Your new experience awaits. Try the new design now and help us make it even better

ORIGINAL RESEARCH article

Front. Public Health, 24 October 2025

Sec. Infectious Diseases: Epidemiology and Prevention

Volume 13 - 2025 | https://doi.org/10.3389/fpubh.2025.1668530

Clinical epidemiology and prognostic factors in patients with KPC-producing K. pneumoniae infections: a retrospective cohort study

Qiangsheng FengQiangsheng FengYuejuan SongYuejuan SongXiaoqin Ha
Xiaoqin Ha*
  • Department of Clinical Laboratory, The 940th Hospital of Joint Logistics Support Force of People’s Liberation Army, Lanzhou, China

Background: This study aimed to investigate the clinical characteristics, drug resistance patterns, and prognosis of CRKP-infected patients.

Methods: This study evaluated in patients with carbapenemase-producing CRKP infection diagnosed through bacteriological evidence and clinical criteria over a 12-month period.

Results: KPC-producing Klebsiella pneumoniae represented 1.16% of all K. pneumoniae infections, the average patient age was 62.3 ± 20.2 years. Lung infection (58%) was the most common site, followed by bloodstream infection (22%) and urinary tract (11%) infections; 86% were nosocomial. Common comorbidities included cerebrovascular disease/cerebral infarction (23%), lung disease (16%), hematologic diseases/malignancies (12%), and viral pneumonia (12%). KPC-Kp exhibited high resistance (>90%) to most tested antibiotics (including cephalosporins, piperacillin/tazobactam, fluoroquinolones, aztreonam, and carbapenems). Significantly lower resistance was observed only to tigecycline (5.1%) and ceftazidime-avibactam (CAZ-AVI) (4.3%). Non-KPC strains (NDM/VIM/OXA-48; n = 48) showed lower resistance (<50%) to several agents and minimal resistance to tigecycline and CAZ-AVI (0–1.0%); resistance differences between KPC and non-KPC groups were highly significant (p < 0.001). KPC-Kp infection conferred significantly higher in-hospital mortality (46%) than non-KPC infections (10.4%; p < 0.001), with nearly half (48%) of KPC-Kp deaths occurring within 7 days of infection. CAZ-AVI usage within the KPC-Kp group did not significantly improve 28-day survival (0.450 ± 0.132 vs. 0.573 ± 0.076, p = 0.317). Multivariate analysis identified significant independent risk factors for in-hospital mortality: KPC-Kp infection (OR 5.96, p < 0.001), bloodstream infection (OR 8.57, p = 0.006), and ICU admission (OR 3.39, p = 0.006).

Conclusion: KPC-Kp infections demonstrated high incidence (1.16%), and severe mortality (46% in-hospital). Mortality risk was significantly elevated by KPC-Kp infection, bloodstream infection, and ICU admission, underscoring critical clinical threats.

1 Introduction

Klebsiella pneumoniae, a Gram-negative opportunistic pathogen, causes a wide range of community and hospital-acquired infections. Infections caused by carbapenem-resistant K. pneumoniae (CRKP) pose a significant public health threat and are strongly associated with high mortality rates, particularly among immunocompromised and critically ill patients (1). Recognizing the severity of this issue, the World Health Organization (WHO) classifies carbapenem-resistant Enterobacteriaceae (CRE), of which CRKP is the most common species, among its highest priority pathogens. Previous studies estimate the pooled mortality rate associated with CRKP infections to range from 33 to 42% (2). Hospital transmission plays a crucial role in CRKP spread; over half of hospitals contributing carbapenemase-positive isolates likely experienced within-hospital transmission, with interhospital spread occurring more frequently within countries than between them (3).

In China, K. pneumoniae has become the second most frequently isolated bacterium in clinical settings. Alarmingly, resistance to meropenem has risen steadily from 2.9% in 2005 to 30.0% in 2023.1 Furthermore, resistance rates among CRKP isolates exceed 90% for quinolones, β-lactams, β-lactam/β-lactamase inhibitor combinations, and aminoglycosides. This escalating resistance prevalence severely limits therapeutic options, intensifying the need for novel strategies to combat CRKP infections (4).

Carbapenem resistance in K. pneumoniae is primarily mediated by genes encoding carbapenemases, which are categorized into two main groups: serine-based enzymes (KPC, OXA-48-like, and SME) and metallo-β-lactamases (MBLs; including NDM, IMP, and VIM) (5). In this study, we analyzed the impact of different carbapenemase types, antibacterial drug usage patterns, and patient clinical characteristics on treatment outcomes.

2 Materials and methods

2.1 Study design

① A total of 148 cases of CRKP with pathogenic evidence were included 100 cases KPC-Producing and 48 cases Non- KPC (NDM, VIM, and OXA-48) in this study, with 66% (94/146) ≥2 positive cultures, median number of pathogenic evidence 3 (1, 5) (range 1–94 times), including multi-site infection 24 cases, bloodstream infection 30 cases, lung infection 88 cases, urinary system infection 21cases and, abdominal infection 12 cases.

② A total of 839 rejected for CRKP repeated strains or cases, 20 cases rejected CRKP bacterial colonization, the customization rate is 13.5% (20/148).

