Your new experience awaits. Try the new design now and help us make it even better

ORIGINAL RESEARCH article

Front. Public Health, 23 August 2024

Sec. Public Health Education and Promotion

Volume 12 - 2024 | https://doi.org/10.3389/fpubh.2024.1429939

This article is part of the Research TopicPublic Health Promotion and Medical Education Reform, volume IIIView all 25 articles

A study on the academic innovation ability and influencing factors of public health graduate students based on nomograms: a cross-sectional survey from Shandong, China

  • 1School of Public Health, Shandong Second Medical University, Weifang, China
  • 2Institute of Public Health Crisis Management, Shandong Second Medical University, Weifang, China
  • 3School of Management, Shandong Second Medical University, Weifang, China

Background: In recent years, the impact of the COVID-19 pandemic and various public crises has highlighted the importance of cultivating high-quality public health talents, especially those with innovative capabilities. This study focuses on the academic innovation ability of public health postgraduate students, which can provide important theoretical support for the cultivation of more public health workers with high innovative capabilities.

Methods: From May to October 2022, a cluster sampling method was used to select 1,076 public health postgraduate students from five universities in Shandong Province. A self-designed questionnaire survey was conducted. A chi-square test and binary logistic regression analysis were used to analyze the influencing factors of students’ academic innovation ability. Based on these factors, a nomogram was constructed to intuitively demonstrate the impact of these complex factors on students’ innovation ability.

Results: The results showed that gender, whether serving as a student leader, teacher-student relationship, academic motivation, learning style, academic environment, and teaching mode were the influencing factors of postgraduate students’ academic innovation ability. The column-line diagram (AUC = 0.892, 95% CI = 0.803 ~ 0.833) constructed based on the above influencing factors has good differentiation. The area under the ROC curve is 0.892 (95% CI = 0.803 ~ 0.833), and the calibration curve shows that the predicted value is the same as the measured value.

Conclusion: The nomogram constructed in this study can be used to predict the academic innovation level of public health graduate students, which is helpful for university education administrators to evaluate students’ academic innovation ability based on nomogram scores and carry out accurate and efficient training.

1 Introduction

The COVID-19 pandemic has made countries around the world realize that having a well-rounded public health workforce is an important guarantee for responding to public health crises, especially those with high-quality public health talents who can lead innovation and drive technological progress (1). As high-level talents in the future field of public health, graduate students in public health cultivate their academic innovation ability during their time at university so that they can become more innovative public health workers to respond to various public health disasters (2).

Over the past decade, the scale of postgraduate education in China has increased rapidly, making it the second-largest country in the world in this area of education (3). Unfortunately, the overall quality of graduate education in China is inadequate, and graduate students’ lack of innovation ability is considered a significant problem in graduate education (4). There is an urgent need to address the obvious contradiction between the lack of public health human innovation capacity and the increasing complexity of local public health emergency tasks (5, 6). Therefore, in-depth research must be conducted on the cultivation of innovation ability in graduate students’ education in public health, and the problems and influencing factors in students’ training must be clarified.

The existing research on the influencing factors of graduate students’ innovation ability mainly focuses on the influence of mentor support and guidance style, creative self-efficacy, cognitive skills, and early research experience on graduate students’ innovation ability (79). The psychologist Amabile proposed the componential theory of creativity (10) and Woodman proposed the interactional model of creativity (11), revealing the influence mechanism of personal endowment and external environmental variables on innovation ability, including knowledge, intrinsic motivation, cognitive ability, and personality. The external environment includes external evaluation, reward, and supervision. Subsequent studies have also explored the influencing factors affecting the academic innovation ability of public health graduate students from both individual and environmental aspects. A systematic review of this literature shows that individual factors mainly include academic motivation, learning style, and scientific research participation (12, 13), while environmental factors mainly include academic environment, teaching mode, teacher-student relationship, academic support from tutors, academic platforms, training models, and degree policy requirements (1417).

It is worth noting that although a large number of studies have explored the influencing factors of graduate students’ innovation ability, lack of research in the field of public health persists. Most of the existing studies do not distinguish between disciplines but include all graduate students in various disciplines in the research scope to explore the cultivation of such students’ innovation ability and analyze the influencing factors. In addition, many studies tend to explore the impact on innovation ability from only one perspective, such as external factors (e.g., mentoring style) or individual factors (e.g., self-efficacy) (1820). Research on graduate students’ innovation ability in the field of public health from the perspective of comprehensive factors is lacking.

Nomograms can quantify the risk of an event through a variety of predictors, visually showing the results of logistic regression (21). At present, nomograms are widely used in the prediction of clinical diseases and show good predictive ability in the study of non-clinical problems, such as the prediction of undergraduate students’ self-regulated learning level (22), the risk of adolescent bullying (23), and primary and secondary school students’ suicidal tendency (24). Therefore, nomograms can be applied to the quantitative prediction and evaluation of the influencing factors of academic innovation to provide more accurate theoretical support for the improvement of the innovation level of public health graduate students.

2 Materials and methods

2.1 Research design and data sources

From May to October 2022, this cross-sectional study used a cluster sampling method to select five universities in Shandong Province with this the public health major as survey sites; all public health graduate students from the five universities were selected as survey participants. In light of strict COVID-19 control measures, data were collected online through the use of Wenjuanxing. Wenjuanxing is a professional online survey tool with comprehensive data collection and privacy protection features. The purpose of this study and the privacy policy were explained to participants, who could decide whether or not to complete the questionnaire after reading the questionnaire instructions. Before the start of the questionnaire, participants were required to check the following: “I have read and agree to participate in this study,” indicating that they were willing to participate and provide informed consent. To ensure the quality of the questionnaire, questionnaires with a filling time of less than 5 min and incomplete filling were excluded.

