ORIGINAL RESEARCH article
Front. Public Health
Sec. Infectious Diseases: Epidemiology and Prevention
Global Burden of Hepatitis C Virus Infection Related to High Body Mass Index and Future Forecast: An Analysis Based on The Global Burden of Disease Study 2021
Provisionally accepted- Third Affiliated Hospital of Guangzhou Medical University, Guangzhou, China
Select one of your emails
You have multiple emails registered with Frontiers:
Notify me on publication
Please enter your email address:
If you already have an account, please login
You don't have a Frontiers account ? You can register here
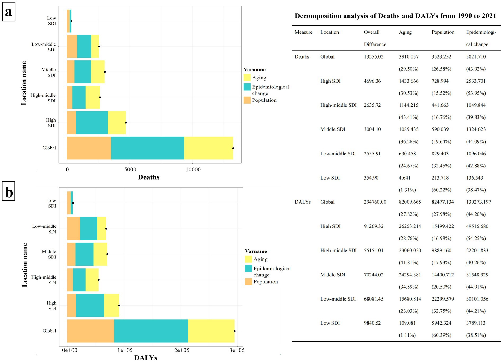
Objective: The global prevalence of obesity is rising, and prior research has established a strong link between obesity and hepatitis C prognosis. However, the impact of high body mass index (HBMI) on the HCV burden remains uncertain. This study sought to clarify the overall HCV burden related to HBMI and examine temporal trends. Methods: Public data from the Global Burden of Disease (GBD) database (1990-2021) were utilized to analyze the global and different Socio-demographic index (SDI) regional burden of HCV associated with obesity, focusing on Deaths, Disability-Adjusted Life Years (DALYs), Years Lived with Disability (YLDs), and Years of Life Lost (YLLs). Trends in the HCV burden were assessed using Estimated Annual Percentage Changes (EAPCs) and Average Annual Percentage Changes (AAPCs) via Joinpoint regression. Frontier analysis was conducted to explore the relationship between the HCV burden linked to HBMI and Socio-demographic development. An ARIMA model was then developed to forecast the Age-standardized Mortality Rate (ASMR) and Age-standardized DALYs Rate (ASDR) of HBMI-associated hepatitis C over the next 15 years. Results: From 1990 to 2021, global HCV deaths related to obesity rose from 3,835 to 17,090, with DALYs increasing from 94,503 to 389,263. The EAPCs for ASMR and ASDR were 2.20 and 2.10, respectively. Obesity posed a greater burden on female patients infected with HCV virus compared to males. In terms of age, the effect of HBMI on HCV patients increased with age. Over the past 30 years, ASMR and ASDR have consistently risen across all SDI regions (All regions: EAPCs > 0, 95% CIs > 0). The High SDI region reported the highest deaths, DALYs, ASMR, and ASDR annually, indicating the greatest obesity impact on HCV burden of this area. However, obesity also had an increasingly large impact on the HCV disease burden in the Middle SDI and Low-middle SDI regions. Projections suggest a continued increase in the obesity-related HCV burden globally and across different SDI regions over the next 15 years. Conclusion: Obesity poses an increasing disease burden for people infected with hepatitis C virus. Targeted public health interventions are urgently needed to alleviate this burden.
Keywords: Hepatitis C virus, Body Mass Index, Global burden of disease, socio-demographic index, World Health Organization
Received: 14 Aug 2025; Accepted: 06 Nov 2025.
Copyright: © 2025 Pan, Chen, Wu, Zhai, Ou and Zhou. This is an open-access article distributed under the terms of the Creative Commons Attribution License (CC BY). The use, distribution or reproduction in other forums is permitted, provided the original author(s) or licensor are credited and that the original publication in this journal is cited, in accordance with accepted academic practice. No use, distribution or reproduction is permitted which does not comply with these terms.
* Correspondence: Xingfei Pan, panxf0125@163.com
Disclaimer: All claims expressed in this article are solely those of the authors and do not necessarily represent those of their affiliated organizations, or those of the publisher, the editors and the reviewers. Any product that may be evaluated in this article or claim that may be made by its manufacturer is not guaranteed or endorsed by the publisher.
