ORIGINAL RESEARCH article
Front. Public Health
Sec. Environmental Health and Exposome
Seizures, climate and pollution. Is there evidence of an association?
Provisionally accepted- 1Lleida Institute for Biomedical Research (IRBLleida), Lleida, Spain
- 2Universitat de Lleida, Lleida, Spain
Select one of your emails
You have multiple emails registered with Frontiers:
Notify me on publication
Please enter your email address:
If you already have an account, please login
You don't have a Frontiers account ? You can register here
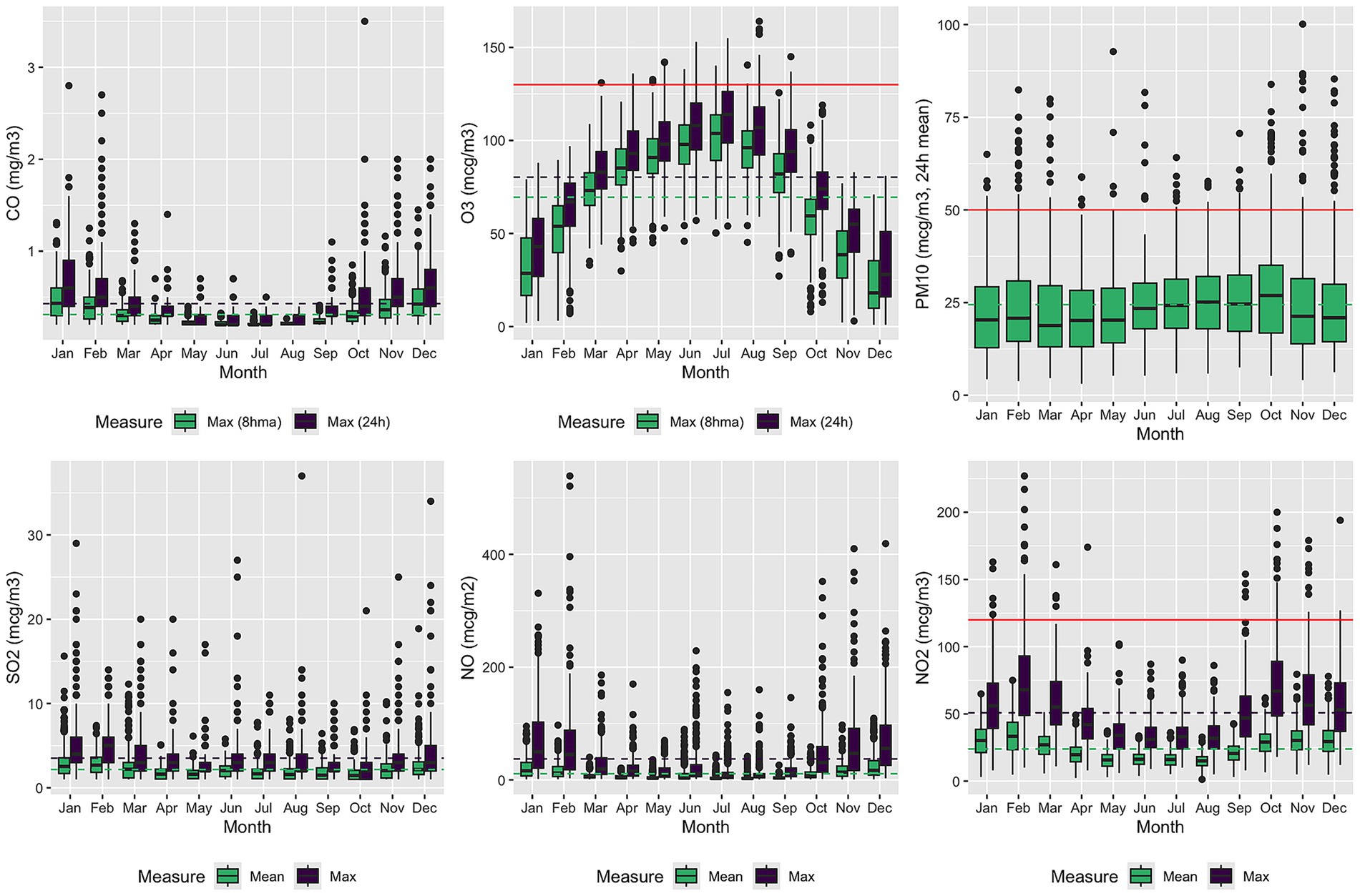
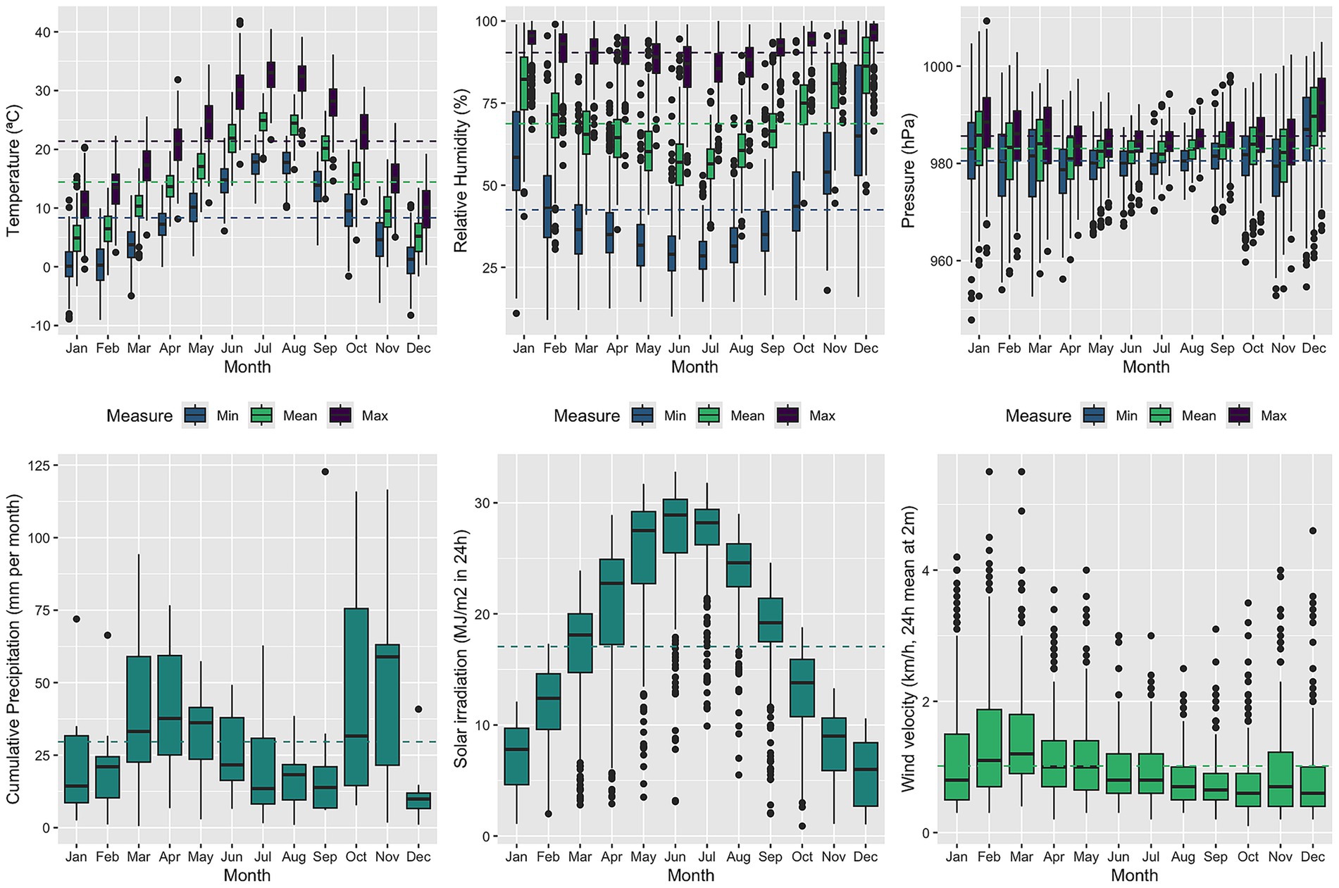
Abstract Background: Epilepsy, a chronic neurological disorder affecting more than 65 million people worldwide, is characterized by recurrent seizures caused by abnormal neuronal discharges. Beyond its diverse etiologies, growing evidence suggests that environmental and meteorological factors, including air pollution, may influence seizure occurrence. Objective: To evaluate the association between meteorological variables, air pollutants, and hospital admissions for seizures in the province of Lleida (Spain) over a 10-year period (2010–2019). Methods: Daily hospital admissions for seizures (ICD-10 code G40) were analyzed together with meteorological variables (temperature, atmospheric pressure, humidity, precipitation, and solar irradiation) and air pollutants (NO₂, PM₁₀, CO, O₃, and SO₂). Distributed lag non-linear models (DLNM) with quasi-Poisson regression were applied to estimate exposure–response relationships and delayed effects, adjusting for long-term trends, seasonality, and day of the week. Results: A total of 4,755 seizure-related admissions were recorded, representing 0.52% of all emergency visits. The frequency of seizures increased