SYSTEMATIC REVIEW article
Front. Public Health
Sec. Disaster and Emergency Medicine
Emergency Trauma Care and Patient Outcomes: Evidence from a Meta-Analysis of Global Studies
Provisionally accepted- Taizhou Hospital of Zhejiang Province, Taizhou, Zhejiang, China, Taizhou, China
Select one of your emails
You have multiple emails registered with Frontiers:
Notify me on publication
Please enter your email address:
If you already have an account, please login
You don't have a Frontiers account ? You can register here
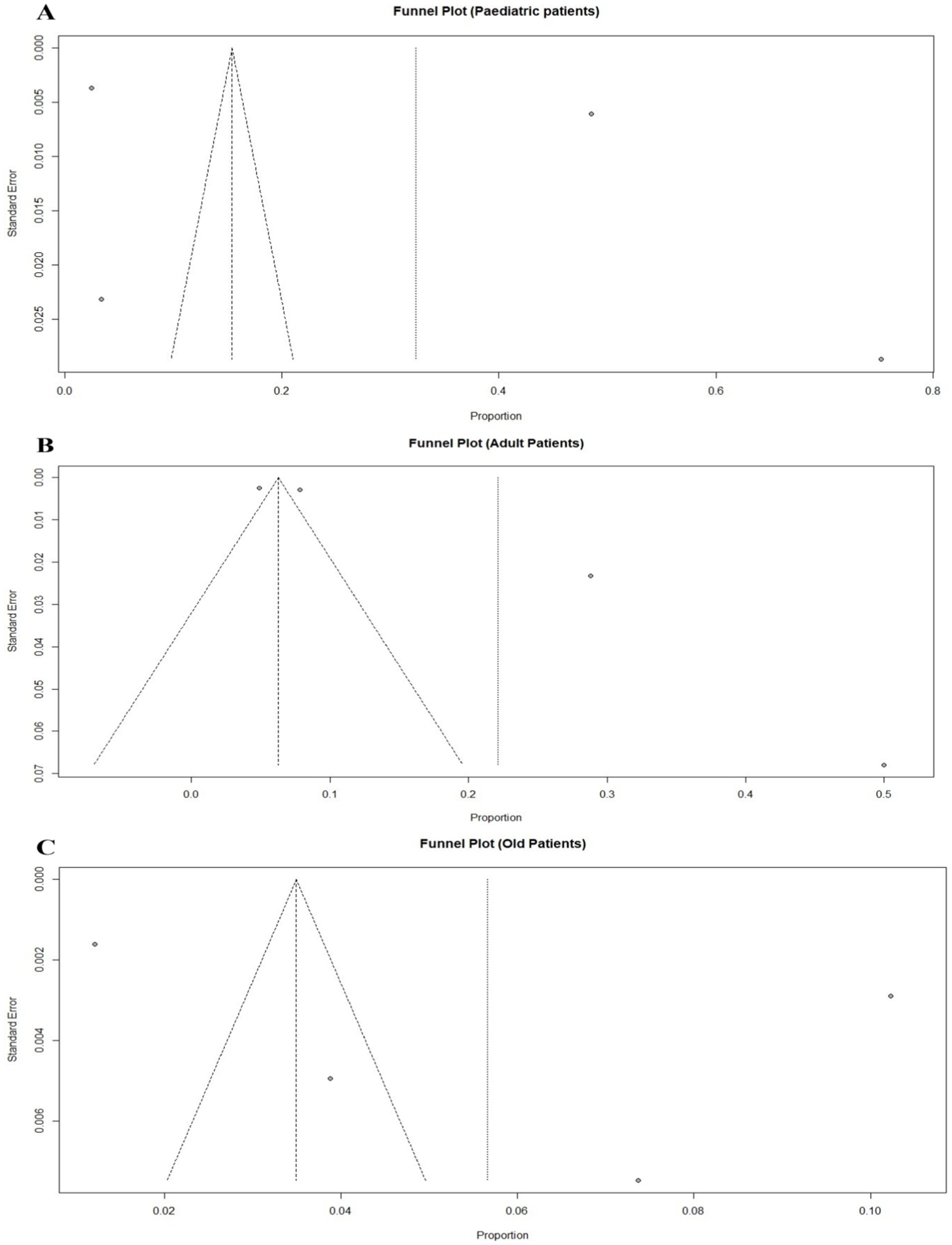
Background: Trauma remains one of the leading global health challenges, with morbidity and mortality disproportionately affecting low-and middle-income countries (LMICs). While high-income nations have reported improved outcomes through the implementation of structured trauma systems, LMICs continue to bear the greatest burden of trauma-related deaths. Objective: This meta-analysis evaluates the influence of trauma centers and organized trauma systems on reducing mortality among patients with traumatic injuries, irrespective of age, region, or mechanism of injury. Methods: A meta-analysis was conducted of peer-reviewed studies published between January 2010 and December 2022, retrieved from PubMed, Scopus, and Google Scholar. Eligible studies included all age groups and trauma types, comparing outcomes between trauma centers/systems versus non-trauma settings, as well as pre-and post-implementation periods of trauma systems. Data were synthesized using relative risk (RR) and 95% confidence intervals (CIs). Results: Eighteen studies met the inclusion criteria. Group A (trauma centers/systems vs. non-trauma centers/systems) reported a reduced mortality risk associated with organized trauma care (RR = 1.14; 95% CI: 0.98–1.34; I² = 89.37%). Group B (pre-vs. post-system implementation) showed a significant decrease in mortality following system introduction (RR = 1.87; 95% CI: 0.79–4.43; I² = 99.55%). Funnel plot analyses indicated minimal publication bias. Conclusion: Evidence supports the role of trauma centers and systems in significantly improving survival among trauma patients. However, persistent disparities remain, especially in LMICs and rural areas. Future research should emphasize long-term patient outcomes and strategies to reduce inequities in trauma care delivery.
Keywords: Trauma, Morbidity, Mortality, Meta-analysis, Trauma systems, Survival outcomes
Received: 31 Aug 2025; Accepted: 17 Oct 2025.
Copyright: © 2025 Li, Feng, Zhao, Zhang and Jiang. This is an open-access article distributed under the terms of the Creative Commons Attribution License (CC BY). The use, distribution or reproduction in other forums is permitted, provided the original author(s) or licensor are credited and that the original publication in this journal is cited, in accordance with accepted academic practice. No use, distribution or reproduction is permitted which does not comply with these terms.
* Correspondence: Weijie Jiang, jiangwj1716@outlook.com
Disclaimer: All claims expressed in this article are solely those of the authors and do not necessarily represent those of their affiliated organizations, or those of the publisher, the editors and the reviewers. Any product that may be evaluated in this article or claim that may be made by its manufacturer is not guaranteed or endorsed by the publisher.
