Abstract
On-orbit service spacecraft with redundant actuators need to overcome orbital and attitude coupling when performing proximity maneuvers. In addition, transient/steady-state performance is required to fulfill the user-defined requirements. To these ends, this paper introduces a fixed-time tracking regulation and actuation allocation scheme for redundantly actuated spacecraft. The coupling effect of translational and rotational motions is described by dual quaternion. Based on this, we propose a non-singular fast terminal sliding mode controller to guarantee fixed-time tracking performance in the presence of external disturbances and system uncertainties, where the settling time is only dependent on user-defined control parameters rather than initial values. The unwinding problem caused by the redundancy of dual quaternion is handled by a novel attitude error function. Moreover, optimal quadratic programming is incorporated into null space pseudo-inverse control allocation that ensures the actuation smoothness and never violates the maximum output capability of each actuator. Numerical simulations on a spacecraft platform with symmetric thruster configuration demonstrate the validity of the proposed approach.
1 Introduction
Orbit and attitude coordination benefits the motion accuracy and efficiency of spacecraft by controlling orientation and position simultaneously. Several works in non-cooperative target capture (Huang et al., 2006; Zhang et al., 2017) and space teleoperation (Wang et al., 2019a) have demonstrated that these tasks can be performed through separate orientation and position control loops through the corresponding actuators, which ease the stability analysis and control synthesis. However, they might not be directly applied in proximate on-orbit servicing tasks due to the coupling effect between translation and orientation motions. On the one hand, rotation motion driven by reaction flywheels will result in orbital motion and vice versa. On the other hand, space load (e.g. space manipulator) motion will impact the pose of the whole system subject to the conservation of angular momentum (Wang et al., 2021).
How to model the coordinated dynamic that involves translation and orientation motions of spacecraft remains challenging for stability analysis and control design. Dual quaternion (DQ) is an alternative to describe the aforementioned coupling effect (Brodsky and Shoham, 1999). With a DQ-based velocity-free controller (Filipe and Tsiotras, 2013), the relative position and attitude were globally asymptotic stable for rigid body motion. The DQ-based modeling also becomes promising in spacecraft formation (Nixon and Shtessel, 2022) and perception (Srivatsan et al., 2016; Reynolds et al., 2020), whereas lacks the consideration of transient-state performance. As an important metric to evaluate transient-state convergence performance, settling time has gradually transformed from control objective to control parameter, thus allowing for more flexible control structures in terms of finite/fixed-time stability (Bhat and Bernstein, 2000; Zhu et al., 2011; Polyakov et al., 2015; Chen et al., 2022; Wang et al., 2022). In terms of faster convergence performance and robustness against disturbances, recent works in (Wang et al., 2020; 2019b) have witnessed that terminal sliding mode control (TSMC) can provide a route for finite-time stability. However, the settling time relies on accurate initial values, which might be limited to practical control implementation. Since noise signal is inevitable for measurement in practice, the resulting settling time tends to enlarge the estimation conservatism.
In addition, spacecraft are generally equipped with redundant sets of actuators in terms of safety. Control allocation plays an important role in over-actuated systems to distribute the control output among the redundant actuators. The fixed, single-gimbal, and double-gimbal thruster configurations were discussed in (Servidia, 2010). In order to improve the torque capacity during maneuvers by determining the initial wheel angular momentum, maximizing the efficiency of torque distribution for low-capacity reaction wheel assemblies was discussed in (Choi et al., 2008). In (Schaub and Lappas, 2009), an optimal torque distribution strategy was developed for reaction wheels to minimize the instantaneous electrical power requirement. In order to allocate the moments of the three axes to the corresponding control surfaces, robust least-square control allocation for unstructured and structured uncertainties was considered with a combination of H2/H∞ feedback and feedforward control (Cui and Yang, 2011).
