ORIGINAL RESEARCH article
Front. Public Health
Sec. Public Mental Health
This article is part of the Research TopicThe Intersection of Psychology, Healthy Behaviors, and its OutcomesView all 131 articles
Development and validation of a predictive Model for weight loss psychological distress in obese patients:A cross-sectional study
Provisionally accepted- 1The First Affiliated Hospital of Nanchang University, Nanchang, China
- 2The Affiliated Hospital of Jiangxi University of Traditional Chinese Medicine, Nanchang, China
- 3First Affiliated Hospital of Gannan Medical University, Nanchang, China
Select one of your emails
You have multiple emails registered with Frontiers:
Notify me on publication
Please enter your email address:
If you already have an account, please login
You don't have a Frontiers account ? You can register here
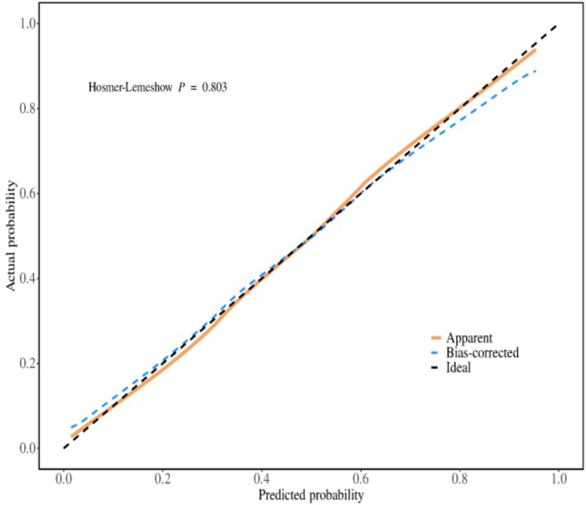
Aims: Explore the risk factors for psychological distress among middle-aged and young obese patients, and construct and validate a risk prediction model for psychological distress. Methods:The study was a cross-sectional survey study, From January to June in 2025, a total of 357 obese patients were selected from 22 tertiary hospitals in Jiangxi Province, China.The model was constructed by univariate and logistic regression analyses.They were divided into the group with significant psychological distress(K10≥16points)and the group without significant psychological distress (K10 <16points).R4.2.3 Statistical software was used to construct a risk prediction model for psychological distress in obese patients regarding weight loss.The discriminative ability of the model was evaluated by the receiver operating characteristic (ROC) curve, The accuracy of the predictive model was evaluated by the Hosmer-Lemeshow test and calibration curves, and the clinical utility was assessed using decision curve analysis (DCA). Results: 255 patients were in the training set and 102 were in the validation set. Through logistics regression analysis, the following seven predictive factors were obtained: age(youth), gender(female), history of chronic diseases, high BMI, weight loss method(Diet and exercise for weight loss), perceived social support, and general self-efficacy.The area under the ROC curve of the model was 0.852(95%CI: 0.806~ 0.897). The sensitivity and specificity were 0.804 and 0.729. The maximum Youden index was 0.520, and the best cut-off value was 0.396. The Hosmer-Lemeshow test showed that χ2=4.560 and P=0.803. The internal and external validation results showed that the area under the ROC curve was 0.858 and 0.833 respectively, and the Hosmer-Lemeshow test results showed that the χ2 was 0.664 and 0.765 respectively. The decision curve analysis shows that obese patients have better clinical benefits. Conclusions:This study developed a predictive model for weight loss psychological distress in obese patients, which has strong predictive performance and has been verified by internal and external cohorts. It was helpful for the early detection of high-risk groups for weight loss psychological distress.
Keywords: Obesity, psychological distress, predictive model, Nursing Care, Risk factors
Received: 06 Sep 2025; Accepted: 12 Nov 2025.
Copyright: © 2025 Cheng, liu, li, tang and Huang. This is an open-access article distributed under the terms of the Creative Commons Attribution License (CC BY). The use, distribution or reproduction in other forums is permitted, provided the original author(s) or licensor are credited and that the original publication in this journal is cited, in accordance with accepted academic practice. No use, distribution or reproduction is permitted which does not comply with these terms.
* Correspondence: Caihong Huang, 896333052@qq.com
Disclaimer: All claims expressed in this article are solely those of the authors and do not necessarily represent those of their affiliated organizations, or those of the publisher, the editors and the reviewers. Any product that may be evaluated in this article or claim that may be made by its manufacturer is not guaranteed or endorsed by the publisher.
