- 1Faculty of Environment and Natural Resources, University of Freiburg, Freiburg im Breisgau, Germany
- 2Centre for International Forestry Research and World Agroforestry (CIFOR-ICRAF), Lima, Peru
Many rural areas in the tropics are characterized by smallholder families. Technical assistance is considered crucial for improving local livelihoods and increasing production potential. However, rural development interventions suffer from a lack of financial and human resources and have undesirable social and environmental impacts. Targeted changes in critical contextual factors can be an effective and low-cost option to facilitate sustainable farmer responses. Empirical studies analyzing these dynamics are scarce. To better understand contextual changes and local responses leading to tangible landscape-level outcomes, we conducted an in-depth case study in the districts of Soritor and Jepelacio, in the northwestern part of the San Martin region of Peru, a typical forest frontier area where smallholder farmers have settled over the last 40 years. The study shows that villages followed a standard development trajectory characterized by quantitative and qualitative improvements in infrastructure and services, leading to market integration and better quality of life. These improvements correlate with the specialization and intensification of farmers' production systems, along with increased pressure on forests due to the influx of new settlers. Consolidation was observed three to four decades after settlement began. While the study sheds light on the relationships between contextual changes, farmer responses, and impacts over space and time, it also makes clear the difficulties to influence the observed development pathway. The results support the promotion of extension, financial, logistical, and legal instruments tailored to local realities, to facilitate local action for sustainable development and avoid the negative social and environmental consequences of economic growth.
1 Introduction
Small-scale farmers are the backbone of rural economies and guarantee food security and nutrition (ETC Group, 2017; Gomez y Paloma et al., 2020). In tropical countries, their management systems form diverse mosaic landscapes (Pokorny, 2013) with high social and environmental values (van der Ploeg, 2014). However, a huge proportion of farmer families live under precarious conditions and suffer from degrading landscapes and the effects of climate change (FAO et al., 2021; FAO, 2018). Poverty and inequality are the major threats to their wellbeing (FAO et al., 2020; FAO, 2021; Woodhill et al., 2022).
There is consensus on the importance of providing technical and financial assistance to improve and consolidate the livelihoods of rural families. Due to limited resources, decades of interventions through rural extension services have had limited success, especially among tropical smallholders (Fan et al., 2013). A narrow focus on technological support has resulted in unsustainable land use and disadvantaged the most marginalized in terms of gender, ethnicity, and class over wealthier and politically better-connected actors (IFAD, 2013; Woodhill et al., 2022). In the Amazon region, external interventions have aggravated power imbalances in favor of local elites, threatened local cultures and social life, and provoked a homogenization of socio-ecological systems while leading to environmental degradation (Pokorny, 2013; Pokorny and de Jong, 2015).
Given these drawbacks, there have been and continue to be many attempts to improve rural support services to make them more effective (Blum et al., 2020). Here, the proven ability of farmers to take advantage of opportunities and adapt to changing conditions (Scoones, 2015) is considered a way to more effectively and cost-efficiently achieve improvements. The creation of such opportunities is achieved by removing obstacles to the development of individual and collective potential for action (Medina et al., 2015; Scoones, 2015; Gomez y Paloma et al., 2020), thereby promoting favorable context conditions for facilitating this potential (Berdegué and Fuentealba, 2014).
While this idea is convincing in theory (Binder et al., 2013), there is a lack of an empirical foundation to such a contextual approach to support smallholder families in an effective and targeted manner. There is a lack of understanding of how exactly families react to facilitating improved infrastructure, services, governance, and markets, what dynamics they induce, and what positive and negative effects result from this (Oldekop et al., 2021; Undurraga and Pokorny, 2024).
With the aim of better understanding how small-scale farmers in the rural tropics can be supported to achieve sustainable development through investments into critical context conditions, we (1) traced the dynamic of contextual change since the settlement up to five decades ago in nine villages in the Peruvian Amazon, and (2) determined how small-scale farmers responded to these changes and to what kind of outcomes these responses have led to.
2 Conceptualizing contextual change, farmer responses, and their outcomes
Political, institutional, and biophysical contexts shape the dynamics in any rural territory over time and space (Oldekop et al., 2021). Contextual change can be understood as change that is induced by external factors that stimulate or hamper complex ecological and social responses and interactions in a rural local system, landscape, or territory. Such changes lead to individual responses among smallholders, but also among other economic actors. These responses can be of a technical, economic, or social nature. The sum of all individual responses then results in visible and measurable outcomes, which in turn influence changes in the context and lead to local responses (Figure 1).

Figure 1. Conceptual framework of contextual changes, local responses, and outcomes (Undurraga and Pokorny, 2024).
Taken as a whole, the dynamic interplay of contextual changes, individual responses, and collective outcomes results in a development path across time and space. In natural forest areas, this dynamic is characterized above all by the concept of forest frontier or deforestation frontier (Thaler et al., 2019). Once a region becomes accessible by roads, settlements emerge and forests are converted to agricultural land uses, while access to markets and services gradually improves. In this perspective, the accessibility of a given region and its proximity to urban markets and services have a strong influence (Yoshida and Deichmann, 2009). Families can consolidate economically, and intensification and aggregation processes occur. Young people, in particular, begin to migrate to urban centers in search of paid work. Over time, families' awareness and commitment to restoring degraded environmental resources increase.
2.1 Contextual change
Factors of contextual change can be grouped within five categories (Undurraga and Pokorny, 2024): (1) infrastructure, (2) services, (3) governance, (4) markets, and (5) biophysical elements; each made up of a range of contextual elements. The context categories and their impact on smallholders‘ social and ecological environments can be summarized as follows: Rural infrastructure, including roads, electricity, water & sanitation, and telecommunications, are essential elements for smallholders' economic activities and wellbeing (Fort, 2019). They play a critical role in the economic development of rural communities (Bourguignon and Pleskovic, 2007). The expansion of roads and connectivity improves access to markets and rural services, but also triggers a negative impact on the environment as agricultural land encroaches on forests (Parry et al., 2010b; Bebbington et al., 2018). Investments in water and sanitation can improve health outcomes and wellbeing conditions (Voth-Gaeddert et al., 2015).
Rural services, including the provision of credit and loans (Clapp, 2018), education (Parry et al., 2010a) and technical assistance (Hoffmann et al., 2009; Davis, 2019), are commonly understood as crucial for local development and poverty reduction. However, improved access to credit for land use that is incompatible with social and environmental realities can accelerate deforestation and land degradation, especially when large landholders and rural investors are beneficiaries (Pacheco and Poccard-Chapuis, 2012). But, credits combined with effective extension services can also promote sustainable practices among smallholders (Zenteno et al., 2013). Also, better education can lead, rather indirectly, to higher incomes and positive social and environmental impacts (Porro et al., 2015).
Governance relates to public policies and the institutional and regulatory frameworks (Grisa and Sabourin, 2019), encompassing processes and institutions that manage rural socio-ecological systems (Agrawal and Lemos, 2007). Rural policies may have ambivalent effects. For example, while cash transfer programs increase household incomes, they also impose high transaction costs on smallholder farmers and may contribute to higher levels of malnutrition by substituting processed for local foods (Parry et al., 2010a; Piperata et al., 2011). Policies to promote industrial agriculture and mining often cause deforestation, GHG emissions, and the replacement of local crops, while fostering land concentration and rural violence (Pacheco and Poccard-Chapuis, 2012; Bebbington et al., 2018). Policies aimed at strengthening farmer organizations have positive effects on productivity, equity, and soil fertility (Simmons et al., 2010; Altieri et al., 2012). The designation of protected areas and environmental regulations can protect natural resources, but they can also limit opportunities to generate income (Mejia et al., 2015). Land reforms and land regulation have equity effects and encourage investment in sustainable land uses (Coomes et al., 2016), but can also encourage the expansion of unsustainable land use and land fragmentation (Peres and Schneider, 2012; Albers and Robinson, 2013), fuel social conflicts (Simmons et al., 2010), and stimulate estate markets and associated in-migration (Coomes et al., 2016; Jusys, 2016).
Economic, social, and environmental dynamics in rural areas are also strongly influenced by the configuration of markets (Grisa and Sabourin, 2019). Higher commodity prices stimulate investments, increase incomes and productivity (Zenteno et al., 2013; Mejia et al., 2015) but also drive the expansion of unsustainable land use changes, including deforestation (Jusys, 2016). Improved logistics increase competitiveness and enable smallholders to participate in value chains (Garrett et al., 2017), but often lead to crop specialization and land aggregation with negative consequences for food security and biodiversity (Perz et al., 2013). Certifications facilitate access to niche markets with better prices but carry high transaction costs and increase dependence on external support (Pokorny et al., 2012; Duchelle et al., 2014).