Motivated by the above observation, we use DQ to develop a non-singular fixed-time terminal sliding mode control (NFxTSMC) strategy for a 6-degree-of-freedom (DoF) spacecraft with settling time requirement, which can overcome the unwinding problem induced by DQ. Moreover, an optimal null-space based pseudo-inverse (ONSPI) control allocation strategy facilitates alleviating the physical restrictions on actuation characteristics. The main contributions of this paper are presented as follows:
1) The DQ-based control scheme features fixed-time and unwinding-free convergence while handling the coupling between translation and orientation motions. Compared with the previous work (Sun et al., 2022), we have shown the scalability of the proposed control scheme from finite-time to fixed-time stability, where the settling time only relies on the user-defined control parameters rather than initial values.
2) Control allocation strategy in a framework of optimal quadratic programming can address the output constraint of the redundant actuators. Compared with the traditional pseudo-inverse (PI) method, multiple constraints can be incorporated into the cost function that provides superior control allocation performances. Optimal quadratic programming is employed in the null space pseudo inverse control allocation that ensures the actuation smoothness and never violates the maximum output capability of each actuator.
The remainder of this paper is organized as follows. In Section 2, the relative kinematics and dynamics are derived for a class of 6-DoF orbit and attitude coordination spacecraft systems based on DQ. In Section 3, an NFxTSMC is proposed considering external disturbances, system uncertainties, and singularity phenomenon. Furthermore, the control allocation strategy is designed in Section 4. In Section 5, numerical simulations on a platform of spacecraft rendezvous and docking have demonstrated the effectiveness of the proposed control and actuator allocation method, followed by conclusions drawn in Section 6.
2 Preliminaries
2.1 Dual quaternion
In order to describe the translational and rotational motion simultaneously, we introduce DQ (Brodsky and Shoham, 1999): , where η and ξ are the real and dual part, respectively, and ϵ the dual operator such that ϵ2 = 0, ϵ ≠ 0. Here, η and ξ are both quaternions. In the following, stands for the DQ variable. Taking and as an example, the following operators (Wang and Sun, 2012) are used throughout this paper:
Given the desired pose , the DQ error can be expressed as:where qe and pe stand for the quaternion and position errors, respectively. Taking the time derivative of yields:in which and are the actual and desired velocity motors. Therefore, taking the time derivative of , we can obtain the DQ error dynamics (Wang and Sun, 2012):where is the dual inertial matrix, m the mass, J the inertial matrix, I the identity matrix with appropriate dimensions. is dual force motor such thatwhere uc and τc are the control force and torque to be designed. ud and τd are the external force and torque disturbance.
2.2 Necessary lemmas
Lemma 1 (Bhat and Bernstein, 2000). Consider a class of continuous-time systemswhere x ∈ U is the system state and f the non-linear function. If there exists a continuously differentiable function such that , with γ, α ∈ (0, 1), then the equilibrium of the system trajectory (10) is globally finite-time stable and the settling time T satisfies , in which V0 is the initial value of V.
Lemma 2 (Polyakov, 2011). The equilibrium of the system trajectory (10) is globally fixed-time stable if there exist positive constants: α, β, p, q, k, with pk < 1 and qk > 1, such thatand the settling time T follows:
3 Control design and analysis
Considering the 6-DoF trajectory tracking task, the control objective can be stated as follows: design a DQ-based controller such that the relative error states of a class of spacecraft systems 8) converge within the fixed time, under all time and physically realizable initial conditions. That is, and for t → T, where (⋅)v denotes the vector part of quaternion and T is the settling time. In the existence of external disturbances and system uncertainties, the error dynamics can be equivalently expressed as:where with . (⋅)× represents the cross product operator. and the nominal and uncertain part of such that and therefore can be written as:
In order to stabilize and within fixed time, traditional sliding mode (Wang et al., 2018) can be modified as dual form:where , , , and sgn(⋅) is the sign function. α ∈ (0, 1). with bi and being positive constants. Based on the terminal sliding mode (15), the resulting TSMC can be then designed as a similar structure in (Dong et al., 2016). However, the implementation of the above algorithm tends to generate excessive control torque since the inclusion of negative exponential terms may lead to singularities.
Assumption 1. The real and dual parts of are positive-definite, bounded, and invertible.