③ According to the Clinical and Laboratory Standards Institute (CLSI) guidelines, the definition of carbapenem-resistant Klebsiella pneumoniae (CRKP) is primarily based on antimicrobial susceptibility testing results. A strain is classified as CRKP if its minimum inhibitory concentration (MIC) for carbapenem antibiotics—such as imipenem or meropenem—exceeds the specified resistance breakpoint (e.g., MIC >4 mg/L for imipenem or meropenem).

2.2 Setting

This study conducted a retrospective review of clinical data from patients diagnosed with CRKP infection disease at the 940th Hospital of the Joint Logistics Support Force of the People’s Liberation Army. Statistical analyses were performed on factors such as antimicrobial therapy (Ceftazidime-Avibactam), enzyme type, infection site, underlying diseases, and in-hospital mortality.

2.3 Ethical oversight

The study was approved by the Ethics Committee of the 940th Hospital of the Joint Logistics Support Force of the People’s Liberation Army. The committee waived the need for informed consent. The study adhered to the ethical standards outlined in the Declaration of Helsinki (1975) and its amendments.

2.4 Participants

This study carefully selected participants from 2018 to 2025, ultimately including 148 eligible patients who were followed for 12 months. A detailed flowchart illustrates participant eligibility and reasons for exclusion (Figure 1).

Figure 1
Flowchart of Klebsiella pneumoniae assessment. Out of 8,647 assessed individuals, 7,698 were rejected for not being CRKP, 839 for repeated strains, and 20 for bacterial colonization. 148 CRKP infection cases identified, divided into 100 KPC cases and 48 NDM, VIM, and OXA-48 cases. Analyzed for mortality risk factors, Kaplan-Meier survival analysis, and drug resistance rate.

Figure 1. Selection criteria for the inclusion of patients with CRKP.

2.5 Exposure variables

Demographic and clinical characteristics were analyzed as exposure variables. These included age, sex, KPC-Producing K. pneumoniae Infections, antimicrobial therapy (Ceftazidime -Avibactam, sensitive for antimicrobial sensitivity test), infection site, ICU admission, median hospital time (20 day), Pathogen source.

2.6 Endpoint

The primary endpoint was in-hospital mortality among CRKP inpatients for 12 month.

2.7 K. pneumoniae culture, identification, and antimicrobial susceptibility test

All the subjects recorded episodes who were hospitalized and suspected of BSIs (Bloodstream infection) between January 2018 and January 2025, blood cultures were obtained using BacT/ALERT blood culture bottles (bio-Mérieux, Inc., Durham, NC) or BD FA and SN blood culture bottles and incubated in the BacT/ALERT 3D (bioMérieux, Inc.) or BD FX 400 automatic monitoring system for a week in the clinical microbiology laboratory of the hospital. When Bottles flagged as positive after Gram-negative Bacillus, report the critical value and switch to blood culture onto blood tablet and Chinese blue agar plates and incubated at 35°C CO2 for 24 h. BALF and qualified sputum specimens were also inoculated onto blood tablet and Chinese blue agar plates and incubated at 35°C CO2 for 24 h. It is clinically significant that the count value of urine colonies Midstream urine culture is ≥ 1 × 105 cfu/mL, so colony identification and antimicrobial susceptibility test should be carried out. After colony formation, microbial identification was performed using the corresponding GN card on the VITEK Compact-II automatic microorganism identification system or MALDI-TOF MS. Antimicrobial susceptibility test was used GN 335 card in VITEK 2 system (bioMérieux, Inc., Durham, NC). A strain is classified as CRKP if its minimum inhibitory concentration (MIC) for carbapenem antibiotics—such as imipenem or meropenem—exceeds the specified resistance breakpoint (e.g., MIC >4 mg/L for imipenem or meropenem).

2.8 Enzyme type detection

Modified Carbapenem Inactivation Methods (mCIM): For each isolate, emulsify a 1-μL loopful (K. pneumoniae) from a blood agar plate into 2 mL TSB. Vortex 10–15 s, add a 10-μg meropenem disk, ensuring full immersion. Incubate at 35°C ± 2°C for 4 h ± 15 min. Concurrently, prepare a 0.5 McFarland E. coli ATCC® 25922 suspension in broth/saline. Inoculate an MHA plate per CLSI M024 (6), completing suspension prep and plate inoculation within 15 min. Dry plates 3–10 min. Post-incubation, remove meropenem disks from TSB using a 10-μL loop: press the loop’s flat side against the disk edge, leveraging surface tension to lift it. Drain excess liquid by dragging the loop against the tube’s inner edge, then transfer the disk to the inoculated MHA plate (max 4 disks/100-mm plate; 8/150-mm plate). Invert and incubate plates at 35°C ± 2 C for 18–24 h. Measure inhibition zones per CLSI M024, Carbapenemase positive: Zone diameter of 6–15 mm or presence of pinpoint colonies within a 16–18-mm zone. Metallo-β-lactamase positive: ≥5-mm increase in zone diameter for eCIM vs. zone diameter for mCIM (e.g., mCIM = 6 mm; eCIM = 15 mm; zone diameter difference = 9 mm) (6). Ensure timing alignment: E. coli suspension prep and plate inoculation must occur ≤15 min before/after TSB-disk incubation completion. Maintain aseptic technique throughout. Colloidal gold method for determination of CRKP: Pick the pure cultured colony of K. pneumoniae, add the lysate and shake it evenly, and drop the lysate into the sample adding hole of colloidal gold test strip (Jinshanchuan, Beijing). Observe the results within 10–15 min, and the T line and the quality control line (C line) are positive at the same time (specific enzyme type: KPC, NDM, IPM, VIM, and OXA-48), Only C-ray was negative.

