ORIGINAL RESEARCH article
Front. Public Health
Sec. Environmental Health and Exposome
Inflammatory markers partially mediate the association between volatile organic compounds exposure and hyperlipidemia: A nationally representative cross-sectional study from NHANES
Provisionally accepted- 1The Fourth Hospital of Hebei Medical University Cancer Institute, Shijiazhuang, China
- 2Hebei Medical University School of Public Health, Shijiazhuang, China
Select one of your emails
You have multiple emails registered with Frontiers:
Notify me on publication
Please enter your email address:
If you already have an account, please login
You don't have a Frontiers account ? You can register here
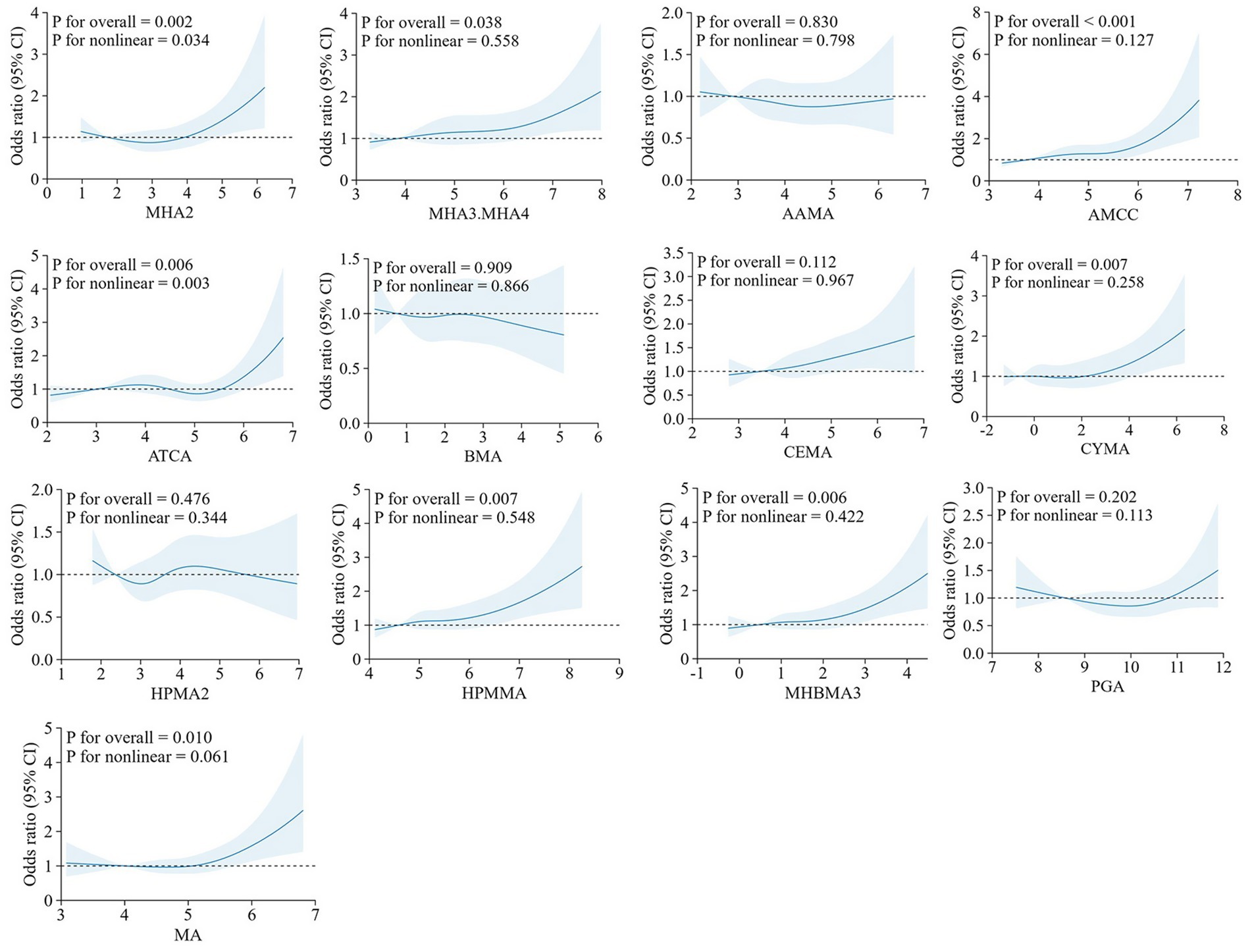
Background: While studies have explored associations between volatile organic compounds (VOCs) and metabolic diseases, evidence specifically linking VOCs to hyperlipidemia remains limited. This study aimed to examine the association between urinary VOC metabolites and hyperlipidemia prevalence in U.S. adults. Methods: Leveraging data from the 2011-2018 National Health and Nutrition Examination Survey (NHANES), this study employed weighted logistic regression, restricted cubic spline (RCS) models, weighted quantile sum (WQS) regression, quantile-based g-computation (qgcomp), and Bayesian kernel machine regression (BKMR) to evaluate associations of individual and mixed VOC exposures with hyperlipidemia. All models were adjusted for covariates including sex, age, race/ethnicity, poverty income ratio (PIR), education level, marital status, body mass index (BMI), smoking status, alcohol consumption, and urinary creatinine. Subgroup analyses assessed effect modifications by sex and age. Multiple-mediator analysis examined the roles of inflammatory biomarkers (white blood cell, lymphocyte, and neutrophil counts) in the association between VOC exposure and hyperlipidemia. Results: Among 1,979 included participants, weighted logistic regression identified 13 VOC metabolites significantly associated with increased hyperlipidemia risk. Subgroup analyses revealed stronger effects in females and individuals aged <60 years. The RCS model demonstrated positive linear dose-response relationships for hyperlipidemia risk with exposure to xylene, N,N-dimethylformamide, acrylonitrile, crotonaldehyde, 1,3-butadiene, and styrene. Mixture analyses showed significant positive associations via both WQS (1.312 [1.073, 1.606]) and qgcomp (1.296 [1.035, 1.623]), with N,N-dimethylformamide being primary contributor. However, BKMR detected no significant association. Multiple-mediator analysis indicated that inflammatory markers partially mediated the association between the VOC mixture and hyperlipidemia, and WBC was the leading mediator, accounting for 15.094% of the mediated effect. Conclusion: This study demonstrated significant positive associations of both individual and mixed VOC exposures with hyperlipidemia, with differential susceptibility observed in females and individuals aged <60 years. N,N-dimethylformamide contributed most to the association, and this effect was partly mediated by inflammatory biomarkers.
Keywords: Volatile Organic Compounds, Hyperlipidemia, Cross-sectional study, Inflammatory markers, Mediation analysis
Received: 03 Sep 2025; Accepted: 11 Nov 2025.
Copyright: © 2025 Nie, He, Liu, Li, Liu, Su, Yan, Li, Yan, Lu, Fu, Yang and He. This is an open-access article distributed under the terms of the Creative Commons Attribution License (CC BY). The use, distribution or reproduction in other forums is permitted, provided the original author(s) or licensor are credited and that the original publication in this journal is cited, in accordance with accepted academic practice. No use, distribution or reproduction is permitted which does not comply with these terms.
* Correspondence: Yutong He, heyutong@hebmu.edu.cn
Disclaimer: All claims expressed in this article are solely those of the authors and do not necessarily represent those of their affiliated organizations, or those of the publisher, the editors and the reviewers. Any product that may be evaluated in this article or claim that may be made by its manufacturer is not guaranteed or endorsed by the publisher.