We used WeChat to distribute the surveys, given the high popularity and convenience of the platform. First, we established close cooperation with the five universities in Shandong Province with public health-related majors and appointed investigators from each university as our liaison. These investigators were rigorously screened and trained to ensure that they had a thorough understanding of the purpose of the study, the content of the questionnaire, and the distribution process. After, the investigators contacted the heads of public health disciplines at their respective institutions to introduce the importance of the study, the content of the questionnaire, and the precautions for filling it out. After, the heads of the disciplines forwarded the link to all class representatives in each school year to ensure that every student would promptly receive the link to the questionnaire and clearly understand the meaning and requirements of filling it out. From a total of 1,255 graduate students, 1,150 questionnaires were collected, with a response rate of 91.64%. Seventy-four invalid questionnaires were eliminated; 1,076 valid questionnaires were valid, with an effective rate of 93.57%.

2.2 Questionnaire

Combined with the characteristics of expert consultation, preliminary research foundation (2529), and the subjectivity, initiative, and practicality of Chinese public health graduate students, we compiled the Questionnaire on Academic Innovation Ability of Public Health Graduate Students. After the questionnaire was completed, we conducted a pilot test at Shandong Second Medical University. In response to the problems in the pilot test process, we modified the questionnaire. The questionnaire consisted of three parts: demographic information, questionnaire on academic innovation ability, and questionnaire on influencing factors of academic innovation ability.

The questionnaire on academic innovation ability included four dimensions: personal traits (4 items), professionalism (6 items), basic abilities (5 items), and thinking characteristics (2 items). Each item adopted a 5-level Likert scoring system, and was assigned 1–5 points ranging: “very disagreeable,” “somewhat dissatisfied,” “somewhat compliant,” “compliant,” and “very consistent.” The higher the score, the higher the individual academic innovation ability. The total score ranged from 43 to 215, and a score of >129 indicates high academic innovation ability; otherwise, scores were recorded as low academic innovation ability (30, 31). In this study, Cronbach’s alpha of the four dimensions of personal traits, professional qualities, basic abilities, and thinking characteristics were 0.967, 0.960, 0.951, and 0.901, respectively, indicating that the questionnaire had good reliability. The Kaiser-Meyer-Olkin (KMO) value was 0.984, which verified the construct validity of the questionnaire construction.

The design of the influencing factors of academic innovation ability was mainly based on the previously published literature represented by Amabile’s innovation ability component theory and Woodman’s innovation ability interaction model. The influencing factors were divided into two dimensions: individual and environment. Among them, the individual dimension mainly covers sex, degree, degree type, student leadership, scientific research participation, academic motivation, and learning style. The environmental dimension mainly covered academic platform, teacher-student relationship, tutor academic support, academic environment, training mode, degree requirement policy, and teaching mode. The above factors formed the academic innovation ability questionnaire, and the content of the survey was mainly in the form of students’ own attitudes and cognitions. In this study, Cronbach’s alpha of the questionnaire was 0.847, indicating that the scale has good internal consistency and reliability. The KMO value was 0.831, which verified that the questionnaire had good construct validity.

2.3 Statistical methods

SPSS26.0 and R version 4.3.1 software were used for data analysis; the measurement data were expressed as mean ± standard deviation and the count data were expressed as the number of cases and percentage (%). The t-test was used for the comparison of quantitative data between groups; The χ2 test was used for the comparison of categorical data between groups, and binary logistic regression was used for the analysis of influencing factors; the difference was statistically significant, with p < 0.05. According to the identified influencing factors, a nomogram was constructed to predict the academic innovation ability of graduate students in public health. The receiver operating characteristic (ROC) curve, area under the ROC curve (AUC), and calibration curve were used to evaluate the prediction accuracy and consistency of the model.

2.4 Ethics approval

This study was approved by the Ethics Committee of Weifang Medical University (No. 2021YX130, Weifang Medical University was renamed Shandong Second Medical University in December 2023). Prior to the study, all participants were informed of the study’s research purpose and content and provided informed consent online.

3 Results

3.1 Statistical analysis of the description of the academic innovation ability of graduate students in public health

As shown in Table 1, the graduate students’ academic innovation ability scored 3.50 ± 0.71. Among the four dimensions, professionalism scored the highest, with an average score of 3.65 ± 0.73, while the other dimensions scored an average of 3.5 or less; personal traits scored an average of 3.31 ± 0.86, basic abilities averaged 3.47 ± 0.76, and thinking characteristics scored an average of 3.48 ± 0.81. Among the secondary indicators, postgraduate career planning scored the highest, with a mean score of 3.82 ± 0.87. Psychological adaptation and decision-making ability scored the lowest, with 3.29 ± 0.89 and 3.29 ± 0.96, respectively.

Table 1
www.frontiersin.org

Table 1. Score on the academic innovation ability of public health graduate students.

