ORIGINAL RESEARCH article
Front. Public Health
Sec. Public Health Policy
This article is part of the Research TopicAddressing Health Disparities through Global Disease Burden Analysis: From Evidence to Equitable PolicyView all 6 articles
Global burden of pulmonary arterial hypertension and health inequality in women of childbearing age from 1990 to 2021, with projections up to 2040: the global burden of disease 2021 study
Provisionally accepted- 1First Clinical Medical College, Chongqing Medical University, Chongqing, China
- 2West China Hospital of Sichuan University, Chengdu, China
- 3Chongqing Medical University, Chongqing, China
Select one of your emails
You have multiple emails registered with Frontiers:
Notify me on publication
Please enter your email address:
If you already have an account, please login
You don't have a Frontiers account ? You can register here
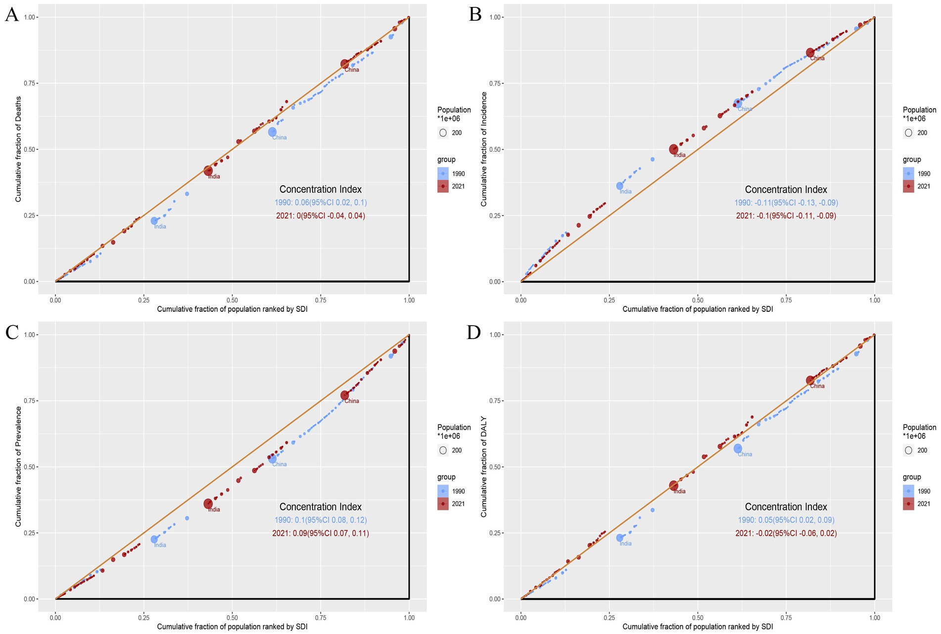
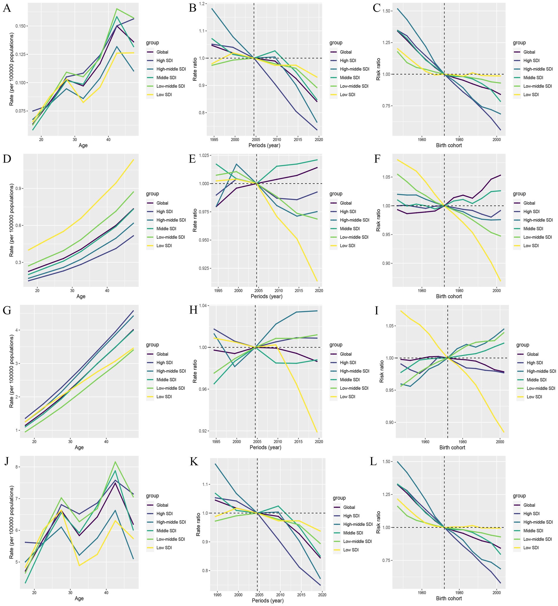
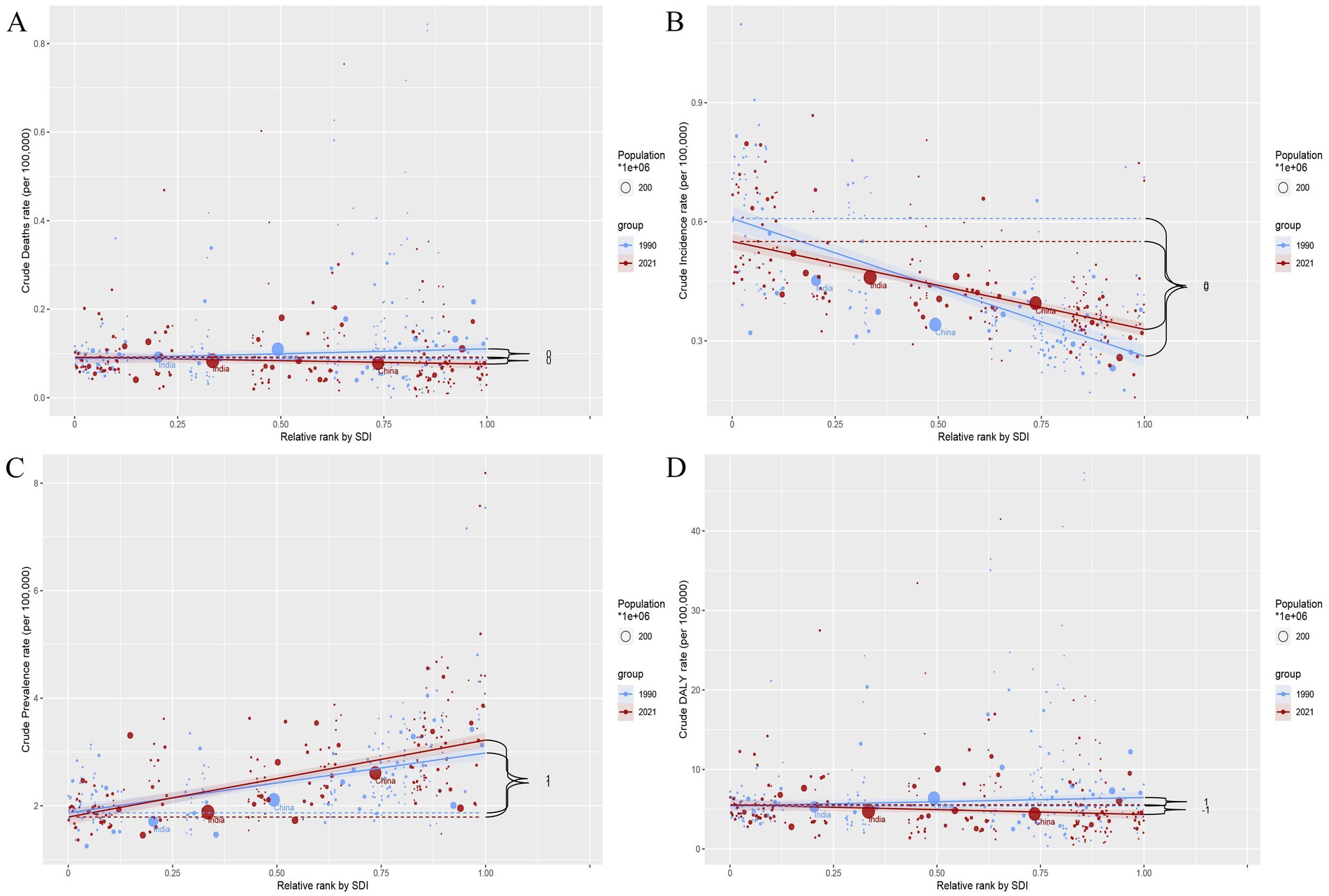
Objective: To assess the global burden, trends, and inequalities of pulmonary arterial hypertension (PAH) among women of childbearing age (WCBA) from 1990 to 2021, projecting future trends to 2040. Methods: Using Global Burden of Disease (GBD) 2021 data, we analyzed PAH mortality, incidence, prevalence, and disability-adjusted life years (DALYs) among WCBA aged 15 to 49. Trends were assessed via age-standardized rates (ASR), estimated annual percentage change (EAPC), joinpoint regression, decomposition, and inequality analyses. Future burden was projected using Bayesian age-period-cohort, auto-regressive moving average, and exponential smoothing models. Results: The absolute number of PAH cases among WCBA increased globally from 1990 to 2021. Critically, the global age-standardized incidence rate (ASIR) showed a neglected upward trend (EAPC = 0.12), while mortality and DALY rates declined. Significant inequalities were observed, with the ASIR highest in low-middle