtis) Skeels | Lemon, Bottle brush | ||
| Calotropis procera (Ait.) Ait. F. | Mkaburi, Jatropha | ||
| Carica papaya L. (papaya) | Mpapai | ||
| Cedrela odorata L. (Spanish cedar) | Mvuje, Mwerezi, Mtikunuka | ||
| Cedrus libani A. Rich. (Libanon cedar) | Mierezi | ||
| Cinnamon zeylanicum Bl. (cinnamon) | Mdalasini | ||
| Citrus limon (L.) Burm. f. (lemon) | Mlimau, Ndimu | ||
| Citrus sinensis (L.) Osbeck (orange) | Mchungwa, Ichungwa | ||
| Cupressus lusitánica Mill. (cypress) | Mtarakwa, Mkrisimasi | ||
| Eriobotrya japonica Lindl. (loquat) | Sambia, Loquat | Sambia, Loquat | Msambia |
| Eucalyptus spp | Mkaratusi | ||
| Eucalyptus camadulensis Dehnh., Cat. Pl. Hort. | Mkaratusi/Opani | ||
| Eucalyptus saligna Smith | Mkaratusi | ||
| Grevillea robusta A. Cunn. ex R. Br. | Mkawilia, Mkerewila, Mweresi | Mgrevillea, Mieresi | Mkarela/Mgrevillea |
| Leucaena leucocephala (Lam.) de Wit | Mlusina | ||
| Malus domestica (Suckow) Borkh. (apple) | Apple | ||
| Mangifera indica L. (mango) | Mwembe | Mwembe | Mwembe |
| Passiflora edulis Sims. (passion fruit) | Isapiku/Ikungu | ||
| Persea americana Mill. (avocado) | I, Mparachichi | Embe, mafuta | |
| Pinus patula Schldl. Et Cham. (pine) | Msonobari, msindano | Msindano | |
| Prunus persica (L.) Batsch. (peach) | Mpichi | Mfyoski | |
| Psidium cattleianum Sabine (cattly guava) | Mpera wa kizungu/Ng’ombe | ||
| Psidium guajava L. (guava) | Mpera | Mpera | |
| Sechium edule (Jacq.) Sw. (chayote) | Chayote/Chocho | ||
| Syzygium aromaticum (L.) Merr. & Perr. (clove) | Mkarafuu | ||
Scientific and vernacular names of tree species recorded in the studied agroforestry systems for the Kilimanjaro (Kihamba, Chagga language), Pare Mountains (Ginger agroforestry, Pare language), and Usambara Mountains Miraba and Mixed spices agroforestry (Sambaa language).
“-” denotes not encountered.
The second layer is a dense upper perennial herb layer, mainly comprising banana varieties (Musa sp.) with a canopy depth of 2.5–5 m. The third layer mainly comprises coffee (Coffea arabica) with a few young trees, shrubs, and taller herbs making a canopy depth of 1–2.5 m, and the fourth layer consists of annual food crops, mainly beans (Phaseolus vulgaris L.), cassava (Manihot esculenta), maize (Zea mays), cocoyam (Colocasia esculenta), and potato (Ipomoea batatas (L.) Lam. and Solanum tuberosum). These are complemented by nduu (Dioscorea bulbifera), shia (Dioscorea alata), and biringanya (Solanum melongena). Herbs, shrubs (Dracaena steudneri; afromontana and fragrans), and grasses (Drymaria cordata, Setaria splendida) are grown in fallow gaps. The canopy depth of this last layer ranged from 0.2 to 1 m. The spatial arrangement of the components has no clear pattern and is irregularly spaced, with trees, shrubs, and arable crops closely intermixed (Figure 3). Most farms have a livestock component in the homegarden, consisting of only a few animals. These farms include typically 2–3 dairy cows and other animals, including pigs, goats, or local poultry and African stingless bees.
For their livelihoods, farmers traditionally depend mainly on coffee and bananas for cash, but due to low coffee prices, the sale of fruits, milk, or honey has become more important. The bananas and arable crops are grown for subsistence, while herbs, grasses, and some woody species are used for fodder or as medicinal plants. Farm management includes lopping the canopy for firewood or for increasing light to the lower layers (e.g., for ensuring better fruiting of the coffee) and spacing out banana stools. Irrigation is also common, where each homegarden is connected to a network of indigenous irrigation furrows. The application of cattle manure as a mulching material to improve soil fertility also was a common practice for many smallholder farmers.
3.1.2 Ginger agroforestry in South Pare Mountains
Ginger agroforestry, practiced in South Pare Mountains (as shown in Figure 3), also consists of four layers, but, as compared to Kihamba, the upper canopies are much less dense (as seen in Figure 3). The first layer consists of trees with a canopy depth ranging from 10 m to over 40 m. The common native tree species in this layer include Trichilia dregeana, Syzigium guineense, Mguthuru, Newtonia buchananii, Tarenna pavettoides, Markhamia lutea, Croton megalocarpus, Cordia africana, Albizia schimperiana, and Ficus Vallis-Choudae (Table 2; Supplementary Table S1). Common non-native tree species include jackfruit, avocado, mango, loquat, and Grevillia robusta.
The second layer consists of sparsely scattered bananas (canopy depth of 2.5–5 m), followed by a third layer with a canopy depth of 1–2.5 m is characterized by mixed shrubs, (Dracaena spp. and Vernonia subligera). Sugarcane (Saccharum officinarum) and maize (Zea mays) are also part of this layer. Few smallholder farmers (< 5%) integrate shade coffee into this layer. Our observations showed that the spatial arrangement of the components is irregular, haphazard, and sparsely intermingled. The lowest layer, with a canopy depth of 0.5–1 m, is densely occupied with ginger (Zingiber officinale), an underground stem herb plant rotated with arable crops, such as maize and dry beans (Phaseolus vulgaris). Few farmers include a few animals, such as a cow (low zero grazing and extensive grazing on fallow gaps) and local chicken breeds.
For their livelihoods, farmers mainly depend on the cultivation of ginger for cash, which was introduced in the area in the 1980s as an alternative for coffee on the dryer and more acidic soils of the Pare mountains, following the collapse of coffee prices and growing disease pressure. The yield is complemented by fruits, sugarcane, and arables. Farm management includes local pipe irrigation. Manure is in short supply and sometimes bought from the lowlands.
3.1.3 Miraba agroforestry in West Usambara Mountains
The West Usambara Mountains have a very different cultural tradition as compared to the Kilimanjaro and South Pare areas. A cultural heritage system called ‘Miraba’ (literally meaning ‘squares’) is a farming system that integrates grassy hedges in the landscape (see Figure 4). Originally practiced by women in gaps in the forest, it was later reintroduced in soil and water conservation programs to control erosion that also promoted the use of nitrogen-fixing species, such as Grevillia. Miraba can be considered as a three-layer system with a very sparse, scattered, and linear first layer, consisting of trees with a canopy depth ranging from 20 m to 40 m. Only non-native tree species were encountered including Grevillea robusta, cypress (Cupressus spp.), pine (Pinus patula), loquat (Eriobotrya japonica), black wattle (Acacia mearnsii), and Eucalyptus spp. (see Tables 2, 3). The second layer of patches of bananas and cassava (Manihot esculenta) is only present near or around settlements. The third layer consists of squares of low, grassy hedges of Guatemala and Elephant grass (Tripsacum andersonii and Pennisetum purpureum). In between the hedges, maize (Zea mays), dry beans (Phaseolus vulgaris L.), and Irish potatoes (Solanum tuberosum) are the most common arable crops.
Figure 4

Miraba agroforestry in the West Usambara Mountains: A = trees (first layer); B = banana and cassava patches near settlements (second layer); C = strips of Guatemala or elephant grass, maize, and beans inside the square (third layer; photograph by O. D. Kimaro).
Table 3
| Reported ecosystem service | ||||
|---|---|---|---|---|
| Non-native tree species | Kihamba | Ginger agroforestry | Miraba | Mixed spices |
| Acacia mearnsii | – | – | Fuel, timber | – |
| **Artocarpus heterophyllus | Food | – | – | – |
| Annona senegalensis | Food | |||
| **Artocarpus heterophyllus | – | Food, fodder | – | – |
| Calliandra calothyrsus | Fodder | – | – | – |
| Callistemon citrinus | Forage, Fuel | – | – | – |
| Calotropis procera | – | Shade, Fuelwood | – | – |
| Carica papaya L. | Food | – | – | – |
| Cedrela odorata | – | Timber | – | – |
| Cedrus libani | Timber | – | – | – |
| Cinnamon zeylanicum | – | Food | – | Food (spice) |
| Citrus limon | – | Food | – | – |
| Citrus sinensis | – | Food | – | – |
| Cupressus lusitanica | – | – | Fuel, timber | – |
| **Eriobotrya japonica | Food, fodder,shade | Food | Food | – |
| Eucalyptus spp | – | – | Timber | – |
| Eucalyptus camadulensis | Timber | – | – | – |
| Eucalyptus saligna | – | Timber | – | – |
| **Grevillea robusta | Fuelwood, timber, shade | Fuel, timber | Fuel, timber soil conservation, shade | – |
| Leucaena leucocephala | Fodder | – | – | – |
| Malus domestica | Food | – | ||
| **Mangifera indica | Food | Food | Food | – |
| Passiflora edulis | Food, fodder | – | – | – |
| **Persea americana | Food, fodder | Food/fodder | – | – |
| Pinus patula | Timber | – | Fuel, soil conservation, shade, timber | – |
| Prunus persica | Food | Food, shade | – | – |
| Psidium cattleianum | – | Food | – | – |
| **Psidium guajava | Food | Food, fodder | – | – |
| Sechium edule (Jacq.) | Food, fodder | – | – | – |
| Syzygium aromaticum | – | – | Food (spice) | |
Non-native tree species in indigenous agroforestry systems and the farmers’ reported provisioning ecosystem services.