The radar chart in Figure 1 shows the academic innovativeness scores of different postgraduate students. As shown in Figure 1, there is a difference in the academic innovativeness scores of different students. Students with low academic innovativeness scored between 2 and 3, while all the students with high academic innovativeness scored more than 4. The average graduate student score was about 3. Across all items, both categories of postgraduate students had higher mean scores on professionalism (3.27 and 4.32, respectively) and lower scores on personal traits, which were particularly pronounced for postgraduate students with low levels of academic innovativeness.

Figure 1
www.frontiersin.org

Figure 1. Radar chart of the scores of the two types of graduate students on academic innovation ability.

As shown in Table 2, a total of 1,076 postgraduate students were surveyed in this study, including 753 cases in the modeling group and 323 cases in the validation group. There were 409 cases (38%) of males and 667 cases (62%) of females. Most of the study participants were in the master’s degree segment, accounting for 92.2%. Professional degrees had the highest number, accounting for 73%. More graduate students did not serve as student leaders, accounting for 60.7%. Among the postgraduate students with different genders, degree, whether they served as student cadres, academic platforms, teacher-student relationships, scientific research participation, academic motivation, learning style, academic support from supervisors, academic environment, training mode, degree requirement policy perception, and teaching mode were statistically significant (p < 0.05) in different academic innovation capabilities.

Table 2
www.frontiersin.org

Table 2. General characteristics and univariate analysis of public health graduate students.

3.2 Analysis of factors influencing public health postgraduate students’ academic innovation capacity

The results of the logistic regression analyses in Table 3 show that gender, whether or not they are student leaders, teacher-student relationships, academic motivation, learning styles, academic environment, and teaching modes are influential factors in the academic innovativeness of public health postgraduate students. Males were 1.769 times more likely than females to have high levels of innovation (95% CI = 1.255–2.492). Graduate students who served as student leaders were 1.616 times more likely to have high levels of academic innovativeness than those who did not (95% CI = 1.149, 2.273). For every 1-point increase in the self-scoring score of the student-faculty relationship, the likelihood of having a high level of academic innovativeness increased by 1.83 times (95% CI: 1.478–2.264). In addition, the likelihood of having a high level of academic innovativeness increases by 2.04 times (95% CI: 1.567–2.657), 2.909 times (95% CI: 2.185–3.872), and 1.646 times (95% CI: 1.288–2.103) for each 1-point increase in the self-rating scores of Academic Motivation, Learning Styles, Academic Environment, and Teaching Mode, respectively, 2.331 times (95% CI: 1.849–2.939).

Table 3
www.frontiersin.org

Table 3. Logistic regression analysis of the influencing factors of academic innovation ability of graduate students.

3.3 Construction of nomogram of academic innovation ability of graduate students in public health

Based on the results of logistic regression analyses, we further constructed a nomogram by combining variables including sex, whether serving as a student leader, teacher-student relationship, academic motivation, learning style, academic environment, and teaching mode. As shown in Figure 2, the values of each factor correspond to the individual scores in the first row of the nomogram; the scores of the seven risk factors are added together to obtain the total score. The higher the total score, the more likely the student is to have a high level of academic innovation. As shown in Figure 2, the values of each factor correspond to the individual scores in the first row of the nomogram; the scores of the seven risk factors are added together to obtain the total score. The higher the total score, the more likely the student is to have a high level of academic innovation. For example, if a female student is a student leader and her self-rating scores for academic motivation, learning style, academic environment, and teaching mode are 4, 5, 5, 5, and 3, respectively, then the nomogram corresponds to 0, 13, 52, 82, 100, 68, and 48, respectively, with a total score of 363, indicating that the probability of the graduate student’s high level of academic innovation is greater than 90%. A high score on the nomogram indicates that the student’s academic innovation ability will be high. Conversely, a low score indicates that the student’s academic innovation ability will be low. Therefore, educators can improve the nomogram score by reinforcing one or more of the influencing factors for different individual students to improve students’ academic innovation ability. Furthermore, educators can also evaluate students’ academic innovation ability potential based on nomogram scores to carry out accurate and efficient training.

Figure 2
www.frontiersin.org

Figure 2. A nomogram predicting the academic innovation capacity of graduate students.

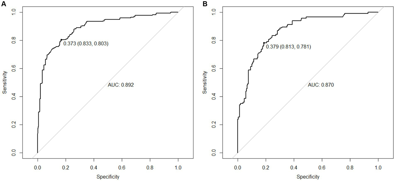
The AUC = 0.892 (95%CI = 0.803 ~ 0.833) of the model indicates that the nomogram has a good degree of discrimination. The model was applied to the test set, as shown in Figure 3, AUC = 0.870 (95%CI = 0.781 ~ 0.813), indicating that the nomogram still had a good degree of discrimination. As shown in Figure 4, the calibration plot shows that the predicted values are in good agreement with the actual values.

Figure 3
www.frontiersin.org

Figure 3. ROC curve of the nomogram prediction model. (A) ROC curve of the training set. (B) ROC curve of the validation set.

Figure 4
www.frontiersin.org

Figure 4. Calibration curves of nomograms. (A) Calibration curves of the training set. (B) Calibration curves for the test set.

4 Discussion

In recent years, the impact of the COVID-19 pandemic and various public crises indicates that we should pay attention to public health disciplines and reform the traditional teaching mode according to current times and student characteristics (32). Focusing on the academic innovation ability of graduate students majoring in public health, this study designed a questionnaire to carry out a cross-sectional survey to clarify the current situation and existing problems of graduate students’ academic innovation ability and used logistic regression to determine the influencing factors and predictors of the academic innovation level of graduate students in public health. It provides strong theoretical support for improving the innovation ability of public health graduate students and cultivating more high-quality public health manpower.