The biophysical environment is of great importance because, despite the possibility of fertilizer application and genetic improvement of crops, it determines productive options. Fertile soils and the availability of water enable diversification, but in practice often foster intensification. In contrast, poor soils limit land use options and prevent economic consolidation of the farms (Godar et al., 2012; Kawa et al., 2015). Especially natural forests provide a wide range of products for local communities (Wunder et al., 2018) but also provide essential environmental services (e.g., water, pollination) for agricultural production (Barbieri and Pan, 2013). But, standing forests also attract settlers and investors in search of land, which implies high pressure on other resources as well (Pokorny et al., 2013). Biodiversity enhances resilience and supports health and nutrition (Ramirez-Gomez et al., 2015).
2.2 Individual responses and collective outcomes
The above-listed interrelated contextual elements shape rural realities. In this sense, they could be interpreted as non-human agents of change (Sayes, 2014; Contesse et al., 2021). They, in turn, induce responses from local smallholders and other relevant rural actors (Oldekop et al., 2021). Each producer family or community individually responds to ever-changing contexts based on their specific situation, capacities, and aspirations (Chambers and Conway, 1991; Scoones, 2015). The sum of these individual strategies and responses in turn leads to visible and measurable outcomes at various levels that can be grouped into eight categories: land use, livelihood strategy, demography, social organization, consumption, education, security, and deforestation.
The land use of a region reflects the individual decisions of the farmers as to which crops are grown, with which production system, and with what intensity. A key indicator of the overall land use situation in a region is the proportion of specialized to diversified farms, or the degree of intensification. Whether products are grown for local, national, or even international markets, and in what quantity and quality, also changes as a result of changing conditions such as prices for products but also for agricultural inputs, as well as the availability and orientation of rural extension and financing systems (Pretty, 1997; Garrett et al., 2018).
Family livelihoods, i.e., ensuring welfare conditions, including income, health, food and nutrition, and a life free from violence (OECD, 2020; Contzen and Häberli, 2021; Clapp et al., 2022), can be based on different strategies. Families can adapt their strategies to changing circumstances based on their capabilities and specific assets (Chambers and Conway, 1991). For example, they may decide to seek additional wage labor or even switch completely to paid employment (Sharma et al., 2020). At the extreme, families may decide to abandon their farms and move to the city, or, conversely, external populations may decide to migrate to a region spontaneously or as part of settlement programs.
Immigration and outmigration result in demographic changes (Al-Maruf et al., 2022; Kalantari et al., 2024). The education and training of children play a significant role in family life, as families see this as the basis for a better life. However, the possibility to send children to school varies greatly and depends not only on access and costs but also on a family's social and economic situation (FAO et al., 2021; Ahmed et al., 2024). Enrolment and literacy rates, as well as the level of schooling, therefore, change over time.
The social system of a region is also subject to change. Social relationships and the behavior of community members are based on norms and values that have cultural and historical origins, and are influenced by factors such as gender, ethnicity, and welfare status, but change over time (Borras, 2010). Changes in living situations alter social relations and, associated with this, networks and the structure of groups that bring local populations together (Montes et al., 2018).
Local consumption habits also change over time, depending, for example, on the livelihood strategy chosen, economic success, and access to and prices of goods and services. Accordingly, not only does the total consumption of goods such as food, building materials, machinery, and technology change, but also their configuration, origin, and quality. The overall security situation in rural areas, which is often precarious, is also subject to change. Families may suffer from social insecurity, for example, due to armed conflict and violence. However, they may also experience environmental insecurity due to increased vulnerability to environmental risks, such as those resulting from climate change (Augsten et al., 2022).
Finally, individual decisions regarding production systems also have impacts on the biophysical environment. Deforestation and forest degradation, or forest conservation, as well as altering soil fertility and water availability, in turn influence the capacity to engage in economic activity (Minang et al., 2015) and the ability to respond to impacts of climate change (Pan et al., 2024).
3 Methodology
3.1 The case study
To better understand the contextual change and the local responses that result in tangible outcomes at the landscape level, we conducted an in-depth case study in Soritor and Jepelacio districts in the northwestern part of the San Martin region in Peru. The two districts represent a typical forest frontier context of the Peruvian Amazon, where small-scale farmers have settled over the last 40 years. Since then, the San Martin region has experienced a sequence of immigration, economic growth, and social conflict. Important drivers have been the coca leaf cultivation (Erythroxylum coca) and drug trafficking, violence due to armed conflict and foreign-backed military interventions, and the implementation of alternative development and commodity production programs led by the Peruvian government and the United States Agency for International Development (USAID, 2016; Pokorny et al., 2021).
The district of Soritor has a population of 21,514 inhabitants, 41% of whom live in rural areas in 61 villages (centros Poblados) and the rest in the district capital with the same name (INEI, 2018). Located in mountain areas with an altitude over 1,100 MASL, forests occupy 61% of the district surface (35,242 ha). Between 2001 and 2017, 8,300 ha of forest land were converted for agriculture, and 35% of the district area is now dedicated to agricultural land uses (Vargas and Bravo, 2020). The Jepelacio district has a population of 15,377 inhabitants, distributed among 64 villages and the district capital, where 80% live in rural areas (INEI, 2018). Forests occupy 50.65% of the district's land area (21,780 ha). Between 2001 and 2017, 23.54% of the forest area was converted mainly to agricultural land (5,125.52 ha) (Cortez Requejo, 2021).
Nine villages located along the Ochque, Indoche (Soritor District), and Gera (Jepelacio District) watercourses were studied (Figure 2). In order to ensure representativeness of a broad spatial distribution across the study area, three villages with different levels of accessibility were selected in each watercourse. Based on the distance to the district capital and the quality of the road, the accessibility of the villages was classified as low, medium, and high (Table 1).
The nine selected villages represent typical smallholder settlements on the forest frontier areas and share similarities in terms of their history and landscape characteristics. Established between 1980 and 1999 by settlers from the Andean region of Peru (Cajamarca and Lambayeque), the country's rainforest region (Amazonas), and its coastal area (Piura), these communities developed over four decades. Primary forests remain predominant, particularly in high mountain areas above 1,500 MASL, and agricultural land is characterized by coffee cultivation and small-scale livestock farming, constituting the livelihood basis for most families. The tropical climate has average temperatures ranging between 28.8 and 19.2 degrees Celsius along the year and annual rainfall of 1,472 mm.
3.2 Analytical framework
To capture contextual changes in the study region, we defined 15 indicators, each describing an element belonging to one of the five contextual categories (Table 2).
Indicators for eight outcome categories were defined to record the changes brought about by the smallholders' responses to the contextual dynamics (Table 3).

Table 3. Indicators applied to measure the outcomes of smallholders' responses to contextual change in the study area.
3.3 Data collection
To gather data, we conducted in-depth and semi-structured interviews, applied participatory mapping and field observations, and explored secondary literature/data. Table A1 summarizes the methods and tools that were applied to collect data on the context and outcome indicators.
We collected primary data during field visits in two periods. Between January 2020 and March 2020, we first visited each of the nine villages in the two districts to gather qualitative and quantitative data for the indicators of contextual change and outcomes through field observations and explorative interviews with village representatives. Between October 2021 and April 2022, we revisited the villages to conduct 11 in-depth interviews with the first settlers and their families using a semi-structured questionnaire and field observations. In addition, we implemented 15 semi-structured interviews with farmers (6), municipality agents (6), and representatives of community organizations (2) and farmer organizations and cooperatives (1) for complementary information on livelihood strategies, agricultural and market activities, and the history and actions of local and regional organizations active in the region. We used snowball sampling to identify key informants from the previously mentioned groups. We also facilitated participatory mapping activities in each village using a pre-printed colored Google Earth satellite map (Corbett, 2009) to sketch spatial data and understand local perceptions of the territory regarding the main village elements such as the village center, roads, rivers, hills, location of forest resources, and boundaries.
3.4 Data preparation and analysis
To reconstruct the dynamics for each of the nine analyzed villages, we triangulated the gathered primary and secondary data to compile time series of contextual and outcome indicators spanning from the arrival of the first settlers until the end of 2021. We then standardized the values of the individual indicators by applying ordinal categories. For categorical indicators, a min-max normalization was performed by converting the minimum value of each category to 0 and the maximum value to 1. The intermediate values were then scaled proportionally between 0 and 1, according to their relative position within the range.
To make the dynamics of the villages comparable, we grouped the development of each village into 5-year phases. Depending on the year of first settlement, this resulted in 5 to 9 5-year phases. For each 5-year phase of a village, we then calculated the average of the normalized indicators for the five contextual categories assessed. In this way, the contextual changes of a village became comparable over time. The contextual analysis was conducted from a landscape perspective, comparing the average values of contextual elements in villages across the three basins: Indoche, Ochque, and Gera.
Special effort was made to calculate the timelines of forest loss for each village. We first systematized all the spatial data collected through participatory mapping in the villages and digitized it using QGIS open-source software (WGS84 UTM Zone 18 South). More specifically, we georeferenced the villages' spatial elements and territorial boundaries and created village polygons. To calculate annual forest loss for each village between 2001 and 2021, we used Peru's official country data on forests and primary forest loss (MINAM, 2022) based on Landsat 7 ETM+ imagery with a spatial resolution of 30m (0.09-pixel size) (Potapov et al., 2014; Vargas Gonzáles et al., 2014). Next, we constructed time series from the arrival of the first settlers by triangulating spatial data with information obtained from in-depth interviews, and then created maps of each village, assessing cumulative forest loss at 5-year intervals throughout the study period.