Assumption 2. is bounded by an unknown dual constant such that .
Remark 1. Since the real and dual parts of represent the mass and inertial of the rigid-body spacecraft system, Assumption 1 can always hold. Since each term in is subject to the measurement range of physical sensors, there exists an upper limitation for that is bounded, which has been also validated in existing literature (Xiao and Yin, 2016).
Inspired by (Wang et al., 2009), a variant of the non-singular sliding mode in dual form is proposed as follows:where , α1i, , α2i, and are positive constants. is the auxiliary terminal sliding mode:where , , , and δ and δ′ are small positive constants. p1 ∈ (0.5, 1). On this basis, the NFxTSMC is designed as:where , , and α3, , α4, , K, K′, and p2 are positive constants, with p2 ∈ (0.5, 1) and p3 > 1. is a diagonal matrix whose ith entry in the main diagonal is
Theorem 1. Given the bounded external disturbances and system uncertainties (14), if the control law (20) is adopted, then the relative DQ and velocity motors of the DQ-based spacecraft system 8) are guaranteed to converge within fixed time T1 + T2, which will be provided later.
Proof. We will validate the fixed-time performance through the following two steps: i) the system trajectory reaches the sliding mode surface within a fixed time under any initial conditions, and ii) within the fixed time, the system trajectory converges to the equilibrium point alongside the sliding mode surface.
Step i): We adopt the following Lyapunov function candidate: . Taking the time-derivative of V1 and substituting (13) into it yields
Substituting the controller (20) into , we can derivewhere , σmin(⋅) is the minimum eigenvalue, , and . Thus, using the Lemma 2, the state trajectory will reach the sliding mode within fixed time T1, where the settling time can be expressed as:
It therefore implies that for i = 1, 2, 3 after T1. It is worth pointing out that the coefficients in the upper bound of T1 are only determined by the user-defined parameters, which are independent of initial conditions. When t > T1, one can obtain
Step ii): Consider the following Lyapunov function: . Taking the time derivation of V2, we havewhere for i = 1, 2, 3. According to the Lemma 1, the system trajectory on the sliding mode is guaranteed to converge to equilibrium within finite time T2, namely , , and .
Remark 2. The system trajectory will enter the asymptotic sliding mode from the terminal sliding one when the sliding mode variables in (20) approach zero. This mechanism ensures singularity-free performance in the convergence procedure. In terms of the parameter selection rule, the error states will converge within the fixed settling time if larger μ1, μ2, μ3, and smaller p1 and p2 are chosen. K and K′ are suggested to be large enough for robustness against external disturbances and system uncertainties.
Remark 3. Traditional TSMC generates negative exponential terms of state variables and can therefore lead to singularities. In contrast, the proposed controller (20) is non-singular due to the following facts: state variables are not small enough to cause singularity for ; in terms of , the dual controller can be transformed as:
Therefore, the singularity phenomenon will not occur if p1 ∈ (0.5, 1).
The double value of quaternions results in the unwinding problem of attitude slewing, thereby degrading the global stability of the closed-loop system (Zheng et al., 2017). Here, an attitude error function is employed to overcome the unwinding problem as follows:where λ1, λ2, and μ are positive constants. qe0 is the real part of qe. The proposed attitude error vector is obviously continuous and bounded with θ ∈ [−π, π], which guarantees the response rate of the attitude error vector and the continuity of the attitude error function simultaneously. Thus, the anti-unwinding NFxTSMC can be obtained by replacing the original attitude error function and vector by (29)-(30). It can be derived that the anti-unwinding state is updated as .
