ORIGINAL RESEARCH article
Front. Public Health
Sec. Disaster and Emergency Medicine
This article is part of the Research TopicInnovative Strategies for Urban Public Health Resilience in Crisis SituationsView all 34 articles
A Community Public Health Emergency Resilience Assessment Framework Based on Contrastive Learning and Hyperbolic Embedding
Provisionally accepted- 1Universiti Sains Malaysia, Penang, Malaysia
- 2Henan Industry and Trade Vocational College, zhengzhou, China
Select one of your emails
You have multiple emails registered with Frontiers:
Notify me on publication
Please enter your email address:
If you already have an account, please login
You don't have a Frontiers account ? You can register here
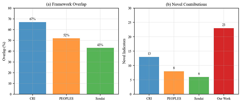
ABSTRACT Recent global health crises have exposed critical gaps in community preparedness for public health emergencies, revealing that existing assessment frameworks often rely on generic indicators that fail to capture specific vulnerabilities. To address this challenge, we developed an evidence-based assessment framework comprising 39 indicators systematically derived from 230 peer-reviewed studies and validated by 15 international experts. The framework identifies four actionable dimensions critical for community resilience: (i) medical and safety measures, (ii) spatial design and infrastructure, (iii) community services and support, and (iv) landscape and ecology. Significantly, 23 indicators (59%) represent novel additions to public health emergency preparedness literature, reflecting lessons learned from COVID-19 and recent health crises. These include capabilities proven critical but absent from conventional tools: telemedicine infrastructure, community health surveillance systems, flexible space utilization during restrictions, and distributed medical resource networks. The framework achieved high expert validation (mean score: 4.35/5.00) and provides communities with quantifiable metrics to conduct vulnerability assessments, prioritize resilience-building investments, and develop targeted preparedness strategies. By bridging the gap between abstract resilience concepts and measurable community capacities, this tool enables public health practitioners, urban planners, and local authorities to systematically strengthen community preparedness against future health emergencies. The framework's emphasis on spatial design and community infrastructure—alongside traditional medical measures—represents a paradigm shift toward holistic, multi-dimensional emergency preparedness.
Keywords: Community resilience, Public health emergency, Assessment framework, emergency preparedness, spatial design, community services, evidence-based indicators, health crisis preparedness
Received: 21 Jun 2025; Accepted: 28 Oct 2025.
Copyright: © 2025 Wen, Ismail and Nasir. This is an open-access article distributed under the terms of the Creative Commons Attribution License (CC BY). The use, distribution or reproduction in other forums is permitted, provided the original author(s) or licensor are credited and that the original publication in this journal is cited, in accordance with accepted academic practice. No use, distribution or reproduction is permitted which does not comply with these terms.
* Correspondence:
Quan Wen, wenquan@student.usm.my
Mazran Ismail, mazran@usm.my
Disclaimer: All claims expressed in this article are solely those of the authors and do not necessarily represent those of their affiliated organizations, or those of the publisher, the editors and the reviewers. Any product that may be evaluated in this article or claim that may be made by its manufacturer is not guaranteed or endorsed by the publisher.