To search for possible causal relationships between contextual elements and outcomes, the changes in the outcome indicators over time were related to the changes in the context variables from the previous year of the time series. To do this, we applied an ordered probit model well-suited for analyzing and predicting outcomes of variables with ordered categories (Daykin and Moffatt, 2002). The following formula was used:
Y represents the local response for the village i at time t;
Xi(t−1) represents the lagged contextual variable of the village i at time t−1, accounting for the influence of the previous period's response on the current response;
Tt represents time-fixed effects;
Vi expresses the village fixed effects and ε the error term.
β, δ, and η are the respective coefficients associated with the lagged dependent variable, time-fixed effects, and village-fixed effects.
Time lags of the independent variables, as well as time and village fixed effects, were taken into account to capture the temporal dynamics and any lagged effects of the predictors on the dependent variables. Controlling for time and village fixed effects allowed us to capture unobserved heterogeneity across time and villages. Due to the nature of the data, standard errors were clustered at the village level. To further facilitate the interpretation of the results of the probit analysis, we also calculated marginal effects that express the change in the expected probability of falling into a specific category of the dependent variable when moving from the base category to the assessed category of the independent variable. Due to the wide range of possible relationships resulting from the large number of independent and dependent variables, the probit model was applied to 35 relationships commonly studied in the literature (Table 4). The marginal effects are presented in the annex.

Table 4. Relationships between local responses and outcomes and changes of contextual elements for nine villages were obtained from the probit model analysis.
4 Results
4.1 Contextual changes
The analysis of the context data reveals a common linear dynamic for all nine villages since the arrival of the settlers, independent of distance and start of settlement (Figure 3).

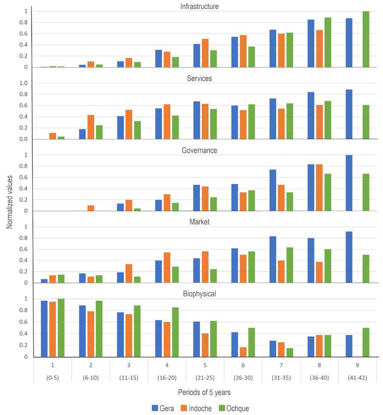
Figure 3. Contextual changes in the nine villages grouped within the Gera, Indoche, and Ochque watersheds in terms of infrastructure, services, governance, markets, and biophysical factors. Normalized values in the Y axis: “0” means deficient, precarious, or low. “1” means adequate, favorable, or high. Values in the X axis: 1 to 9 correspond to five-year periods (in parentheses) beginning from the first settlement of a village until the end of 2021.
In all villages along the three watersheds, improvements have been made over time in infrastructure, service availability, governance quality, and market conditions. The quality in all these categories was extremely poor at the beginning of the settlements, but reached a satisfactory level from about the 20th year after the respective settlement began. Most striking is the steady improvement in the service quality. In contrast, the quality of governance did not rise above a modest level. Infrastructure, governance, and, albeit to a lesser extent, markets also only improved in the later settlement stages from around the 30th year. These improvements were slightly stronger in the Gera catchment area, where the villages are better connected to the district capital, and somewhat weaker in the more distant Indoche watershed. Concerning the environmental dynamics, we observed that forest cover decreased steadily. Surprisingly, however, there has been a reforestation trend in the last 10 years, a development that likely went hand in hand with the devastating effects of the coffee rust outbreak and the abandonment of many coffee fields.
The trends described above manifested themselves very similarly in the nine villages. Regarding infrastructure, in the beginning, all villages were only accessible on foot trails. After around 12 years, the first dirt roads were built. But even after three decades, only four villages became connected with asphalt roads and bridges for cars and motorcycles. Foot trails continued to be the only means of access in the most remotely located village in the Indoche watershed. After 40 years of settlement, electrification reached almost every village. Drinking water quality and sanitation facilities improved considerably as villagers gradually changed from river collection and open-air relieving to piped water systems and the use of latrines. Telecommunication improved only in some villages and only in recent years, largely because of better access to cell phone signals, but still no internet.
In the services category, public primary school facilities were established relatively fast, already in the first years of settlement. Extension services, in contrast, took more than 2 decades to arrive, particularly in the older villages, and remain deficient in quality and frequency. The financial services, typically related to the issuing of credits, became gradually available at the later development stages. As a result of the massively growing interest by coffee companies in recent years, several farmer cooperatives have been founded. This has also led to an improvement in technical advice for coffee cultivation. However, only a few farmers have access to organic certification schemes.
All nine villages had to spend almost half their settlement history without any effective governance support, such as access to implementation measures for agricultural development policies or law enforcement measures. Social development programs reached the oldest villages only 20 years after their foundation. Between 1995 and 2005, the national army provided support during the armed conflict between the Peruvian state and the Túpac Amaru Revolutionary Movement (Movimiento Revolucionario Tupac Amaru MRTA). The army supported the villages in forming Self-Defense Committees (Comités de Autodefensa CAD), which later evolved into the “Peasant Rounds” (Rondas Campesinas), a highly respected local institution for advocacy, justice, organization, and representation at the village level. The Catholic Church was particularly active only in the Gera watershed in supporting the communities' social organization.
During the 15 years, particularly four legal instruments gained relevance in the villages: in 2009, the Economic and Ecological Zoning (ZEE) was released for the formulation of policies, plans and programs for sustainable regional development; in 2011, the Forestry and Wildlife Law was released aiming at regulating the conservation, protection, enhancement and sustainable use of forest and wildlife; and in 2018, the Regional Forest Zoning (ZF) was created as a basis for territorial management of forest and wildlife. Then, in 2017, the Rural Agricultural Productive Development Program (AGRORURAL) was the first public initiative from the Ministry of Agriculture targeting rural poverty and improving the quality of life of rural families. Since that time, coffee companies and cooperatives have also arrived. Five villages, mainly located in the still densely forested Gera basin, have seen NGOs and international research organizations actively implementing projects funded by international cooperation on sustainable agriculture, agroforestry, and natural resource management.
Regarding markets, commodity prices, particularly of coffee, have fluctuated constantly. Export coffee prices peaked in 1986 (3,665 USD/t), 1997 (3,418 USD/t), and 2011 (5,131 USD/t), but dropped significantly between 1990 and 1993 (1,351 USD/t) and between 2000 and 2004 (1,240 USD/t). Independent of this, households' access to urban markets has steadily improved, particularly in the last 15 years. Initially, the situation was extremely difficult, with animal transport being the only means of transport, creating enormous difficulties in accessing agricultural inputs. But then, newly built and improved roads offered increasingly better access. This process was accompanied by the arrival of intermediaries and local shops selling agricultural inputs. More recently, but only in the Gera basin, cooperation with companies has enabled access to well-paying markets for certified coffee.
Concerning the biophysical category, regional forest loss rates remained low until three-quarters into the history of settlements. Then, in response to improved roads and favorable market conditions, deforestation massively increased due to the expansion of coffee monocultures. The increase in coffee production led to a coffee rust outbreak in 2011, which seriously affected production. This, in combination with a lower immigration rate due to reduced land availability, contributed to a significant decrease in regional forest loss.
Roughly simplified, the above-described contextual changes observed in the villages during 42 years of settlement can be structured into five development stages (Figure 4).
In the first stage of isolated settlement, around 40 years ago, families from the coastal and Andean regions migrated to the Peruvian upper Amazon region and occupied large areas of land in the remote forest regions. Other families, often from the same region of origin, followed and gradually formed small settlements and village structures. In a second stage, markets and basic services became accessible through the construction of roads to the urban regional center, and the first primary schools were established. Informal land markets spread. After approximately 15 years, in a third phase, there were substantial improvements to the infrastructure, and as a result, productive services became increasingly available. The fourth stage was characterized by market integration of local producers and a strong expansion of agricultural land uses related to significant deforestation. Land became scarce, and land prices increased significantly. Finally, in the fifth stage, processes of consolidation and qualitative improvement of infrastructure became more and more important. Public and private facilities became more accessible, and families finally received better support from international organizations and formal institutions, such as national, regional, and district governments, albeit still at an often inadequate level. In general, the stages of contextual change initially developed more gradually and then more rapidly over time, showing exponential growth. This implies that in older settlements with better accessibility, change initially took longer, but at the same time, it was influenced, probably together with other external factors like demographic pressure or national economic growth, more rapid change in newer and more remote settlements.
4.2 Local responses and outcomes to changing contexts
Our analysis clearly showed that the inhabitants of the villages responded to the above-described contextual changes. These responses generated a wide range of tangible outcomes regarding demography, livelihood strategies, land uses and production practices, social organization, consumption patterns, vulnerability to environmental hazards and conflict, formal education, and deforestation. For some of these local responses and outcomes, the probit model analysis showed a significant relationship with the change of a specific contextual element (Table 4). For each contextual element, more detailed data from the analysis are provided in the Annexes.