4 Optimal control torque allocation strategy
To improve reliability and safety, redundant actuators are often equipped with spacecraft systems to provide corresponding forces and torques. Inspired by (Gersh and Peck, 2009), consider the following constraint condition in dual frameworkwhere denotes the actuation output, and the control allocation matrix. Without consideration of the actuator installment faults, the PI control allocation strategy can be ideally presented as followswhere is the Moore–Penrose inverse of . The linear mapping between and is presented through the PI control allocation. However, the solution given by (32) may not satisfy the practical thruster range with the limitation of the thruster configuration (Tang et al., 2011). Thus, the optimal solution can be improved by employing the null space of the control allocation matrixwhere , namely . Thus, the thruster output can be adjusted to the available range with the proper choice of . Furthermore, can be expressed as: , where is the basic solution of null space, and is the undetermined coefficient. Considering the smoothness of the actuator outputs (Hu et al., 2014; Li et al., 2015; Bai et al., 2022), the ONSPI control allocation can be described as an optimization problemwhere , , and and are the known minimum and maximum outputs of the actuators, respectively. , , and are positive and diagonal weighting matrices with appropriate dimensions, respectively. With the Lagrange multipliers and , we can construct the Lagrangian function corresponding to the constrained optimization problem (34)
leading to the Karush–Kuhn–Tucker (KKT) condition as follows:where one of the feasible solutions can be represented as:where and .
5 Simulation results
To verify the effectiveness of the proposed NFxTSMC (20), simulations have been carried out using the rigid-body spacecraft system governed by (8). The TSMC (Dong et al., 2016) and non-singular fast terminal sliding mode control (NFTSMC) (Sun et al., 2022) are carried out for comparison, where the identical initial values are selected for different controllers. In particular, the control parameters are chosen for purpose of the same settling time. To eliminate the chattering phenomenon caused by the sign function in (20), the hyperbolic tangent function is used as a substitution.
It is assumed that the spacecraft moves in a circular orbit with a height of 42240 km. The initial relative attitude and position of the spacecraft are chosen as ρe(0) = [−20,−10,−10]Tm, qe(0) = [0.6245,0.5,0.5196,0.3]T, ρed = [0,0,0]Tm, qed = [1,0,0,0]T, ωe(0) = [0,0,0]Trad/s. The external disturbance force and torque are ud = 10–2 × [6 + 3 sin(0.6t),5 + 4 sin(0.9t),4 + sin(0.5t)]TN and τd = 10–5 × [2 + 50 sin(0.8t),3 + 30 sin(0.5t),1 + 70 sin(0.3t)]TNm. The nominal mass and inertia are m0 = 100 kg and J0 = diag{18, 18, 24}kgm2 while the actual ones are m = 95 kg and J = diag{17, 17, 22}kgm2. The control parameters are set as: α = 0.67, p1 = 0.8, p2 = 0.9, p3 = 1.2, , , , . , , , and is the inertial matrix.
Figure 1; Figure 2 represent the time responses of relative position and attitude errors under the effect of the three controllers. Under the same initial values, the relative position errors driven by the TSMC and NFTSMC converge within 78s and 22s, respectively. In contrast, the proposed NFxTSMC realizes the fastest convergence performance (19s) due to the fact that the convergence rate and accuracy are simultaneously considered in the sliding mode and controller design. In Figure 2, the relative quaternion errors in the proposed controller converge with less overshoot and a higher convergence rate compared with other methods. It is noted that the singularity phenomenon is eliminated in the proposed controller. In order to further validate the fixed-time performance provided by NFxTSMC, we introduce different initial values as follows:
FIGURE 1

Time responses of ρe for different controllers.
FIGURE 2

Time responses of qe for different controllers.
Case1: ρe(0) = [−250,−150,100]Tm, qe(0) = [0.7,0.4,0.3,0.51]T, and ωe(0) = [0,0,0]Trad/s;
Case2: ρe(0) = [2500,−1500,−1000]Tm, qe(0) = [0.3,0.4,0.3,0.81]T, and ωe(0) = [0.2,−0.3,0.5]Trad/s.
The control parameters and objectives in Cases 1 and 2 remain identical to the above settings. It can be seen from Figure 3 that initial values do not impact the settling time (10s) and the corresponding translational convergence performance, while Figure 4 demonstrates the identical settling time of attitude variables under different initial conditions. It, therefore, validates that the proposed NFxTSMC ensures fixed-time stability without the need for exact initial values. Moreover, Figures 1–4 indicate NFxTSMC can realize robust transient-state performance with less overshoot.