** Denotes tree species common in both Kihamba and Ginger agroforestry. "-" denotes not encountered.
Contrary to the Kihamba, Ginger, and Mixed spices agroforestry, Miraba is not a system of homegardens. Due to lower rainfall, acidic soils, and connections to the vegetable markets of Tanga, Dar es Salam, and Kenya, households rely mainly on vegetables grown in valley bottoms for cash and on the Miraba on the slopes for subsistence foods. Animal husbandry is not common, and grasses from the hedges are often sold. Some farmers use shrub leaves, such as Tithonia diversifolia (Alizeti Pori) and Vernonia myriantha (Tughutu) as mulching materials in the Miraba field plots.
3.1.4 Mixed spices agroforestry in the East Usambara Mountains
The ‘Mixed spices’ agroforestry system of the East Usambara Mountains is a smallholder farming system targeted at growing clove (Syzygium aromaticum), cinnamon (Cinnamomum verum), cardamom (Elettaria cardamomum), and black pepper (Piper nigrum). Our study found a dense three-layered system (Figure 3) with an irregular layout of components closely intermingled in space. The first layer consists of clove trees with a canopy depth ranging from 8 to 30 m. Black pepper is growing as a woody climber around the clove trees. The second layer consists of cinnamon trees with a canopy depth ranging from 8 to 17 m. The use of other trees besides clove and cinnamon was not observed. The third layer comprises mainly cardamom with a canopy depth of 1 to 2 m. This layer covers more than 80% of the field plot. Other vegetation integrated in the patches of cardamom are shrubs such as Lantana camara, Vernonia spp., Clidemia hirta, Stachytarpheta jamaicensis and herbs (Justicia spp., Polygala spp., Impatiens spp., ferns, Commelina spp., Mimosa pudica, Senencio spp., Ipomea batata, Rubus rosifolis, Afromomum corrorima, and Afromomum melegueta). The incorporation of animals in the system is rare. Management includes tending to the trees and minimal weeding.
As the soils are very strongly leached due to the Precambrian parent material and very high rainfall, coffee and arable crops in general do very poorly. Hence, farmers grow mainly spices requiring warm and humid conditions for cash and rely on market purchases for food.
3.2 Composition and diversity of tree species in the study landscapes
3.2.1 Tree species composition, occurrence, and diversity
A total of 73 tree species native and non-native were identified across the four study areas (Table 2; Supplementary Figure S2). The most common native tree species identified were Albizia schimperiana, Maragaritaria discoidea, Cordia africana (abyssinica), Ficus Vallis-Choudae, Croton macrostachyus/megalocarpus, Olea capensis, Markhamia lutea, and Telfairia pedata. The most common non-native tree species were Syzygium aromaticum and Cinnamomum zeylanicum (dominant in Mixed spices agroforestry) and Grevillea robusta, Persea americana, Psidium guajava, Mangifera indica, Eucalyptus spp., Pinus patula, cypress (Cupressus spp), and Acacia mearnsii dominant in the Miraba and Ginger agroforestry.
Our results show that Kihamba agroforestry has more native tree species per plot, i.e., 2.77 ± 0.28 as compared to Ginger agroforestry 1.83 ± 0.33. Miraba and Mixed spices agroforestry do not have native species in farm plots (Tables 2, 4; Supplementary Figure S2). We found a similar pattern for non-native tree species where Kihamba agroforestry scored a mean of 2.54 ± 0.18 followed by Ginger agroforestry 2.22 ± 0.33 and Miraba agroforestry 1.95 ± 0.17 (Table 4). Mixed spices agroforestry only has clove trees in the upper canopy (Syzygium aromaticum) and cinnamon trees in the second layer (Cinnamon zeylanicum). Kihamba and Ginger agroforestry have the highest Shannon–Weaver Index diversity, with scores of 2.82 and 3.03, respectively, while that of Miraba is 1.66 and of Mixed spices agroforestry is 1.45 (Table 4).
Table 4
| System | Tree species | Total number of species encountered | Average number of species per plot | s.e. | n | Shannon index (H′) | Equitability |
|---|---|---|---|---|---|---|---|
| Kihamba | Native | 16 | 2.77 | 0.28 | 35 | 2.82 | 0.81 |
| Non-native | 16 | 2.54 | 0.18 | ||||
| Ginger | Native | 15 | 1.83 | 0.33 | 18 | 3.03 | 0.89 |
| Non-native | 16 | 2.22 | 0.33 | ||||
| Miraba | Native | – | 0.00 | – | 20 | 1.66 | 0.80 |
| Non-native | 8 | 1.95 | 0.17 | ||||
| Mixed spices | Native | – | 0.00 | – | 9 | 1.45 | 0.70 |
| Non-native | 2 | 2 | – |
Diversity, evenness, and equitability of tree species (native and non-native) in the indigenous agroforestry systems.
s.e = standard error, n = number of observed plots. "-" denotes not encountered.
3.2.2 Tree species similarity between agroforestry systems
Similarities and dissimilarities of tree species communities in the studied systems are presented in Tables 3, 5, Supplementary Table S2, and Supplementary Figure S1. The two agroforestry systems with native trees (i.e., Kihamba and Ginger agroforestry) were investigated for tree species similarity and dissimilarity (Sorenson’s coefficient indices; Sébastien, 2010; International Coffee Organization, 2018; Ichinose et al., 2020). A total of 12 tree species (Tables 3, 5; Supplementary Table S1) common in both systems were identified for coefficient index analysis. According to Sorenson’s coefficient, Kihamba and Ginger agroforestry do not have much overlap or similarity in their tree species composition (Sorenson’s Coefficient (CC) = 0.38) (Supplementary Table S2).
Table 5
| Native tree species | Reported ecosystem services | |
|---|---|---|
| Kihamba | Ginger agroforestry | |
| **Albizia schimperiana | Fodder, fuelwood, shade | Fodder, fuelwood, shade |
| **Bridelia micrantha | Fodder | Shade |
| **Cordia africana | Food, fodder, fuelwood, shade | Shade |
| Commiphora zimmermannii | Fodder, shade | – |
| Croton macrostachyus | Food, fodder, shade | – |
| Croton megalocarpus | – | Shade |
| Cussonia holstii | Fodder | – |
| **Ficus Vallis-Choudae | Shade | Shade |
| Ficus natalensis | Shade | |
| – | Food, fodder | |
| Lannea schweinfurthii | Food, fodder, shade | – |
| Maragaritaria discoidea | Food, fodder, fuelwood, shade | – |
| **Markhamia lutea | Timber | Food, fodder, shade |
| – | – | Food, fodder |
| – | – | Food, fodder |
| Mitragyna rubrostipulata | Food (medicinal) | – |
| Newtonia buchananii | – | Fodder, fuelwood, shade |
| Olea capensis | Food, fodder | |
| Pterocarpus angolensis | Timber, shade | |
| Rauvolfia caffra | Food, fodder, shade | – |
| Syzigium guineense | – | Food, fodder, shade |
| Tarenna pavettoides | – | Food (medicinal) |
| **Telfairia pedata | Food, fodder, shade | Food, fodder |
| Trichilia dregeana | – | Fuelwood, timber |
| Vangueria madagascariensis | Food, fodder | – |
Native tree species in the agroforestry systems and their reported provisioning ecosystem services (no native tree species were identified in Miraba and Mixed spices).
"-" denotes not encountered.
3.3 Tree species and ecosystem services
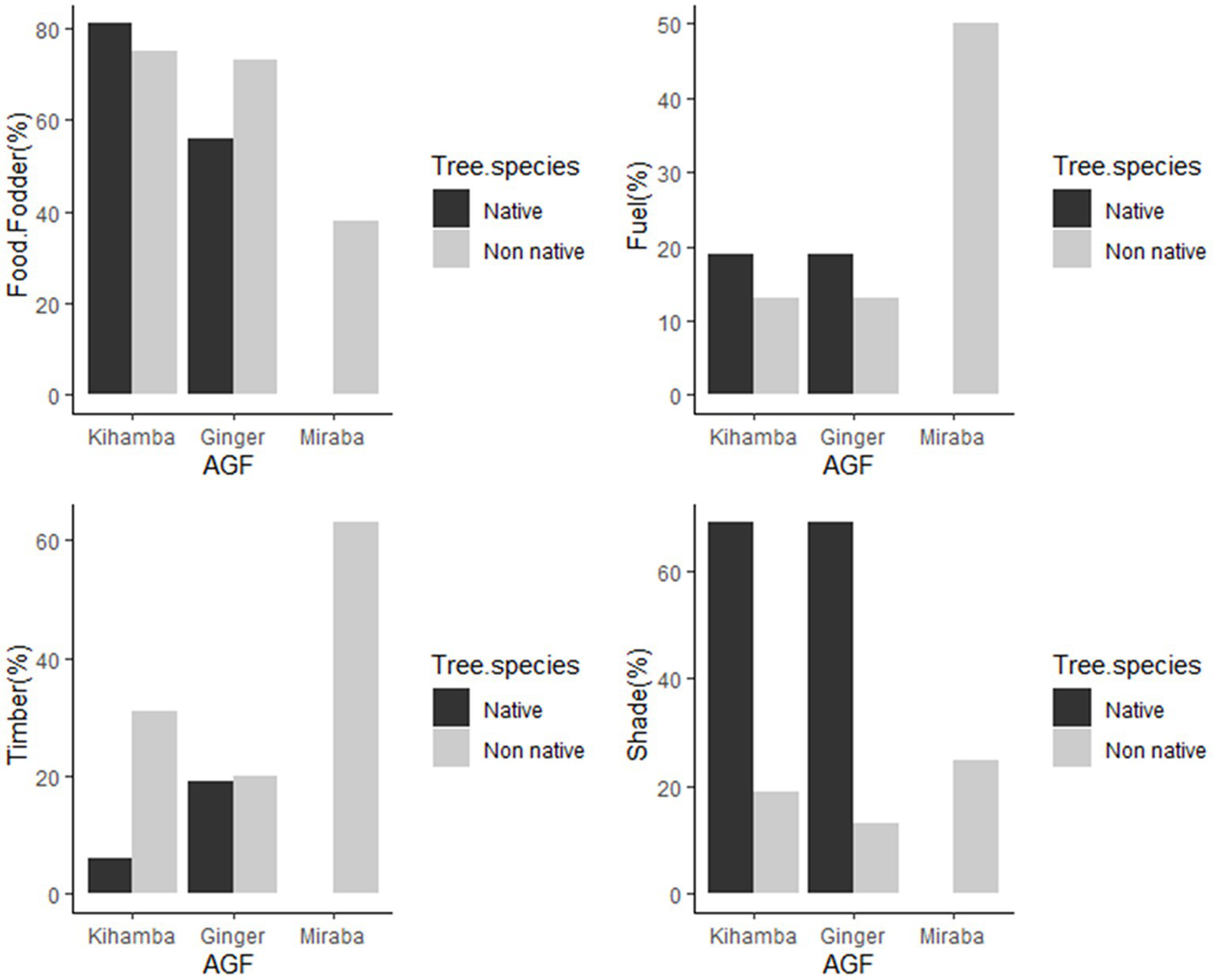
The contribution of native and non-native tree species to ES differed among the studied areas (as shown in Tables 3, 5 and Figure 5). Native tree species are perceived as important for food and fodder very commonly in Kihamba (80% of native tree species) and Ginger agroforestry (75%). Shade also was an important service of native trees in those systems (70%, as compared to ≤20% for non-native species). Non-native trees are also used for food or fodder but much less for shade. In the Usambara, no native trees were encountered. Non-native trees were mostly valued as important for fuel and timber in Miraba and food (clove and cinnamon; data not shown) in Mixed Spices agroforestry (Figure 5).