Our analysis showed clear demographic responses to contextual changes over the last 40 years. The first families settled in this remote forest region to escape extreme poverty and hunger. After clearing and cultivating their fields and building dwellings, the trails were extended to transport local products to nearby markets. During the coca boom, between 1990 and 2000, another wave of families found their way to the region. Even considering the families who left due to the armed conflict, this period was marked by a positive balance of migration to the villages. The settlements grew into villages, and schools were built. At this stage, some families living further away in the mountain areas were given small plots of land to build their houses in the village area. Then the demographic dynamic slowed down along with the consolidation of agriculture, and, even when coffee cultivation grew in its importance, the demographic development further stabilized. However, the data show that the outbreak of coffee rust some 15 years ago correlates with a large number of farmers leaving their villages, particularly men in search of wage labor in the cities. It was only during the COVID-19 pandemic, when many young people returned to their villages and took up farming due to the difficult conditions in the cities.
The results of the statistical analysis indicate that the degree of livelihood strategies diversification was significantly influenced by the quality of roads and logistics, whereas credit and extension services hardly played a role. The newly settled families initially farmed and extracted timber for self-sufficiency. Gradually, they began to sell surpluses at nearby urban markets. Subsequently, often after the first 5–10 years of settlement, they began to specialize in cash crops such as coffee or coca, or cattle breeding, selling or using in parallel the wood obtained from converted forests. The data suggests that this specialization was strongly correlated with the improvement of roads. More and more families concentrated on growing coffee for export, and only a minority looked for opportunities to pursue additional activities both on and off the farm. Accordingly, the analysis reveals a strong negative correlation between improved logistics services, particularly for coffee, and low levels of livelihood diversification. A few families, primarily those with large landholdings, have traditionally focused on livestock farming, regardless of market prices or other contextual factors.
In the beginning, the land use of the new settlers included diversified farming systems. They kept a small number of chickens and pigs and grew a wide range of annual crops, such as maize, beans, bananas, yuca, and, in some cases, coca. Later, however, they expanded into forested areas through shifting cultivation in search of better soils and began to grow coffee and cocoa, but continued to use part of their land for annual crops and pasture. Over time, most smallholders switched almost entirely to monoculture production, particularly coffee or pasture, reducing slash-and-burn practices. This process was greatly influenced by the quality of extension and logistics services and the availability of credit services such as Agrobanco and, later, Cajas Rurales. Farmers in steep landscapes, such as in Nuevo Chontalí, showed limited specialization in pastures, maintaining more diversified systems of coffee and annual crops.
The changes in land use over time also involved an intensification of agricultural production based on external inputs. Originally, agriculture was based on the use of natural fertilizers, using self produced planting material, and local coffee varieties grown from seeds, manual weeding, and relying on family labor. With the specialization of agriculture, the production of fewer cash crops as monocultures and the consequent decline in soil fertility, farmers began to use chemical fertilizers and herbicides. At the same time, slash-and-burn agriculture also contributed to gaining new fertile areas for cultivation. In recent years, farmers started to use new propagation techniques and improved coffee varieties, which was accompanied by an even more intensive use of agrochemicals. This evolution was significantly associated with an improvement in the quality of extension services in terms of the number of providers, frequency of visits, and increased coverage. At the field level, it was observed that many farmers are increasingly interested in sustainable farming practices, such as mechanical weed control with brush cutters and cultivation against slopes to reduce soil erosion.
The dynamics and quality of the social organization within families showed strong fluctuations throughout their settlement history. Initially, the families organized themselves primarily to demand support for basic infrastructure such as roads, water collection facilities, and schools. Later, the villagers faced a high level of insecurity due to the armed conflict and the so-called war against drug terrorism waged by the government of Alberto Fujimori. Supported by the national army, villagers created CAD for the armed struggle against the MRTA. These organizations evolved into the Rondas Campesinas, which, in addition to their security aspects, also undertook other social functions, such as organizing protective measures during the COVID-19 pandemic. More recently, local social networks have played a major role in the creation and work of farmers‘ organizations and cooperatives. Accordingly, the analysis indicates that farmers' access to coffee certification schemes and improvements in logistics services for agricultural products and inputs are positively correlated with stronger levels of social organization. Unlike the rest of the villages, Nuevo Chontalí always maintained a weak level of social organization. Due to the high costs associated with constructing roads in steep terrain, families were unable to organize themselves to raise sufficient funds, resulting in internal conflict between neighbors. In addition, a Ronda Campesina was never created because the topography kept armed conflict far away.
Over time, households drastically reduced local consumption of diversified self-produced food and goods, replacing it with higher consumption of non-local products. Initially, households consumed a high diversity of locally produced foods and goods, including yuca, maize, beans, and plantains, as well as animal protein from chickens, eggs, cows, and hunting. They used wood from the nearby forests to build their houses and furniture. Over time, however, families began to increasingly reduce their consumption of varied local products and started buying staple foods such as oil, salt, sugar and rice. As their income increased, they were also able to buy consumer goods such as televisions, refrigerators, and cell phones. This trend of buying consumer goods in the city continues today. In some villages, a few families have set up local stores or bodegas selling processed foods such as pasta and canned goods, agricultural inputs, and cellphone services. The probit analysis shows that logistics quality, access to credit, and availability of electricity are positively associated with lower levels of diversified consumption of local foods and goods, and therefore higher consumption of external non-local products. On the other hand, adequate road quality may be associated with higher levels of diversified consumption of local foods and goods.
Initially, the first families lived very isolated and suffered from a high level of insecurity, particularly due to their vulnerability to environmental hazards like landslides, floods, and attacks by wild animals. Despite improved security of supply through roads and water collection facilities, social insecurity increased between 1980 and 2000 due to armed conflict. On the outskirts of the villages, there were MRTA camps, where young people from the villages were forcibly recruited. Even after the disbanding of MRTA in the late 1990s, the perception of insecurity remained high, partly because crime and violence among villagers persisted. At this stage, the unarmed and self-organized Rondas Campesinas took charge of local crime. The triangulation of data from our interviews and secondary sources shows that external support from the national army for the creation of the CAD and later the Rondas Campesinas correlates with a decline in overall insecurity.
From the beginning of the settlements to the present day, education, i.e., the number of children enrolled in the villages' primary school, has improved steadily, with some peaks and troughs. Initially, only a few families had the opportunity to send their children to the few schools, which were often far away. However, after about 5 years, the villages themselves established primary schools, which led to more regular and frequent school attendance, especially as new families immigrated with their children. The analysis reveals that the presence of primary schools in villages and the enhancement of road quality have a positive impact on primary school enrolment, which subsequently declined drastically due to the outbreak of coffee rust and the outmigration of families. During the COVID-19 pandemic, which led to a nationwide shift to virtual classes, primary school enrolment dropped sharply as households lacked access to internet services. Today, many children attend secondary schools in the nearby urban centers after completing primary school.
Deforestation in the villages fluctuated over time. In the first 30 years of settlement, deforestation rates increased steadily due to the expansion of agricultural land, which peaked between 2004 and 2010, but then declined in the following decade. Figure 5 illustrates the spatial and temporal dynamics of forest loss in the individual villages.
Around 20% of the forest has been slashed since 2001. In the villages that were settled first and are still the most accessible today, deforestation took place particularly before 2001. In the younger, less accessible villages, such as Villa de Triunfo, deforestation has been severe in the last 20 years. Accordingly, there have been more forests converted to other land uses in the villages in the Gera watershed, which are closer to the urban center, than in the more distant villages located in the Ochque watershed. But it is the village of Nuevo Chontalí in the Indoche that showed less deforestation. All villages with lower aggregated deforestation show road improvements only in recent years. Deforestation began near the villages and then gradually expanded to more distant forest areas. Forests stocking on inaccessible slopes farther away from the villages remain well preserved. Deforestation rates have declined since 2014 and reached their lowest point in 2017. Statistical analysis establishes a correlation of reduced deforestation with improved logistics, improved legal framework conditions, and their implementation. Also, better access to credit and the specialization and intensification of agriculture contributed to the decline in deforestation rates.
5 Discussion
The study reconstructed the contextual changes and local responses of smallholder farmers from nine villages in the Peruvian Amazon to better understand whether interventions into the context can be an effective means to induce sustainable development pathways. The contextual changes in all nine villages revealed a common linear dynamic. Since the arrival of the first settlers more than 40 years ago, we have found strong improvements, particularly in roads and primary schools, and, to a lesser extent, in extension and credit services. Public agencies, as well as companies and NGOs, facilitated access to measures implementing agricultural development policies and enforced environmental law. Along with fluctuating but attractive coffee export prices, market logistics improved steadily. Forest cover in the region strongly declined, but partially started to recover, particularly in the earlier settled villages. These processes are in line with the classic economic paradigm, which states that economic development and improved living conditions based on better infrastructure and access to basic services take place at the expense of nature (Green, 2013; Perz et al., 2013).