2.9 Clinical report

Laboratory-confirmed CRKP, report to the clinical department immediately as a critical value and enzyme type, communicated by telephone. Implement single-room isolation and dedicated care. If associated with an indwelling venous or catheter device, remove and replace the device promptly.

2.10 Statistical analyses

Statistical analyses were performed using SPSS 22.0. A paired t-test revealed significantly higher overall drug resistance in the KPC group compared to non-KPC isolates. Multivariate regression identified the following independent predictors of mortality: KPC-Kp infection, ICU admission, bloodstream infection, specific antimicrobial therapy, nosocomial acquisition, and prolonged hospitalization (≥20 days). The log-rank test showed significantly lower 28-day survival in KPC-Kp patients versus non-KPC groups, particularly between Ceftazidime-Avibactam and non-Ceftazidime-Avibactam subgroups. Kaplan–Meier survival curves were constructed with the time of first etiological diagnosis as the starting point, death as the event of interest, and discharge as censoring. Factors associated with in-hospital mortality were visualized using a forest plot (p < 0.01). The significance threshold was set at p < 0.05 for all analyses.

3 Results

3.1 Clinical features of patients with KPC-producing K. pneumoniae infections

A cohort of 100 patients with KPC-producing K. pneumoniae (KPC-Kp) infections was analyzed, representing 67.6% of all CRKP isolates (KPC: 100 cases; NDM, VIM, OXA-48: 48 cases). The mean patient age was 62.3 ± 20.2 years, with a male-to-female ratio of 1.8:1. KPC-producing Klebsiella pneumoniae represented 1.16% of all K. pneumoniae infections (100/8647). Twenty-eight percent of patients had hospital stays exceeding 14 days, with a median duration of 58 days (IQR 30–165). The predominant infection sites were lung (58%), bloodstream (22%), and urinary tract (11%). Pathogen sources were primarily nosocomial (86%), with 14% with 14% transfer from outside hospital, colonization rate 13.5% (20/148). Major comorbidities included cerebrovascular disease/cerebral infarction (23%), pulmonary disease (16%), hematological malignancies (12%), and viral pneumonia (12%) (Table 1).

Table 1
www.frontiersin.org

Table 1. Host factor in PC-producing K. pneumoniae infections (n = 100 case).

3.2 CRKP drug resistance rates

Analysis of 148 CRKP isolates revealed KPC-producing K. pneumoniae (67.6%, n = 100) as the predominant strain, followed by NDM (23.6%, n = 35), VIM (3.4%, n = 5), and OXA-48 (5.4%, n = 8). KPC producers exhibited >90% resistance to cefazolin, ceftriaxone, cefepime, cefoxitin, piperacillin/tazobactam, cefoperazone/sulbactam, levofloxacin, ciprofloxacin, aztreonam, imipenem, and meropenem, while demonstrating markedly lower resistance to tigecycline (5.1%) and ceftazidime-avibactam (4.3%). In contrast, non-KPC strains (NDM/VIM/OXA-48) showed <50% resistance to cefepime, cefoxitin, piperacillin/tazobactam, cefoperazone/sulbactam, levofloxacin, ciprofloxacin, and aztreonam, with near-zero resistance to tigecycline (0%) and ceftazidime-avibactam (1.0%). Paired t-test confirmed significantly higher overall resistance in KPC versus non-KPC groups (t = 7.617, p < 0.001) (Figure 2).

Figure 2
Bar chart comparing the effectiveness of various antibiotics against KPC and NDM, VIM, OXA-48. Blue bars represent KPC, showing consistently higher effectiveness, particularly with cefazolin, ceftriaxone, imipenem, and meropenem, all at 100%. Orange bars represent NDM, VIM, OXA-48, with lower percentages peaking at 56.3% and 56.0% for cefazolin and ceftriaxone. Tigecycline shows notable disparity: 5.1% for NDM, VIM, OXA-48 and 0% for KPC.

Figure 2. Drug resistance rates of different enzyme types in Klebsiella pneumoniae (KPC = 100cases, NDM, VIM, and OXA-48 = 48case). KPC producers exhibited >90% resistance to cefazolin, ceftriaxone, cefepime, cefoxitin, piperacillin/tazobactam, cefoperazone/sulbactam, levofloxacin, ciprofloxacin, aztreonam, imipenem, and meropenem, while demonstrating markedly lower resistance to tigecycline (5.1%) and ceftazidime/avibactam (4.3%). In contrast, non-KPC strains (NDM/VIM/OXA-48) showed <50% resistance to cefepime, cefoxitin, piperacillin/tazobactam, cefoperazone/sulbactam, levofloxacin, ciprofloxacin, and aztreonam, with near-zero resistance to tigecycline (0%) and ceftazidime/avibactam (1.0%). Paired t-test confirmed significantly higher overall resistance in KPC versus non-KPC groups (t = 7.617, p < 0.001).