Figure 5

Percentage contribution of native and non-native tree species in smallholder systems reported as most important for provisioning of the ecosystem services food or fodder, fuel, timber, and shade. Mixed spices agroforestry is omitted as the trees in this system were exclusively used for the production of spices.
When split according to species (Tables 3, 5; Figure 6; Supplementary Figure S3), it becomes evident that farmers have different requirements in different systems and use different trees to meet them. Moreover, a tree can have a different function in different agroforestry systems. In Kihamba, the largest share of trees was reported to be planted for food and fodder, and they belonged to a wide range of species (with Margaritaria and Rauvolfia being the main native species, and avocado as an important non-native). The second largest group was planted for shade, most of them being natives (Albizia, Cordia, Croton, and a variety of other species). Albizia is also important for fuel in Kihamba, and Grevillea is found to be an important non-native used for fuel and timber in the system. In Ginger agroforestry, trees were mainly planted for food and fodder (with fruit trees having the largest share) and shade (Albizia and a range of other native species). Few trees were encountered in Miraba, and fuel and timber were the most sought-after ES, with large shares for Grevillea, Acacia, and pine. Fruit trees are relatively rare (loquat, apple, and mango). Grevillea and pine are used for shade although farmers in the West Usambara use the term ‘shade’ also to denote soil and water conservation.
Figure 6

Use of species for different ecosystem services across the different agroforestry systems. Numbers denote the number of trees encountered in the plots that farmers indicated as planted primarily for that ecosystem service, and charts denote the relative share of tree species. Species with a low share were grouped under ‘other species.’ Mixed spices is omitted as the overstory only consists of clove.
A PERMANOVA (Table 6) and NMDS ordination plot of Bray–Curtis community dissimilarities (Figure 7) confirmed that there is a significant difference between the identified tree species in the studied systems and the smallholder farmers reported most important ES (p < 0.001) across the study areas. This implies that the identified tree species have a most significant influence on the smallholder farmers who reported multiple ES (food/fodder, fuelwood, timber, and shade) at p of <0.05 across the studied agroforestry systems.
Table 6
| Df | Sums of sqs | Mean sqs | F.Model | R 2 | Pr(>F) | ||
|---|---|---|---|---|---|---|---|
| Tree spp. AGF | 3 | 1.6034 | 0.53446 | 3.0803 | 0.42913 | 0.001 | *** |
| Area ES | 2 | 1.0919 | 0.54594 | 3.1465 | 0.29224 | 0.003 | ** |
| Residuals | 6 | 1.0411 | 0.17351 | 0.27863 | |||
| Total | 11 | 3.7363 | 1 |
Permutational multivariate analysis of variance (PERMANOVA) of multi-layer agroforestry systems tree species on the smallholder farmers reported ecosystem services.
Significance codes: 0 ‘***’ 0.001; ‘**’ 0.01; ‘*’ 0.05; ‘.’ 0.1; ‘’ 1.
AFG, agroforestry system; ES, ecosystem service.
Figure 7

Represent non-metric multidimensional scaling (NMDS) ordination plot of Bray–Curtis community dissimilarities index showing homogeneity of the variances and relationship between tree species community distribution and the offered multiple provisioning ES in different mountainous AGF.
Moreover, our results generated by multipatt command from indicator species analysis (Supplementary Table S6) show statistically significant native tree species abundance (p < 0.04) for Maragaritaria discoidea and (p < 0.02) for Albizia schimperiana associated with Kihamba. These tree species have high relative abundance in the provision of food/fodder and shade. Locally native tree species Mguthuru (p < 0.03) and Newtonia buchananii (p < 0.05) were found statistically significant associated with Ginger agroforestry (Supplementary Table S7).
4 Discussion
4.1 Structure and species composition of the indigenous agroforestry systems in the studied areas
The agroforestry systems studied, i.e., Kihamba, Ginger agroforestry, and Miraba and Mixed spices agroforestry, are unique to Tanzania and East Africa (O'kting'ati and Mongi, 1986; Rugalema et al., 1994; Hemp and Hemp, 2008; Namwata et al., 2012; Kinyili et al., 2019). Although all studied systems are multi-layered with three or four vertical layers, our study shows that they have notable differences in their salient features mainly because of the unique climate, landscape setting, soils, historical background, habitat, and species adaptation that exists in this region (Table 1; Figures 3, 4; Namwata et al., 2012). Therefore, understanding the salient features of these systems including arrangements and patterns in space and the composition of their components will be of paramount importance in conserving these important agricultural heritage systems (cf. Charles, 2015; Reetsch et al., 2020a,b).
Kihamba homegardens have existed for over 800 years and most closely mimic a tropical montane forest, often containing mature tree species with a canopy layer height of more than 40 m and a large variety of native and non-native species (Figure 3; Tables 2, 4). This layout offers optimal growing conditions for coffee and banana on the volcanic soils of Kilimanjaro, while an important integration of cattle in the homegardens keeps soil fertility up to par for those demanding crops. Nevertheless, a crash in coffee prices has induced a shift in tree species toward other cash crops, notably avocado. The Ginger agroforestry in the South Pare mountains has a cultural link to the Kihamba on Kilimanjaro (Kitalyi et al., 2013; Ndaki, 2014), but as coffee and banana income declined even faster on the poorer, Precambrian soils, a boom of pests and coffee diseases motivated farmers to switch to growing ginger (70% of production in Tanzania) and sugarcane (Ndaki, 2014). As ginger is a root crop requiring a dappled shade, farmers kept the shade trees that are also common in Kihamba, but with a fewer dense canopy lowering light and root competition (Table 4; Figure 3). The introduction of ginger, hence, escalated the deforestation of the native tree species in the Pare mountains (Ndaki, 2014; Mmasa and Mhagama, 2017), while the lower nutrient requirements also contributed to a reduction in heads of cattle and fodder trees. This concurs with the increasing importance of non-native trees, mainly fruits, in the overstory layer (Figure 5; Table 3), consistent with earlier findings of Nath et al. (2016).
In Miraba, the culture of maize and vegetables requires ample sunlight, so farmers only plant scattered trees among the Miraba hedge lines (Figure 4). There was no culture of traditional homegardens as in Kilimanjaro and Pare, yet the use of Miraba (hedges) around fields was traditionally practiced mainly by women (Msita et al., 2010, 2012). The use of trees native to the area in farming was not part of the tradition. Historically, the Usambara mountains were covered by native forest tree species, such as Albizia gummifera, Prunus africana, Catha edulis, Ocotea usambarensis, Podocarpus usambarensis, Parinari excelsa, and Milicia excelsa (Msuya et al., 2008). However, much of the forest tree species were logged for timber before the logging ban of 1984 (MNRT, 2001; FAO, 2005). Increasing population densities expanded community activities, i.e., cultivation of maize, beans, and Irish potatoes on slopes and vegetables on valley bottoms. The intensification in land use led to severe soil erosion on the mountain slopes and flash floods in the valley bottoms (Haruyama and Toko, 2005; Msuya et al., 2008). Due to these challenges, Miraba was promoted as a soil conservation measure. Other interventions in the landscape, for example, the Gesellschaft für Technische Zusammenarbeit (GTZ) project on Soil Erosion Control and Agroforestry (SECAP) in collaboration with other institutions including the Tanzania Forestry Research Institute (TAFORI), introduced non-native tree species, such as Grevillea, pine, and eucalyptus for curbing soil erosion and to reduce logging (Johansson, 2001; Msuya et al., 2008). Hence, these species remain important in the landscape (Table 3; Figure 6).