Villagers responded to the above-described contextual changes, resulting in a wide range of tangible outcomes in terms of demographics, land use, and deforestation. In response to contextual changes, many smallholders in the villages shifted from managing diversified fallow systems in mosaic landscapes toward agricultural monocrop coffee production. As outlined by Parry et al. (2010b) for the study region, this process of agricultural specialization and intensification is grounded primarily on improved road infrastructure and extension services. In line with other studies (Kansiime et al., 2022; Tey and Brindal, 2024), our results evidenced that availability, content, and quality of extension services have an outstanding influence on farmers' decisions regarding land use, generally promoting specialization and intensification of production.
According to the observations of Curtis et al. (2018) and Marquardt et al. (2019) in Peru, agricultural policies and technical assistance approaches promoting smallholders‘ integration into global commodity markets encouraged the substitution of fallow shifting cultivation by intensive perennial cash monoculture systems. However, smallholder farmers' traditional practices, assisted in some cases by relevant extension services, may also develop sustainable intensification trajectories as an alternative to petrochemical agriculture, where production grows without heavy reliance on industrial technologies (Boserup, 1965; Netting, 1993; Davis Stone, 2022). Also, improvements in appropriate logistics can be associated with diversified farming practices, stronger social organization, and reduced deforestation (Garrett et al., 2017). In contrast with previous research (Pacheco and Poccard-Chapuis, 2012), our study found evidence that enhanced credit access contributed to agricultural diversification and reduced deforestation, probably because of the quality and focus of extension services (Zenteno et al., 2013) and a parallel effort for more effective legal enforcement (Nunes et al., 2024). Regarding productivity, we have only found very weak local echoes of effects caused by commodity and credit-based agricultural policies, as suggested by Altieri et al. (2012).
Our study confirms that changes in context triggered a complex array of migratory responses. In our case, particularly the outbreak of coffee leaf rust triggered a strong process of outmigration to urban centers, a phenomenon well documented also for the case of small coffee farmers in Guatemala (Dupre et al., 2022) and described by Al-Maruf et al. (2022) and Kalantari et al. (2024). Rural-urban migration reduced the availability of local labor and, along with this, the pressure on forests, a process that favored the reestablishment of the forests on abandoned agricultural land (Adam et al., 2021). As men were the first to migrate, seeking non-farm employment in urban centers, women remained in the villages, assuming core agricultural and family care duties. Some current implications of gender differences relate to land and forest tenure as a means of accessing financial services, which are still in the hands of men; the role of women as a labor force in key activities such as coffee harvesting; and the importance of remittances from urban wage labor as a strategy for family livelihoods (Pierce Colfer et al., 2017).
Although our results confirm that road expansion and improvement drive deforestation (Barber et al., 2014; Engert et al., 2025), we also found that the specific effect of road expansion depends on the broader context (Robiglio et al., 2020). In fact, the intensification of local production systems, facilitated by the availability of agricultural inputs, advisory services, market logistics, and improved forest governance, has helped to reduce deforestation, following other Amazonian studies (Garrett et al., 2018; Adam et al., 2021). In the same vein, we also found ambiguous evidence regarding the effect of credits on deforestation. Although on limited occasions, when the service has been available in villages, families have prioritized it for purchasing food and products in urban markets (Akram-Lodhi et al., 2021), rather than pursuing forest clearing and expanding agricultural land (Assunção et al., 2020).
From a general perspective, our findings support the previous observations from (Undurraga and Pokorny 2024) arguing that changes in contextual elements may have ambivalent effects and trigger both positive and negative outcomes.
5.1 General development path and the local consequences
Our analysis revealed very little difference between the nine villages in the three watersheds, both in terms of contextual changes and farmers' responses. The general dynamics observed largely correspond to the general forest frontier trajectory postulated for tropical settlements (Akram-Lodhi et al., 2021; Whayne, 2024); thus, better accessibility through investments in infrastructure and services improves market integration and quality of life, attracts new settlers, and increases pressure on the forests. A dynamic, which is accompanied by agricultural specialization and intensification, and a shift from subsistence-based consumption toward the purchase of processed foods produced elsewhere. The final stage of such a dynamic could either lead to improved living conditions and a stabilization of landscape dynamics, or to an aggregation and intensification of land and resource use, combined with progressive environmental degradation and the migration of families. In our case study, the observed settlement period was too short to make clear statements about this. However, if looking to other studies exploring forest frontier dynamics in the Amazon region, the conventional models of economic growth operating under the neoliberal assumption of free competition in global markets (Pretzsch et al., 2014), have shown that these dynamics have barely benefited smallholders, but instead contributed to their further marginalization (Da Silva Medina et al., 2021).
Given that almost all governments, especially in the global South, continue to prioritize economic growth and neo-extractivist models (Gudynas, 2013), it is to be expected that also our study area will experience processes of increased specialization and displacement of diverse agricultural land uses (Meyfroidt et al., 2014). This dynamic would tend to generate new local economic opportunities, but, at the same time, alter pre-existing local institutions and norms (Pokorny, 2013) and replace traditional resource exchange relationships over labor, equipment and materials with monetary transactions and purely financial exchanges that may ultimately leave the poor even more vulnerable or cause them to migrate (Gebru et al., 2021).
But there are also signs that these imminent negative consequences of such a universal development can be stopped or at least mitigated. For example, in light of climate change and the biodiversity crisis, approaches have emerged for the integration of market-based and nature conservation, for example, through payments of environmental services, investments in nature protection, and recuperation of degraded areas (Wunder, 2015). Although these approaches have generated high expectations, the desired effects have not yet been fully achieved (Pokorny et al., 2012). Also, specific local attributes such as topography can play a key role in triggering divergent local development paths. In this sense, Raynor et al. (2021) showed that high slope areas are correlated with less livestock specialization and the maintenance of more diversified production systems. And, finally, as evidenced in our case study, a well-organized extension service can play a key role in preserving smallholders and nature, as well as their social, cultural, and biological diversity.
5.2 Reflection on the methodology
Most of our observations on local responses are also well documented for other tropical regions (Adam et al., 2021). (Meyfroidt and Lambin 2009) have conceptualized these relationships within the framework of the forest transition theory. This confirms the accuracy of the results despite the geographically limited study area. However, it should be considered that our results are based on information from very different data sources, time frames, and analytical approaches. The lack of reliable, high-quality longitudinal data valid at the local level, as well as the time and cost involved in collecting quantitative cross-sectional data, posed significant limitations. As a consequence, many statements made are based on subjective perceptions of farmers. Despite these limitations, our study complements the prevailing rather simplistic linear representations of socio-ecological dynamics of tropical agricultural fronts (Leach et al., 2010). Our longitudinal and systemic perspective opens up opportunities to understand the influence of contextual factors and specific causalities on farmers' responses. Based on comparative studies, the application of this methodological approach may even allow for the identification of meaningful options to guide development dynamics in forest frontiers through contextual interventions (Undurraga and Pokorny, 2024).
6 Conclusion
Our case study on contextual changes and local responses of small-scale farmers and their outcomes in nine villages in the Peruvian Amazon contributes to the debate on how to shape rural development in tropical forest frontiers. Collected evidence demonstrates that smallholders respond to contexts and generate collective social, economic, and environmental outcomes. Improvements in infrastructure and services impacted the quality of life and integration into markets of local households. Along with the arrival of new settlers, local responses were oriented toward specialization and intensification of production systems, thereby increasing pressure on forests. Over time, villages showed consolidation dynamics accompanied by some signs of landscape regeneration. This interplay tends to follow a general pathway that, from the perspective of the local farmers, generates both positive and negative effects. To influence this strong universal dynamic and make outcomes more sustainable by targeting specific contextual factors is difficult and not very realistic. In the face of constraining contexts, farmers have the capacity to adapt and generate innovative responses, which can be further facilitated with the right stimuli. In this sense, the potential of smallholder farmers to contribute to sustainable local development can be unlocked when access to adequate logistical and financial services is ensured and, more importantly, rural advisory services tailored to the realities of the families are provided. In addition, effective enforcement of inclusive legislation, along with the establishment of marketing opportunities for a wide range of local products, would be beneficial when combined with education, qualification, and awareness-raising efforts. Systematic comparative studies appear necessary to better understand why development dynamics are more sustainable in some regions than in others. This knowledge can provide essential starting points for contributing to a sustainable future in tropical rural areas.
Data availability statement
The raw data supporting the conclusions of this article will be made available by the authors, without undue reservation.
Ethics statement
Ethical review and approval was not required for the study on human participants in accordance with the local legislation and institutional requirements. The participants [OR participants legal guardian/next of kin] provided their written informed consent to participate in this study.
Author contributions
JU: Methodology, Project administration, Writing – original draft, Writing – review & editing, Formal analysis, Visualization, Investigation, Data curation, Validation, Conceptualization. BP: Conceptualization, Methodology, Supervision, Writing – review & editing, Funding acquisition. RV: Visualization, Formal analysis, Data curation, Methodology, Software, Conceptualization, Writing – review & editing. MR: Formal analysis, Visualization, Data curation, Writing – review & editing. WD: Writing – review & editing, Supervision. VR: Funding acquisition, Writing – review & editing, Conceptualization.
