ORIGINAL RESEARCH article
Front. Public Health
Sec. Public Health Education and Promotion
Access, Awareness, and Risk: Drivers of Unsafe Sharps Disposal and Needle Reuse in Insulin-Treated Adults in China
Provisionally accepted- Department of Respiratory and Critical Care Medicine, The Central Hospital of Enshi Tujia and Miao Autonomous Prefecture, Enshi, China
Select one of your emails
You have multiple emails registered with Frontiers:
Notify me on publication
Please enter your email address:
If you already have an account, please login
You don't have a Frontiers account ? You can register here
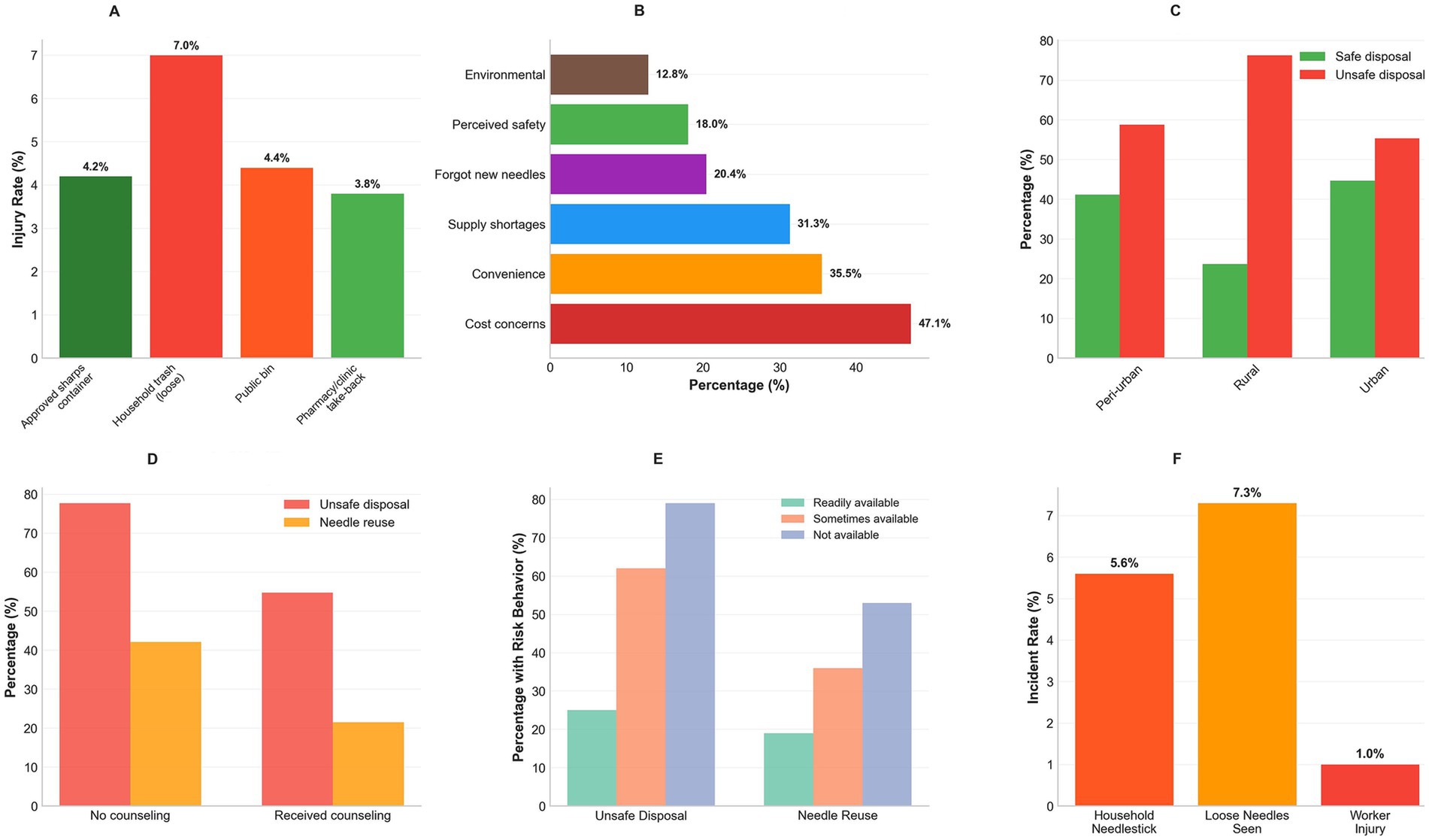
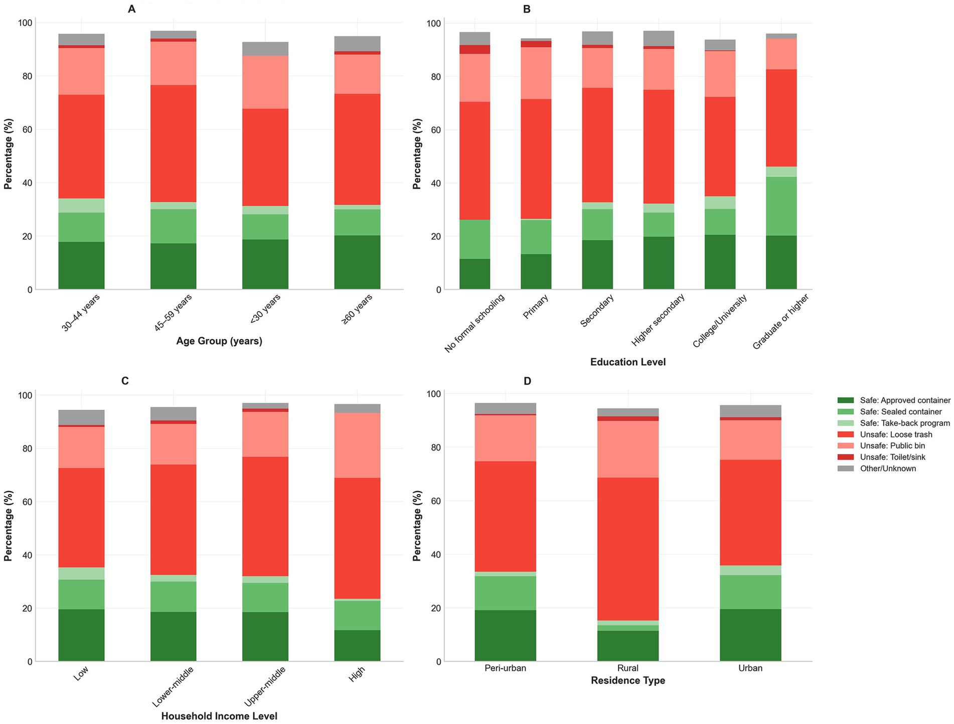
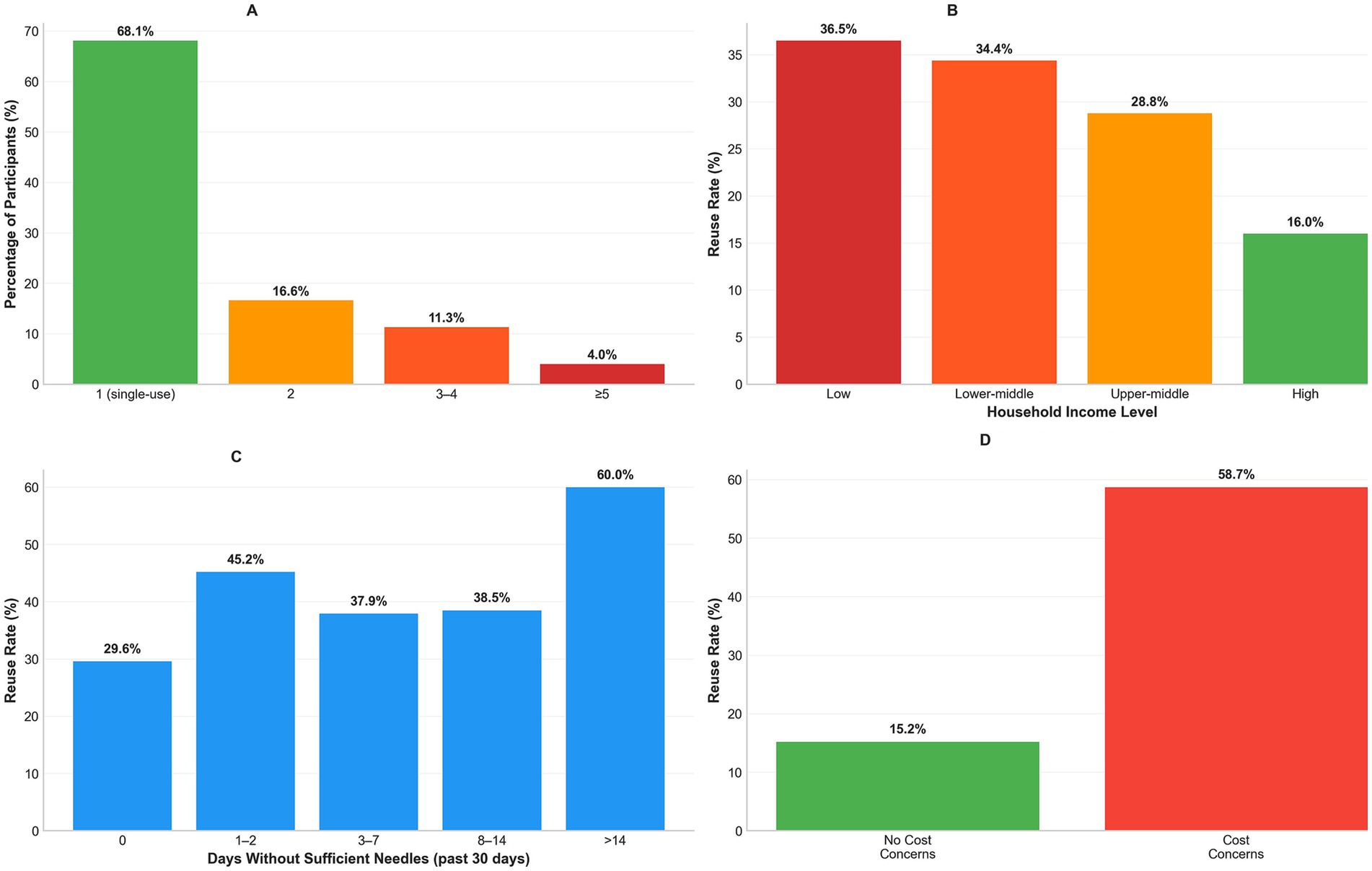
Background: Unsafe household sharps disposal and needle reuse among insulin-treated adults carry clinical and public health risks, yet population-based data from China are limited. Methods: We conducted a cross-sectional survey of consecutive insulin-treated outpatients at a tertiary hospital in Enshi, Hubei (February 2023–December 2024). A cross-culturally adapted questionnaire captured 30-day disposal and reuse practices, community safety incidents, and access determinants. Primary outcomes were unsafe disposal (household trash, public bin, or toilet/sink) and any needle reuse. Multivariable logistic