during colder months and periods of poor air quality. Low daily mean temperatures (<2.5th percentile) and high NO₂ concentrations (>99th percentile) were both significantly associated with higher seizure risk (up to +40% and +42% relative risk, respectively; p < 0.05). The association with NO₂ remained significant after adjusting for temperature. Conclusions: Cold temperatures and elevated NO₂ levels are independently associated with an increased number of seizure-related emergency admissions. These findings highlight the potential neurological impact of air pollution and extreme weather, emphasizing the need for preventive public health measures and further research to clarify the underlying mechanisms.
Keywords: Epilepsy, Seizures, Air Pollution, Nitrogen Dioxide, temperature, Environmental Health
Received: 18 Sep 2025; Accepted: 27 Oct 2025.
Copyright: © 2025 Llobet, Martínez-Alonso, Justribó, Ortet and Yuguero. This is an open-access article distributed under the terms of the Creative Commons Attribution License (CC BY). The use, distribution or reproduction in other forums is permitted, provided the original author(s) or licensor are credited and that the original publication in this journal is cited, in accordance with accepted academic practice. No use, distribution or reproduction is permitted which does not comply with these terms.
* Correspondence: Oriol Yuguero, oriol.yuguero@gmail.com
Disclaimer: All claims expressed in this article are solely those of the authors and do not necessarily represent those of their affiliated organizations, or those of the publisher, the editors and the reviewers. Any product that may be evaluated in this article or claim that may be made by its manufacturer is not guaranteed or endorsed by the publisher.