The study found that the level of academic innovation of public health graduate students was not high, with an average score of 3.50 ± 0.71, consistent with earlier studies (33). Among them, the professional quality score was the highest, with an average score of 3.65 ± 0.73. This suggests that public health graduate students have a strong sense of career planning and teamwork, which is consistent with other findings (34). In addition, the personal trait score was the lowest (3.37 ± 0.78), especially in the psychological adjustment index (3.29 ± 0.89), which was also consistent with the results of earlier studies (35). Studies have shown that graduate students face heavy research tasks, work uncertainty, interpersonal communication, and other pressures (36, 37), and their self-regulation ability is limited. When students’ psychological pressure is overloaded and their regulation is out of control, negative emotions such as depression and anxiety occur, which affect students’ research progress, career development, academic efficiency, and personal life (38). Therefore, the managers of graduate education should pay attention to strengthening the investment of resources to ensure graduate students’ mental health and the construction of facilities for psychological counseling services to continuously improve their psychological resilience and adaptability.

Personal factors are the foundation of and an important motivation for graduate students’ academic innovation. Among them, academic motivation is closely related to innovation tendency (39), and motivation can be regarded as a necessary “starting ingredient” in the innovation process. In this study, there was a positive correlation between learning motivation and academic innovation ability, and strong learning motivation could promote students’ academic creation. This may be because when students have strong individual initiative, they are more willing to devote energy to tackling challenging tasks, which is consistent with other studies (40, 41) and further validates the role of individual internal factors on academic innovation ability in theory. The learning style of this study emphasizes whether individuals can acquire knowledge stably, continuously, and effectively, and fully discover and make use of surrounding resources. Through the reorganization of existing knowledge and the independent transformation of university resources, students can cultivate independent thinking, problem analysis, and problem-solving skills, which are conducive to creative problem-solving and improving the level of academic innovation (12, 42).

Studies have shown that men have a higher level of academic innovation than women, which is consistent with the results of other studies (43). This may be due to personality differences between genders, resulting in differences in academic innovation. In general, men are more adventurous and independent, which can help inspire innovation. Comparatively, women may be more secure and detail-oriented. This difference may also be related to the way the scale is self-rated (44); men have higher levels of self-esteem than women (45) and men may rate themselves higher when self-rating indicators, leading to a higher level of innovation. In actual research, the diversity of gender composition in the team can promote scientific discovery and innovation potential, so it is necessary to give full play to the creative advantages of different genders (46, 47). Graduate students who serve as student leaders have a higher level of academic innovation ability. During their tenure as student leaders, students improve their planning, cooperation, communication, and time management skills through the completion of organizational activities. These enhancements enable them to integrate resources more effectively, thereby demonstrating greater innovation and practice in academic research (48, 49). Further, they usually have more opportunities and access to a variety of academic resources, which can help them broaden their horizons and up-do-date with the latest research developments, thereby promoting academic innovation.

Moreover, the conclusion that environmental factors affect the academic innovation of graduate students in an indirect way has been widely recognized by scholars. The environmental factors in this study mainly include the academic environment, teacher-student relationship, and teaching mode. Studies have shown that a good academic environment can improve graduate students’ academic innovation ability. The academic environment is the creation of a positive or negative human environment that affects an individual’s ability to innovate academically (50). This study focuses on the attitudes that individuals perceive as being supported or resisted by society and those around them toward academic innovation. By creating a positive environment, students’ intrinsic motivation for scientific research can be stimulated and their enthusiasm for academic innovation can be enhanced (51, 52). In graduate education, the supervisor is primarily responsible for the training of graduate students, and the teacher-student relationship has an important impact on the cultivation of students’ academic innovation ability. A good teacher-student relationship is convenient for full communication and trust between teachers and students. Additionally, tutors can better guide and help students carry out various learning activities, and students also actively absorb experience and knowledge to improve their academic innovation ability; similar results have been found in other studies (16, 53, 54). Teaching mode is also an important factor affecting graduate students’ academic innovation ability. Encouraging academic innovation through teaching mode can improve students’ sense of innovation, resulting in creativity and students actively carrying out scientific research. Research shows that the multidisciplinary integrated teaching mode can promote the cultivation of students’ academic innovation ability. By integrating other disciplines into public health teaching, students can broaden their horizons and cultivate interdisciplinary talents, using new knowledge and skills in multiple fields to create academics and improve their academic innovation ability (15, 55, 56). Some scholars have proposed the collaboration-inquiry teaching model, which is organized and implemented in three rounds, proving that this teaching model can cultivate and improve students’ innovation ability (57). By reforming the traditional teaching model, students can be stimulated to independently innovate (58). In this study, a good academic environment, teacher-student relationship, and teaching mode all positively affect academic innovation ability and confirm the importance of implementing these environments, relationships, and modes to improve graduate students’ academic innovation ability of in public health.

The nomogram constructed in this study can be used to evaluate the academic innovation level of public health graduate students in China. The AUC = 0.892 (95%CI = 0.803 ~ 0.833) of the nomogram indicated that the nomogram had good discrimination, and the calibration chart showed that the predicted value was in good agreement with the actual value. Based on the above findings, the training institutions of public health graduate students can rely on this nomogram to quickly identify students whose academic innovation ability needs to be improved and take targeted measures, such as enhancing learning motivation, improving teaching mode, and optimizing the academic atmosphere. This effectively responds to the challenges of public health education, helps universities to cultivate more high-quality talents with both innovation and practice, and provides a scientific basis and practical path for the high-quality innovation and development of public health graduate education in China.

