ORIGINAL RESEARCH article
Front. Public Health
Sec. Aging and Public Health
This article is part of the Research TopicAssociation of Diabetes Mellitus with Cognitive Impairment and Neurological Disorders Vol. 2View all 13 articles
U-Shaped Association Between BMI and Cognitive Impairment in Middle-Aged and Older Adults with Type 2 Diabetes: Effect Modification by Lifestyle and Exercise
Provisionally accepted- 1School of Health Management, Shanghai Jian Qiao University, shanghai, China
- 2Shanghai Jiao Tong University Affiliated Sixth Peoples's Hospital South Campus, shanghai, China
Select one of your emails
You have multiple emails registered with Frontiers:
Notify me on publication
Please enter your email address:
If you already have an account, please login
You don't have a Frontiers account ? You can register here
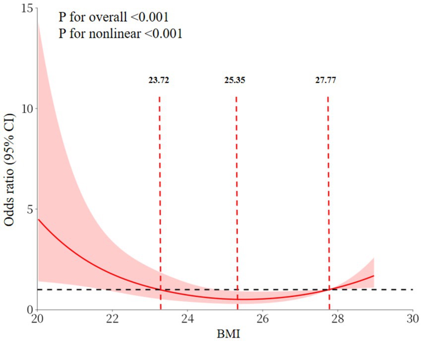
Objective: To explore the correlation between body mass index (BMI) and cognitive impairment in type 2 diabetes patients through a cross-sectional observational study. Methods: Data on basic information and cognitive impairment of type 2 diabetes were collected through questionnaires, and the correlation between BMI and cognitive impairment of type 2 diabetes was analyzed using logistic regression model, restricted cubic spline (RCS) model and subgroup analysis. At the same time, the interaction between BMI and exercise, living status and other factors was tested. Results: A total of 565 valid samples were included in this study and 51.15% had cognitive impairment. The mean BMI score was 24.51 ± 2.16 kg/m². An inverse association between BMI score and cognitive impairment in patients with was observed in all three models. Subsequent regression analysis using RCS confirmed this nonlinear association and found two inflection points at 23.72 kg/m² and 27.77 kg/m². Specifically, cognitive impairment increased with decreasing BMI at BMI scores <23.72 kg/m², was least expressed in the interval 23.72 kg/m²-27.77 kg/m², and increased with increasing BMI scores > 27.77 kg/m². In addition, the interaction between BMI and factors such as exercise and lifestyle was examined, and the results showed that the interaction did not reach the statistical significance level. Conclusion: Observations indicate that the U-shaped relationship between cognitive impairment and BMI observed in middle-aged and older adults with type 2 diabetes was more pronounced in those who live alone and are physically inactive. Although the interaction test was not significant, the subgroup analysis suggested that middle-aged and older adults with type 2 diabetes who live alone and are physically inactive may need to manage their BMI more rigorously.
Keywords: diabetes, cognitive impairment, Body mass index (BMI), nonlinear association, Restricted Cubic Splines (RCS), Cross-sectional study
Received: 06 Aug 2025; Accepted: 12 Nov 2025.
Copyright: © 2025 Ge, Han, Peng, Zhang and Zheng. This is an open-access article distributed under the terms of the Creative Commons Attribution License (CC BY). The use, distribution or reproduction in other forums is permitted, provided the original author(s) or licensor are credited and that the original publication in this journal is cited, in accordance with accepted academic practice. No use, distribution or reproduction is permitted which does not comply with these terms.
* Correspondence:
Shan Zhang, shanzhang_168@163.com
Limei Zheng, zhenglm2004@163.com
Disclaimer: All claims expressed in this article are solely those of the authors and do not necessarily represent those of their affiliated organizations, or those of the publisher, the editors and the reviewers. Any product that may be evaluated in this article or claim that may be made by its manufacturer is not guaranteed or endorsed by the publisher.