SDI regions and prevalence highest in high SDI regions. Decomposition analysis identified population growth as the primary driver of increasing burden in low-resource settings. Projections indicate a continued rise in incidence by 2040, alongside declining mortality.Conclusions: This study demonstrated a persistent and growing PAH burden among WCBA, marked by significant inequalities.. The rising incidence, particularly in low-resource settings, coupled with the cumulative prevalence in high-income regions, underscores an urgent need for targeted public health actions. Region-specific interventions are vital, including integrating PAH screening into maternal health programs in resource-poor settings and optimizing long-term management in high-income countries.
Keywords: pulmonary arterial hypertension, Global Burden of Diseases, Fivesociodemographic index regions, National epidemiology, Women of childbearing age
Received: 07 Sep 2025; Accepted: 29 Oct 2025.
Copyright: © 2025 Li, Wang, Chen, Tan, Gao, Chen, Hu, Liu, Zhang, Jiang, Bie and Leng. This is an open-access article distributed under the terms of the Creative Commons Attribution License (CC BY). The use, distribution or reproduction in other forums is permitted, provided the original author(s) or licensor are credited and that the original publication in this journal is cited, in accordance with accepted academic practice. No use, distribution or reproduction is permitted which does not comply with these terms.
* Correspondence:
Yingjiu Jiang, jiangyinjiu@aliyun.com
Mengjun Bie, 513193406@qq.com
Jiajie Leng, 2022110193@stu.cqmu.edu.cn
Disclaimer: All claims expressed in this article are solely those of the authors and do not necessarily represent those of their affiliated organizations, or those of the publisher, the editors and the reviewers. Any product that may be evaluated in this article or claim that may be made by its manufacturer is not guaranteed or endorsed by the publisher.
