SYSTEMATIC REVIEW article
Front. Pain Res.
Sec. Pain Research Methods
This article is part of the Research TopicPain Physiology: Innovative Methods and Technologies to Assess and Treat Chronic PainView all 5 articles
Reporting and Methodological Quality of Systematic Reviews Underpinning Clinical Practice Guidelines for Low Back Pain: A Meta-epidemiological Study
Provisionally accepted- 1Oklahoma State University Center for Health Sciences, Tulsa, United States
- 2Baylor Scott & White Medical Center Temple, Temple, United States
- 3Northeastern Health System, Tahlequah, United States
- 4Oklahoma State University Medical Center, Tulsa, United States
- 5Duke University School of Medicine, Durham, United States
- 6The University of Oklahoma School of Community Medicine, Tulsa, United States
Select one of your emails
You have multiple emails registered with Frontiers:
Notify me on publication
Please enter your email address:
If you already have an account, please login
You don't have a Frontiers account ? You can register here
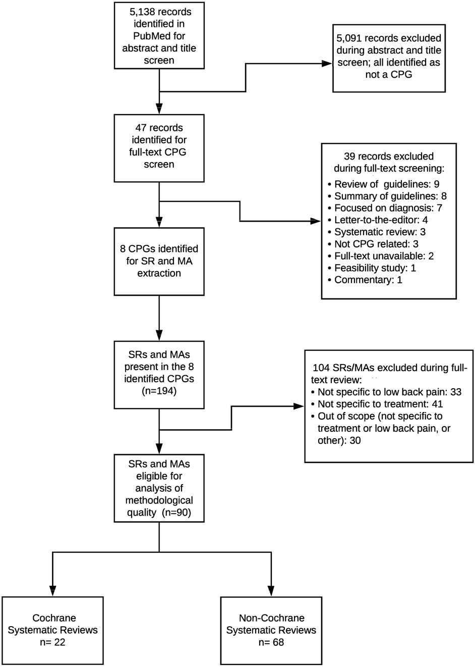
Background: Low back pain (LBP) is the leading musculoskeletal disorder worldwide and a major cause of disability, health care utilization, and economic burden. Clinical practice guidelines (CPGs) aim to optimize care but depend heavily on systematic reviews (SRs). The reporting and methodological quality of SRs underpinning LBP CPGs remain unclear. Objectives: To conduct a meta-epidemiological assessment of the reporting and methodological quality of SRs cited in LBP CPGs and compare Cochrane versus non-Cochrane reviews. Methods: Design: Cross-sectional meta-epidemiological study. We identified English-language LBP CPGs published between 2017-2021 and extracted SRs underpinning therapeutic recommendations. Reporting quality was assessed using PRISMA and methodological quality using AMSTAR-2. Two reviewers performed masked, duplicate extraction with consensus resolution. Between-group comparisons used Wilcoxon rank-sum tests; prespecified subgroup analyses (by intervention domain) and an exploratory multivariable linear regression examined factors associated with PRISMA scores. Results: Eight CPGs cited 90 unique SRs. Mean PRISMA adherence was 83% (SD 12.2); 39% of SRs met ≥90% of items. Mean AMSTAR-2 adherence was 79.3% (SD 14.4); 24% were rated overall "high," while 14% were "low/critically low." Common deficits included protocol registration, justification of excluded studies, and assessment of small study/publication bias. Cochrane SRs (n=22) had higher PRISMA (91% vs 81%) and AMSTAR-2 (88% vs 76%) scores than non-Cochrane SRs (both p<0.001). Interventional technique SRs tended to have slightly lower PRISMA scores than pharmacologic SRs after adjustment, whereas noninvasive non-pharmacologic SRs were similar. In exploratory regression, higher AMSTAR-2 ratings and predominance of randomized trials were associated with higher PRISMA scores. Conclusions: SRs informing LBP CPGs show variable reporting and methodological quality with consistent shortfalls in protocol registration, exclusion justifications, and publication-bias assessment. Cochrane SRs outperformed non-Cochrane SRs yet comprised only a minority of the evidence base. Facilitating uptake of protocol registration, complete PRISMA-aligned reporting, transparent exclusion lists, and routine small-study bias assessment, alongside greater use of methodologically stronger SRs, could strengthen the evidentiary foundation of LBP guidelines.
Keywords: Low Back Pain, Clinical Practice Guidelines, Systematic reviews, Methodological quality, Evidence-Based Medicine
Received: 13 Sep 2025; Accepted: 13 Nov 2025.
Copyright: © 2025 Khan, Roberts, Frank, Lillie, Torgerson, Pierce, Relic, Khattab, Bright, Hartwell and Vassar. This is an open-access article distributed under the terms of the Creative Commons Attribution License (CC BY). The use, distribution or reproduction in other forums is permitted, provided the original author(s) or licensor are credited and that the original publication in this journal is cited, in accordance with accepted academic practice. No use, distribution or reproduction is permitted which does not comply with these terms.
* Correspondence: Adam Khan, adam.khan@okstate.edu
Disclaimer: All claims expressed in this article are solely those of the authors and do not necessarily represent those of their affiliated organizations, or those of the publisher, the editors and the reviewers. Any product that may be evaluated in this article or claim that may be made by its manufacturer is not guaranteed or endorsed by the publisher.