Funding
The author(s) declare that financial support was received for the research and/or publication of this article. This work received financial support from the German Federal Ministry for Economic Cooperation and Development (BMZ) commissioned and administered through the Deutsche Gesellschaft für Internationale Zusammenarbeit (GIZ), for the project PARA (Piloting Approaches to Rural Advisory Services in Support of Scaling of the Agroforestry Concessions Scheme in Peru) implemented by the World Agroforestry Centre (CIFOR-ICRAF) in collaboration with the University of Freiburg and Solidaridad. Contract number 81235255, Project Processing Number 18.7860.2-001.00.
Conflict of interest
The authors declare that the research was conducted in the absence of any commercial or financial relationships that could be construed as a potential conflict of interest.
Generative AI statement
The author(s) declare that no Gen AI was used in the creation of this manuscript.
Any alternative text (alt text) provided alongside figures in this article has been generated by Frontiers with the support of artificial intelligence and reasonable efforts have been made to ensure accuracy, including review by the authors wherever possible. If you identify any issues, please contact us.
Publisher's note
All claims expressed in this article are solely those of the authors and do not necessarily represent those of their affiliated organizations, or those of the publisher, the editors and the reviewers. Any product that may be evaluated in this article, or claim that may be made by its manufacturer, is not guaranteed or endorsed by the publisher.
Supplementary material
The Supplementary Material for this article can be found online at: https://www.frontiersin.org/articles/10.3389/ffgc.2025.1647001/full#supplementary-material
References
Adam, P., Kristina, M., and Dil, K. (2021). Secondary forests and Agrarian transitions: insights from Nepal and Peru. Hum Ecol. 49, 1–10. doi: 10.1007/s10745-021-00224-1
Agrawal, A., and Lemos, M. C. (2007). A greener revolution in the making? Environmental governance in the 21st century. Environ. Sci. Policy Sustainable Dev. 49, 36–45. doi: 10.3200/ENVT.49.5.36-45
Ahmed, M. H., Tesfaye, W. M., Dietrich, S., and Gassmann, F. (2024). Rural roads, child labor, and schooling in rural Ethiopia. J. Dev. Stud. 60, 1675–1690. doi: 10.1080/00220388.2024.2383397
Akram-Lodhi, A. H., Dietz, K., Engels, B., and McKay, B. M. (2021). Handbook of Critical Agrarian Studies. Cheltenham, UK: Edward Elgar Publishing. doi: 10.4337/9781788972468
Albers, H. J., and Robinson, E. (2013). A review of the spatial economics of non-timber forest product extraction: implications for policy. Ecol. Econ. 92, 87–95. doi: 10.1016/j.ecolecon.2012.01.021
Al-Maruf, A., Pervez, A. K. M. K., Sarker, P. K., Rahman, M. S., and Ruiz-Menjivar, J. (2022). Exploring the factors of farmers' rural-urban migration decisions in Bangladesh. Agriculture 12:722. doi: 10.3390/agriculture12050722
Altieri, M. A., Funes-Monzote, F. R., and Petersen, P. (2012). Agroecologically efficient agricultural systems for smallholder farmers: contributions to food sovereignty. Agron. Sustain. Dev. 32, 1–13. doi: 10.1007/s13593-011-0065-6
Assunção, J., Gandour, C., Rocha, R., and Rocha, R. (2020). The effect of rural credit on deforestation: evidence from the Brazilian amazon. Econ. J. 130, 290–330. doi: 10.1093/ej/uez060
Augsten, L., Gagné, K., and Su, Y. (2022). The human dimensions of the climate risk and armed conflict nexus: a review article. Reg. Environ. Change 22:42. doi: 10.1007/s10113-022-01888-1
Barber, C. P., Cochrane, M. A., Souza, C. M., and Laurance, W. F. (2014). Roads, deforestation, and the mitigating effect of protected areas in the Amazon. Biol. Conserv. 177, 203–209. doi: 10.1016/j.biocon.2014.07.004
Barbieri, A. F., and Pan, W. K. (2013). People, land, and context: multilevel determinants of off-farm employment in the Ecuadorian Amazon. Popul. Space Place 19, 558–579. doi: 10.1002/psp.1733
Bebbington, A. J., Humphreys Bebbington, D., Sauls, L. A., Rogan, J., Agrawal, S., Gamboa, C., et al. (2018). Resource extraction and infrastructure threaten forest cover and community rights. Proc. Natl. Acad. Sci. U.S.A. 115, 13164–13173. doi: 10.1073/pnas.1812505115
Berdegué, J. A., and Fuentealba, R. (2014). “The state of smallholders in agriculture in Latin America,” in New Directions for Smallholder Agriculture, eds. P. B. R. Hazell, and A. Rahman (Oxford: Oxford University Press), 115–152. doi: 10.1093/acprof:oso/9780199689347.003.0005
Binder, C. R., Hinkel, J., Bots, P. W. G., and Pahl-Wostl, C. (2013). Comparison of frameworks for analyzing social-ecological systems. E & S 18:26. doi: 10.5751/ES-05551-180426
Blum, M., Cofini, F., and Sulaiman, R. (2020). Agricultural Extension in Transition Worldwide: Policies and Strategies for Reform. Rome: FAO. doi: 10.4060/ca8199en
Boserup, E. (1965). The Conditions of Agricultural Growth: The Economics of Agrarian Change Under Population Pressure. London: Earthscan.
Bourguignon, F., and Pleskovic, B. (2007). “Rethinking infrastructure for development,” in Annual World Bank Conference on Development Economics - Global. Washington, DC: World Bank. doi: 10.1596/978-0-8213-6841-1
Chambers, R., and Conway, G. R. (1991). Sustainable Rural Livelihoods: Practical Concepts for the 21st Century. IDS Discussion Paper 296, Brighton: IDS.
Clapp, J. (2018). Speculative Harvests: Financialization, Food, and Agriculture. Black Point Nova Scotia: Fernwood Publishing. doi: 10.3362/9781780449920
Clapp, J., Moseley, W. G., Burlingame, B., and Termine, P. (2022). Viewpoint: the case for a six-dimensional food security framework. Food Policy 106:102164. doi: 10.1016/j.foodpol.2021.102164
Contesse, M., Duncan, J., Legun, K., and Klerkx, L. (2021). Unravelling non-human agency in sustainability transitions. Technol. Forecasting Soc. Change 166:120634. doi: 10.1016/j.techfore.2021.120634
Contzen, S., and Häberli, I. (2021). Exploring dairy farmers' quality of life perceptions—a Swiss case study. J. Rural Stud. 88, 227–238. doi: 10.1016/j.jrurstud.2021.11.007
Coomes, O. T., Takasaki, Y., Abizaid, C., and Arroyo-Mora, J. P. (2016). Environmental and market determinants of economic orientation among rain forest communities: evidence from a large-scale survey in western Amazonia. Ecol. Econ. 129, 260–271. doi: 10.1016/j.ecolecon.2016.06.001
Corbett, J. (2009). Good Practices in Participatory Mapping: A Review Prepared for the International Fund for Agricultural Development (IFAD). Rome: International Fund for Agricultural Development.
Cortez Requejo, Y. L. (2021). Pérdida de la cobertura vegetal mediante el uso de imágenes satelitales en la subcuenca Gera, distrito de Jepelacio (master thesis). Moyobamba, Peru: UNSM.
Curtis, P. G., Slay, C. M., Harris, N. L., Tyukavina, A., and Hansen, M. C. (2018). Classifying drivers of global forest loss. Science 361, 1108–1111. doi: 10.1126/science.aau3445
Da Silva Medina, G., Scolari Gosch, M., and DelGrossi, M. E. (2021). Development pathways for family farmers: lessons from Brazil on the need for targeted structural reforms as a means to address regional heterogeneity. Geoforum 118, 14–22. doi: 10.1016/j.geoforum.2020.11.008
Davis Stone, G. (2022). The Agricultural Dilemma: How not to Feed the World. London: Routledge. doi: 10.4324/9781003286257
Davis, K. (2019). The complex processes of agricultural education and extension. J. Agric. Educ. Ext. 25, 193–194. doi: 10.1080/1389224X.2019.1615170
Daykin, A. R., and Moffatt, P. G. (2002). Analyzing ordered responses: a review of the ordered probit model. Understanding Stat. 1, 157–166. doi: 10.1207/S15328031US0103_02
Duchelle, A. E., Almeyda Zambrano, A. M., Wunder, S., Boerner, J., and Kainer, K. A. (2014). Smallholder specialization strategies along the forest transition curve in southwestern Amazonia. World Dev. 64, S149-S158. doi: 10.1016/j.worlddev.2014.03.001
Dupre, S. I., Harvey, C. A., and Holland, M. B. (2022). The impact of coffee leaf rust on migration by smallholder coffee farmers in Guatemala. World Dev. 156:105918. doi: 10.1016/j.worlddev.2022.105918
Engert, J. E., Souza, C. M., Kleinschroth, F., Bignoli, D. J., Costa, S. C. P., Botelho, J., et al. (2025). Explosive growth of secondary roads is linked to widespread tropical deforestation. Curr. Biol. 35, 1641–1648.e4. doi: 10.1016/j.cub.2025.02.017
ETC Group. (2017). Who Will feed us? The Industrial Food Chain vs. The Peasant Food Web. ETC Group. Available online at: https://www.etcgroup.org/content/who-will-feed-us-industrial-food-chain-vs-peasant-food-web
Fan, S., Brzeska, J., Keyzer, M., and Halsema, A. (2013). From Subsistence to Profit: Transforming Smallholder Farms. Washington, DC: International Food Policy Research Institute. doi: 10.2499/9780896295582
FAO (2018). Panorama de la pobreza rural en América Latina y el Caribe 2018. Santiago de Chile: FAO.
