ORIGINAL RESEARCH article
Front. Public Health
Sec. Infectious Diseases: Epidemiology and Prevention
Association between sepsis and all-cause and cause-specific premature mortality: a prospective cohort study
Provisionally accepted- 1Jiading District Central Hospital Affiliated Shanghai University of Medicine & Health Sciences, Shanghai, China
 - 2Peking University Third Hospital, Beijing, China
 - 3Naval Medical University, Shanghai, China
 - 4Jiading District Central Hospital, Shanghai, China
 
Select one of your emails
You have multiple emails registered with Frontiers:
Notify me on publication
Please enter your email address:
If you already have an account, please login
You don't have a Frontiers account ? You can register here
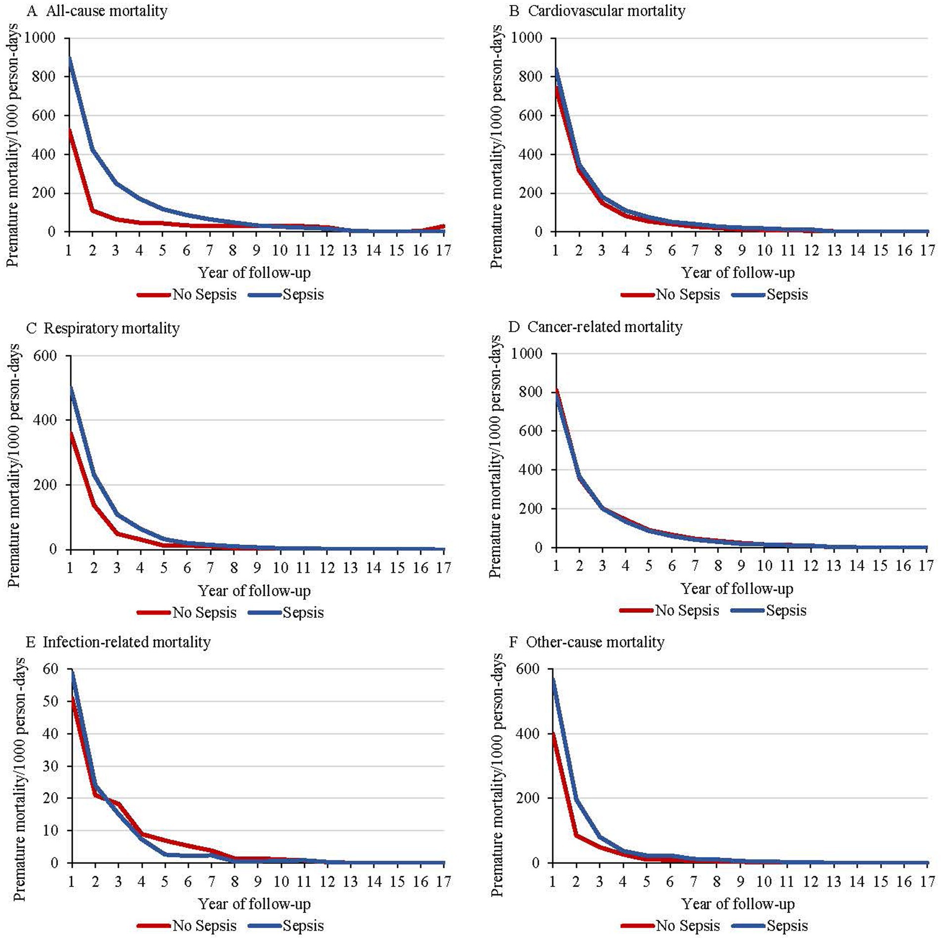
Objective: This study aimed to examine the association between sepsis, including its subtypes, and all-cause and cause-specific premature mortality. Methods: This population-based prospective cohort study included 371 558 participants from the UK Biobank recruited between 2006 and 2010. Sepsis was identified from hospital records using ICD-10 codes. Cox proportional-hazards models estimated adjusted hazard ratios (aHRs) and 95% confidence intervals (CIs) for premature mortality. Results: Among 371 558 participants, 47 149 (12.7%) were diagnosed with sepsis, including 21 148 with implicit sepsis, 620 with explicit sepsis, and 25 381 with both. Sepsis was associated with a higher risk of all-cause premature mortality (aHR 2.36, 95% CI 2.26–2.46). Cause-specific analyses showed elevated risks for cardiovascular (aHR 2.35, 95% CI 2.18– 2.54), respiratory (aHR 7.30, 95% CI 6.23–8.55), cancer-related (aHR 1.76, 95% CI 1.66– 1.87), and infection-related premature mortality (aHR 9.75, 95% CI 6.97–13.62). Participants with explicit sepsis alone had elevated risk of all-cause mortality (aHR 1.72, 95% CI 1.21– 2.45), which was lower than implicit sepsis alone (aHR 2.05, 95% CI 1.94–2.17) and highest for those with both implicit and explicit sepsis (aHR 2.60, 95% CI 2.48–2.73). Risks were more pronounced in participants with older age, multiple comorbidities, and unhealthy lifestyle (Pinteraction <0.001). Conclusion: Sepsis, especially implicit and combined implicit-explicit sepsis, was associated with increased risks of all-cause and cause-specific premature mortality. These associations were stronger in older participants, those with comorbidities, and unhealthy lifestyles.
Keywords: Sepsis, premature mortality, Association, cohort study, UK Biobank
Received: 15 Jul 2025; Accepted: 03 Nov 2025.
Copyright: © 2025 Kang, Zhong, Wang, Li, Dou, Huang, Yin, Yuan and You. This is an open-access article distributed under the terms of the Creative Commons Attribution License (CC BY). The use, distribution or reproduction in other forums is permitted, provided the original author(s) or licensor are credited and that the original publication in this journal is cited, in accordance with accepted academic practice. No use, distribution or reproduction is permitted which does not comply with these terms.
* Correspondence: Dali  You, youdl569@163.com
Disclaimer: All claims expressed in this article are solely those of the authors and do not necessarily represent those of their affiliated organizations, or those of the publisher, the editors and the reviewers. Any product that may be evaluated in this article or claim that may be made by its manufacturer is not guaranteed or endorsed by the publisher.