There are some limitations in this study. First, the survey subjects are mainly from one region of China, and there may be an issue of regional homogeneity of the sample. Thus, in future research, it is necessary to further expand the sample size, carry out the survey in more regions of China, and conduct inter-regional comparative analysis. Second, we mainly used self-reported measurements from respondents, which were prone to bias. This may be further solved by adding categories of survey respondents. For example, the survey data from the perspective of graduate students’ tutors can be collected at the same time; the results of other people’s evaluations can be compared with the students’ self-evaluation and the results of the comparative analysis can be supplemented by the results of this study.

5 Conclusion

The influencing factors of public health graduate students’ academic innovation ability mainly include gender, whether they are currently serving as student leaders, teacher-student relationship, academic motivation, learning style, academic environment, and teaching mode. The nomogram model constructed in this study can be used to predict the academic innovation level of public health graduate students, which is helpful for university education administrators to evaluate students’ academic innovation ability based on nomogram scores and carry out accurate and efficient training.

Data availability statement

The raw data supporting the conclusions of this article will be made available by the authors, without undue reservation.

Ethics statement

The studies involving humans were approved by the Ethics Committee Board of Weifang Medical University. The studies were conducted in accordance with the local legislation and institutional requirements. The participants provided their written informed consent to participate in this study.

Author contributions

XW: Data curation, Formal analysis, Writing – original draft, Conceptualization. PG: Data curation, Methodology, Writing – original draft. XC: Investigation, Methodology, Writing – original draft. WC: Data curation, Funding acquisition, Supervision, Writing – review & editing, Investigation. HA: Supervision, Writing – review & editing, Data curation, Funding acquisition, Investigation.

Funding

The author(s) declare financial support was received for the research, authorship, and/or publication of this article. This study was funded by the Chinese Association of Higher Education (23PG0411), the National Natural Science Foundation of China (72104186), the Ministry of Education of the People’s Republic of China (20YJCZH002), the Medical Education Research Center (YJKT202126), the Education and Teaching Research Project of Weifang Medical University (2023YJS009), and the Shandong Provincial Education Planning Project (2023ZC168).

Conflict of interest

The authors declare that the research was conducted in the absence of any commercial or financial relationships that could be construed as a potential conflict of interest.

Publisher’s note

All claims expressed in this article are solely those of the authors and do not necessarily represent those of their affiliated organizations, or those of the publisher, the editors and the reviewers. Any product that may be evaluated in this article, or claim that may be made by its manufacturer, is not guaranteed or endorsed by the publisher.

References

1. Drucker, J. Reconsidering the regional economic development impacts of higher education institutions in the United States. Reg Stud. (2016) 50:1185–202. doi: 10.1080/00343404.2014.986083

Crossref Full Text | Google Scholar

2. Ndejjo, R, Ssemugabo, C, Osuret, J, Zziwa, EB, Fonn, S, Alfvén, T, et al. Positioning Africa's public health doctoral students to Lead societal transformation and development. BMJ Glob Health. (2022) 7:e007996. doi: 10.1136/bmjgh-2021-007996

PubMed Abstract | Crossref Full Text | Google Scholar

3. Liu, X, Zou, Y, Ma, Y, and Gao, W. What affects Phd student creativity in China? A case study from the joint training pilot project. High Educ. (2020) 80:37–56. doi: 10.1007/s10734-019-00463-8

Crossref Full Text | Google Scholar

4. Rong, L, and Deng, F. An empirical analysis of quality assurance and innovation capability cultivation in graduate education: based on the 2017 National Graduate Education Satisfaction Survey. Chin J Educ Stud. (2018) 39:95–102.

Google Scholar

5. Li, J, Zhang, Z, Cao, L, Wei, M, Nei, J, He, N, et al. Research on the education development of public health colleges under the background of healthy China strategy. Strat Study Chinese Acad Eng. (2023) 25:55–63. doi: 10.15302/J-SSCAE-2023.05.002

Crossref Full Text | Google Scholar

6. Chang, J, Shen, M, and Pan, A. Promote the cultivation of interdisciplinary public health talents and promote the construction of high-level public health schools. Chinese J Dis Control Control. (2023) 27:304–6. doi: 10.16462/j.cnki.zhjbkz.2023.03.010

Crossref Full Text | Google Scholar

7. Han, J, Liu, N, and Wang, F. Graduate students’ perceived supervisor support and innovative behavior in research: the mediation effect of creative self-efficacy. Front Psychol. (2022) 13:875266. doi: 10.3389/fpsyg.2022.875266

PubMed Abstract | Crossref Full Text | Google Scholar

8. Liu, F, Qu, S, Fan, Y, Chen, F, and He, B. Scientific creativity and innovation ability and its determinants among medical postgraduate students in Fujian Province of China: a cross sectional study. BMC Med Educ. (2023) 23:444. doi: 10.1186/s12909-023-04408-9

Crossref Full Text | Google Scholar

9. Liu, X, and Yuan, W. An integrated study on the influencing factors of graduate students’ innovation ability in China: a Masem analysis based on the theory of human Capital in Science and Technology. Chin J Chongqing High Educ Res. (2022) 10:92–102. doi: 10.15998/j.cnki.issn1673-8012.2022.04.010

