ORIGINAL RESEARCH article
Front. Pain Res.
Sec. Pain Research Methods
Comparing Self-Reported Sleep Quality and Wearable-Derived Sleep Metrics in Middle-Aged and Older Adults with Chronic Pain: A Psychometric Study
Provisionally accepted- 1Department of Community Dentistry and Behavioral Science, University of Florida, Gainesville, United States
- 2Department of Health Outcomes & Biomedical Informatics, University of Florida, Gainesville, United States
- 3Department of Anesthesiology, University of Florida, Gainesville, United States
- 4Department of Clinical and Health Psychology, University of Florida, Gainesville, United States
Select one of your emails
You have multiple emails registered with Frontiers:
Notify me on publication
Please enter your email address:
If you already have an account, please login
You don't have a Frontiers account ? You can register here
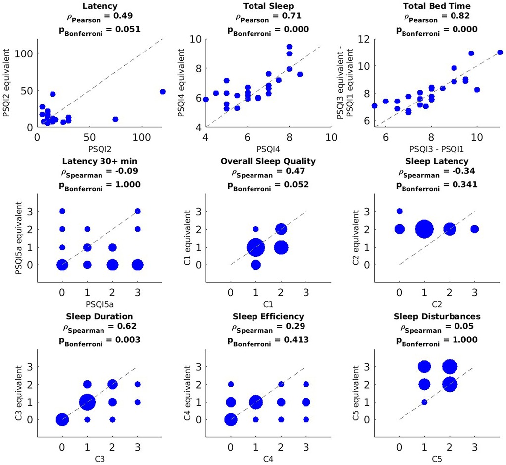
Objectives Our primary aim was to evaluate the agreement between subjective and objective methods of measuring sleep quality in people with musculoskeletal pain and poor sleep. Secondly, we aimed to explore the relationship between subjective and objective sleep quality with clinical and experimental pain as well as its impact on function. Methods Participants with musculoskeletal pain (intensity>5/10 most days in past 3 months) and poor sleep (PSQI total>5) (n=33), completed the Pittsburgh Sleep Quality Index (PSQI) and wore a wearable ring that characterizes sleep stages (i.e., Oura© ring). The equivalent of PSQI's answers over the last month were compared to the average appropriate Oura measure using zero-order correlations (primary aim). Partial Pearson correlations were used to assess sleep-pain relationships (second aim)—controlling for age and sex. Statistical significance was set at α < 0.05 with Bonferroni correction. Results PSQI responses for total bedtime (p < 0.0005), sleep duration (p < 0.0005), and the PSQI duration component (p < 0.003) significantly correlated with their Oura-derived equivalents, whereas Oura measures of sleep latency, efficiency, and disturbances showed no alignment with PSQI metrics. PSQI total score and its sleep latency component were significantly associated with pain measures, including WOMAC pain (p = 0.022; latency p = 0.009), MPQ (total p = 0.026; latency p = 0.008; neuropathic p = 0.026, latency p = 0.011; continuous p = 0.026; intermittent p = 0.026, latency p = 0.008; affective—latency p = 0.008), and GCPS pain intensity (p = 0.026; latency p = 0.012) as well as interference (latency p = 0.008). By contrast, Oura's sleep measures showed no significant associations with pain, except for sleep latency, which correlated with conditioned pain modulation (p = 0.049). All p values are Bonferroni-corrected. Conclusions This preliminary study provides valuable insights into the complementary roles of subjective and objective sleep assessments in older adults with chronic pain. The findings underscore the importance of integrating both approaches to refine sleep evaluation in individuals with musculoskeletal pain. Future research should further examine the feasibility and clinical utility of combining subjective and objective assessments to enhance understanding of sleep-and pain-related health outcomes.
Keywords: Oura Ring, subjective sleep, objective sleep, Clinical pain, Experimental Pain
Received: 12 Sep 2025; Accepted: 13 Nov 2025.
Copyright: © 2025 Montesino-Goicolea, Valdes-Hernandez, Nin, Smith, Porges and Cruz-Almeida. This is an open-access article distributed under the terms of the Creative Commons Attribution License (CC BY). The use, distribution or reproduction in other forums is permitted, provided the original author(s) or licensor are credited and that the original publication in this journal is cited, in accordance with accepted academic practice. No use, distribution or reproduction is permitted which does not comply with these terms.
* Correspondence: Yenisel Cruz-Almeida, cryeni@ufl.edu
Disclaimer: All claims expressed in this article are solely those of the authors and do not necessarily represent those of their affiliated organizations, or those of the publisher, the editors and the reviewers. Any product that may be evaluated in this article or claim that may be made by its manufacturer is not guaranteed or endorsed by the publisher.