East Usambara receives very high amounts of rain from the Indian Ocean. Combined with the Precambrian, easily leachable soils, it makes it difficult to get good yields of arable crops, banana, or coffee. As the region has cultural ties to Zanzibar, Madagascar, and India, a system of spice crops that thrive in high humidity and on well-draining soils has been practiced here for over 50 years (Figure 3; Hall et al., 2011). This type of agroforestry starts with the thinning of canopy trees to create 50% shade and the complete clearance of the lower strata of a once natural forest (Reyes et al., 2005; Hall et al., 2011). Those authors noticed an absence of young native tree species in two-thirds of the active agroforest sites, questioning the ability of the Mixed spices agroforestry to contribute to the conservation goals of the East Usambara Mountains (Reyes et al., 2010; Hall et al., 2011). During our field campaign in 2021, native trees were absent from the canopy. Mature clove trees are most productive in full sunlight, and their conical–cylindrical shape allows ample sunlight for the cinnamon trees below. Land scarcity may push to a further clearing of the original canopy to prevent competition for light and space with clove and cinnamon trees. Black pepper and cardamom require partial to full shade underneath the trees, and pepper uses the clove trees for support.
4.2 Provisioning ecosystem services required by farmers in the different systems
Consistent with the farming strategies described above, farmers have different ES requirements for trees in the different systems (Tables 3, 5), providing a more diversified image as compared to earlier studies stressing the importance of on-farm tree resources for the provision of food, fodder, shade, timber, and fuel (Munishi et al., 2008; Charles, 2015; Wagner et al., 2019).
Moreover, our analysis shows that tree species are used in different ways in the different agroforestry systems (Figures 6, 7).
The identification of dominant native tree species, such as Albizia schimperiana, Maragaritaria discoidea, Rauvolfia caffra, and Cordia africana, in the studied agroforestry systems holds significant implications for ecosystem services provisioning. These trees play a pivotal role in the sustainability and multifunctionality of the agroecosystems in northeastern Tanzania. Notably, they serve as crucial shade providers for coffee cultivation, contribute to fodder production, serve as a source of fuelwood, and in some instances, are employed for medicinal purposes. As such, native species are mainly valued in systems requiring shading of coffee, banana, or ginger, and in systems with an important cattle component, notably in Kihamba (Banzi and Kalisa, 2021). In Ginger agroforestry, Albizia schimperiana remains as a shade tree but fodder trees are being replaced by fruits (Figure 6).
The findings of this study align with prior research in the same study area, reinforcing the importance of Albizia schimperiana as a primary choice for shading coffee in both smallholder farms and large-scale commercial coffee plantations (Hundera, 2016). Findings in our study revealed that native species in the Kihamba remain important for communities in accessing ES, such as food, fodder, fuel, and timber, and in providing shade for the production of coffee, banana, firewood, roots, and tuber crops as well as vegetables (Figure 5; Table 5). In this system, farmers have accumulated wide indigenous knowledge and use a wide range of trees and shrubs (Figure 6; Akinnifesi et al., 2008; Hemp and Hemp, 2008; Reetsch et al., 2020a,b).
However, we demonstrated that the proportions of non-native tree species are becoming competitive with native tree species in the studied areas, and native species are not or no longer used in farming in the Usambara Mountains. For example, Grevillea robusta, Persea americana, and Eucalyptus camadulensis have been introduced for the timber market and have replaced part of the native trees used for fuel and timber in Kihamba and Ginger agroforestry (Table 3; Figures 5, 6). Fruit trees are replacing native food and fodder trees most notably not only in Ginger agroforestry but also in Kihamba. In systems with no shade requirements (Miraba) or where native tree species would compete with tree crops (Mixed spices agroforestry), native trees are now absent from fields and homegardens.
4.3 Prospects for conservation
The tree component of agroforestry systems is important not only for provisioning services but also for supporting, regulating, and cultural ES important for conservation and ecosystem resilience (Soini, 2005; Graham et al., 2022). Mature, native trees in Kihamba have been reported as important for biodiversity conservation and carbon sequestration (Fernandes et al., 1984; Gupta et al., 2009). The taller canopy provides a diverse range of habitats and niches, supporting a greater variety of flora and fauna, contributing to overall biodiversity in the agroforestry system (Hemp, 2006). The Kihamba native tree layer has, moreover, been shown efficient in controlling landslides, in reducing soil erosion, in improving soil fertility, and in protecting sources of water for local and downstream users (Kitalyi and Soini, 2004; Hemp and Hemp, 2008; Mbeyale, 2010; Santoro et al., 2020; Reetsch et al., 2020a,b; Banzi and Kalisa, 2021; Mbeyale and Mcharo, 2022). In the North Pare Mountains, agroforestry tree species help to improve the resilience of smallholder farmers against environmental extremes by modifying temperatures (Charles, 2015). The absence of native tree species has, moreover, changed the outlook of the landscapes in terms of their pristineness, cultural history, and land use/cover arrangements. Restoration efforts and re-introduction of native species have, thus, been proposed to improve the resilience of the studied systems and are advocated as an avenue to minimize conflicts and encroachment into the protected areas (Johansson, 2001; Kueffer et al., 2013; López et al., 2017).
Over the past 100 years, farming systems in the northeastern Mountains of Tanzania have undergone several transformations due to colonial and post-colonial policies, land scarcity, migration of younger generations to urban areas, crop pests and diseases, and collapse in coffee prices (Chuhila, 2016; von Hellermann, 2016). The results of our study corroborate the importance of livelihood strategies on the tree component of agroforestry systems (Figures 3–7), corroborating the statement that these challenges have led the smallholder farmers in the area to diversify their sources of income to accommodate external changes and market dynamics (Namwata et al., 2012). The majority of smallholder farmers have adopted the introduced non-native tree species, sometimes for conservation value but more so for their economic benefits (von Hellermann, 2016; Figures 5, 6). Hence, differences in the context of smallholder farming conditions and ES requirements, as evidenced in our study, should be taken into consideration for restoration efforts to be successful.
von Hellermann (2016) stressed the importance of an increased sale of coffee for agroforestry during the 1940s. Our study corroborates that shade ES required for coffee farming promotes the use native tree species (Figure 5) and supports the hypothesis that a collapse in coffee prices since has led to a gradual abandonment of the coffee crop and diversification of crop production in Kilimanjaro and Pare (Ndaki, 2014), leading to a deforestation of the native tree species (Ndaki, 2014; Mmasa and Mhagama, 2017; Table 4). If native trees are to be restored in this region, additional research and supporting measures are needed to help farmers build alternative value chains for products that can benefit from the ES from native species, such as the sale of milk or honey from (stingless) bees (Eersels, 2022; Tersago, 2022).
In the East Usambara mountains, protecting habitat for endemic species is one of the most important conservation objectives (Burgess et al., 2007; Hall et al., 2011). In Mixed spices agroforestry, the strata of a once natural forest (Reyes et al., 2005; Hall et al., 2011) have now completely disappeared (Table 4). Several authors, therefore, question the contribution of Mixed spices agroforestry to conservation goals (Reyes et al., 2010; Hall et al., 2011). Although such a tree-covered agricultural system may provide additional ecological services compared to sun-grown agriculture, a lower compositional and structural diversity will affect the ES not related to food production as compared to natural forests. Furthermore, a more profitable cardamom market could be beneficial to local farmers, which may encourage agroforestry establishment in currently deforested areas but could also lead to the expansion of cultivation into protected areas (Reyes et al., 2010). Some previous studies suggest that sustainable cultivation of spice is possible (Kumar and Nair, 2004; Reyes et al., 2006; Swallow et al., 2006) and that some farmers are already adopting ecologically sound intensification practices in homegardens (Reyes, 2008; Reyes et al., 2010). Therefore, any efforts to encourage integrated Mixed spices agroforestry with other native agroforestry tree species should be explored. Nevertheless, as all farms in our study do not have productive ES requirements for trees other than clove and cinnamon (Tables 3, 5), these efforts will not be straightforward to realize for farmers from a livelihood perspective without flanking measures. The protection of native vegetation in forest reserves, therefore, also remains an urgent priority.
The role of policy and knowledge bias in agroforestry tree composition has been highlighted by several authors. Worboys (1979) and Sheridan (2001) mentioned the role of policy and mass promotion by government regimes with a motive to produce timber for export and also restore previously cleared forests. Interventions to control erosion and reduce logging introduced non-native species, such as Grevillea, pine, and eucalyptus, as these are well studied in the international literature on soil and water conservation, as compared to species native to the Usambara (Johansson, 2001; Msuya et al., 2008). Policies to restore the native tree cover can, therefore, only be successful if underpinned by a better knowledge of local species and their potential to be aligned with the diverse ES needs of local communities (Figures 5–7). Kihamba agroforestry can serve as an inspiration as it shows a kind of resilience in terms of available native tree species that are the remnants of the forest tree species (Table 5; Figure 6) and has been shown very efficient in the provisioning of ES for conservation purposes (Hemp and Hemp, 2008; Reetsch et al., 2020a,b). The fact that Kihamba farmers still use native tree species for ES that are also required in systems without native species (Figures 6, 7) indicates potential for the exchange of indigenous knowledge between distant communities as well as for driving scientific research toward the potential of these trees.