FAO (2021). El trabajo infantil en la caficultura: causas, tendencias y repercusiones para el desarrollo territorial en Guatemala. Santiago de Chile: FAO.
FAO IFAD, UNICEF, WFP and WHO. (2020). The State of Food Security and Nutrition in the World 2020. Rome: FAO. doi: 10.4060/ca9692en
FAO PAHO, WFP, UNICEF, and IFAD. (2021). Regional Overview of Food Security and Nutrition in Latin America and the Caribbean 2020: Food security and nutrition for lagged territories - In brief. Santiago de Chile: FAO, PAHO, WFP, UNICEF, and IFAD.
Garrett, R. D., Gardner, T. A., Morello, T. F., Marchand, S., Barlow, J., Blas, D. E. de, et al. (2017). Explaining the persistence of low income and environmentally degrading land uses in the Brazilian Amazon. E & S 22:27. doi: 10.5751/ES-09364-220327
Garrett, R. D., Koh, I., Lambin, E. F., Le Polain de Waroux, Y., Kastens, J. H., and Brown, J. C. (2018). Intensification in agriculture-forest frontiers: land use responses to development and conservation policies in Brazil. Global Environ. Change 53, 233–243. doi: 10.1016/j.gloenvcha.2018.09.011
Gebru, K. M., Rammelt, C., Leung, M., Zoomers, A., and van Westen, G. (2021). The commodification of social relationships in agriculture: evidence from northern Ethiopia. Geoforum 126, 350–360. doi: 10.1016/j.geoforum.2021.07.026
Godar, J., Tizado, E. J., and Pokorny, B. (2012). Who is responsible for deforestation in the Amazon? A spatially explicit analysis along the Transamazon Highway in Brazil. For. Ecol. Manage. 267, 58–73. doi: 10.1016/j.foreco.2011.11.046
Gomez y Paloma, S., Riesgo, L., and Louhichi, K. (2020). The Role of Smallholder Farms in Food and Nutrition Security. Cham: Springer International Publishing. doi: 10.1007/978-3-030-42148-9
Green, G. P. (2013). Handbook of Rural Development. Cheltenham: Edward Elgar. doi: 10.4337/9781781006719
Grisa, C., and Sabourin, E. (2019). Agricultura Familiar: de los conceptos a las políticas públicas en América Latina y el Caribe. Santiago de Chile: FAO.
Gudynas, E. (2013). Debates sobre el desarrollo y sus alternativas en América Latina: Una breve guía heterodoxa. Revista FORO 79, 94–111.
Hoffmann, V., Christinck, A., and Lemma, M. (2009). Handbook: Rural Extension: Examples and Background Material. Weikersheim: Margraf.
INEI (2018). Informe Sociodemografico Censos Nacionales 2017: XII de Población, VII de Vivienda y III de Comunidades Indígenas. Lima: INEI.
Jusys, T. (2016). Fundamental causes and spatial heterogeneity of deforestation in legal Amazon. Appl. Geogr. 75, 188–199. doi: 10.1016/j.apgeog.2016.08.015
Kalantari, R., Pakravan-Charvadeh, M. R., and Rahimian, M. (2024). Multi-level factors influencing climate migration willingness among small-scale farmers. Front. Environ. Sci. 12:1434708. doi: 10.3389/fenvs.2024.1434708
Kansiime, M. K., Njunge, R., Okuku, I., Baars, E., Alokit, C., Duah, S., et al. (2022). Bringing sustainable agricultural intensification practices and technologies to scale through campaign-based extension approaches: lessons from Africa soil health consortium. Int. J. Agric. Sustainability 20, 743–757. doi: 10.1080/14735903.2021.1976495
Kawa, N. C., Clavijo Michelangeli, J. A., and Clement, Charles R. (2015). Household agrobiodiversity management on Amazonian dark earths, oxisols, and floodplain soils on the lower Madeira River, Brazil. Hum. Ecol. 43, 339–353. doi: 10.1007/s10745-015-9738-0
Leach, M., Scoones, I., and Stirling, A. (2010). Dynamic Sustainabilities: Technology, Environment, Social Justice. London, Washington DC: Earthscan. doi: 10.4324/9781849775069
Marquardt, K., Pain, A., Bartholdson, Ö., and Rengifo, L. R. (2019). Forest dynamics in the Peruvian Amazon: understanding processes of change. Small-Scale Forestry 18, 81–104. doi: 10.1007/s11842-018-9408-3
Medina, G., Almeida, C., Novaes, E., Godar, J., and Pokorny, B. (2015). Development conditions for family farming: lessons from Brazil. World Dev. 74, 386–396. doi: 10.1016/j.worlddev.2015.05.023
Mejia, E., Pacheco, P., Muzo, A., and Torres, B. (2015). Smallholders and timber extraction in the Ecuadorian Amazon: amidst market opportunities and regulatory constraints. Int. Forest. Rev. 17, 38–50. doi: 10.1505/146554815814668954
Meyfroidt, P., Carlson, K. M., Fagan, M. E., Gutiérrez-Vélez, V. H., Macedo, M. N., Curran, L. M., et al. (2014). Multiple pathways of commodity crop expansion in tropical forest landscapes. Environ. Res. Lett. 9:74012. doi: 10.1088/1748-9326/9/7/074012
Meyfroidt, P., and Lambin, E. F. (2009). Forest transition in Vietnam and displacement of deforestation abroad. Proc. Natl. Acad. Sci. U.S.A. 106, 16139–16144. doi: 10.1073/pnas.0904942106
Minang, P. A., van Noordwijk, M., Freeman, O. E., Mbow, C., de Leeuw, J., and Catacutan, D. (2015). Climate-Smart Landscapes: Multifunctionality in Practice. Nairobi: World Agroforestry Centre.