FIGURE 3

Time responses of ρe in Cases 1 and 2.
FIGURE 4

Time responses of qe in Cases 1 and 2.
The symmetric thruster configuration (Sun et al., 2022) (see Figure 5) is employed to test the proposed ONSPI control allocation scheme. Attitude and orbit control corresponding to thrusters with respect to x, y, and z axles are summarized in Table 1.
FIGURE 5

Symmetric thruster configuration (STC).
TABLE 1
| +X | -X | +Y | -Y | +Z | -Z | |
|---|---|---|---|---|---|---|
| Attitude Control | #9 + #14 | # 10 + #13 | #11 + #16 | #12 + #15 | #1 + #6 | #2 + #5 |
| Orbit Control | #1 + #2 | #5 + #6 | #3 + #4 | #7 + #8 | #9 + #10 + #11 +#12 | #13 + #14 + #15 +#16 |
Thruster configuration corresponding to STC.
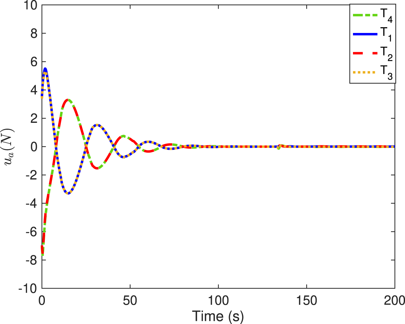
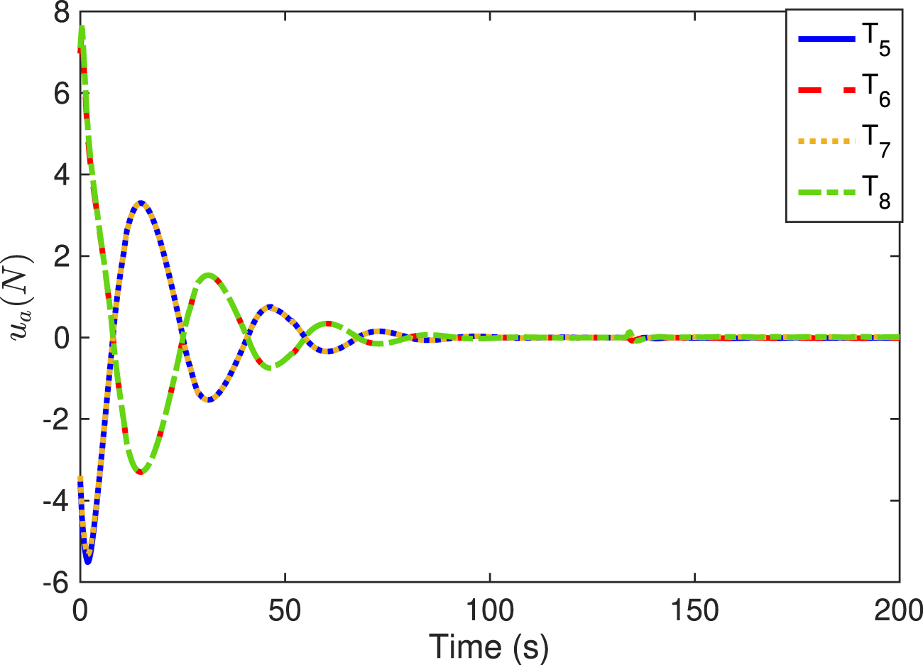
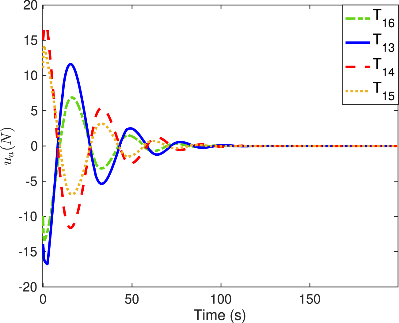
Figures 6–9 show the practical thruster output in the STC, where Ti corresponds to the ith thruster for i = 1, 2, … , 16. As observed, pair-mounted actuators can provide symmetrical thrusts. The feasible solution can be found in the pseudo-inverse method within the thrust limitation (20 N) in the STC, where the negative values can also be offered by the thruster from the other direction. Compared with the conventional PI method, the ONSPI method can satisfy control allocation requirements despite control force limitations. Similarly, it is demonstrated in Figures 6–9 that the ONSPI approach can generate smooth actuator output and provide closed-looped stability against external disturbances.
