ORIGINAL RESEARCH article
Front. Public Health
Sec. Public Health Policy
This article is part of the Research TopicAddressing Health Disparities through Global Disease Burden Analysis: From Evidence to Equitable PolicyView all 4 articles
Global, regional, and national burden of infertility attributable to polycystic ovary syndrome, 1990–2021: Results from the Global Burden of Disease Study 2021
Provisionally accepted- 1Guangzhou Medical University, Guangzhou, China
- 2Guangzhou Medical University Second Affiliated Hospital, Guangzhou, China
Select one of your emails
You have multiple emails registered with Frontiers:
Notify me on publication
Please enter your email address:
If you already have an account, please login
You don't have a Frontiers account ? You can register here
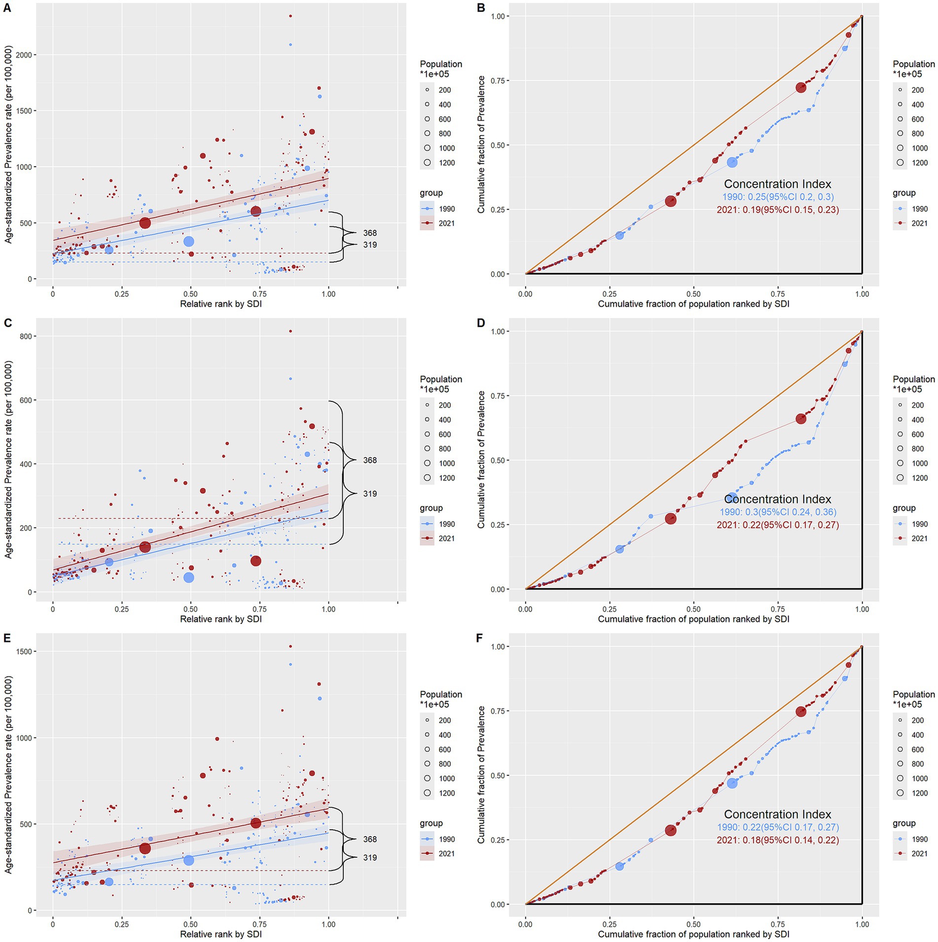
Background Analyzing the temporal trends, inequalities, and predictions of the infertility burden among women of childbearing age due to polycystic ovary syndrome. Methods We employed a connection point regression analysis to carefully examine the temporal trends of PCOS-related infertility from 1990 to 2021. An age-period-cohort model was used to assess changes in prevalence across different ages, time periods, and birth cohorts. We also used Bayesian predictive models to forecast future burdens, conducted decomposition analyses to identify key drivers and assess inequalities across socioeconomic levels, and evaluated health inequalities. Results From 1990 to 2021, the global age-standardized prevalence rate of PCOS-related infertility increased from 475.54 to 638.15 per 100,000 population, and the years lived with disability (YLDs) increased from 2.77 to 3.67; the number of patients increased from 6.316 million to 12.467 million, with the growth rate of secondary infertility being higher than that of primary infertility. High SDI regions had a high base but showed a slowing growth trend, while middle SDI regions exhibited the fastest "catch-up" growth; East Asia and South Asia ranked among the top in annual growth rate. The global age peak was between 40–44 years, with the peak for primary infertility advancing to 20–24 years. It is projected that the number of patients will reach 22.43 million by 2050, of which secondary infertility will account for 82.8%. The absolute gap between high-SDI and low-SDI countries widened, while the relative gap narrowed; the driving factors were mainly Epidemic changes in high SDI regions and population growth in low SDI regions. Conclusions PCOS-related infertility has evolved into a global public health crisis, requiring urgent implementation of precise prevention and control measures based on the life cycle and SDI gradient, as well as promotion of transnational technology sharing and data standardization to avoid its systemic erosion of the reproductive health of the next generation of women.
Keywords: Global burden of disease, Infertility, Polycystic Ovary Syndrome, Prevalence, Years lived with disability
Received: 27 Aug 2025; Accepted: 27 Oct 2025.
Copyright: © 2025 Liang, Zhong, Huang, Shi and Ou. This is an open-access article distributed under the terms of the Creative Commons Attribution License (CC BY). The use, distribution or reproduction in other forums is permitted, provided the original author(s) or licensor are credited and that the original publication in this journal is cited, in accordance with accepted academic practice. No use, distribution or reproduction is permitted which does not comply with these terms.
* Correspondence:
Wenjing Shi, swj3647@163.com
Yuhua Ou, 1053668734@qq.com
Disclaimer: All claims expressed in this article are solely those of the authors and do not necessarily represent those of their affiliated organizations, or those of the publisher, the editors and the reviewers. Any product that may be evaluated in this article or claim that may be made by its manufacturer is not guaranteed or endorsed by the publisher.
