REVIEW article
Front. Public Health
Sec. Public Health and Nutrition
Eating Habits, Nutritional Status, and Lifestyle Correlates of Body Composition in Chinese University Students: A Cross-Sectional Study
Provisionally accepted- 1Institute of Microbiological Detection and Analyses, Sichuan Center for Disease Control and Prevention, Chengdu, 610041,People's Republic of China, ChengDu,SiChuan, China
- 2Chengdu University of Traditional Chinese Medicine, Chengdu, China
Select one of your emails
You have multiple emails registered with Frontiers:
Notify me on publication
Please enter your email address:
If you already have an account, please login
You don't have a Frontiers account ? You can register here
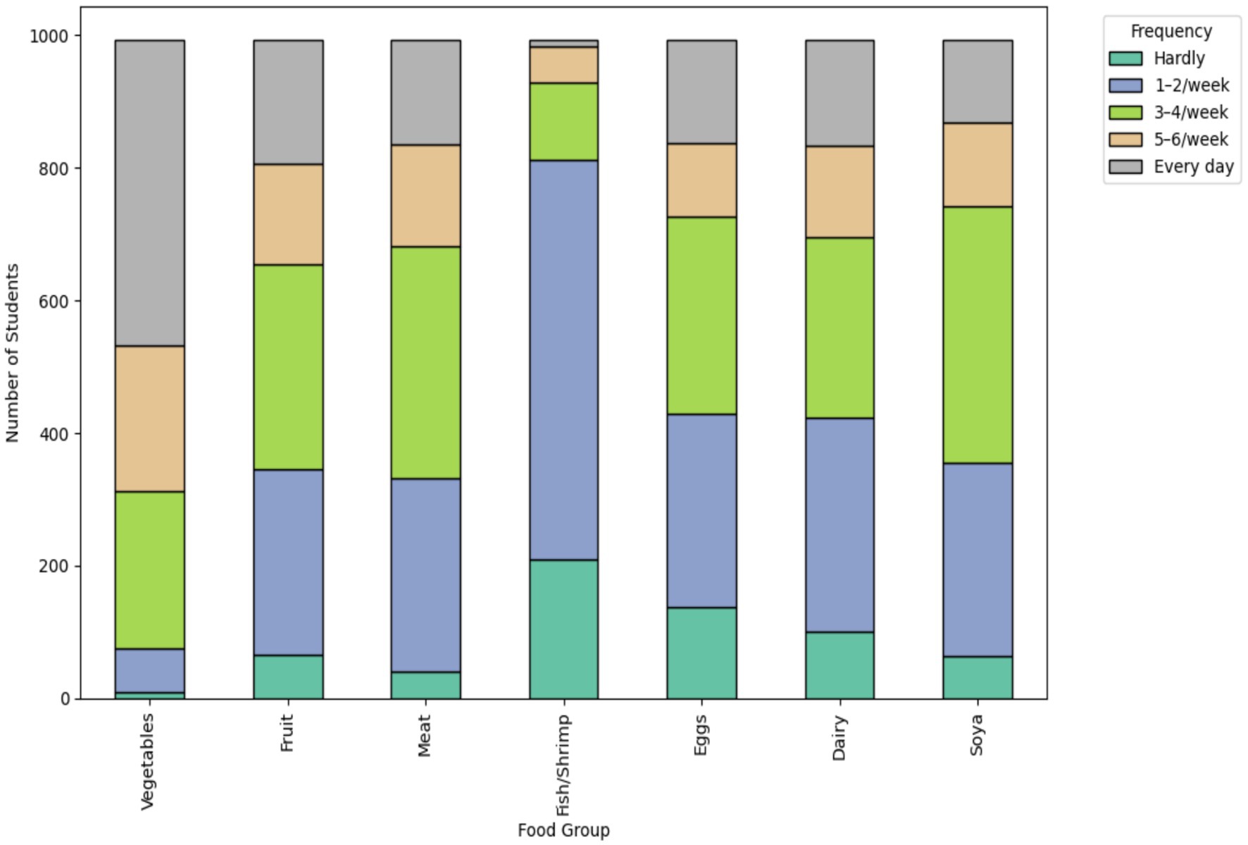
Background: Unhealthy eating habits and nutritional imbalances are prevalent among university students and may contribute to hidden obesity and metabolic risk. Understanding the dietary patterns and lifestyle factors associated with body composition is essential for designing effective interventions in this population. Objective: This study aimed to assess the dietary habits, nutritional status, and lifestyle correlates of body composition among Chinese university students, with a focus on the prevalence of hidden obesity and low protein mass. Methods: A cross-sectional survey was conducted among 993 undergraduate students at a major Chinese university. Dietary intake, physical activity, sleep, and other lifestyle factors were assessed using validated questionnaires. Body composition, including body fat percentage and protein status, was measured with a bioelectrical impedance analyzer. Associations between dietary/lifestyle factors and body composition were examined using multivariable regression analyses. Results: Fewer than half of participants reported daily consumption of vegetables, and only 18.2% consumed fruit daily. Hidden obesity, defined as excessive body fat despite normal body mass index, was observed in 17.0% of students, significantly higher among females (23.0%) than males (1.1%) (p<0.05). Low protein mass, as measured by bioelectrical impedance analysis, was present in 31.0% of students and was more prevalent among females (33.5%) than males (24.6%) (p<0.05). Weekly fruit intake showed a weak but positive association with both body fat and protein percentages, after adjusting for confounders (p < 0.05). Conclusion: Unbalanced dietary patterns, hidden obesity, and low protein mass are widespread among Chinese university students, with sex-specific differences. The relationship between fruit intake and body composition may reflect broader dietary or lifestyle behaviors rather than a direct protective effect.
Keywords: dietary habits, hidden obesity, Low protein mass, Fruit intake, nutrition intervention
Received: 17 Jul 2025; Accepted: 27 Oct 2025.
Copyright: © 2025 Li, Liu, Gong, Li and Zhou. This is an open-access article distributed under the terms of the Creative Commons Attribution License (CC BY). The use, distribution or reproduction in other forums is permitted, provided the original author(s) or licensor are credited and that the original publication in this journal is cited, in accordance with accepted academic practice. No use, distribution or reproduction is permitted which does not comply with these terms.
* Correspondence: Liu  Li, scctcmll163@outlook.com
Disclaimer: All claims expressed in this article are solely those of the authors and do not necessarily represent those of their affiliated organizations, or those of the publisher, the editors and the reviewers. Any product that may be evaluated in this article or claim that may be made by its manufacturer is not guaranteed or endorsed by the publisher.