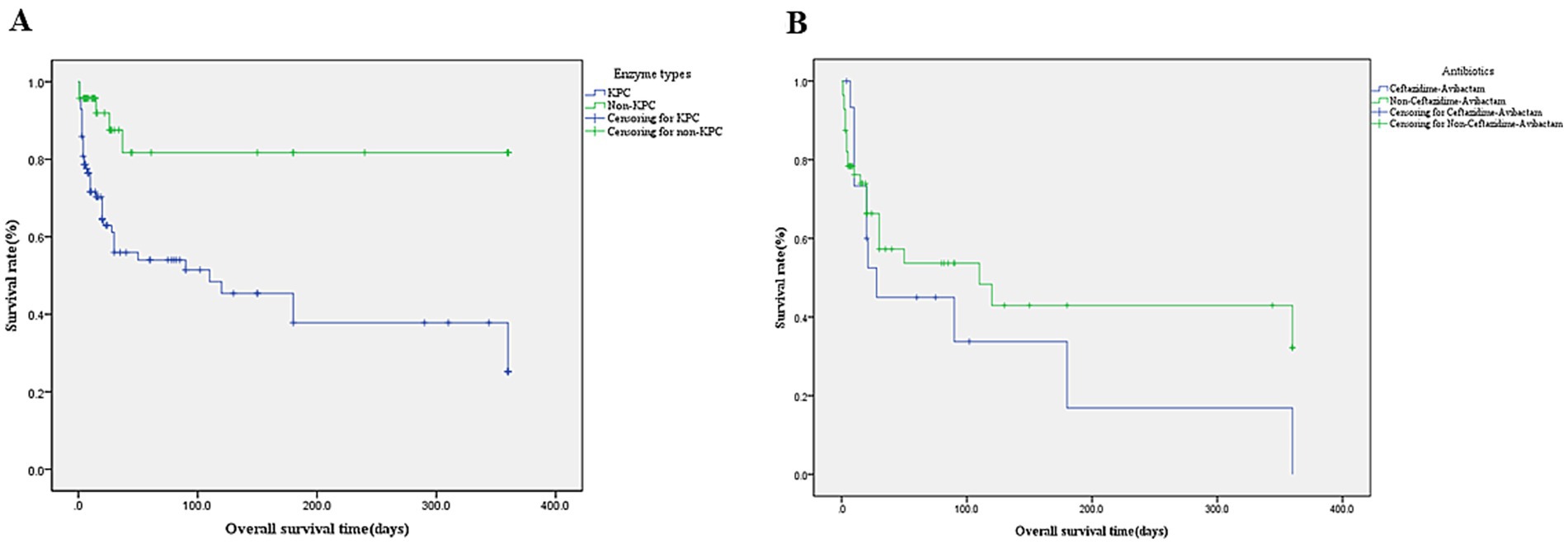
3.3 Survival outcomes in KPC-producing K. pneumoniae infections

Among 100 patients with KPC-Kp infections, the in-hospital mortality rate was 46.0%—significantly higher than the 10.4% mortality in non-KPC carbapenemase producers (NDM/VIM/OXA-48; p < 0.001), with nearly half (48%) of KPC-Kp deaths occurring within 7 days of infection. Survival analysis demonstrated substantially lower 28-day survival in KPC-Kp patients (0.609 ± 0.054) versus non-KPC groups (0.839 ± 0.069; log-rank χ2 = 17.732, p < 0.001), with KPC-Kp 90-day survival at 0.514 ± 0.061. Within the KPC-Kp cohort, 28-day survival did not significantly differ between patients receiving ceftazidime-avibactam (0.450 ± 0.132) and those not receiving this agent (0.573 ± 0.076; χ2 = 1.001, p = 0.317) (Figures 3A,B). KPC vs. NDM, VIM, OXA-48 28 days survival rate 0.609 ± 0.054 vs. 0.839 ± 0.069, χ = 17.732, p < 0.001, KPC-Kp infections demonstrated 5-day and 90-day survival rates of 0.769 ± 0.042 and 0.514 ± 0.061, respectively. In KPC-Producing K. pneumoniae infections patients, the usage rate of Ceftazidime-Avibactam vs. Non- Ceftazidime-Avibactam 28 days survival rate 0.450 ± 0.132 vs. 0.573 ± 0.076, χ = 1.001, p = 0.317.

Figure 3
Kaplan-Meier survival curves in two panels, A and B. Panel A compares survival rates based on enzyme types, KPC and non-KPC, with censored data marked. Panel B compares survival rates between the use of Ceftazidime-Avibactam and non-Ceftazidime-Avibactam antibiotics, including censored data. Both panels show time in days on the x-axis and survival rate percentage on the y-axis.

Figure 3. (A) Kaplan–Meier survival curve of enzymetype. KPC-producing vs. Non- KPC-producing mean survival days (164.1 ± 21.2) vs. (286.6 ± 28.3) and 28 days survival rate 0.609 ± 0.054 vs. 0.839 ± 0.069, χ = 17.732 , p < 0.001. (B) Kaplan–Meier survival curve of Ceftazidime-Avibactam (n = 16 cases). Ceftazidime-Avibactam vs. Non-Ceftazidime-Avibactam Mean survival days (110.1 ± 41.0) vs. (174.2 ± 29.1),28 days survival rate 0.450 ± 0.132 vs. 0.573 ± 0.076, χ = 1.001 , p = 0.317.

