ORIGINAL RESEARCH article
Front. Pediatr.
Sec. Pediatric Gastroenterology, Hepatology and Nutrition
Growth in children with biliary atresia before and after liver transplantation: a retrospective analysis
Provisionally accepted- Tianjin First Central Hospital, Tianjin, China
Select one of your emails
You have multiple emails registered with Frontiers:
Notify me on publication
Please enter your email address:
If you already have an account, please login
You don't have a Frontiers account ? You can register here
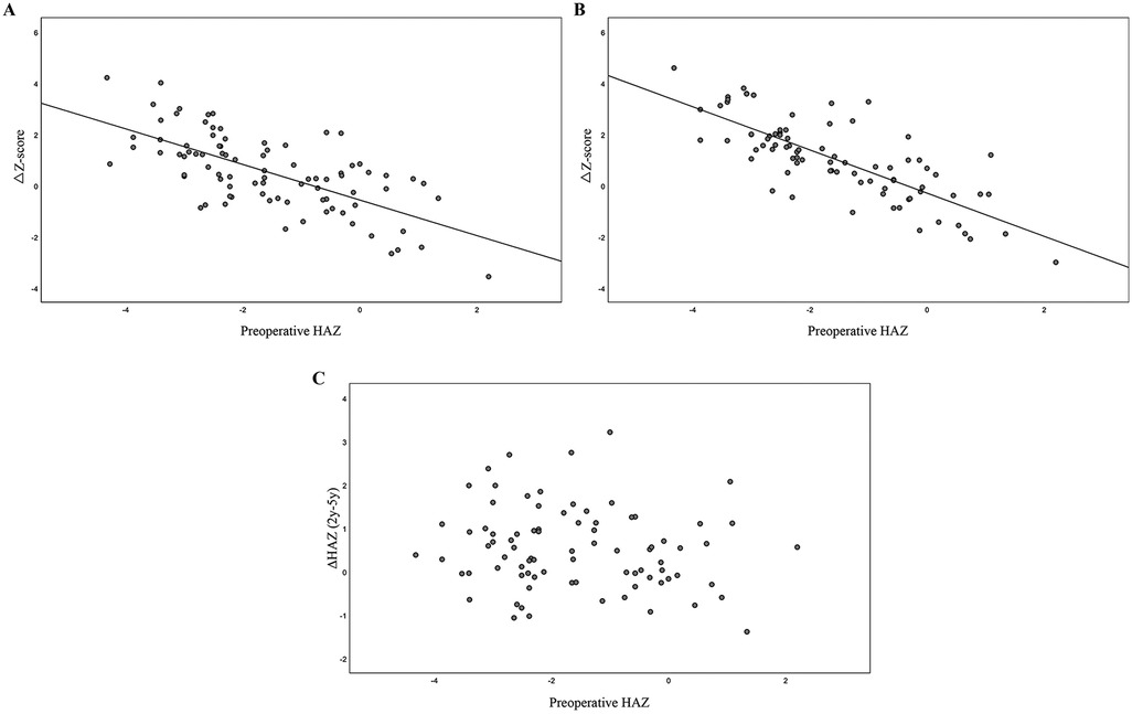
Background: Little is known about the long-term survival and growth outcomes of children following liver transplantation in China. Therefore, we investigated the long-term survival and growth status of children with biliary atresia (BA) before and after liver transplantation and attempted to identify specific influencing factors. Methods: We included children who underwent liver transplantation for BA at Tianjin First Central Hospital between January 2014 and December 2018. Clinical data, indicators of liver function, growth data, and ascites status were collected for analysis from all patients. Postoperative complications were systematically assessed using a combination of clinical, laboratory, histological, and imaging evaluations. Complications were categorized and graded according to the Clavien– Dindo classification system. Results: This study included a total of 93 children under 2 years of age who underwent liver transplantation for BA. No significant increase in height was observed six months post-transplantation when compared to pre-transplantation (P=0.126). A significant increase in the height-for-age Z-score occurred by year 2 (P=0.001). Preoperative growth was negatively correlated with growth improvement at 2-and 5-years after transplantation (P<0.001, r=−0.674 and r=−0.774, respectively). The occurrence of biliary complications was significantly associated with impaired catch-up growth post-transplantation (P = 0.008). The weight-for-age Z-score increased significantly over the first two years post-transplantation when compared with that before transplantation (P<0.001); subsequently, this parameter plateaued and exhibited only minimal changes. Conclusions: Growth retardation is common in children with BA prior to liver transplantation, with catch-up growth commencing six months post-surgery and peaking after two years. Children with more severe preoperative growth delays exhibited faster postoperative growth. Preoperative growth status exhibited only minimal impact on early liver function recovery post-transplantation.
Keywords: Biliary Atresia, Catch-up growth, Children, Liver Transplantation, Nutritional Status
Received: 29 Sep 2025; Accepted: 19 Dec 2025.
Copyright: © 2025 Wang, Zhang, Qi and Guo. This is an open-access article distributed under the terms of the Creative Commons Attribution License (CC BY). The use, distribution or reproduction in other forums is permitted, provided the original author(s) or licensor are credited and that the original publication in this journal is cited, in accordance with accepted academic practice. No use, distribution or reproduction is permitted which does not comply with these terms.
* Correspondence: Pingping Zhang
Disclaimer: All claims expressed in this article are solely those of the authors and do not necessarily represent those of their affiliated organizations, or those of the publisher, the editors and the reviewers. Any product that may be evaluated in this article or claim that may be made by its manufacturer is not guaranteed or endorsed by the publisher.