Crossref Full Text | Google Scholar

10. Amabile, TM. The social psychology of creativity: a componential conceptualization. J Pers Soc Psychol. (1983) 45:357–76. doi: 10.1037//0022-3514.45.2.357

Crossref Full Text | Google Scholar

11. Woodman, RW, Sawyer, JE, and Griffin, RW. Toward a theory of organizational creativity. Acad Manag Rev. (1993) 18:293–321. doi: 10.5465/amr.1993.3997517

Crossref Full Text | Google Scholar

12. Yang, W, Green, AE, Chen, Q, Kenett, YN, Sun, J, Wei, D, et al. Creative problem solving in knowledge-rich contexts. Trends Cogn Sci. (2022) 26:849–59. doi: 10.1016/j.tics.2022.06.012

Crossref Full Text | Google Scholar

13. Wang, L, Cui, Y, Wang, X, Wang, J, Du, K, and Luo, Z. Regulatory focus, motivation, and their relationship with creativity among adolescents. Front Psychol. (2021) 12:666071. doi: 10.3389/fpsyg.2021.666071

PubMed Abstract | Crossref Full Text | Google Scholar

14. Patel, MS, and Chaikof, EL. Promoting creativity and innovation in a structured learning environment. Ann Surg. (2016) 264:39–40. doi: 10.1097/sla.0000000000001658

Crossref Full Text | Google Scholar

15. Liu, HY. Promoting creativity of nursing students in different teaching and learning settings: a quasi-experimental study. Nurse Educ Today. (2022) 108:105216. doi: 10.1016/j.nedt.2021.105216

PubMed Abstract | Crossref Full Text | Google Scholar

16. Xie, R, and Jiang, J. Creativity: the effectiveness of teacher-student conflict. Int J Environ Res Public Health. (2022) 19:1628. doi: 10.3390/ijerph19031628

PubMed Abstract | Crossref Full Text | Google Scholar

17. Andolsek, KM, Murphy, G, Nagler, A, Moore, PR, Schlueter, J, Weinerth, JL, et al. Fostering creativity: how the Duke graduate medical education quasi-endowment encourages innovation in Gme. Acad Med. (2013) 88:185–91. doi: 10.1097/ACM.0b013e31827c2b65

Crossref Full Text | Google Scholar

18. Pan, B, and Gu, J. The influence of mentoring factors on graduate students’ innovation ability: based on the difference analysis of different discipline categories. Chin J Degrees Graduate Educ. (2022) 4:52–60. doi: 10.16750/j.adge.2022.04.008

Crossref Full Text | Google Scholar

19. Wu, D. Research on the relationship between supervisors’ moral demonstration and doctoral students’ innovation ability in the field of humanities and social sciences. Chin J Graduate Educ Res. (2023) 2:53–61. doi: 10.19834/j.cnki.yjsjy2011.2023.02.08

Crossref Full Text | Google Scholar

20. Pan, B, and Gu, J. What are the factors that affect the innovation ability of graduate students in the training process? Chin J Jiangsu Higher Education. (2022) 2:74–81. doi: 10.13236/j.cnki.jshe.2022.02.010

Crossref Full Text | Google Scholar

21. Balachandran, VP, Gonen, M, Smith, JJ, and DeMatteo, RP. Nomograms in oncology: more than meets the eye. Lancet Oncol. (2015) 16:e173–80. doi: 10.1016/S1470-2045(14)71116-7

PubMed Abstract | Crossref Full Text | Google Scholar

22. Yang, J, Zhang, G, Huang, R, Yan, P, Hu, P, Huang, L, et al. Nomograms predicting self-regulated learning levels in Chinese undergraduate medical students. Front Psychol. (2020) 10:2858. doi: 10.3389/fpsyg.2019.02858

PubMed Abstract | Crossref Full Text | Google Scholar

23. Lv, J, Ren, H, Guo, X, Meng, C, Fei, J, Mei, H, et al. Nomogram predicting bullying victimization in adolescents. J Affect Disord. (2022) 303:264–72. doi: 10.1016/j.jad.2022.02.037

PubMed Abstract | Crossref Full Text | Google Scholar

24. Yan, J, Liu, Y, Yu, J, Liao, L, and Wang, H. Establishment and validation of a nomogram for suicidality in Chinese secondary school students. J Affect Disord. (2023) 330:148–57. doi: 10.1016/j.jad.2023.02.062

PubMed Abstract | Crossref Full Text | Google Scholar

25. Zhang, R, Gao, C, Chen, X, Yi, D, and Wu, Y. A study on the quality of postgraduate training for the professional degree of master of public health. China Health Stat. (2021) 38:10–33. doi: 10.3969/j.issn.1002-3674.2021.01.003

Crossref Full Text | Google Scholar

26. You, X, Bao, J, Xie, J, He, G, and Wang, L. The concept and practice of master of public health education in the context of healthy China. Chinese J Med Educ. (2019) 39:807–11. doi: 10.3760/cma.j.issn.1673-677X.2019.11.002

Crossref Full Text | Google Scholar

27. Yang, Y, and Bai, L. Research on the promoting effect of interdisciplinary training on doctoral students’ innovation ability: a perspective of threshold breakthrough. Chin Higher Educ Res China. (2022) 1:36–41. doi: 10.16298/j.cnki.1004-3667.2022.01.06