5 Conclusion
Our study has highlighted the differences in salient features between the agroforestry systems of Mt. Kilimanjaro (Kihamba), the South Pare Mountains (Ginger agroforestry), and the West and East Usambara (Miraba and Mixed spices agroforestry, respectively). All systems are multi-layered with an important tree component, but they considerably differ in terms of structure, tree species composition (both native and non-native), and diversity. Our findings reported provisioning ES corroborates our hypothesis that the choice of overstory tree species is closely linked to farmers’ ES needs, livelihood strategies, and the salient features of each system. The Kihamba system has retained higher proportions of native trees and uses more native tree species for provisioning ES as compared to the other systems. The higher proportions of non-native tree species in Miraba and Mixed spices agroforestry are dictated by economical needs for timber, fuel, and sun-requiring cash crops. Policies to increase resilience and restore the native tree species cover, therefore, can only be successful based on the knowledge of native species, their traits, and ES potential. Furthermore, they should balance conservation and livelihood, acknowledge the complex mix of pressures on farmers’ livelihoods, and propose measures tailored to the areas’ salient features and specific challenges.
Statements
Data availability statement
The original contributions presented in the study are included in the article/Supplementary material, further inquiries can be directed to the corresponding author.
Author contributions
OK, KV, and K-HF: conceptualization and methodology. OK, DK, KV, and K-HF: investigation. OK, DK, KV, ED, and K-HF: validation, data curation, reviewing, and editing. OK: formal analysis and writing—original draft preparation. All authors have read and agreed to the published version of the manuscript.
Acknowledgments
The authors appreciate financial support by the Deutscher Akademischer Austauschdienst (DAAD; 57507871), Germany through a PhD scholarship to the first author and the South Initiative (SI)-VLIR-UOS (Livelablink; TZ2020SIN312A101) project funded by the Flemish Interuniversity Council (VLIR), Belgium. Furthermore, we received support from the Mwenge Catholic University (MWECAU). The authors appreciate mentioning and thank all our interview individual smallholder farmers of northeastern mountain landscape in Tanzania practicing the dominant agroforestry ecosystems for dedicating their time, resources, collaboration, and information. It is of the same weight worth it to mention staff and management of TAFORI, Lushoto Centre, northeastern Tanzania regions Rural District Council, and the whole team of extension staff for their devotion and dedicated support.
Conflict of interest
The authors declare that the research was conducted in the absence of any commercial or financial relationships that could be construed as a potential conflict of interest.
Publisher’s note
All claims expressed in this article are solely those of the authors and do not necessarily represent those of their affiliated organizations, or those of the publisher, the editors and the reviewers. Any product that may be evaluated in this article, or claim that may be made by its manufacturer, is not guaranteed or endorsed by the publisher.
Supplementary material
The Supplementary material for this article can be found online at: https://www.frontiersin.org/articles/10.3389/ffgc.2023.1082864/full#supplementary-material
SUPPLEMENTARY FIGURE S1Schematic example showing tree species distribution and evenness in AGF farm plots (Similarities and dissimilarities) (Allison, 2019).
References
1
Abebe T. Sterck F. J. Wiersum K. F. Bongers F. (2013). Diversity, composition and density of trees and shrubs in agroforestry homegardens in Southern Ethiopia. Agrofor. Syst.87, 1283–1293. doi: 10.1007/s10457-013-9637-6
2
Admas A. Yihune M. (2016). Species composition, relative abundance and habitat association of rodents in Yekoche Forest, East Gojjam, Ethiopia. Int. J. Biodivers. Conserv.8, 216–223. doi: 10.5897/IJBC2016.0956
3
Akinnifesi F. K. Sileshi G. Ajayi O. C. Chirwa P. W. Kwesiga F. R. Harawa R. (2008). Contributions of agroforestry research and development to livelihood of smallholder farmers in Ssouthern Africa: 2. Fruit, medicinal, fuelwood and fodder tree systems. Agric. J.3, 76–88.
4
Allison E. (2019). Two ways to measure biodiversity: Species richness and species diversity. A slide PPT. Available at: https://slideplayer.com/slide/13753728/ (Accessed August 2021).
5
Ampoorter E. Baeten L. Vanhellemont M. Bruelheide H. Scherer-Lorenzen M. Baasch A. et al . (2015). Disentangling tree species identity and richness effects on the herb layer: first results from a German tree diversity experiment. J. Veg. Sci.26, 742–755. doi: 10.1111/jvs.12281
6
Atangana A. Khasa D. Chang S. Degrande A. (2014). Tropical agroforestry. New York: Springer Dordrecht Heidelberg London.
7
Banzi F. Kalisa D. (2021). Ecosystem conservation and restoration under the Shimbwe juu kihamba agro-forestry heritage site, Kilimanjaro region, Tanzania. Presented at the FAO online workshop on globally important agriculture heritage systems (GIAHS) and ecosystem restoration, 26 January 2021.
8
Bray R. J. Curtis T. J. (1957). An ordination of the upland forest communities of southern Wisconsin. Ecol. Monogr.27, 325–349. doi: 10.2307/1942268
9
Brus R. Pötzelsberger E. Lapinc K. Brundud G. Orazioe C. Straigytef L. et al . (2019). Extent, distribution and origin of non-native forest tree species in Europe. Scand. J. For. Res.34, 533–544. doi: 10.1080/02827581.2019.1676464
10
Burgess N. D. Butynski T. M. Cordeiro N. J. Doggart N. Fjeldså J. Howell K. et al . (2007). The biological importance of the eastern Arc Mountains of Tanzania and Kenya. Biol. Conserv.134, 209–231. doi: 10.1016/j.biocon.2006.08.015
11
Buttigieg P. L. Ramette A. (2014). A guide to statistical analysis in microbial ecology: a community-focused, living review of multivariate data analyses. FEMS Microbiol. Ecol.90, 543–550. doi: 10.1111/1574-6941.12437
12
Castro-Díez P. Alonso Á. Saldaña-López A. Granda E. (2021). Effects of widespread non-native trees on regulating ecosystem services. Sci. Total Environ.778:146141, ISSN 0048-9697. doi: 10.1016/j.scitotenv.2021.146141
13
Castro-Díez P. Fierro-Brunnenmeister N. González-Muñoz N. Gallardo A. (2012). Effects of exotic and native tree leaf litter on soil properties of two contrasting sites in the Iberian Peninsula. Plant Soil350, 179–191. doi: 10.1007/s11104-011-0893-9
14
Castro-Díez P. Vaz A. S. Silva J. S. van Loo M. Alonso Á. Aponte C. et al . (2019). Global effects of non-native tree species on multiple ecosystem services. Biol. Rev.94, 1477–1501. doi: 10.1111/brv.12511
15
Charles R. L. (2015). Agroforestry as a resilient strategy to climate change in Mwanga District, Kilimanjaro region, Tanzania. MSc Thesis in Management of Natural Resources for Sustainable Agriculture. Morogoro, Tanzania: Sokoine University of Agriculture.
16
Chuhila M. J . (2016). Coming down the mountain A history of land use change in Kilimanjaro, ca. 1920 to 2000s. PhD thesis. University of Warwick, Department of History, United Kingdom. 359 pp
17
Clarito Q. Y. Suarte N. O. Bontia E. C. Clarito I. M. (2020). Determining seagrasses community structure using the Braun –Blanquet technique in the intertidal zones of Islas de Gigantes, Philippines. Sustinere. Journal of Environment and Sustainability4, 1–15. doi: 10.22515/sustinere.jes.v4i1.96
18
Dexter E. Rollwagen-Bollens G. Bollens M. S. (2018). The trouble with stress: a flexible method for the evaluation of nonmetric multidimensional scaling. Limnol. Oceanogr. Methods16, 434–443. doi: 10.1002/lom3.10257
19
Dhanya B. Sathish B. N. Viswanath S. Purushothaman S. (2014). Ecosystem services of native trees: experiences from two traditional agroforestry systems in Karnataka, southern India. Int. J. Biodivers. Sci. Ecosys. Serv. Manag.10, 101–111. doi: 10.1080/21513732.2014.918057
20
Eersels N (2022). Livestock Management in Mountainous Agroforestry Systems in Northern Tanzania. MSc thesis. Belgium: KU Leuven, 94 p.
21
Endale Y. Abayneh D. Mekuria A. Catherine M. (2017). Farmland tree species diversity and spatial distribution pattern in semi-arid east Shewa, Ethiopia. For. Trees Livelihoods26, 199–214. doi: 10.1080/14728028.2016.1266971
22
FAO (2005). State of the world’s forests: Tanzania deforestation rates and related forestry figures. Available at: http://rainforests.mongabay.com/deforestation/2000/tanzania.htm (Accessed October 20, 2022).
23
FAO (2013). Advancing agroforestry on the policy agenda: a guide for decision-makers. Available at: http://www.fao.org/docrep/017/i3182e/i3182e00.pdf
24
FAO (2015). Agroforestry. Available at: https://www.fao.org/forestry/agroforestry/80338/en/ (Accessed March 16, 2023).
25
FAO (2016). Harmonized World Soil Database v 1.2. Available at: https://www.fao.org/soils-portal/data-hub/soil-maps-and-databases/harmonized-world-soil-database-v12/en/ (Accessed March 15, 2023)
26
FAO (2022). Twenty years of globally important agricultural heritage systems – success stories of dynamic conservation for sustainable rural development. Rome: FAO.
27
FAO and UNCCD (2019). Vulnerability to food insecurity in mountain regions: land degradation and other stressors. FAO and UNCCD. Bonn, Germany
28
Fernandes E. C. M. Okting’ati A. Maghembe J. (1984). The Chagga homegardens: a multistoried agroforestry cropping system on Mt. Kilimanjaro (Northern Tanzania). Agrofor. Syst.2, 73–86. doi: 10.1007/BF00131267
29
Fisher B. Turner R. K. (2008). Letter to the editor, ecosystem services: classification for valuation. Biol. Conserv.141, 1167–1169. doi: 10.1016/j.biocon.2008.02.019
30
FORCONSULT (2006). Strategies for sustainable forest uses in eastern Arc Mountains, Tanzania. Draft report submitted to the conservation and management of the Eastern Arc Mountains Forests Project, Forest and beekeeping division, Ministry of Natural Resources and Tourism, Tanzania (GEF-UNDP: URT00015426).