3.4 Risk factors associated with KPC-producing K. pneumoniae infections patient in-hospital death

Univariate analysis identified KPC-KP infection, ICU admission, infection site (particularly bloodstream), antimicrobial therapy, nosocomial acquisition, and prolonged hospitalization (median ≥20 days) as mortality-associated factors. Multivariate regression confirmed independent mortality predictors: KPC infection (OR 5.96, 95%CI 2.33–15.29, p < 0.001), bloodstream infection (OR 8.57, 95%CI 3.08–23.85, p = 0.006), ICU admission (OR 3.39, 95%CI 1.38–8.33, p = 0.006), Susceptibility-guided antimicrobial therapy (ceftazidime/avibactam, tigecycline or polymyxin B; OR 5.00, 95%CI 1.74–14.37, p < 0.001) (Figures 3, 4 and Table 2).

Figure 4
Forest plot showing risk factors with odds ratios and confidence intervals. Factors include KPC-producing K. pneumoniae (odds ratio 5.963), ICU admission (3.385), bloodstream infection (8.571), and specific antibiotics (5.000). P-values are notable for significance, with all below 0.006.

Figure 4. Risk factors associated with KPC-KP patient in-hospital death. KPC infection (OR 5.96, 95%CI 2.33–15.29, p < 0.001), bloodstream infection (OR 8.57, 95%CI 3.08–23.85, p = 0.006), ICU admission (OR 3.39, 95%CI 1.38–8.33, p = 0.006), Antimicrobial agents (ceftazidime/avibactam, tigecycline or polymyxin B; OR 5.00, 95%CI 1.74–14.37, p < 0.001).

Table 2
www.frontiersin.org

Table 2. Demographic, clinical and laboratory, findings of patients on admission.

4 Discussion

Carbapenem-resistant Klebsiella pneumoniae (CRKP) is the most prevalent carbapenem-resistant species, with K. pneumoniae carbapenemase (KPC) serving as the predominant carbapenemase (7). In our study, the majority (86%) of infections were nosocomial, while only 14% originated from external healthcare facilities. A colonization rate of 13.5% (20/148) underscores the need for multifaceted infection control interventions to curb colonization and cross-transmission (8). At our institution, KPC-producing K. pneumoniae (KPC-Kp) accounted for 1.16% (100/8647) of all K. pneumoniae infections—lower than the rate reported by Hu et al. based on 2023 CHINET data (4). In contrast, meropenem resistance reached 30.0% in 2023. These findings demonstrate that laboratory detection of clinical isolates and infection control practices critically influence CRKP prevalence in hospitals.

In our cohort, the predominant infection sites were the lung (58%), followed by bloodstream (22%), and urinary tract (11%). This distribution differs significantly from published data reporting bloodstream infections (50.1%), lower respiratory tract infections (33.3%), and complicated urinary tract infections (8.8%) (9). Major comorbidities included cerebrovascular disease/cerebral infarction (23%), pulmonary disease (16%), hematological malignancies (12%), and viral pneumonia (12%), primarily affecting patients with pulmonary involvement or extended hospital stays. Notably, older adults patients with severe comorbidities often require tracheal intubation (10), suggesting potential emergence of carbapenem-resistant hypervirulent K. pneumoniae (CR-hvKP) in this high-risk population.

Among 148 CRKP isolates in our study, KPC-producing K. pneumoniae (KPC-Kp) was predominant (67.6%, n = 100), followed by NDM (23.6%, n = 35), OXA-48 (5.4%, n = 8), and VIM (3.4%, n = 5). This distribution aligns with reported KPC dominance (77%) in Chinese CRKP isolates from 2012 to 2016 (11). KPC-Kp strains exhibited >90% resistance to most antibiotics tested—including penicillins (piperacillin/tazobactam), cephalosporins (cefazolin, ceftriaxone, cefepime, cefoxitin, cefoperazone/sulbactam), fluoroquinolones (levofloxacin, ciprofloxacin), aztreonam, and carbapenems (imipenem, meropenem)—but showed markedly lower resistance to tigecycline (5.1%) and ceftazidime/avibactam (4.3%). In contrast, non-KPC strains (NDM/VIM/OXA-48) demonstrated <50% resistance to these same agents (excluding carbapenems) and near-complete susceptibility to tigecycline (0% resistance) and ceftazidime/avibactam (1.0% resistance). Consistent with previous studies, KPC-KP exhibited higher resistance rates to antibiotics than NDM-KP (12, 13). A paired t-test confirmed significantly higher overall resistance in KPC versus non-KPC strains (t = 7.617, p < 0.001), underscoring the necessity for enhanced clinical vigilance and institution-specific infection control protocols against KPC-Kp (14).

In our study of 100 patients with KPC-Kp infections, the in-hospital mortality rate was 46.0%—significantly higher than the 10.4% mortality observed in non-KPC carbapenemase producers (NDM/VIM/OXA-48; p < 0.001). Nearly half (48%) of KPC-Kp deaths occurred within 7 days of infection. This mortality rate exceeds the pooled rate of 33% reported in a recent meta-analysis of KPC-producing CRKP infections (21 studies across seven countries, 2007–2018) (15), and is also higher than the literature-reported 30-day mortality rate of 31.6% (108/342) for KPC-Kp infections.