Crossref Full Text | Google Scholar

28. Ayas, MB, and Sak, U. Objective measure of scientific creativity: psychometric validity of the creative scientific ability test. Think Skills Creat. (2014) 13:195–205. doi: 10.1016/j.tsc.2014.06.001

Crossref Full Text | Google Scholar

29. Lau, S, and Cheung, PC. Creativity assessment: comparability of the electronic and paper-and-pencil versions of the Wallach–Kogan creativity tests. Think Skills Creat. (2010) 5:101–7. doi: 10.1016/j.tsc.2010.09.004

Crossref Full Text | Google Scholar

30. AlRasheed, MM, Alsugair, AM, Almarzouqi, HF, Alonazi, GK, Aleanizy, FS, Alqahtani, FY, et al. Assessment of knowledge, attitude, and practice of security and safety workers toward the COVID-19 pandemic: a cross-sectional study. Front Public Health. (2021) 9:631717. doi: 10.3389/fpubh.2021.631717

PubMed Abstract | Crossref Full Text | Google Scholar

31. Xiao, Y, Chen, T-t, Zhu, S-y, Li, C-y, and Zong, L. Factors associated with workplace violence against Chinese healthcare workers: an online cross-sectional survey. Front Public Health. (2024) 12:1295975. doi: 10.3389/fpubh.2024.1295975

PubMed Abstract | Crossref Full Text | Google Scholar

32. Abuelezam, NN. Teaching public health will never be the same. Am J Public Health. (2020) 110:976–7. doi: 10.2105/ajph.2020.305710

Crossref Full Text | Google Scholar

33. Yuan, B, and Yan, J. Analysis of the current situation and influencing factors of graduate students’ innovation ability in China: based on the results of three surveys on the quality of graduate education. Chin Peking Univ Educ Res. (2009) 7:12–20. doi: 10.19355/j.cnki.1671-9468.2009.02.003

Crossref Full Text | Google Scholar

34. Zhang, X, Huang, Q, Wei, H, and Zhao, B. Investigation of implicit medical professionalism of master students in clinical medicine in Guangxi. Chin Med Soc. (2018) 31:84–6. doi: 10.13723/j.yxysh.2018.03.026

Crossref Full Text | Google Scholar

35. Deng, L, and Wang, S. The mental health needs of graduate students in the new era: current situation and influencing factors: based on the survey and analysis of 15 universities in China. High Educ Res China. (2023) 4:83–8. doi: 10.16298/j.cnki.1004-3667.2023.04.12

Crossref Full Text | Google Scholar

36. Wang, Y, Tian, T, and Wang, J. A mediating model of mindfulness, sense of purpose in life and mental health among Chinese graduate students. BMC Psychol. (2022) 10:90. doi: 10.1186/s40359-022-00799-4

PubMed Abstract | Crossref Full Text | Google Scholar

37. Li, L, Zhu, M, Yao, A, Yang, J, and Yang, L. Daily stress, and mental health of professional degree graduate students in Chinese traditional medicine universities: the mediating role of learning career adaptation. BMC Med Educ. (2023) 23:627. doi: 10.1186/s12909-023-04614-5

Crossref Full Text | Google Scholar

38. Anttila, H, Lindblom-Ylänne, S, Lonka, K, and Pyhältö, K. The added value of a Phd in medicine - Phd students’ perceptions of acquired competences. Int J High Educ. (2015) 4:172–80. doi: 10.5430/ijhe.v4n2p172

Crossref Full Text | Google Scholar

39. Reader, SM, and Laland, KN. Animal innovation: an introduction. Oxford: Oxford University Press (2003).

Google Scholar

40. Zheng, Y. The influencing mechanism of learning motivation on college students’ innovative behavior: the mediating role of extracurricular activity participation. Fudan Educ Forum. (2023) 21:63–71. doi: 10.13397/j.cnki.fef.2023.05.008

Crossref Full Text | Google Scholar

41. Yang, Z, Zhou, Y, Chung, JWY, Tang, Q, Jiang, L, and Wong, TKS. Challenge based learning nurtures creative thinking: an evaluative study. Nurse Educ Today. (2018) 71:40–7. doi: 10.1016/j.nedt.2018.09.004

PubMed Abstract | Crossref Full Text | Google Scholar

42. Ma, Y, Yang, Y, and Gao, F. The mechanism and advantages of high-end platforms in cultivating doctoral students’ innovation ability: from the perspective of social capital and knowledge sharing. Chin High Educ Res China. (2020) 7:19–25. doi: 10.16298/j.cnki.1004-3667.2020.07.04

Crossref Full Text | Google Scholar

43. Yue, C, and Lv, Y. Analysis of the characteristics and influencing factors of the innovative spirit of master’s students. Fudan Educ Forum. (2015) 13:20–5. doi: 10.13397/j.cnki.fef.2015.06.004

Crossref Full Text | Google Scholar

44. Hora, S, Badura, KL, Lemoine, GJ, and Grijalva, E. A Meta-analytic examination of the gender difference in creative performance. Chin J Appl Psychol. (2022) 107:1926–50. doi: 10.1037/apl0000999

Crossref Full Text | Google Scholar

45. Kling, KC, Hyde, JS, Showers, CJ, and Buswell, BN. Gender differences in self-esteem: a meta-analysis. Psychol Bull. (1999) 125:470–500. doi: 10.1037/0033-2909.125.4.470

