ORIGINAL RESEARCH article
Front. Public Health
Sec. Aging and Public Health
This article is part of the Research TopicAge-Related Hearing Loss: From Pathogenesis to Therapy and Psychiatric ImpactView all 5 articles
Burden of hearing loss in people aged 60 years and older, 1990-2021: results from the Global Burden of Disease study
Provisionally accepted- 1Second Affiliated Hospital of Nanchang University, Nanchang, China
- 2Nanchang University, Nanchang, Jiangxi Province, China
- 3First Affiliated Hospital of Jilin University, Changchun, Jilin Province, China
- 4Southwest Medical University, Luzhou, Sichuan, China
- 5First Affiliated Hospital of Zhengzhou University, Zhengzhou, Henan Province, China
- 6Huazhong University of Science and Technology, Wuhan, Hubei Province, China
Select one of your emails
You have multiple emails registered with Frontiers:
Notify me on publication
Please enter your email address:
If you already have an account, please login
You don't have a Frontiers account ? You can register here
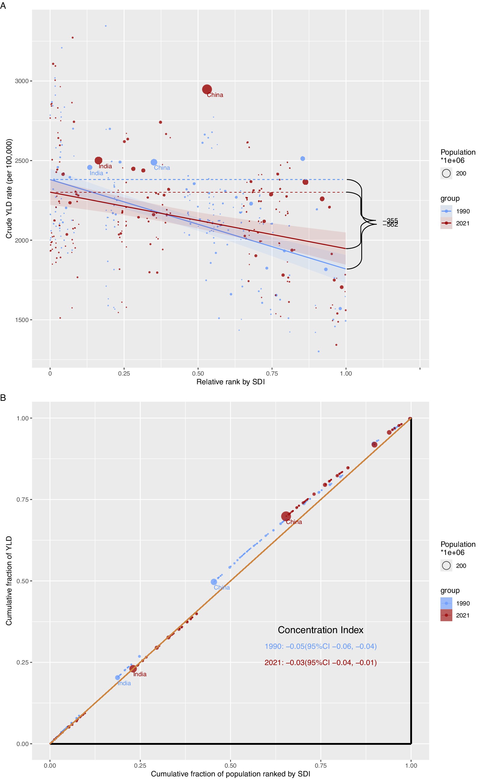
Background: Hearing loss (HL) is a significant public health concern, particularly among older adults, where it ranks as the third most common cause of years lived with disability (YLD) globally. This study aims to comprehensively analyze the burden of HL among individuals aged 60 years and older from 1990 to 2021, utilizing data from the Global Burden of Disease (GBD) database. Methods: We employed a variety of analytical approaches, including descriptive analysis, Joinpoint regression, age-period-cohort analysis, decomposition analysis, and predictive modeling. The study examined trends in incidence, prevalence, and disability-adjusted life years (DALYs) across different socio-demographic index (SDI) quintiles, regions, and genders. Results: Our findings reveal a significant increase in the age-standardized rates (ASR) of HL and YLDs over the study period (EAPC = 0.13 and 0.14, respectively), with notable disparities across SDI categories. The burden of HL was highest in low SDI countries, where socio-economic factors severely impacted access to hearing care. Gender differences were pronounced, with males exhibiting higher prevalence rates than females. Predictive analysis indicates a continued rise in HL cases and associated YLDs (projected to reach 46.9 million YLDs by 2040), emphasizing the urgent need for targeted public health interventions. Conclusion: The increasing burden of HL among older adults necessitates enhanced awareness, early detection, and improved access to hearing care services, particularly in low and middle-income countries. Addressing these disparities is crucial for mitigating the socio-economic impacts of HL and improving the quality of life for affected individuals.
Keywords: GDB, older adults, Hearing Loss, HL, Global Burden of Disease (GBD 2021)
Received: 06 Apr 2025; Accepted: 27 Oct 2025.
Copyright: © 2025 Zhang, Li, Wang, Fu, Li, Guo, Bao, Wu, Liao, Song, Li and Zhu. This is an open-access article distributed under the terms of the Creative Commons Attribution License (CC BY). The use, distribution or reproduction in other forums is permitted, provided the original author(s) or licensor are credited and that the original publication in this journal is cited, in accordance with accepted academic practice. No use, distribution or reproduction is permitted which does not comply with these terms.
* Correspondence: Xinhua Zhu, entzxh@163.com
Disclaimer: All claims expressed in this article are solely those of the authors and do not necessarily represent those of their affiliated organizations, or those of the publisher, the editors and the reviewers. Any product that may be evaluated in this article or claim that may be made by its manufacturer is not guaranteed or endorsed by the publisher.
