ORIGINAL RESEARCH article
Front. Public Health
Sec. Health Economics
This article is part of the Research TopicChanging Healthcare through Innovation in Clinical Management and Healthcare Policy Strategies: Focus on Quality Improvement for the PatientView all 11 articles
Interrupted time series study on the service efficiency and cost structure of DRG payments in the GE1 group
Provisionally accepted- 1Affiliated Hospital of Nantong University, Nantong, China
- 2海门人民医院, Affiliated Hospital of Nantong University, Nantong, China
Select one of your emails
You have multiple emails registered with Frontiers:
Notify me on publication
Please enter your email address:
If you already have an account, please login
You don't have a Frontiers account ? You can register here
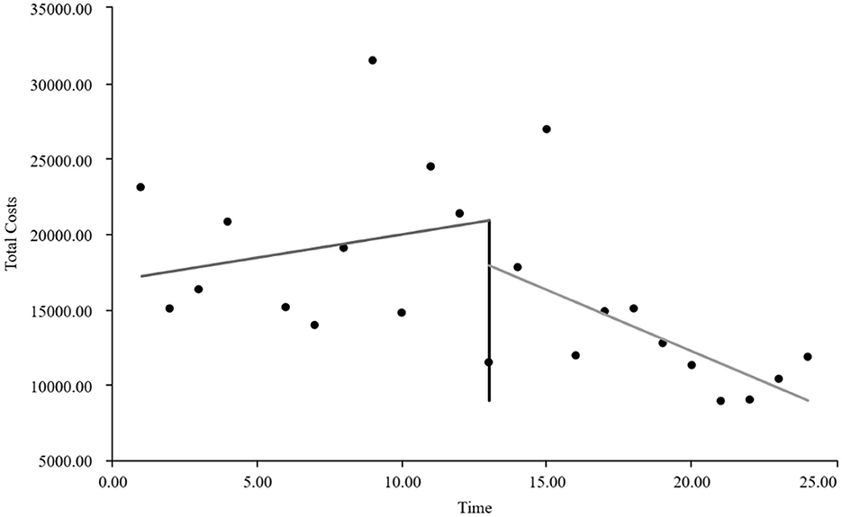
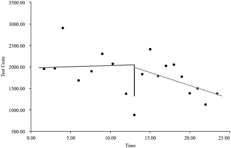
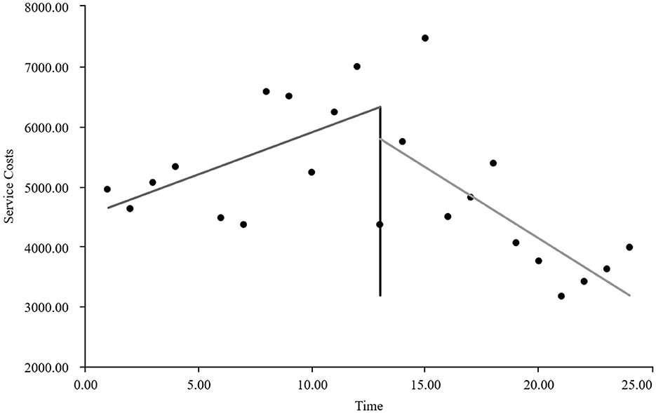
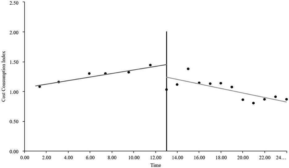
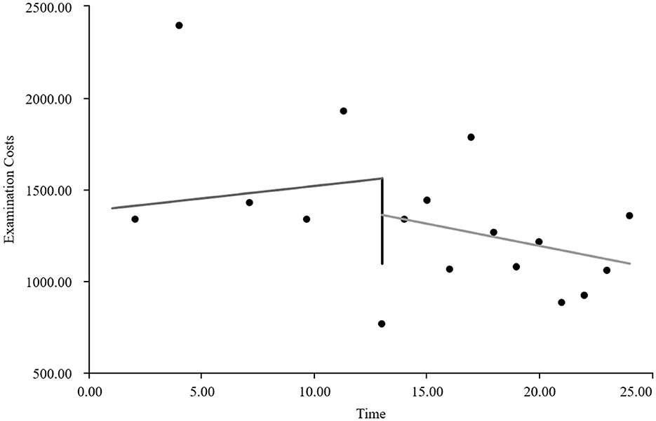
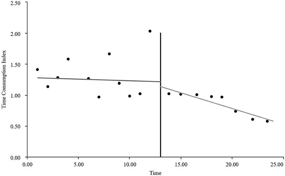
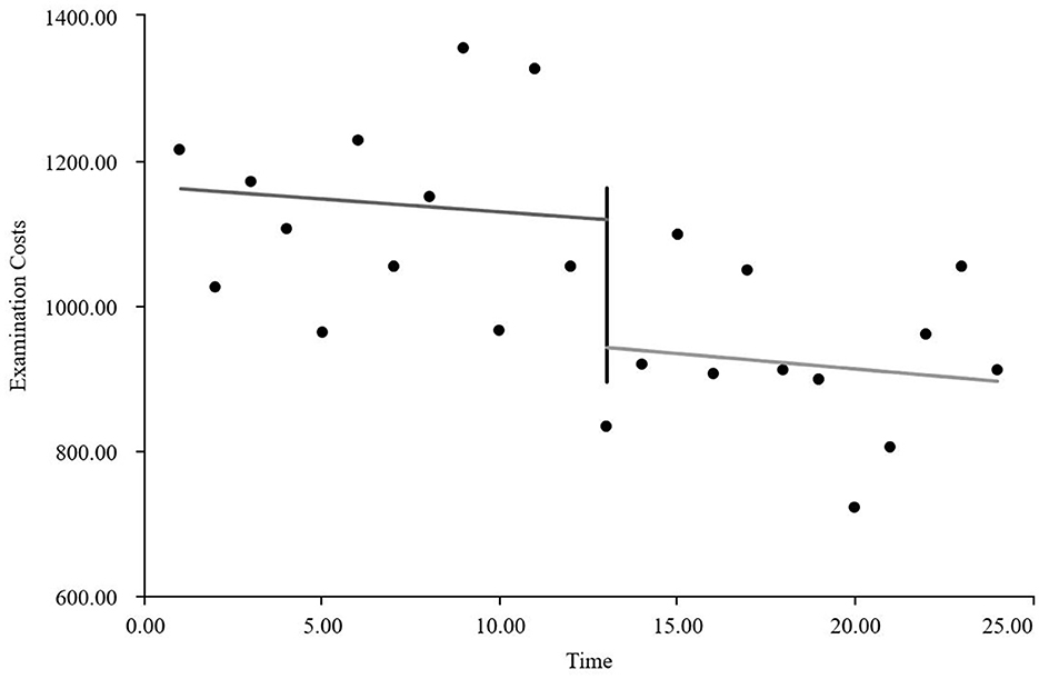
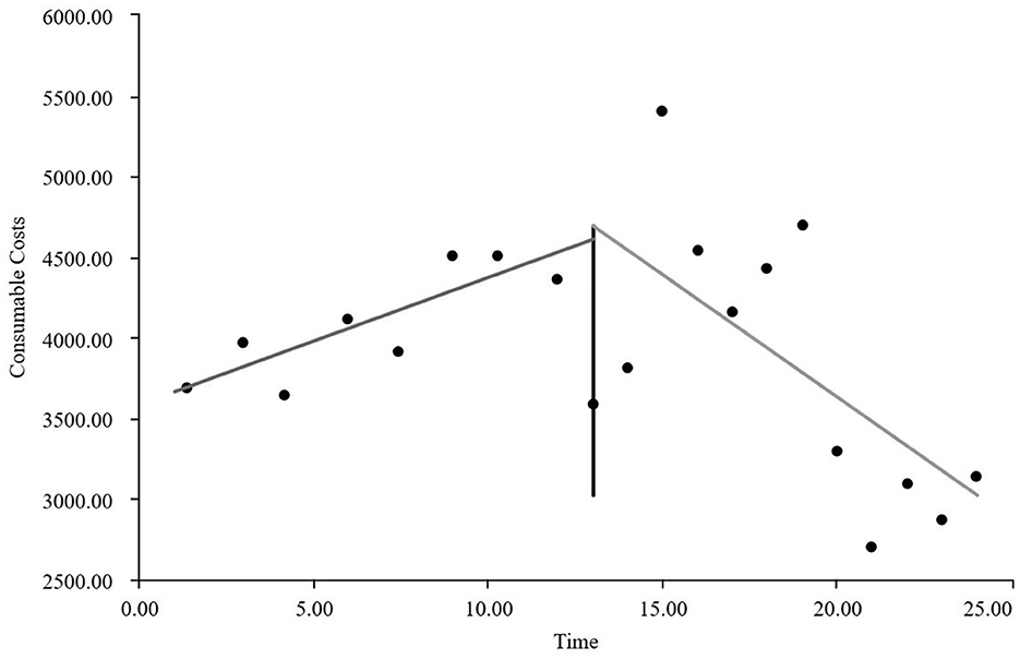
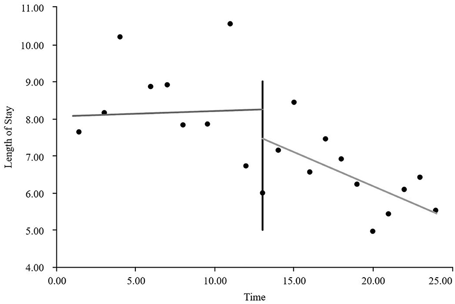
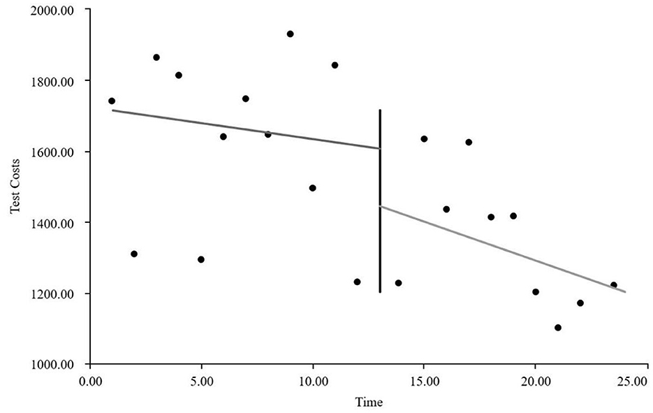
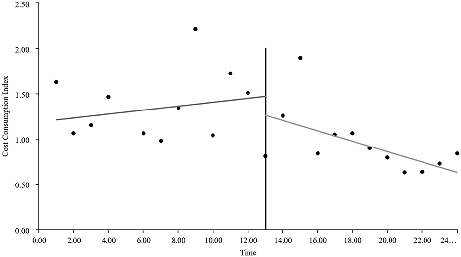
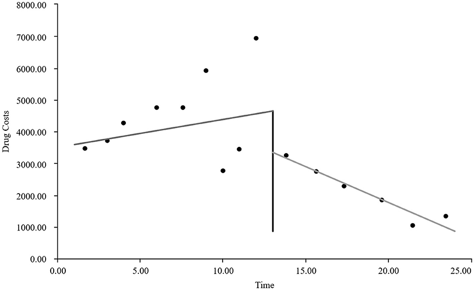
[Abstract]: Objective: Analyzing the changes in service efficiency and medical cost structure of the GE1 group (including GE13 and GE15) in a tertiary comprehensive medical institution in Nantong, China, before and after the implementation of MDT (Multi-Disciplinary Team)-based DRG payment