31
Franzel S. Carsan S. Lukuyu B. Sinja J. Wambugu C. (2014). Fodder trees for improving livestock productivity and smallholder livelihoods in Africa. Curr. Opin. Environ. Sustain.6, 98–103. doi: 10.1016/j.cosust.2013.11.008
32
Gemechu H. W. Lemessa D. Jiru D. B. (2021). Comparative analysis of indigenous and exotic tree species management practices in agricultural landscapes of Southwest Ethiopia. Tree Forest People4:100059. doi: 10.1016/j.tfp.2020.100059
33
Global Modeling and Assimilation Office (GMAO) (2015). MERRA-2 tavgM_3d_tdt_Np: 3d, Monthly mean, Time-Averaged, Pressure-Level, Assimilation, Temperature Tendencies V5.12.4, Greenbelt, MD, USA, GoddardEarth Sciences Data and Information Services Center (GES DISC)(Accessed October 2021).
34
Glushkova M. Zhiyanski M. Nedkov S. Yaneva R. Stoeva L. (2020). Ecosystem services from mountain forest ecosystems: conceptual framework, approach and challenges. Silva Balcanica21, 47–68. doi: 10.3897/silvabalcanica.21.e54628
35
Goëau H. Bonnet P. Joly A. Bakić V. Barbe J. Yahiaoui I. et al . (2013). Pl@ntNet Mobile App. Proceedings of the 21st ACM international conference on Multimedia, Barcelona, Spain.
36
Graham S. Ihli H. J. Gassner A. (2022). Agroforestry, indigenous tree cover and biodiversity conservation: a case study of Mount Elgon in Uganda. Eur. J. Dev. Res.34, 1893–1911. doi: 10.1057/s41287-021-00446-5
37
Grêt-Regamey A. Brunner S. H. Kienast F. (2012). Mountain ecosystem services: who cares?Mountain Res. Dev.32, S23–S34. doi: 10.1659/MRD-JOURNAL-D-10-00115.S1
38
Gupta N. Kukal S. Bawa S. Dhaliwal G. (2009). Soil organic carbon and aggregation under poplar-based agroforestry system in relation to tree age and soil type. Agrofor. Syst.76, 27–35. doi: 10.1007/s10457-009-9219-9
39
Hall J. M. Gillespie T. W. Mwangoka M. (2011). Comparison of agroforests and protected forests in the East Usambara Mountains, Tanzania. Environ. Manag.48, 237–247. doi: 10.1007/s00267-010-9579-y
40
Hamilton A. C. Bensted-Smith R. (1989). Forest conservation in the East Usambara Mountains, Tanzania. IUCN, The World Conservation Union: Gland, Switzerland.
41
Haruyama S. Toko A. (2005). Local forest management in Tanzania – A case study from Lushoto District, Usambara mountains. Sociedade Natureza1, 586–603. doi: 10.14393/SN-v1-2005-9773
42
Heckmann C. M. (2011). Soil erosion history and past human land use in the North Pare Mountains. A geoarchaeological study of slope deposits in North East Tanzania. PhD dissertation. United Kingdom: University of York, Archaeology. p. 284.
43
Hemp A. (2006). The banana forests of Kilimanjaro: biodiversity and conservation of the Chagga Homegardens. Biodivers. Conserv.15, 1193–1217. doi: 10.1007/s10531-004-8230-8
44
Hemp C. Hemp A. (2008). The Chagga Homegardens on Kilimanjaro: Diversity and refuge function for indigenous fauna and flora in anthropogenically influenced habitats in tropical regions under global change on Kilimanjaro, Tanzania. International Human Dimensions Programme on Global Environmental Change 2, 12–17.
45
Hirschi C. Briner S. Widmer A. Huber R. (2013). Combining policy network and model-based scenario analyzes: an assessment of future ecosystem goods and Services in Swiss Mountain Regions. Ecol. Soc.18:42. doi: 10.5751/ES-05480-180242
46
Hundera K. (2016). Shade tree selection and management practices by farmers in traditional coffee production systems in Jimma Zone, Southwest Ethiopia. Ethiop. J. Educ. Sci.11, 91–105.
47
Ichinose Y. Higuchi H. Kubo R. Nishigaki T. Kilasara M. Shinjo H. et al . (2020). Adaptation of farmland management strategies to maintain livelihood by the Chagga people in the Kilimanjaro highlands. Agricultural Systems181:102829. doi: 10.1016/j.agsy.2020.102829
48
International Coffee Organization (2018). Prices paid to growers in exporting countries. Available at: http://www.ico.org/historical/1990%20onwards/PDF/3a-prices-growers.pdf (Accessed March 10, 2023).
49
IPBES (2019). “Plausible futures of nature, its contributions to people and their good quality of life” in The global assessment report on biodiversity and ecosystem services. eds. BrondizioE. S.SetteleJ.DíazS.NgoH. T. (Bonn, Germany: IPBES Secretariat), 1148.
50
ISRIC (2023). SoilGrids — global gridded soil information. Available at: https://www.isric.org/explore/soilgrids (Accessed March 10, 2023)
51
Johansson L. (2001). Ten million trees later. Land Use Change in the West Usambara Mountains. The Soil Erosion Control and Agroforestry Project in Lushoto District, Tanzania. 1981 – 2000. GTZ: Eschborn, Germany. p. 163.
52
Kanmegne-Tamga D. Latifi H. Ullmann T. Baumhauer R. Bayala J. Thiel M. (2023). Estimation of aboveground biomass in agroforestry systems over three climatic regions in West Africa using Sentinel-1, Sentinel-2, ALSO, and GEDI data. Sensors23:349. doi: 10.3390/s23010349
53
Kassa G. (2022). Agroforestry as a pathway to climate-smart agribusiness: challenges and opportunities to smallholder farmers in developing countries. Preprint research square [Preprint]. doi: 10.21203/rs.3.rs-1102134/v1
54
Kenkel N. C. Orloci L. (1986). Applying metric and nonmetric multidimensional scaling to ecological studies: some new results. Ecology67, 919–928. doi: 10.2307/1939814
55
Kimaro O. D. Chidodo S. (2021). Remote sensing based analysis of land use/cover change impact in the Interface between magamba nature reserve and surrounding villages in Lushoto District, Tanzania. Am. J. Environ. Prot.10, 1–11. doi: 10.11648/j.ajep.20211001.11
56
Kimaro D. Kimaro O. Hubert E. Gulinck A. (2018). “Ambitions of conservation and development. Interfaces in the West-Usambara Mountains of North-East Tanzania” in Challenging the boxes: interfaces in landscape and Landuse. eds. DewaelheynsV.LeinfelderH.GulinckH. (Netherlands: Gompel & Svacina bvba, s’Hertogenbosch)
57
Kinyili B. M. Ndunda E. Kitur E. (2019). Trade-off between agroforestry and ecosystem services among smallholder farmers in Machakos County, Kenya. East Afr. J. For. Agrofor.4, 13–23.
58
Kirsten M. Kimaro D. N. Feger K. H. Kalbitz K. (2019). Impact of land use on soil organic carbon stocks in the humid tropics of NE Tanzania. J. Plant Nutr. Soil Sci.182, 625–636. doi: 10.1002/jpln.201800595
59
Kitalyi A. Otsyina R. Wambugu C. Kimaro D . (2013). FAO characterisation of global heritage agroforestry systems in Tanzania and Kenya; globally important agricultural heritage systems (GIAHS). Agro Forestry and Development Alternatives, Tanzania. FAO report, 82pp.
60
Kitalyi A. Soini E. (2004). Chagga homegardens, a threatened ecosystem: potential development options to reverse the trend. International Centre for Research in Agroforestry: The Prunus Tribune
61
Kueffer C. McDougall K. Alexander J. Daehler C. Edwards P. Haider S. et al . (2013). “Plant invasions into mountain protected areas: assessment, prevention and control at multiple spatial scales” in Plant invasions in protected areas. eds. FoxcroftL.PyšekP.RichardsonD.GenovesiP. (Dordrecht: Springer), 89–113.
62
Kumar B. M. Nair P. K. R. (2004). The enigma of tropical homegardens. Agrofor. Syst.61, 135–152. doi: 10.1007/978-94-017-2424-1_10
63
Kuyah S. Öborn I. Jonsson M. (2017). “Regulating ecosystem services delivered in agroforestry systems” in Agroforestry: anecdotal to modern science. eds. DagarJ. C.TewariV. P. (Singapore: Springer Singapore), 797–815.
64
Kuyah S. Öborn I. Jonsson M. Dahlin A. S. Barrios E. Muthuri C. et al . (2016). Trees in agricultural landscapes enhance provision of ecosystem services in sub-Saharan Africa. Int. J. Biodivers. Sci. Ecosyst. Serv. Manag.12, 1–19. doi: 10.1080/21513732.2016.1214178
65
Lefcheck J. S. (2012). Non-metric multidimensional scaling in R function software. Available at: https://jonlefcheck.net/2012/10/24/nmds-tutorial-in-r/comment-page-1/ (Accessed May 22, 2022)
66
Lelamo L. L. (2021). A review on the indigenous multipurpose agroforestry tree species in Ethiopia: management, their productive and service roles and constraints. Heliyon7:e07874. doi: 10.1016/j.heliyon.2021.e07874
67
Leonard C. Mwangoka M. Mkongewa V. Doggart N. Vihemäki H. (2010). Assessment of the biological values of different land cover types in the East Usambara Mountains of Tanzania. TFCG Technical Paper No. 23. Dar es Salaam, Tanzania, 91.