Montes, F., Jimenez, R. C., and Onnela, J.-P. (2018). Connected but segregated: social networks in rural villages. J. Complex Netw. 6, 693–705. doi: 10.1093/comnet/cnx054
Netting, R. M. (1993). Smallholders, Householders: Farm Families and the Ecology of Intensive, Sustainable Agriculture. Stanford, California: Stanford University Press. doi: 10.1515/9781503622067
Nunes, F. S. M., Soares-Filho, B. S., Oliveira, A. R., Veloso, L. V. S., Schmitt, J., van der Hoff, R., et al. (2024). Lessons from the historical dynamics of environmental law enforcement in the Brazilian Amazon. Sci. Rep. 14:1828. doi: 10.1038/s41598-024-52180-7
Oldekop, J. A., Gabay, M., Humphreys, D., Kamoto, J. F., Mutta, D. N., Song, C., et al. (2021). A framework for analysing contextual factors shaping forest-poverty dynamics. Forest Policy Econ. 132:102591. doi: 10.1016/j.forpol.2021.102591
Pacheco, P., and Poccard-Chapuis, R. (2012). The complex evolution of cattle ranching development amid market integration and policy shifts in the Brazilian Amazon. Ann. Assoc. Am. Geogr. 102, 1366–1390. doi: 10.1080/00045608.2012.678040
Pan, Y., Birdsey, R. A., Phillips, O. L., Houghton, R. A., Fang, J., Kauppi, P. E., et al. (2024). The enduring world forest carbon sink. Nature 631, 563–569. doi: 10.1038/s41586-024-07602-x
Parry, L., Day, B., Amaral, S., and Peres, C. A. (2010a). Drivers of rural exodus from Amazonian headwaters. Popul. Environ. 32, 137–176. doi: 10.1007/s11111-010-0127-8
Parry, L., Peres, C. A., Day, B., and Amaral, S. (2010b). Rural-urban migration brings conservation threats and opportunities to Amazonian watersheds. Conserv. Lett. 3, 251–259. doi: 10.1111/j.1755-263X.2010.00106.x
Peres, C. A., and Schneider, M. (2012). Subsidized agricultural resettlements as drivers of tropical deforestation. Biol. Conserv. 151, 65–68. doi: 10.1016/j.biocon.2011.11.011
Perz, S. G., Rosero, M., Leite, F. L., Carvalho, L. A., Castillo, J., and Vaca Mejia, C. (2013). Regional integration and household resilience: infrastructure connectivity and livelihood diversity in the southwestern amazon. Hum. Ecol. 41, 497–511. doi: 10.1007/s10745-013-9584-x
Pierce Colfer, C. J., Elias, M., Sijapati Basnett, B., and Stevens Hummel, S. (2017). Gender and Forests. Oxon: Routledge. doi: 10.4324/978131566624
Piperata, B. A., Ivanova, S. A., Da-Gloria, P., Veiga, G., Polsky, A., Spence, J. E., et al. (2011). Nutrition in transition: dietary patterns of rural amazonian women during a period of economic change. Am. J. Hum. Biol. 23, 458–469. doi: 10.1002/ajhb.21147
Pokorny, B. (2013). Smallholders, Forest Management, and Rural Development in the Amazon. London: Routledge. doi: 10.4324/9780203073919
Pokorny, B., and de Jong, W. (2015). Smallholders and forest landscape transitions: locally devised development strategies of the tropical Americas. Int. Forest. Rev. 17, 1–19. doi: 10.1505/146554815814668981
Pokorny, B., Johnson, J., Medina, G., and Hoch, L. (2012). Market-based conservation of the Amazonian forests: revisiting win-win expectations. Geoforum 43, 387–401. doi: 10.1016/j.geoforum.2010.08.002
Pokorny, B., Jong, W., de, Godar, J., Pacheco, P., and Johnson, J. (2013). From large to small: reorienting rural development policies in response to climate change, food security and poverty. Forest Policy Econ. 36, 52–59. doi: 10.1016/j.forpol.2013.02.009
Pokorny, B., Robiglio, V., Reyes, M., Vargas, R., and Patiño Carrera, C. F. (2021). The potential of agroforestry concessions to stabilize Amazonian forest frontiers: a case study on the economic and environmental robustness of informally settled small-scale cocoa farmers in Peru. Land Use Policy 102, 105242. doi: 10.1016/j.landusepol.2020.105242
Porro, R., Lopez-Feldman, A., and Vela-Alvarado, J. W. (2015). Forest use and agriculture in Ucayali, Peru: livelihood strategies, poverty and wealth in an Amazon frontier. Forest Policy Econ. 51, 47–56. doi: 10.1016/j.forpol.2014.12.001
Potapov, P. V., Dempewolf, J., Talero, Y., Hansen, M. C., Stehman, S. V., Vargas, C., et al. (2014). National satellite-based humid tropical forest change assessment in Peru in support of REDD+ implementation. Environ. Res. Lett. 9:124012. doi: 10.1088/1748-9326/9/12/124012
Pretty, J. N. (1997). The sustainable intensification of agriculture. Nat. Resour. Forum 21, 247–256. doi: 10.1111/j.1477-8947.1997.tb00699.x
Pretzsch, J., Darr, D., Uibrig, H., and Auch, E. (2014). Forests and rural development. Berlin: Springer. doi: 10.1007/978-3-642-41404-6
Ramirez-Gomez, S. O., Torres-Vitolas, C. A., Schreckenberg, K., Honzák, M., Cruz-Garcia, G. S., Willcock, S., et al. (2015). Analysis of ecosystem services provision in the Colombian Amazon using participatory research and mapping techniques. Ecosyst. Serv. 13, 93–107. doi: 10.1016/j.ecoser.2014.12.009
Raynor, E. J., Gersie, S. P., Stephenson, M. B., Clark, P. E., Spiegal, S. A., Boughton, R. K., et al. (2021). Cattle Grazing Distribution Patterns Related to Topography Across Diverse Rangeland Ecosystems of North America. Rangeland Ecol. Manage. 75, 91–103. doi: 10.1016/j.rama.2020.12.002
Robiglio, V., Reyes Acevedo, M., and Parmutia, M. (2020). DriveNet: una metodología para el análisis participativo de las causas y mecanismos causales de la deforestación y cambio de uso. Lima: ICRAF
Sayes, E. (2014). Actor-Network Theory and methodology: just what does it mean to say that nonhumans have agency? Soc. Stud. Sci. 44, 134–149. doi: 10.1177/0306312713511867
Scoones, I. (2015). Sustainable Livelihoods and Rural Development. Blackpoint Nova Scotia: Fernwood Pub. doi: 10.3362/9781780448749
Sharma, G. P., Pandit, R., White, B., and Polyakov, M. (2020). The income diversification strategies of smallholders in the hills of Nepal. Dev. Policy Rev. 38, 804–825. doi: 10.1111/dpr.12462
Simmons, C., Walker, R., Perz, S., Aldrich, S., Caldas, M., Pereira, R., et al. (2010). Doing it for themselves: direct action land reform in the Brazilian Amazon. World Dev. 38, 429–444. doi: 10.1016/j.worlddev.2009.06.003
Tey, Y. S., and Brindal, M. (2024). A meta-analysis of factors speeding the adoption of agricultural intensification methods in Africa. J. Agric. Educ. Ext. 30, 521–534. doi: 10.1080/1389224X.2023.2240758
Thaler, G. M., Viana, C., and Toni, F. (2019). From frontier governance to governance frontier: the political geography of Brazil's Amazon transition. World Dev. 114, 59–72. doi: 10.1016/j.worlddev.2018.09.022
Undurraga, J. T., and Pokorny, B. (2024). Rural development opportunities through contextual interventions: a systematic review. Environ. Dev. Sustain. doi: 10.1007/s10668-024-05245-6
USAID. (2016). El Modelo de Desarrollo Alternativo de la Región San Martín: Un estudio de caso de Desarrollo Económico Local (DEL). USAID.
van der Ploeg, J. D. (2014). Peasants and the Art of Farming: A Chayanovian Manifesto. Rugby: Practical Action Publishing. doi: 10.3362/9781780448763.000
Vargas Gonzáles, C., Rojas Baez, E., Castillo Soto, D., Espinoza Mendoza, V., Calderón-Urquizo Carbonel, A., and Giudice Granados, R. (2014). Protocolo de Clasificación de Pérdida de Cobertura en los Bosques Húmedos Amazónicos entre los años 2000–2011. Lima: MINAM.
Voth-Gaeddert, L. E., Divelbiss, D. W., and Oerther, D. B. (2015). Utilizing structural equation modeling to correlate biosand filter performance and occurrence of diarrhea in the village of Enseado do Aritapera in Para, Brazil. Water Supply 15, 164–172. doi: 10.2166/ws.2014.101
Whayne, J. M. (2024). The Oxford Handbook of Agricultural History. New York, NY, USA: Oxford University Press. doi: 10.1093/oxfordhb/9780190924164.001.0001
Woodhill, J., Kishore, A., Njuki, J., Jones, K., and Hasnain, S. (2022). Food systems and rural wellbeing: challenges and opportunities. Food Sec. 14, 1–23. doi: 10.1007/s12571-021-01217-0
Wunder, S. (2015). Revisiting the concept of payments for environmental services. Ecol. Econ. 117, 234–243. doi: 10.1016/j.ecolecon.2014.08.016
Wunder, S., Noack, F., and Angelsen, A. (2018). Climate, crops, and forests: a pan-tropical analysis of household income generation. Envir. Dev. Econ. 23, 279–297. doi: 10.1017/S1355770X18000116
Yoshida, N, and Deichmann, U. (2009). Measurement of accessibility and its applications. J. Infrastruct. Dev. 1, 1–16. doi: 10.1177/097493060900100102
Keywords: small-scale farmers, forest frontiers, local development, Peruvian amazon, contextual changes
Citation: Undurraga JT, Pokorny B, Vargas R, Reyes M, De Jong W and Robiglio V (2025) Development pathways in forest frontiers: contextual changes and local responses of small-scale farmers in the Peruvian amazon. Front. For. Glob. Change 8:1647001. doi: 10.3389/ffgc.2025.1647001
Received: 14 June 2025; Accepted: 10 September 2025;
Published: 30 September 2025.
Edited by:
Prashant Sharma, National Academy of Agricultural Research Management (ICAR), IndiaReviewed by:
Vaishali Sharma, Dr. Yashwant Singh Parmar University of Horticulture and Forestry, IndiaSatya Prakash Vishwakarma, Mahatma Gandhi Udyanikee and Vanikee Vishwavidyalaya, India
Karin Begazo, Universidad Nacional Agraria La Molina, Peru
Salamatu Joana Tannor, Rhine-Waal University of Applied Sciences, Germany
Copyright © 2025 Undurraga, Pokorny, Vargas, Reyes, De Jong and Robiglio. This is an open-access article distributed under the terms of the Creative Commons Attribution License (CC BY). The use, distribution or reproduction in other forums is permitted, provided the original author(s) and the copyright owner(s) are credited and that the original publication in this journal is cited, in accordance with accepted academic practice. No use, distribution or reproduction is permitted which does not comply with these terms.
*Correspondence: José Tomás Undurraga, am9zZS51bmR1cnJhZ2FAd2FsZGJhdS51bmktZnJlaWJ1cmcuZGU=