Survival analysis demonstrated significantly lower 28-day survival in KPC-Kp patients (0.609 ± 0.054) versus non-KPC groups (0.839 ± 0.069; log-rank χ2 = 17.732, p < 0.001), with 90-day survival at 0.514 ± 0.061 for KPC-Kp. This disparity may be attributed to higher antibiotic resistance in KPC strains and fewer therapeutic options compared to non-KPC CRKP. Within the KPC-Kp cohort, 28-day survival showed no significant difference between patients receiving ceftazidime-avibactam (0.450 ± 0.132) and those not receiving this agent (0.573 ± 0.076; χ2 = 1.001, p = 0.317). However, literature reports indicate mortality rates of 18.3% (16), 23.4% (17), 25% (18), 28.1% (19), and 34% (20) for ceftazidime-avibactam treatment of KPC-Kp infections, collectively suggesting suboptimal efficacy.

Multivariate regression confirmed independent mortality predictors: KPC-Kp infection (OR 5.96, 95%CI 2.33–15.29, p < 0.001), KPC-Kp bloodstream infection (OR 8.57, 95%CI 3.08–23.85, p = 0.006), ICU admission (OR 3.39, 95%CI 1.38–8.33, p = 0.006), and necessity of reserve antimicrobials (ceftazidime/avibactam, tigecycline, or polymyxin B; OR 5.00, 95%CI 1.74–14.37, p < 0.001). This aligns with literature demonstrating that risk factor analysis for CRKP bloodstream infections (BSIs) and their association with 28-day mortality enhances clinical understanding of BSI pathogens (21, 22), while ICU admission specifically correlates with KPC-Kp colonization (12.8%, 52/405), where prior ICU stay constitutes a major risk factor (OR 12.5, 95%CI 1.8–86.8) (23). Furthermore, pooled mortality analysis reveals temporally escalating odds ratios for CRKP versus non-CRKP infections: 7-day OR 3.22 (95%CI 1.18–8.76), 14-day OR 5.66 (95%CI 4.31–7.42), 28/30-day OR 3.87 (95%CI 3.01–4.98), and in-hospital OR 4.05 (95%CI 3.38–4.85) (24).

Conclusion, KPC-producing KP dominated (67.6%) in this study, exhibiting extensive antibiotic resistance (>90% to most agents). KPC infections caused significantly higher in-hospital mortality (46.0%) than non-KPC strains (10.4%), with 48% of KPC deaths occurring within 7 days. Mortality predictors included KPC infection itself (OR 5.96), KPC bloodstream infection (OR 8.57), ICU admission (OR 3.39), and needing reserve antibiotics (OR 5.00). This underscores urgent need for enhanced control and treatment strategies.

5 Limitation

Due to economic reasons, the number of people receiving KPC-KP Ceftazidime-Avibactam treatment is small. The major limitation of this study is that the enzymatic detection results were not confirmed by genetic amplification (e.g., PCR), which could lead to potential false-positive or false-negative results. The single-center design of this study may restrict the generalizability of its findings to other healthcare settings or geographic regions.

Data availability statement

The raw data supporting the conclusions of this article will be made available by the authors, without undue reservation.

Ethics statement

The studies involving humans were approved by the 940th Hospital Committee for Medical and Health Research Ethics. The studies were conducted in accordance with the local legislation and institutional requirements. Written informed consent for participation was not required from the participants or the participants’ legal guardians/next of kin because This study evaluated in patients with carbapenemase-producing CRKP infection diagnosed through bacteriological evidence and clinical criteria over a 12-month period.

Author contributions

QF: Methodology, Supervision, Formal analysis, Writing – original draft, Project administration, Software, Data curation, Visualization, Conceptualization, Investigation, Validation, Funding acquisition, Resources, Writing – review & editing. YS: Writing – original draft, Writing – review & editing. XH: Writing – review & editing, Writing – original draft.

Funding

The author(s) declare that no financial support was received for the research and/or publication of this article.

Acknowledgments

We thank our competent technicians for their diligent and accurate work during the data-collection process. We would also like to thank the staff at the Microbiology Laboratory, the 940 Hospital, for consecutively including cases and sending registration forms to physicians treating patients in the wards.

Conflict of interest

The authors declare that the research was conducted in the absence of any commercial or financial relationships that could be construed as a potential conflict of interest.

Generative AI statement

The authors declare that no Gen AI was used in the creation of this manuscript.

Any alternative text (alt text) provided alongside figures in this article has been generated by Frontiers with the support of artificial intelligence and reasonable efforts have been made to ensure accuracy, including review by the authors wherever possible. If you identify any issues, please contact us.

Publisher’s note

All claims expressed in this article are solely those of the authors and do not necessarily represent those of their affiliated organizations, or those of the publisher, the editors and the reviewers. Any product that may be evaluated in this article, or claim that may be made by its manufacturer, is not guaranteed or endorsed by the publisher.