68
López D. R. Cavallero L. Easdale M. H. Carranza C. H. Ledesma M. Peri P. L. (2017). “Resilience management at the landscape level: an approach to tackling social-ecological vulnerability of agroforestry systems” in Integrating landscapes: agroforestry for biodiversity conservation and food sovereignty. ed. MontagniniF. (Cham: Springer), 127–148.
69
Lovett J. C. (1998). Importance of the Eastern Arc Mountains for vascular plants. J. East Afr. Nat. Hist.87, 59–74. doi: 10.2982/0012-8317(1998)87[59:IOTEAM]2.0.CO;2
70
Lovett J. C. Wasser S. K. (1993). Biogeography and ecology of the rain forests of Eastern Africa. Cambridge University Press, Cambridge.
71
Lundgren L. (1980). Comparison of surface runoff and soil loss from runoff plots in forest and small-scale agriculture in the Usambara Mts., Tanzania. Geografiska Ann. Ser A Phys. Geogr.62, 113–148.
72
Lyimo J. G. Kangalawe R. Y. M. Liwenga E. T. (2009). Status, impact and management of invasive alien species in Tanzania. Tanzania Journal of Forestry and Nature Conservation79. eISSN: 2408–8137.
73
Mattee A. Z. Mussa K. R. Mwaseba D. L. Mahonge C. P. Nsenga J. V. (2015). “Factors in smallholder farmers’ vulnerability to climate change impacts in the Uluguru Mountains, Morogoro, Tanzania” in Sustainable intensification to advance food security and enhance climate resilience in Africa. eds. LalR.SinghB.MwasebaD.KraybillD.HansenD.EikL. (Cham: Springer), 185–195.
74
Maundu P. Tengnäs B . (Eds). (2005). Useful trees and shrubs for Kenya. Technical handbook No. 35. Nairobi: Kenya World Agroforestry Centre-Eastern and Central African Region Programme (ICRAF-ECA). p. 484.
75
Mbeyale G. E. (2010). “From integrated slope management to fragmented use: common-pool resources, institutional change, and conflicts in Pangani, River Basin, of same district, Tanzania” in Disputing the floodplains: institutional change and the politics of resource Management in African Wetlands. ed. HallerT., African Social Studies Series, vol. 22 (Leiden, The Netherlands: Koninklijke Brill NV), 195–242.
76
Mbeyale G. E. Mcharo N. (2022). Institutional and land use dynamics of Chagga homegardens in Kilimanjaro Region, Tanzania. Tanzania J. For. Nat. Conserv.91, 101–119.
77
Mbuya L. P. Msanga H. P. Ruffo C. K. Birinie A. Bo Tengnas . (1994). Useful trees and shrubs of Tanzania, identification, propagation and management for agricultural and pastoral community. Regional Soil Conservation Unit, Swedish International Development Authority: Arusha, p. 539
78
McCune B. Grace J. B. (2002). Analysis of ecological communities. MJM Software Design, Gleneden Beach, OR.
79
Michon G. Bompard J. Hecketsweiler P. Ducatillion C. (1983). Tropical forest architectural analysis as applied to agroforests in the humid tropics: the example of traditional village-agroforests in West Java. Agrofor. Syst.1, 117–129. doi: 10.1007/BF00596353
80
Michon G. Mary F. Bompard J. (1986). Multistoried agroforestry garden system in West Sumatra, Indonesia. Agrofor. Syst.4, 315–338. doi: 10.1007/bf00048106
81
Mkonda M. Y. He X. (2017). The potentials of agroforestry systems in East Africa: a case of the Eastern Arc Mountains of Tanzania. Int. J. Plant Soil Sci.14, 1–11. doi: 10.9734/IJPSS/2017/31299
82
Mmasa J. J. Mhagama J. K. (2017). Social-economic factors influencing ginger (Zingiber officinale) productivity among smallholders’ growers in Tanzania – case of same district. J. Econ. Sustain. Dev.8, 12–29.
83
Mmbando G . (2015). Hydrological sensitivity of the Mkomazi River basin (Tanzania) to climate change. PhD Dissertation. Germany: Faculty of Mathematics and Natural Sciences, Carl von Ossietzky University of Oldenburg.
84
MNRT (2001). National Forest Programme in Tanzania 2001–2010. Ministry of Natural Resources and Tourism, Dar es Salaam: Tanzania.
85
Molla A. Kewessa G. (2015). Woody species diversity in traditional agroforestry practices of Dellomenna District, South-Eastern Ethiopia: implication for maintaining native woody species. Int. J. Biodivers.2015, 1–13. doi: 10.1155/2015/643031
86
Msita H.B. (2013). Insights into indigenous soil and water conservation technologies in Western Usambara Mountains, Tanzania. PhD dissertation. KU Leuven: Belgium, p. 198.
87
Msita H. Kimaro D. Deckers J. Poesen J. (2010). Identification and assessment of indigenous soil erosion control measures in the Usambara Mountains, Tanzania. In: NardaliE. T. (Ed): No-till farming: Effects on soil, pros and cons and potential. Agriculture issues and policies series. Nova Science Publishers Inc, New York, pp. 49–74
88
Msita H. Kimaro D. Mtakwa P. Msanya B. Mwango S. Dondyene S. et al . (2012). Effectiveness of miraba an indigenous soil and water conservation measures on reducing runoff and soil loss in arable land of western Usambara Mountains. EGU Gen. Assembly22-27:2012.
89
Msuya T. S. Mndolwa M. A. Kapinga C. (2008). Domestication: an indigenous method in conserving plant diversity on farmlands in West Usambara Mountains, Tanzania. Afr. J. Ecol.46, 74–78. doi: 10.1111/j.1365-2028.2008.00932.x
90
Munishi P. K. T. Philipina F. Temu R. P. C. Pima N. E. (2008). Tree species composition and local use in agricultural landscapes of West Usambaras Tanzania. Afr. J. Ecol.46, 66–73. doi: 10.1111/j.1365-2028.2008.00931.x
91
NAFORMA (2010). Species List Sorted by Vernacular Names (Common Names). F.a.B. Division, Editor, Ministry of Natural Resources and Tourism Tanzania, Dar es Salaam, 80.
92
Namwata B. M. L. Masanyiwa Z. S. Mzirai O. B. (2012). Productivity of the agroforestry systems and its contribution to household income among farmers in Lushoto District, Tanzania. Int. J. Phys. Soc. Sci.2, 369–392.
93
Nath C. D. Schroth G. Burslem D. F. R. P. (2016). Why do farmers plant more exotic than native trees? A case study from the Western Ghats, India. Agric. Ecosyst. Environ.230, 315–328. doi: 10.1016/j.agee.2016.05.013
94
Ndaki P. M. (2014). Climate change adaptation for smallholder farmers in rural communities: the case of Mkomazi sub-catchment, Tanzania. PhD dissertation. Germany: Faculty of Data Processing, Economics and Law, Carl von Ossietzky University Oldenburg.
95
Negash M. Yirdaw E. Luukkanen O. (2012). Potential of indigenous multistrata agroforests for maintaining native floristic diversity in the South-Eastern Rift valley escarpment, Ethiopia. Agrofor. Syst.85, 9–28. doi: 10.1007/s10457-011-9408-1
96
Nordmann E. McAleer P. Toivo W. Paterson H. DeBruine L. M. (2022). Data visualization using R for researchers who do not use R. Adv. Methods Pract. Psychol. Sci.5, 251524592210746–251524592210736. doi: 10.1177/25152459221074654
97
Oginosako Z. Simitu P. Orwa C. Mathenge S. (2006). Are they competing or compensating on farm? Status of indigenous and exotic tree species in a wide range of agro-ecological zones of Eastern and Central Kenya, surrounding Mt. Kenya. ICRAF Working Paper No. 16. Nairobi: World Agroforestry Centre.
98
Oksanen J. Blanchet F. G. Friendly M. Kindt R. Wagner H. H. (2020). Vegan: community ecology package. – R package ver. 2.5–7. Available at: https://cranrproject.org/web/packages/vegan/
99
O'kting'ati A. Mongi H. O. (1986). Agroforestry and the small farmer: a case study of Kilema and Kirua Vunjo in Kilimajaro. Int. Tree Crops J.3, 257–265. doi: 10.1080/01435698.1986.9752797
100
Padilla F. Vidal B. Sánchez J. Pugnaire F. I. (2010). Land-use changes and carbon sequestration through the twentieth century in a Mediterranean mountain ecosystem: implications for land management. J. Environ. Manag.91, 2688–2695. doi: 10.1016/j.jenvman.2010.07.031
101
Pantera Α. Mosquera-Losada M. R. Herzog F. den Herder M. (2021). Agroforestry and the environment. Agrofor. Syst.95, 767–774. doi: 10.1007/s10457-021-00640-8
102
Patel S. K. Sharma A. Singh R. Tiwari A. K. Singh G. S. (2022). Diversity and distribution of traditional home gardens along different disturbances in a dry tropical region, India. Front. For. Glob. Change5:822320. doi: 10.3389/ffgc.2022.822320
103
Pătru-Stupariu I. Hossu C. A. Grădinaru S. R. Nita A. Stupariu M. S. Huzui-Stoiculescu A. et al . (2020). A review of changes in mountain land use and ecosystem services: from theory to practice. Land9:336336. doi: 10.3390/land9090336
104
Pot S. De Tender C. Ommeslag S. Delcour I. Ceusters J. Vandecasteele B. et al . (2022). Elucidating the microbiome of the sustainable peat replacers composts and nature management residues. Front. Microbiol.13:983855. doi: 10.3389/fmicb.2022.983855
105
Potschin M. Haynes-Young R. Fish R. Turner R. K. (Eds.) (2018). Routledge handbook of ecosystem services. Routledge, Taylor and Francis Group, London.
