ORIGINAL RESEARCH article
Front. Public Health
Sec. Aging and Public Health
Development and validation of a model to predict the risk of frailty in older adults with panvascular disease
Provisionally accepted- Shaanxi Provincial Second People’s Hospital, Xi'an, Shaanxi, China
Select one of your emails
You have multiple emails registered with Frontiers:
Notify me on publication
Please enter your email address:
If you already have an account, please login
You don't have a Frontiers account ? You can register here
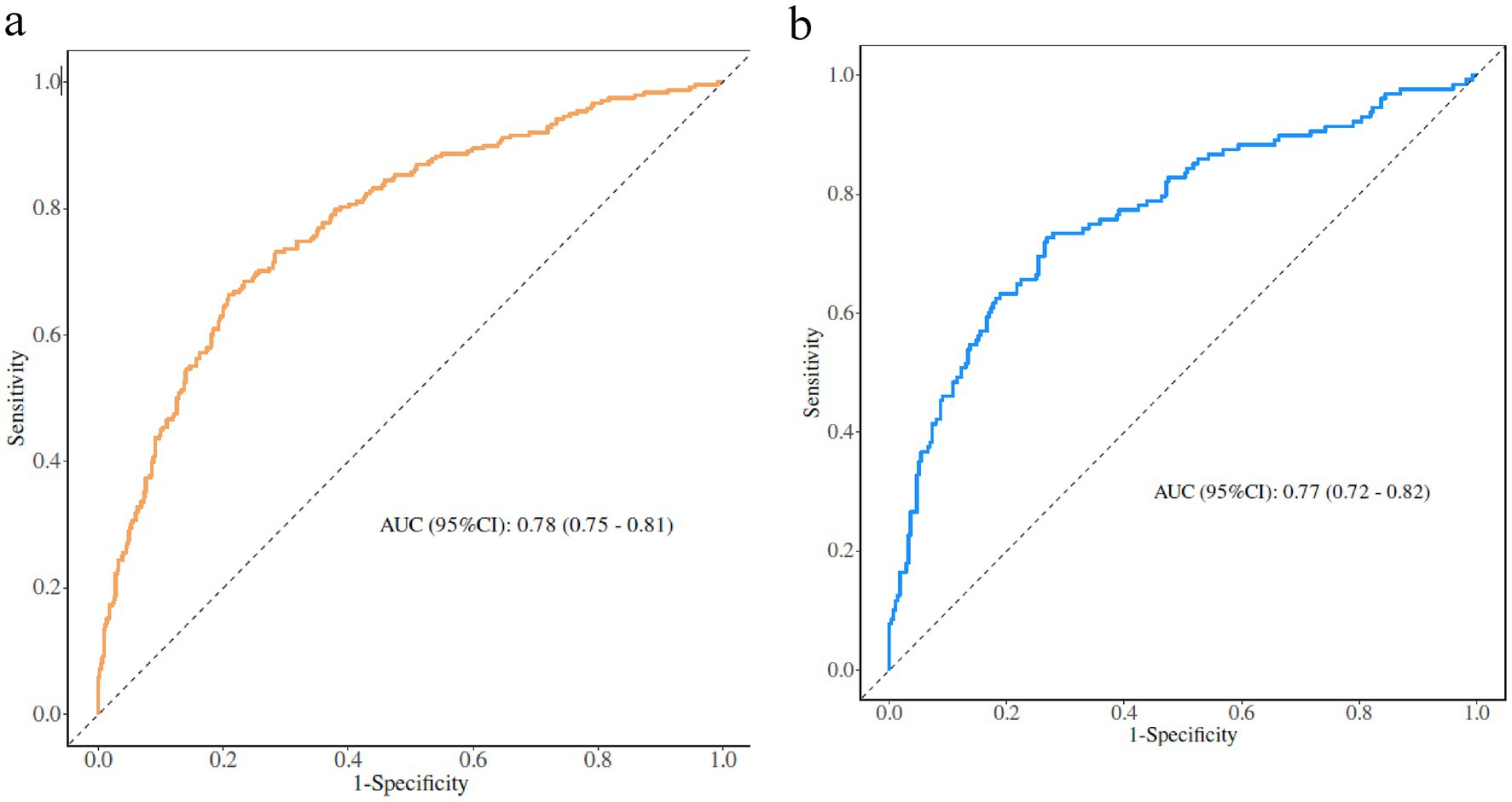
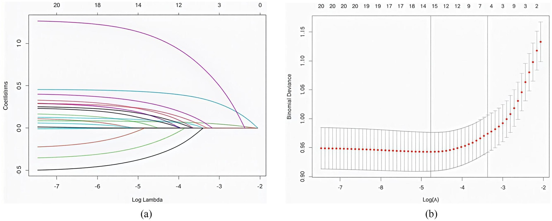
Background: This study aimed to identify factors influencing frailty in older adults with panvascular disease and to develop and validate a nomogram-based risk prediction model to support individualized frailty management. Methods: A total of 1,344 patients aged ≥60 years with panvascular disease were recruited using convenience sampling from March to December 2024. Participants were randomly divided into training and validation sets (7:3). Data included general characteristics, laboratory indices, and scores from the PSQI, ADL, GDS-15, and frailty assessments. Least absolute shrinkage and selection operator (LASSO) regression was used to select predictors, followed by multivariate logistic regression to construct the model. Model performance was evaluated using the area under the receiver operating characteristic curve (AUC), Hosmer– Lemeshow goodness-of-fit test, calibration curves, and decision curve analysis (DCA). Results: Among 1,344 participants, 366 (27.23%) were frail. LASSO regression identified increasing age, multiple atherosclerotic sites, elevated 2 LDL-C, hypertension history, high HbA1c, and low ADL as significant predictors of frailty. The AUC values for the training and validation sets were 0.78 and 0.77, respectively, indicating good discrimination. The Hosmer–Lemeshow test (² = 4.09, P > 0.05) and calibration curve demonstrated strong agreement between predicted and observed outcomes, confirming good model calibration and clinical utility. Conclusion: The developed nomogram-based model demonstrates strong predictive performance and can objectively estimate frailty risk in older adults with panvascular disease, providing a basis for early screening and targeted prevention strategies.
Keywords: Frailty, Panvascular disease, older adults, LASSO regression, prediction model validation
Received: 04 Jun 2025; Accepted: 07 Nov 2025.
Copyright: © 2025 Gao, Xie, Shi, Li, Hui and Zhang. This is an open-access article distributed under the terms of the Creative Commons Attribution License (CC BY). The use, distribution or reproduction in other forums is permitted, provided the original author(s) or licensor are credited and that the original publication in this journal is cited, in accordance with accepted academic practice. No use, distribution or reproduction is permitted which does not comply with these terms.
* Correspondence: Cui Xie, 2294817481@qq.com
Disclaimer: All claims expressed in this article are solely those of the authors and do not necessarily represent those of their affiliated organizations, or those of the publisher, the editors and the reviewers. Any product that may be evaluated in this article or claim that may be made by its manufacturer is not guaranteed or endorsed by the publisher.