FIGURE 6

Thruster forces of #1-#4 in the STC.
FIGURE 7

Thruster forces of #5-#8 in the STC.
FIGURE 8

Thruster forces of #9-#12 in the STC.
FIGURE 9

Thruster forces of #13-#16 in the STC.
6 Conclusion
In this paper, we extend the result in (Sun et al., 2022) from finite-time to fixed-time stability, where the settling time of the spacecraft system is only dependent on user-defined control parameters rather than initial values. The proposed non-singular fixed-time control law provides a more accurate and robust estimation of the settling time compared with finite-time control. Thus, it will benefit the application scenarios with measurement errors and unknown environments. Meanwhile, we demonstrate the scalability of the developed non-singular fixed-time control framework which facilitates alleviating the unwinding problem. Furthermore, the disadvantages of the traditional pseudo-inverse method are eliminated by the optimal quadratic programming, which ensures that all the practical actuator outputs are subject to limitation. Finally, numerical simulations to evaluate the overall performances for non-singularity, fast tracking, high accuracy, uncertainty resistance, and fixed-time stability have verified the effectiveness of the proposed method. The actuator faults and fault-tolerant coordinated controller will be considered in future work.
Statements
Data availability statement
The original contributions presented in the study are included in the article/supplementary material, further inquiries can be directed to the corresponding author.
Author contributions
Conceptualization, ZW and LS; methodology, LS and YH; software, ZW; validation, LS, YH, BX, and HF; formal analysis, YH, BX, and HF; resources, EY; data curation, ZW; writing—original draft preparation, LS; writing—review and editing, LS, YH, ZW, BX, HF, and AM; visualization, ZW and BX; supervision, ZW and EY; project administration, ZW, AM, and EY All authors have read and agreed to the published version of the manuscript.
Funding
This work was supported in part by the United Kingdom. EPSRC under Grant EP/V027379/1.
Conflict of interest
The authors declare that the research was conducted in the absence of any commercial or financial relationships that could be construed as a potential conflict of interest.
Publisher’s note
All claims expressed in this article are solely those of the authors and do not necessarily represent those of their affiliated organizations, or those of the publisher, the editors and the reviewers. Any product that may be evaluated in this article, or claim that may be made by its manufacturer, is not guaranteed or endorsed by the publisher.
References
1
Bai W. Wang Z. Cao Q. Yokoi H. Fujie M. G. Yeatman E. M. et al (2022). Anthropomorphic dual-arm coordinated control for a single-port surgical robot based on dual-step optimization. IEEE Trans. Med. Robotics Bionics4, 72–84. 10.1109/tmrb.2022.3145673
2
Bhat S. P. Bernstein D. S. (2000). Finite-time stability of continuous autonomous systems. SIAM J. Control Optim.38, 751–766. 10.1137/s0363012997321358
3
Brodsky V. Shoham M. (1999). Dual numbers representation of rigid body dynamics. Mech. Mach. Theory34, 693–718. 10.1016/s0094-114x(98)00049-4
4
Chen Z. Ju X. Wang Z. Li Q. (2022). The prescribed time sliding mode control for attitude tracking of spacecraft. Asian J. Control24, 1650–1662. 10.1002/asjc.2569
5
Choi Y. Leeghim H. Bang H. (2008). “Efficient control torque distribution approach for spacecraft attitude control,” in AIAA guidance, navigation and control conference and exhibit, 7234.
