ORIGINAL RESEARCH article
Front. Public Health
Sec. Injury Prevention and Control
Global and regional burden, temporal trends, and projections of chronic pain from 1990 to 2032, and its association with cardiovascular diseases: Analyses based on global burden of diseases study 2021
Provisionally accepted- 1General Hospital of Western Theater Command, Chengdu, China
- 2Southwest Jiaotong University, Chengdu, China
Select one of your emails
You have multiple emails registered with Frontiers:
Notify me on publication
Please enter your email address:
If you already have an account, please login
You don't have a Frontiers account ? You can register here
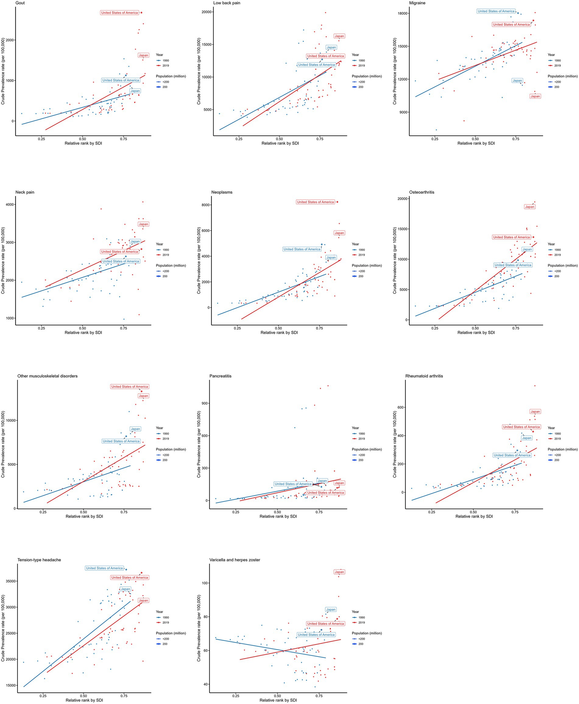
Chronic pain is a major global health problem that significantly affects quality of life and increases the risk of cardiovascular diseases. Using the Global Burden of Disease (GBD) 2021 data, this study analyzed temporal trends in chronic pain across 204 countries and territories from 1990 to 2021. We further examined the influence of the Socio-demographic Index (SDI), explored age- and sex-specific patterns, and projected the future burden of chronic pain through 2032. Cardiovascular diseases data were also analyzed for correlations with chronic pain. Results showed a significant positive association between SDI and age-standardized prevalence rate (ASPR), with higher burdens in more developed regions, especially for cancer- and arthritis-related pain. Apart from headaches, most types of chronic pain—including low back pain, neck pain, osteoarthritis-related pain, and rheumatoid arthritis-related pain—were more prevalent in older adults. Females were generally more affected by musculoskeletal and arthritis-related pain, while males showed higher rates of gout- and pancreatitis-related pain. Projections suggest that the prevalence of rheumatoid arthritis and other musculoskeletal pain will continue to rise, whereas gout-, back-, neck-, and pancreatitis-related pain are expected to decline. Notably, chronic pain showed significant positive correlations with several cardiovascular diseases, including ischemic heart disease and stroke. The global burden of chronic pain remains substantial and unevenly distributed by sex, age, and SDI level. The observed association between chronic pain and cardiovascular diseases highlights the need for integrated management strategies targeting both conditions. Perspective: This article presents a comprehensive analysis of the global epidemiology of chronic pain based on GBD 2021 data, including its association with socio-demographic development, age and sex distributions, and comorbidity with cardiovascular diseases. These findings may help inform policymakers and clinicians in designing targeted prevention and intervention strategies across populations.
Keywords: Chronic Pain, socio-demographic index, Global Burden of Diseases Study, age-sex subgroups, cardiovascular disease
Received: 28 May 2025; Accepted: 31 Oct 2025.
Copyright: © 2025 Zhang, Wu, Chen, Gao and Wang. This is an open-access article distributed under the terms of the Creative Commons Attribution License (CC BY). The use, distribution or reproduction in other forums is permitted, provided the original author(s) or licensor are credited and that the original publication in this journal is cited, in accordance with accepted academic practice. No use, distribution or reproduction is permitted which does not comply with these terms.
* Correspondence: Jian  Wang, wangjian87fmmu@foxmail.com
Disclaimer: All claims expressed in this article are solely those of the authors and do not necessarily represent those of their affiliated organizations, or those of the publisher, the editors and the reviewers. Any product that may be evaluated in this article or claim that may be made by its manufacturer is not guaranteed or endorsed by the publisher.
