ORIGINAL RESEARCH article
Front. For. Glob. Change
Sec. Forest Hydrology
Comparative ecological responses to cloud seeding in three forested basins of South Korea
Provisionally accepted- 1Korea University, Seoul, Republic of Korea
- 2Dong-A University, Busan, Republic of Korea
- 3Jeju National University, Jeju-si, Republic of Korea
- 4National Institute of Meteorological Sciences, Seogwipo-si, Republic of Korea
Select one of your emails
You have multiple emails registered with Frontiers:
Notify me on publication
Please enter your email address:
If you already have an account, please login
You don't have a Frontiers account ? You can register here
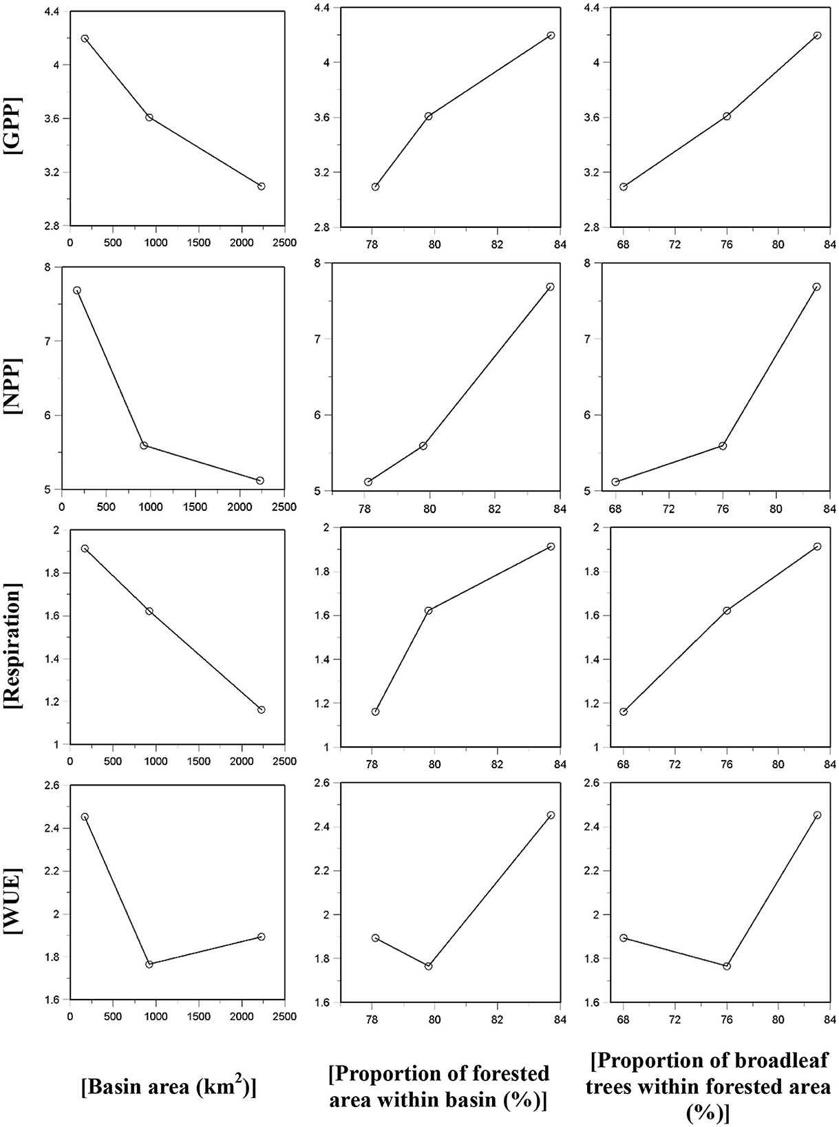
Cloud seeding has emerged as a promising strategy for artificially enhancing water availability in forest ecosystems, thereby supporting hydrological processes and promoting ecological function. While previous studies have reported improvements in hydrological indicators such as soil moisture and runoff following cloud seeding-induced precipitation, there remains a critical knowledge gap regarding the extent of these ecological effects including GPP and NPP across basins with differing forest characteristics—such as total area, forest coverage, and dominant tree species. This study addresses this gap by conducting a comparative assessment of the ecological benefits of cloud seeding across three basins in South Korea with varying forest properties. An ecohydrological model, RHESSys, is first calibrated for each basin to simulate both hydrological and ecological responses under different cloud seeding scenarios from 2020 to 2023. The results indicate that cloud seeding improves hydrological conditions— including runoff and soil moisture—proportional to the degree of precipitation enhancement, These hydrological improvements, in turn, lead to nonlinear yet consistent increases in GPP and NPP. Notably, the magnitude and persistence of these ecological benefits are more strongly influenced by forest characteristics than by basin size. Under cloud seeding scenarios simulating a 20% annual increase in precipitation, an expansion in forest cover from 78% to 84% results in a 3.1% to 4.2% increase in GPP. Moreover, basins dominated by broadleaf forests exhibit extended vegetation productivity responses, lasting approximately 20–30 days longer. These findings underscore the importance of incorporating basin-specific forest characteristics into the design and implementation of cloud seeding strategies aimed at ecological conservation and productivity enhancement.
Keywords: Cloud seeding, Ecohydrological model, Forest characteristics, Vegetation growth, Scenario-based analysis, Lagged correlation analysis
Received: 02 Jun 2025; Accepted: 27 Oct 2025.
Copyright: © 2025 Yoo, Na, Song and Chang. This is an open-access article distributed under the terms of the Creative Commons Attribution License (CC BY). The use, distribution or reproduction in other forums is permitted, provided the original author(s) or licensor are credited and that the original publication in this journal is cited, in accordance with accepted academic practice. No use, distribution or reproduction is permitted which does not comply with these terms.
* Correspondence: Wooyoung Na, uoo921227@gmail.com
Disclaimer: All claims expressed in this article are solely those of the authors and do not necessarily represent those of their affiliated organizations, or those of the publisher, the editors and the reviewers. Any product that may be evaluated in this article or claim that may be made by its manufacturer is not guaranteed or endorsed by the publisher.