Footnotes

References

1. Karampatakis, T, Tsergouli, K, and Behzadi, P. Carbapenem-resistant Klebsiella pneumoniae: virulence factors, molecular epidemiology and latest updates in treatment options. Antibiotics. (2023) 12:234. doi: 10.3390/antibiotics12020234

PubMed Abstract | Crossref Full Text | Google Scholar

2. Wang, M, Earley, M, Chen, L, Hanson, BM, Yu, Y, Liu, Z, et al. Multi-drug resistant organism network investigators. Clinical outcomes and bacterial characteristics of carbapenem-resistant Klebsiella pneumoniae complex among patients from different global regions (CRACKLE-2): a prospective, multicentre, cohort study. Lancet Infect Dis. (2022) 22:401–12. doi: 10.1016/S1473-3099(21)00399-6

PubMed Abstract | Crossref Full Text | Google Scholar

3. David, S, Reuter, S, Harris, SR, Glasner, C, Feltwell, T, Argimon, S, et al. Epidemic of carbapenem-resistant Klebsiella pneumoniae in Europe is driven by nosocomial spread. Nat Microbiol. (2019) 4:1919–29. doi: 10.1038/s41564-019-0492-8

PubMed Abstract | Crossref Full Text | Google Scholar

4. Hu, F, Pan, Y, Li, H, Han, R, Liu, X, Ma, R, et al. Carbapenem-resistant Klebsiella pneumoniae capsular types, antibiotic resistance and virulence factors in China: a longitudinal, multi-Centre study. Nat Microbiol. (2024) 9:814–29. doi: 10.1038/s41564-024-01612-1

PubMed Abstract | Crossref Full Text | Google Scholar

5. Hu, Y, Yang, Y, Feng, Y, Fang, Q, Wang, C, Zhao, F, et al. Prevalence and clonal diversity of carbapenem-resistant Klebsiella pneumoniae causing neonatal infections: a systematic review of 128 articles across 30 countries. PLoS Med. (2023) 20:e1004233. doi: 10.1371/journal.pmed.1004233

PubMed Abstract | Crossref Full Text | Google Scholar

6. CLSI ed. Performance Standards for Antimicrobial Susceptibility Testing. 31st edn, CLSI supplement M100 (Clinical and Laboratory Standards Institute, 2021) (2024).

Google Scholar

7. Ding, L, Shen, S, Chen, J, Tian, Z, Shi, Q, Han, R, et al. Klebsiella pneumoniae carbapenemase variants: the new threat to global public health. Clin Microbiol Rev. (2023) 36:e0000823. doi: 10.1128/cmr.00008-23

PubMed Abstract | Crossref Full Text | Google Scholar

8. Tumbarello, M, Raffaelli, F, Giannella, M, De Pascale, G, Cascio, A, De Rosa, FG, et al. Outcomes and predictors of mortality in patients with KPC-Kp infections treated with Meropenem Vaborbactam: an observational multicenter study. Open Forum Infect Dis. (2024) 11:ofae273. doi: 10.1093/ofid/ofae273

PubMed Abstract | Crossref Full Text | Google Scholar

9. Bassetti, M, Giacobbe, DR, Giamarellou, H, Viscoli, C, Daikos, GL, Dimopoulos, G, et al. Management of KPC-producing Klebsiella pneumoniae infections. Clin Microbiol Infect. (2018) 24:133–44. doi: 10.1016/j.cmi.2017.08.030

PubMed Abstract | Crossref Full Text | Google Scholar

10. Li, L, Li, S, Wei, X, Lu, Z, Qin, X, and Li, M. Infection with carbapenem-resistant hypervirulent Klebsiella pneumoniae: clinical, virulence and molecular epidemiological characteristics. Antimicrob Resist Infect Control. (2023) 12:124. doi: 10.1186/s13756-023-01331-y

PubMed Abstract | Crossref Full Text | Google Scholar

11. Wang, Q, Wang, X, Wang, J, Ouyang, P, Jin, C, Wang, R, et al. Phenotypic and genotypic characterization of Carbapenem-resistant Enterobacteriaceae: data from a longitudinal large-scale CRE study in China (2012-2016). Clin Infect Dis. (2018) 67:S196–205. doi: 10.1093/cid/ciy660

PubMed Abstract | Crossref Full Text | Google Scholar

12. Ran, X, Chen, X, Wang, C, Wang, H, Xie, W, and Jing, C. Carbapenem-resistant Klebsiella pneumoniae infections in Chinese children: in vitro activities of ceftazidime-avibactam and aztreonam-avibactam against carbapenemase-producing strains in a two-center study. Front Cell Infect Microbiol. (2025) 15:1545999. doi: 10.3389/fcimb.2025.1545999

PubMed Abstract | Crossref Full Text | Google Scholar

13. Lin, L, Xiao, X, Wang, X, Xia, M, and Liu, S. In vitro antimicrobial susceptibility differences between Carbapenem-resistant KPC-2-producing and NDM-1-producing Klebsiella pneumoniae in a teaching Hospital in Northeast China. Microb Drug Resist. (2020) 26:94–9. doi: 10.1089/mdr.2018.0398.

PubMed Abstract | Crossref Full Text | Google Scholar

14. Liao, W, Liu, Y, and Zhang, W. Virulence evolution, molecular mechanisms of resistance and prevalence of ST11 carbapenem-resistant Klebsiella pneumoniae in China: a review over the last 10 years. J Glob Antimicrob Resist. (2020) 23:174–80. doi: 10.1016/j.jgar.2020.09.004

PubMed Abstract | Crossref Full Text | Google Scholar

15. Agyeman, AA, Bergen, PJ, Rao, GG, Nation, RL, and Landersdorfer, CB. A systematic review and meta-analysis of treatment outcomes following antibiotic therapy among patients with carbapenem-resistant Klebsiella pneumoniae infections. Int J Antimicrob Agents. (2020) 55:105833. doi: 10.1016/j.ijantimicag.2019.10.014.