regression estimated adjusted odds ratios (aORs) with 95% confidence intervals (CIs). Results: Among 1,810 insulin‑treated adults, unsafe sharps disposal was common (59.0%, 95% CI: 56.7–61.2%), loose trash 43.5%, public bins 15.9%; approved containers 24.7%. Needle reuse occurred in 32.5%, 95% CI: 30.4–34.7%; among reusers (n=588), cost was the leading reason (47.1%). In adjusted models, unsafe disposal was associated with younger age (<30 years aOR 2.31, 95% CI 1.42–3.76; 30–44 years 1.67, 1.28–2.18), male sex (1.38, 1.14–1.67), lower education (no formal/primary 2.84, 2.02–3.99), low income (3.42, 2.31–5.07), travel time >30 minutes (1.94, 1.51–2.49), unawareness of take‑back programs (2.12, 1.75–2.57), and limited container availability (2.45, 2.01–2.98); pump use (0.45, 0.27–0.75) and counseling (0.35, 0.29–0.43). Needle reuse showed similar patterns: younger age (1.89, 1.18–3.03), male sex (1.29, 1.07–1.55), lower education (2.16, 1.56–2.99), low income (2.87, 1.95–4.24), diabetes duration ≥10 years (1.34, 1.11–1.61), travel time >30 minutes (1.78, 1.39–2.28), unawareness (1.87, 1.55–2.26), and limited containers (3.21, 2.64–3.90); pump use (0.31, 0.15–0.64) and counseling (0.42, 0.35–0.51). Community‑safety risks increased: unsafe disposal raised odds of household needlestick (3.47, 2.01–5.99) and observed community needles (2.89, 1.85–4.52); reuse increased both (2.23, 1.42–3.50; 1.67, 1.13–2.47). Conclusions: Unsafe disposal and needle reuse are prevalent, with strong socioeconomic gradients. Targeted education, container provision, and accessible take-back programs may improve patient and community safety in China.
Keywords: Insulin injection, Sharps disposal, Needle reuse, community safety, take-backprograms, China
Received: 03 Sep 2025; Accepted: 24 Oct 2025.
Copyright: © 2025 Wu and Wang. This is an open-access article distributed under the terms of the Creative Commons Attribution License (CC BY). The use, distribution or reproduction in other forums is permitted, provided the original author(s) or licensor are credited and that the original publication in this journal is cited, in accordance with accepted academic practice. No use, distribution or reproduction is permitted which does not comply with these terms.
* Correspondence: Fang Wang, wff_es@163.com
Disclaimer: All claims expressed in this article are solely those of the authors and do not necessarily represent those of their affiliated organizations, or those of the publisher, the editors and the reviewers. Any product that may be evaluated in this article or claim that may be made by its manufacturer is not guaranteed or endorsed by the publisher.