6
Cui L. Yang Y. (2011). Disturbance rejection and robust least-squares control allocation in flight control system. J. Guid. Control, Dyn.34, 1632–1643. 10.2514/1.52234
7
Dong H. Hu Q. Ma G. (2016). Dual-quaternion based fault-tolerant control for spacecraft formation flying with finite-time convergence. ISA Trans.61, 87–94. 10.1016/j.isatra.2015.12.008
8
Filipe N. Tsiotras P. (2013). “Rigid body motion tracking without linear and angular velocity feedback using dual quaternions,” in 2013 European control conference (ECC) (IEEE), 329–334.
9
Gersh J. Peck M. (2009). “Violet: A high-agility nanosatellite for demonstrating small control-moment gyroscope prototypes and steering laws,” in AIAA guidance, navigation, and control conference, 5900.
10
Hu Q. Li B. Zhang Y. (2014). Nonlinear proportional-derivative control incorporating closed-loop control allocation for spacecraft. J. Guid. Control, Dyn.37, 799–812. 10.2514/1.61815
11
Huang P. Xu Y. Liang B. (2006). Tracking trajectory planning of space manipulator for capturing operation. Int. J. Adv. Robotic Syst.3, 31. 10.5772/5735
12
Li B. Hu Q. Qi J. (2015). Null-space-based optimal control reallocation for spacecraft stabilization under input saturation. Int. J. Adapt. Control Signal Process.29, 705–724. 10.1002/acs.2502
13
Nixon M. E. Shtessel Y. B. (2022). Adaptive sliding mode control of a perturbed satellite in a formation antenna array. IEEE Trans. Aerosp. Electron. Syst.58, 4595–4614. 10.1109/taes.2022.3164410
14
Polyakov A. Efimov D. Perruquetti W. (2015). Finite-time and fixed-time stabilization: Implicit lyapunov function approach. Automatica51, 332–340. 10.1016/j.automatica.2014.10.082
15
Polyakov A. (2011). Nonlinear feedback design for fixed-time stabilization of linear control systems. IEEE Trans. Automatic Control57, 2106–2110. 10.1109/tac.2011.2179869
16
Reynolds T. P. Szmuk M. Malyuta D. Mesbahi M. Açıkmeşe B. Carson J. M. III (2020). Dual quaternion-based powered descent guidance with state-triggered constraints. J. Guid. Control, Dyn.43, 1584–1599. 10.2514/1.g004536
17
Schaub H. Lappas V. J. (2009). Redundant reaction wheel torque distribution yielding instantaneous l2 power-optimal spacecraft attitude control. J. Guid. Control, Dyn.32, 1269–1276. 10.2514/1.41070
18
Servidia P. A. (2010). Control allocation for gimballed/fixed thrusters. Acta Astronaut.66, 587–594. 10.1016/j.actaastro.2009.07.023
19
Srivatsan R. A. Rosen G. T. Mohamed D. F. N. Choset H. (2016). “Estimating se (3) elements using a dual quaternion based linear kalman filter,” in Robotics: Science and systems.
20
Sun L. Huang Y. Wang Z. Xiao B. Yeatman E. M. (2022). “Dual quaternion based finite-time tracking control for mechatronic systems with actuation allocation,” in 2022 27th International Conference on Automation and Computing (ICAC), Bristol, United Kingdom, 01-03 September 2022, 1–6.