Crossref Full Text | Google Scholar

46. Nielsen, MW, Bloch, CW, and Schiebinger, L. Making gender diversity work for scientific discovery and innovation. Nat Hum Behav. (2018) 2:726–34. doi: 10.1038/s41562-018-0433-1

PubMed Abstract | Crossref Full Text | Google Scholar

47. Yang, Y, Tian, TY, Woodruff, TK, Jones, BF, and Uzzi, B. Gender-diverse teams produce more novel and higher-impact scientific ideas. Proc Natl Acad Sci USA. (2022) 119:e2200841119. doi: 10.1073/pnas.2200841119

PubMed Abstract | Crossref Full Text | Google Scholar

48. Burton, J, Gruber, T, and Gustafsson, A. Fostering collaborative research for customer experience - connecting academic and practitioner worlds. J Bus Res. (2020) 116:351–5. doi: 10.1016/j.jbusres.2020.04.058

PubMed Abstract | Crossref Full Text | Google Scholar

49. Clynes, M, Corbett, A, and Overbaugh, J. Why we need good mentoring. Nat Rev Cancer. (2019) 19:489–93. doi: 10.1038/s41568-019-0173-1

Crossref Full Text | Google Scholar

50. Richter, AW, Hirst, G, van Knippenberg, D, and Baer, M. Creative self-efficacy and individual creativity in team contexts: cross-level interactions with team informational resources. J Appl Psychol. (2012) 97:1282–90. doi: 10.1037/a0029359

PubMed Abstract | Crossref Full Text | Google Scholar

51. Byron, K, and Khazanchi, S. Rewards and creative performance: a meta-analytic test of theoretically derived hypotheses. Psychol Bull. (2012) 138:809–30. doi: 10.1037/a0027652

Crossref Full Text | Google Scholar

52. Manohar, SG, Finzi, RD, Drew, D, and Husain, M. Distinct motivational effects of contingent and noncontingent rewards. Psychol Sci. (2017) 28:1016–26. doi: 10.1177/0956797617693326

PubMed Abstract | Crossref Full Text | Google Scholar

53. Song, X, and Mei, H. Research on the interaction between teachers and students in the process of doctoral training: based on the perspective of doctoral students. Chin High Educ Res China. (2012) 8:50–4. doi: 10.16298/j.cnki.1004-3667.2012.08.012

Crossref Full Text | Google Scholar

54. Ma, Y, Wu, D, and Liu, X. Path analysis of the influence of teacher-student relationship on doctoral students’ innovation ability: the mediating role of academic interest. Chin Educ Res Tsinghua Univ. (2019) 40:117–25. doi: 10.14138/j.1001-4519.2019.06.011709

Crossref Full Text | Google Scholar

55. Jordan, EJ, Young, SJ, and Menachemi, N. Expanding the curriculum in a school of public health. Front Public Health. (2021) 9:700638. doi: 10.3389/fpubh.2021.700638

PubMed Abstract | Crossref Full Text | Google Scholar

56. Jia, P, Liu, S, and Yang, S. Innovations in public health surveillance for emerging infections. Annu Rev Public Health. (2023) 44:55–74. doi: 10.1146/annurev-publhealth-051920-093141

Crossref Full Text | Google Scholar

57. Zhong, B, and Liu, X. The academic mechanism of innovation ability cultivation and the construction of 4C teaching mode. Chin Res Modern Dis Educ. (2021) 33:20–32. doi: 10.3969/j.issn.1009-5195.2021.04.003

Crossref Full Text | Google Scholar

58. Bao, H, Kang, J, Li, Y, and Qi, H. Innovation and practice of “collaboration-inquiry” teaching mode based on design. Res Modern Dis Educ. (2015):70–8. doi: 10.3969/j.issn.1009-5195.2015.06.009

Crossref Full Text | Google Scholar

Keywords: nomogram, academic innovation ability, graduate student, public health, medical education reform, cross-sectional study, China

Citation: Wang X, Geng P, Chen X, Cai W and An H (2024) A study on the academic innovation ability and influencing factors of public health graduate students based on nomograms: a cross-sectional survey from Shandong, China. Front. Public Health. 12:1429939. doi: 10.3389/fpubh.2024.1429939

Received: 09 May 2024; Accepted: 06 August 2024;
Published: 23 August 2024.

Edited by:

Zhiyong Zhang, Guilin Medical University, China

Reviewed by:

Jeff Bolles, Francis Marion University, United States
Peizhong Peter Wang, Memorial University of Newfoundland, Canada

Copyright © 2024 Wang, Geng, Chen, Cai and An. This is an open-access article distributed under the terms of the Creative Commons Attribution License (CC BY). The use, distribution or reproduction in other forums is permitted, provided the original author(s) and the copyright owner(s) are credited and that the original publication in this journal is cited, in accordance with accepted academic practice. No use, distribution or reproduction is permitted which does not comply with these terms.

*Correspondence: Hongqing An, aG9uZ3FpbmdhbjAxQDEyNi5jb20=; Weiqin Cai, Y2Fpd3FAc2RzbXUuZWR1LmNu

Disclaimer: All claims expressed in this article are solely those of the authors and do not necessarily represent those of their affiliated organizations, or those of the publisher, the editors and the reviewers. Any product that may be evaluated in this article or claim that may be made by its manufacturer is not guaranteed or endorsed by the publisher.