PubMed Abstract | Crossref Full Text | Google Scholar

16. Karaiskos, I, Daikos, GL, Gkoufa, A, Adamis, G, Stefos, A, Symbardi, S, et al. Ceftazidime/avibactam in the era of carbapenemase-producing Klebsiella pneumoniae: experience from a national registry study. J Antimicrob Chemother. (2021) 76:775–83. doi: 10.1093/jac/dkaa503

Crossref Full Text | Google Scholar

17. Castón, JJ, Gallo, M, García, M, Cano, A, Escribano, A, Machuca, I, et al. Ceftazidime-avibactam in the treatment of infections caused by KPC-producing Klebsiella pneumoniae: factors associated with clinical efficacy in a single-center cohort. Int J Antimicrob Agents. (2020) 56:106075. doi: 10.1016/j.ijantimicag.2020.106075

PubMed Abstract | Crossref Full Text | Google Scholar

18. Tumbarello, M, Raffaelli, F, Giannella, M, Mantengoli, E, Mularoni, A, Venditti, M, et al. pneumoniae infections: a retrospective observational multicenter study. Clin Infect Dis. (2021) 73:1664–76. doi: 10.1093/cid/ciab176

PubMed Abstract | Crossref Full Text | Google Scholar

19. Lin, YT, Lin, SN, Chuang, C, Liu, SY, Ho, YC, Juan, CH, et al. Risk factors for mortality in patients treated with ceftazidime-avibactam for ceftazidime-avibactam susceptible carbapenem-resistant Klebsiella pneumoniae bacteremia. J Infect Public Health. (2025) 18:102836. doi: 10.1016/j.jiph.2025.102836. Epub ahead of print

PubMed Abstract | Crossref Full Text | Google Scholar

20. Tumbarello, M, Trecarichi, EM, Corona, A, De Rosa, FG, Bassetti, M, Mussini, C, et al. Efficacy of ceftazidime-avibactam salvage therapy in patients with infections caused by Klebsiella pneumoniae carbapenemase-producing K. pneumoniae. Clin Infect Dis. (2019) 68:355–64. doi: 10.1093/cid/ciy492

PubMed Abstract | Crossref Full Text | Google Scholar

21. Wu, Y, Yu, W, Chu, X, Zhang, J, Jia, P, Liu, X, et al. Effect of ceftazidime-avibactam combined with different antimicrobials against carbapenem-resistant Klebsiella pneumoniae. Microbiol Spectr. (2024) 12:e0010724. doi: 10.1128/spectrum.00107-24

PubMed Abstract | Crossref Full Text | Google Scholar

22. Cheng, Y, Cheng, Q, Zhang, R, Gao, JY, Li, W, Wang, FK, et al. Retrospective analysis of molecular characteristics, risk factors, and outcomes in carbapenem-resistant Klebsiella pneumoniae bloodstream infections. BMC Microbiol. (2024) 24:309. doi: 10.1186/s12866-024-03465-4

PubMed Abstract | Crossref Full Text | Google Scholar

23. Papadimitriou-Olivgeris, M, Marangos, M, Fligou, F, Christofidou, M, Bartzavali, C, Anastassiou, ED, et al. Risk factors for KPC-producing Klebsiella pneumoniae enteric colonization upon ICU admission. J Antimicrob Chemother. (2012) 67:2976–81. doi: 10.1093/jac/dks316.

PubMed Abstract | Crossref Full Text | Google Scholar

24. Li, D, Huang, X, Rao, H, Yu, H, Long, S, Li, Y, et al. Klebsiella pneumoniae bacteremia mortality: a systematic review and meta-analysis. Front Cell Infect Microbiol. (2023) 20:1157010. doi: 10.3389/fcimb.2023.1157010

Crossref Full Text | Google Scholar

Keywords: KPC-Kp, clinical characteristics, survival analysis, mortality, risk factors

Citation: Feng Q, Song Y and Ha X (2025) Clinical epidemiology and prognostic factors in patients with KPC-producing K. pneumoniae infections: a retrospective cohort study. Front. Public Health. 13:1668530. doi: 10.3389/fpubh.2025.1668530

Received: 18 July 2025; Accepted: 03 October 2025;
Published: 24 October 2025.

Edited by:

Spyros Pournaras, National and Kapodistrian University of Athens, Greece

Reviewed by:

Kasturi Banerjee, CSL, United States
Alexandra Myari, Ioannina Health Center, Greece

Copyright © 2025 Feng, Song and Ha. This is an open-access article distributed under the terms of the Creative Commons Attribution License (CC BY). The use, distribution or reproduction in other forums is permitted, provided the original author(s) and the copyright owner(s) are credited and that the original publication in this journal is cited, in accordance with accepted academic practice. No use, distribution or reproduction is permitted which does not comply with these terms.

*Correspondence: Xiaoqin Ha, ZnFzMzI4QDE2My5jb20=

Disclaimer: All claims expressed in this article are solely those of the authors and do not necessarily represent those of their affiliated organizations, or those of the publisher, the editors and the reviewers. Any product that may be evaluated in this article or claim that may be made by its manufacturer is not guaranteed or endorsed by the publisher.