21
Tang S. Zhang S. Zhang Y. (2011). A modified direct allocation algorithm with application to redundant actuators. Chin. J. Aeronautics24, 299–308. 10.1016/s1000-9361(11)60035-6
22
Wang J. Sun Z. (2012). 6-dof robust adaptive terminal sliding mode control for spacecraft formation flying. Acta Astronaut.73, 76–87. 10.1016/j.actaastro.2011.12.005
23
Wang L. Chai T. Zhai L. (2009). Neural-network-based terminal sliding-mode control of robotic manipulators including actuator dynamics. IEEE Trans. Industrial Electron.56, 3296–3304. 10.1109/tie.2008.2011350
24
Wang Z. Chen Z. Liang B. (2019a). Fixed-time velocity reconstruction scheme for space teleoperation systems: Exp barrier lyapunov function approach. Acta Astronaut.157, 92–101. 10.1016/j.actaastro.2018.12.018
25
Wang Z. Chen Z. Liang B. Zhang B. (2018). A novel adaptive finite time controller for bilateral teleoperation system. Acta Astronaut.144, 263–270. 10.1016/j.actaastro.2017.12.046
26
Wang Z. Chen Z. Zhang Y. Yu X. Wang X. Liang B. (2019b). Adaptive finite-time control for bilateral teleoperation systems with jittering time delays. Int. J. Robust Nonlinear Control29, 1007–1030. 10.1002/rnc.4423
27
Wang Z. Lam H.-K. Guo Y. Xiao B. Li Y. Su X. et al (2022). Adaptive event-triggered control for nonlinear systems with asymmetric state constraints: A prescribed-time approach. IEEE Trans. Automatic Control, 1–8. 10.1109/tac.2022.3194880
28
Wang Z. Lam H.-K. Xiao B. Chen Z. Liang B. Zhang T. (2021). Event-triggered prescribed-time fuzzy control for space teleoperation systems subject to multiple constraints and uncertainties. IEEE Trans. Fuzzy Syst.29, 2785–2797. 10.1109/tfuzz.2020.3007438
29
Wang Z. Tian Y. Sun Y. Liang B. (2020). Finite-time output-feedback control for teleoperation systems subject to mismatched term and state constraints. J. Frankl. Inst.357, 11421–11447. 10.1016/j.jfranklin.2019.07.013
30
Xiao B. Yin S. (2016). Velocity-free fault-tolerant and uncertainty attenuation control for a class of nonlinear systems. IEEE Trans. Industrial Electron.63, 4400–4411. 10.1109/tie.2016.2532284
31
Zhang B. Liang B. Wang Z. Mi Y. Zhang Y. Chen Z. (2017). Coordinated stabilization for space robot after capturing a noncooperative target with large inertia. Acta Astronaut.134, 75–84. 10.1016/j.actaastro.2017.01.041
32
Zheng X. Wang Z. Zhang T. (2017). “Robust finite-time attitude tracking control for nonlinear quadrotor with uncertainties and delays,” in 2017 IEEE International Conference on Robotics and Biomimetics (ROBIO), Macau, Macao, 05-08 December 2017, 1775–1780.
33
Zhu Z. Xia Y. Fu M. (2011). Attitude stabilization of rigid spacecraft with finite-time convergence. Int. J. Robust Nonlinear Control21, 686–702. 10.1002/rnc.1624
Summary
Keywords
dual quaternion, spacecraft control, fixed-time stability, control torque allocation, optimization
Citation
Sun L, Huang Y, Fei H, Xiao B, Yeatman EM, Montazeri A and Wang Z (2023) Fixed-time regulation of spacecraft orbit and attitude coordination with optimal actuation allocation using dual quaternion. Front. Robot. AI 10:1138115. doi: 10.3389/frobt.2023.1138115
Received
05 January 2023
Accepted
27 January 2023
Published
14 February 2023
Volume
10 - 2023
Edited by
Xueqian Wang, Tsinghua University, China
Reviewed by
Nan Ma, Loughborough University, United Kingdom
Xiuming Yao, Beijing Jiaotong University, China
Updates
Copyright
© 2023 Sun, Huang, Fei, Xiao, Yeatman, Montazeri and Wang.
This is an open-access article distributed under the terms of the Creative Commons Attribution License (CC BY). The use, distribution or reproduction in other forums is permitted, provided the original author(s) and the copyright owner(s) are credited and that the original publication in this journal is cited, in accordance with accepted academic practice. No use, distribution or reproduction is permitted which does not comply with these terms.
*Correspondence: Allahyar Montazeri, a.montazeri@lancaster.ac.uk
This article was submitted to Space Robotics, a section of the journal Frontiers in Robotics and AI
Disclaimer
All claims expressed in this article are solely those of the authors and do not necessarily represent those of their affiliated organizations, or those of the publisher, the editors and the reviewers. Any product that may be evaluated in this article or claim that may be made by its manufacturer is not guaranteed or endorsed by the publisher.