ORIGINAL RESEARCH article
Front. Public Health
Sec. Children and Health
Global, regional, and national burden of acute glomerulonephritis in children and adolescents: 1990–2021 analysis and future projections
Provisionally accepted- 1Suining Central Hospital, Suining, China
- 2Department of Respiratory Medicine of Children’s Hospital of Chongqing Medical University, Chongqing, China
Select one of your emails
You have multiple emails registered with Frontiers:
Notify me on publication
Please enter your email address:
If you already have an account, please login
You don't have a Frontiers account ? You can register here
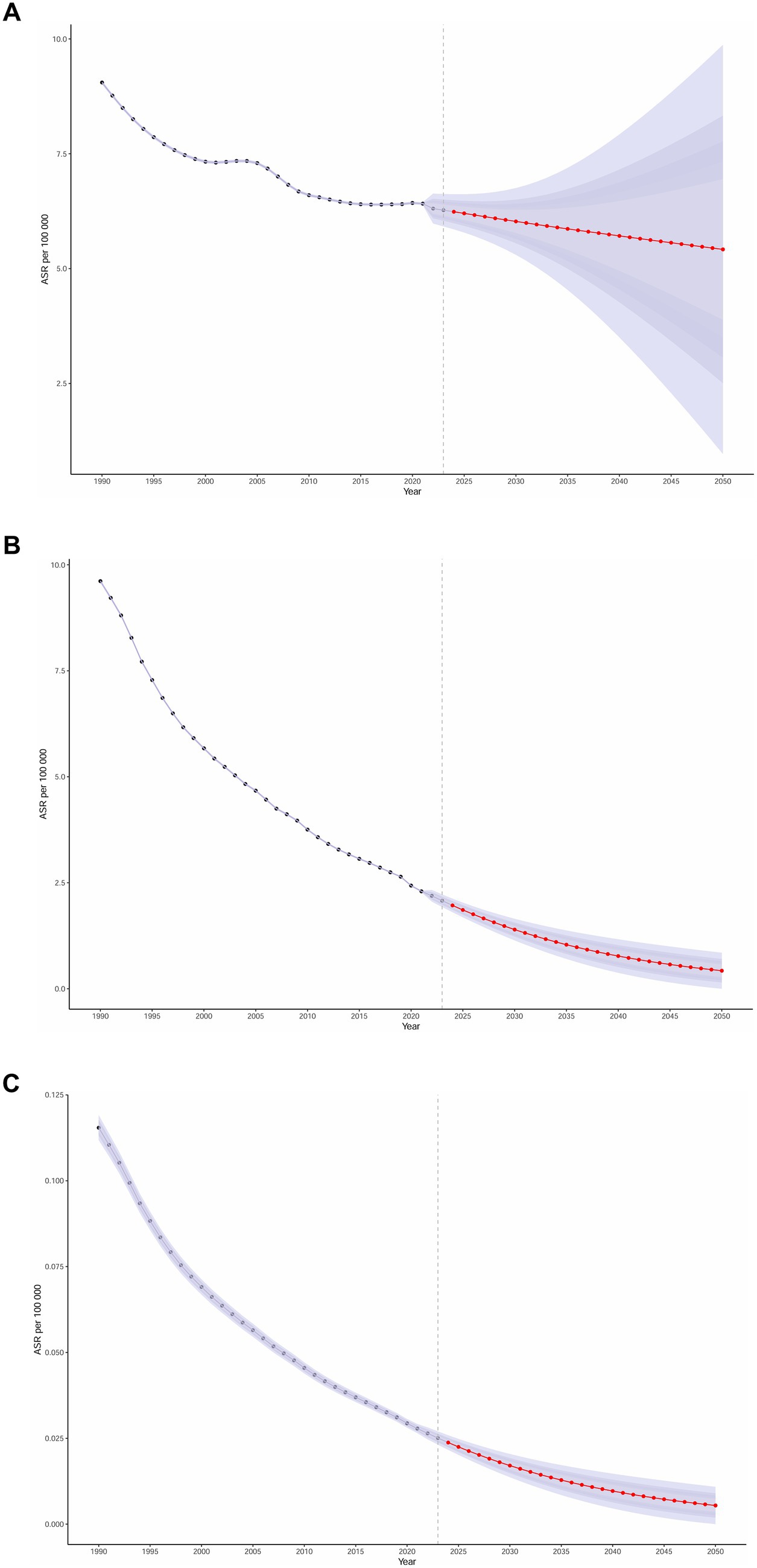
Background: Acute glomerulonephritis (AGN) remains a significant issue in global health, yet its burden among children and adolescents has not been sufficiently characterized. This study aims to systematically estimate the global, regional, and national burden of AGN, as well as its temporal trends from 1990 to 2021. Methods: This study utilized data from the Global Burden of Disease (GBD) 2021 study, focusing on incidence rates, disability-adjusted life years (DALYs), and mortality among individuals under 20 years of age. Estimated annual percentage changes (EAPCs) were employed to assess temporal trends, and statistical analyses were conducted to examine correlations with the Socio-Demographic Index (SDI). Additionally, we performed decomposition and inequality analyses, along with Bayesian Age-Period-Cohort (BAPC) analyses, to evaluate trends and distributions related to the burden of AGN. Results: From 1990 to 2021, the global burden of AGN among children and adolescents remained significantly high. In 2021, there were approximately 170,584 new cases, representing a decrease compared to earlier years, with an age-standardized incidence rate (ASIR) of 6.47 per 100,000 (95% UI: 4.79–8.45). The EAPC for incidence showed a declining trend of -1.03% (95% CI: -1.15, -0.92). The total number of DALYs associated with AGN was 59,588.50 (95% UI: 32,925.73–79,649.94), with an age-standardized DALY rate of 2.26 per 100,000 (95% UI: 1.25–3.02), demonstrating a significant decline represented by an EAPC of -4.33% (95% CI: -4.46, -4.21). Gender differences were minimal; however, disparities across SDI regions were pronounced, with middle SDI regions exhibiting the highest incidence rate at 8.87 per 100,000, and increasing incidence rates observed in lower-middle and low SDI regions. Notably, China reported the highest number of cases, followed by Brazil and India. Furthermore, absolute inequality among SDI countries improved from 1990 to 2021, while relative inequality intensified during the same period. Conclusion: This study underscores the substantial and evolving burden of AGN among children and adolescents, highlighting the urgent need for targeted public health strategies and interventions to address disparities in disease burden and improve health outcomes in vulnerable populations.
Keywords: Acute glomerulonephritis (AGN), Disability-adjusted life years (DALYs), Epidemiology, Socio-demographic index (SDI), public health interventions
Received: 01 Aug 2025; Accepted: 10 Nov 2025.
Copyright: © 2025 Liu, Liao, Gou and Yang. This is an open-access article distributed under the terms of the Creative Commons Attribution License (CC BY). The use, distribution or reproduction in other forums is permitted, provided the original author(s) or licensor are credited and that the original publication in this journal is cited, in accordance with accepted academic practice. No use, distribution or reproduction is permitted which does not comply with these terms.
* Correspondence: Ping Yang, 13320245382@163.com
Disclaimer: All claims expressed in this article are solely those of the authors and do not necessarily represent those of their affiliated organizations, or those of the publisher, the editors and the reviewers. Any product that may be evaluated in this article or claim that may be made by its manufacturer is not guaranteed or endorsed by the publisher.