management. Methods: Data from Nantong medical insurance patients in the GE13 and GE15 groups from the sample hospital between 2022 and 2023 were collected. The Mann-Whitney U test was used to analyze changes in medical cost structure and service efficiency indicators, and an interrupted time series model was employed to examine the trends of these changes.Results: The median length of hospital stay for patients in the GE13 group decreased from 10 days to 7 days (P<0.01), and the average cost per hospitalization decreased by 4912.89 yuan (P<0.01).The median length of hospital stay for patients in the GE15 group decreased from 8 days to 6 days (P<0.01), and the average cost per hospitalization was reduced by 2156.01 yuan (P<0.01). The ITS analysis of post-intervention trends showed that the intervention measures for the GE13 group achieved significant results in terms of length of hospital stay, average cost per admission, and medication costs. However, some indicators, such as material costs, examination fees, and laboratory test costs, did not exhibit a significant downward trend (P>0.05). Conclusion: After implementing MDT-based DRG management, the operational efficiency of the GE13 and GE15 groups improved, physicians' diagnostic and treatment behaviors became more standardized, medical quality was enhanced, medical costs were controlled, patients' hospitalization burden was reduced, and the issue of hospital medical insurance settlement losses was reversed. It is recommended to continue implementing MDT management for DRG groups, continuously refine pathways, optimize structures, improve efficiency, and strengthen medical record supervision. This study was conducted in the context of China's DRG reform and directly demonstrates the effectiveness of the reform in controlling healthcare costs. It is important to note that cost control was not achieved by reducing medical services or shifting patients elsewhere, but rather by improving resource utilization efficiency while ensuring the quality of care.
Keywords: Disease-Related Group (DRG), MDT, Service efficiency, Cost structure, Interrupted Time Series
Received: 07 Jul 2025; Accepted: 27 Oct 2025.
Copyright: © 2025 Yu, Zhang, Shen, Chen, Shi, Cai, Chen, Huang and Wang. This is an open-access article distributed under the terms of the Creative Commons Attribution License (CC BY). The use, distribution or reproduction in other forums is permitted, provided the original author(s) or licensor are credited and that the original publication in this journal is cited, in accordance with accepted academic practice. No use, distribution or reproduction is permitted which does not comply with these terms.
* Correspondence: Xiaoyan Yu, yuxiaoyan198927@126.com
Disclaimer: All claims expressed in this article are solely those of the authors and do not necessarily represent those of their affiliated organizations, or those of the publisher, the editors and the reviewers. Any product that may be evaluated in this article or claim that may be made by its manufacturer is not guaranteed or endorsed by the publisher.