106
Pungar D. Bunce R. G. H. Raet J. Kaart T. Sepp K. (2021). A survey of habitats on agricultural land in Estonia II. Detailed interpretation of the habitats’ landscape ecology and how this relates to alien plant species. Glob. Ecol. Conserv.27:e01568. doi: 10.1016/j.gecco.2021.e01568
107
R Core Team (2021). R: a language and environment for statistical computing. R Foundation for Statistical Computing. Available at: https://www.R-project.org/
108
Ramette A. (2007). Multivariate analyses in microbial ecology. FEMS Microbiol. Ecol.62, 142–160. doi: 10.1111/j.1574-6941.2007.00375.x
109
Reetsch A. Kimaro D. Feger K. H. Schwärzel K. (2020a). “Traditional and adapted composting practices applied in smallholder Banana-coffee-based farming systems: case studies from Kagera, Kilimanjaro and Morogoro regions, Tanzania” in Organic waste composting through nexus thinking: practices, policies and trends. eds. HettiarachchiH.CaucciS.SchwärzelK. (Cham: Springer International Publishing), 165–184.
110
Reetsch A. Schwärzel K. Dornack C. Stephene S. Feger K. H. (2020b). Optimising nutrient cycles to improve food security in smallholder farming families—A case study from Banana-coffee-based farming in the Kagera region, NW Tanzania. Sustainability12:9105. doi: 10.3390/su12219105
111
Reetsch A. Schwärzel K. Kapp G. Dornack C. Masisi J. Alichard L. et al . (2021). Data set of smallholder farm households in Banana-coffee-based farming systems containing data on farm households, agricultural production and use of organic farm waste. Data Brief35:106833. doi: 10.1016/j.dib.2021.106833
112
Reyes T. (2008). Agroforestry systems for sustainable livelihoods and improved land management in the east Usambara Mountains, Tanzania. PhD dissertation. Finland: Faculty of Agriculture and Forestry, University of Helsinki.
113
Reyes T. Luukkanen O. Quiroz R. (2006). Small cardamom – precious for people, harmful for mountain forests: possibilities for sustainable cultivation in the East Usambaras, Tanzania. Mt. Res. Dev.26, 131–137. doi: 10.1659/0276-4741(2006)26[131:SCFPHF]2.0.CO;2
114
Reyes T. Luukkanen O. Quiroz R. (2010). Conservation and cardamom cultivation in nature reserve buffer zones in the east Usambara Mountains, Tanzania. J. Sustain. For.29, 696–715. doi: 10.1080/10549811003742266
115
Reyes T. Quiroz R. Msikula S. (2005). Socio-economic comparison between traditional and improved cultivation methods in the East Usambara Mountains, Tanzania. Environ. Manag.36, 682–690. doi: 10.1007/s00267-004-7269-3
116
Rugalema G. H. Okting'ati A. Johnsen F. H. (1994). The homegarden agroforestry system of Bukoba district, North-Western Tanzania. 1. Farming system analysis. Agroforest Syst26, 53–64. doi: 10.1007/BF00705152
117
Sabbath S. (2015). Adaptation, resilience, and transformability: a historical ecology of traditional furrow irrigation system on the slopes of Mount Kilimanjaro. MSc thesis. Sweden: Department of Archaeology and Ancient History, Uppsala University.
118
Santoro A. Venturi M. Bertani R. Agnoletti M. (2020). A review of the role of forests and agroforestry systems in the FAO globally important agricultural heritage systems (GIAHS) programme. Forests11:860. doi: 10.3390/f11080860
119
Sébastien L. (2010). The Chagga people and environmental changes on Mount Kilimanjaro: Lessons to learn. Climate and Development2, 364–377. doi: 10.3763/cdev.2010.0055
120
Shannon C. E. Weaver W. (1963). The Mathematical Theory of Communication. University of Illinois, Urban Press Illinois, 177.
121
Sharma P. Kaur A. Batish D. R. Kaur S. Chauhan B. S. (2022). Critical insights into the ecological and invasive attributes of Leucaena leucocephala, a tropical agroforestry species. Front. Agron.4:890992. doi: 10.3389/fagro.2022.890992
122
Sheridan M. J . (2001). Cooling the land: the political ecology of the North Pare Mountains, Tanzania. PhD thesis. Boston University, Boston.
123
Silva E. R. Lazarotto D. C. Schwambach J. Overbeck G. E. Soares G. L. G. (2017). Phytotoxic effects of extract and essential oil of Eucalyptus saligna (Myrtaceae) leaf litter on grassland species. Aust. J. Bot.65, 172–182. doi: 10.1071/BT16254
124
Soini E. (2005). Changing livelihoods on the slopes of Mt. Kilimanjaro, Tanzania: challenges and opportunities in the Chagga homegarden system. Agrofor. Syst.64, 157–167. doi: 10.1007/s10457-004-1023-y
125
Swallow B. Boffa J. -M. Scherr S. J. (2006). “The potential for agroforestry to contribute to the conservation and enhancement of landscape biodiversity” in World Agroforestry into the Future. eds. GarrityD.OkonoA.GraysonM.ParrottS. (Nairobi: World Agroforestry Centre), 95–102.
126
Tersago R. , (2022). Stingless Bees as an opportunity for sustainable development in Northern Tanzania. Foraging potential in agroforestry Homegardens. MSc thesis. Belgium: KU Leuven, p. 103.
127
Thijs K. W. Aertsa R. Musila W. Siljanderd M. Matthysen E. Lens L. et al . (2014). Potential tree species extinction, colonization and recruitment in Afromontane Forest relicts. Basic and Applied Ecology15, 288–296. doi: 10.1016/j.baae.2014.05.004
128
van der Plas F. Manning P. Allan E. Scherer-Lorenzen M. Verheyen K. Wirth C. et al . (2016). Jack-of-all-trades effects drive biodiversity–ecosystem multifunctionality relationships in European forests. Nat. Commun.7:11109. doi: 10.1038/ncomms11109
129
Vilà M. Espinar J. L. Hejda M. Hulme P. E. Jarošik V. Maron J. L. et al . (2011). Ecological impacts of invasive alien plants: a meta-analysis of their effects on species, communities and ecosystems. Ecol. Lett.14, 702–708. doi: 10.1111/j.1461-0248.2011.01628.x
130
von Hellermann P. (2016). Tree symbolism and conservation in the south Pare Mountains, Tanzania. Conserv. Soc.14, 368–379. doi: 10.4103/0972-4923.197615
131
URT (2013). Basic facts and figures on human settlements, 2012 Tanzania Mainland. National Bureau of Statistics Ministry of Finance Dar-es-Salaam.
132
Wagner S. Rigal C. Liebig T. Mremi R. Hemp A. Jones M. et al . (2019). Ecosystem services and importance of common tree species in coffee-agroforestry systems: local knowledge of small-scale farmers at Mt. Kilimanjaro, Tanzania. Forests10:963. doi: 10.3390/f10110963
133
Wickama J. Okoba B. Sterk G. (2014). Effectiveness of sustainable land management measures in West Usambara highlands, Tanzania. Catena118, 91–102. doi: 10.1016/j.catena.2014.01.013
134
Winowiecki L. Vagen T. G. Huising J. (2016). Effects of land cover on ecosystem services in Tanzania: a spatial assessment of soil organic carbon. Geoderma263, 274–283. doi: 10.1016/j.geoderma.2015.03.010
135
Worboys M . (1979). Science and British colonial imperialism, 1895–1940. PhD thesis. University of Sussex: Sussex.
136
Yakob G. Asfaw Z. Zewdie S. (2014). Wood production and management of woody species in homegardens agroforestry: the case of smallholder farmers in Gimbo District, South West Ethiopia. Int. J. Natur. Sci. Res.2, 165–175.
137
Zech M. Hörold C. Leiber-Sauheitl K. Kühnel A. Hemp A. Zech W. (2014). Buried black soils on the slopes of Mt. Kilimanjaro as a regional carbon storage hotspot. Catena112, 125–130. doi: 10.1016/j.catena.2013.05.015
Summary
Keywords
salient features, indigenous agroforestry systems, Kihamba, homegardens, vernacular names tree species, ecosystem services, mountain ecosystems, Tanzania
Citation
Kimaro OD, Desie E, Kimaro DN, Vancampenhout K and Feger K-H (2024) Salient features and ecosystem services of tree species in mountainous indigenous agroforestry systems of North-Eastern Tanzania. Front. For. Glob. Change 6:1082864. doi: 10.3389/ffgc.2023.1082864
Received
28 October 2022
Accepted
20 December 2023
Published
13 February 2024
Volume
6 - 2023
Edited by
Geertje M. F. Van Der Heijden, University of Nottingham, United Kingdom
Reviewed by
Gopal Shankar Singh, Banaras Hindu University, India
Marion Pfeifer, Newcastle University, United Kingdom
Eleanor Moore, Newcastle University, United Kingdom, in collaboration with reviewer MP
Updates
Copyright
© 2024 Kimaro, Desie, Kimaro, Vancampenhout and Feger.
This is an open-access article distributed under the terms of the Creative Commons Attribution License (CC BY). The use, distribution or reproduction in other forums is permitted, provided the original author(s) and the copyright owner(s) are credited and that the original publication in this journal is cited, in accordance with accepted academic practice. No use, distribution or reproduction is permitted which does not comply with these terms.
*Correspondence: Oforo Didas Kimaro, didas.oforo_kimaro@mailbox.tu-dresden.de
†These authors share last authorship
Disclaimer
All claims expressed in this article are solely those of the authors and do not necessarily represent those of their affiliated organizations, or those of the publisher, the editors and the reviewers. Any product that may be evaluated in this article or claim that may be made by its manufacturer is not guaranteed or endorsed by the publisher.