ORIGINAL RESEARCH article
Front. Sociol.
Sec. Sociology of Stratification
This article is part of the Research TopicSocial Stratification and Social Inequality in East AsiaView all 5 articles
Compulsory Education Law and Intergenerational Income Mobility in China
Provisionally accepted- 1Shaanxi Normal University, Xi'an, China
- 2Beijing Normal University, Beijing, China
Select one of your emails
You have multiple emails registered with Frontiers:
Notify me on publication
Please enter your email address:
If you already have an account, please login
You don't have a Frontiers account ? You can register here
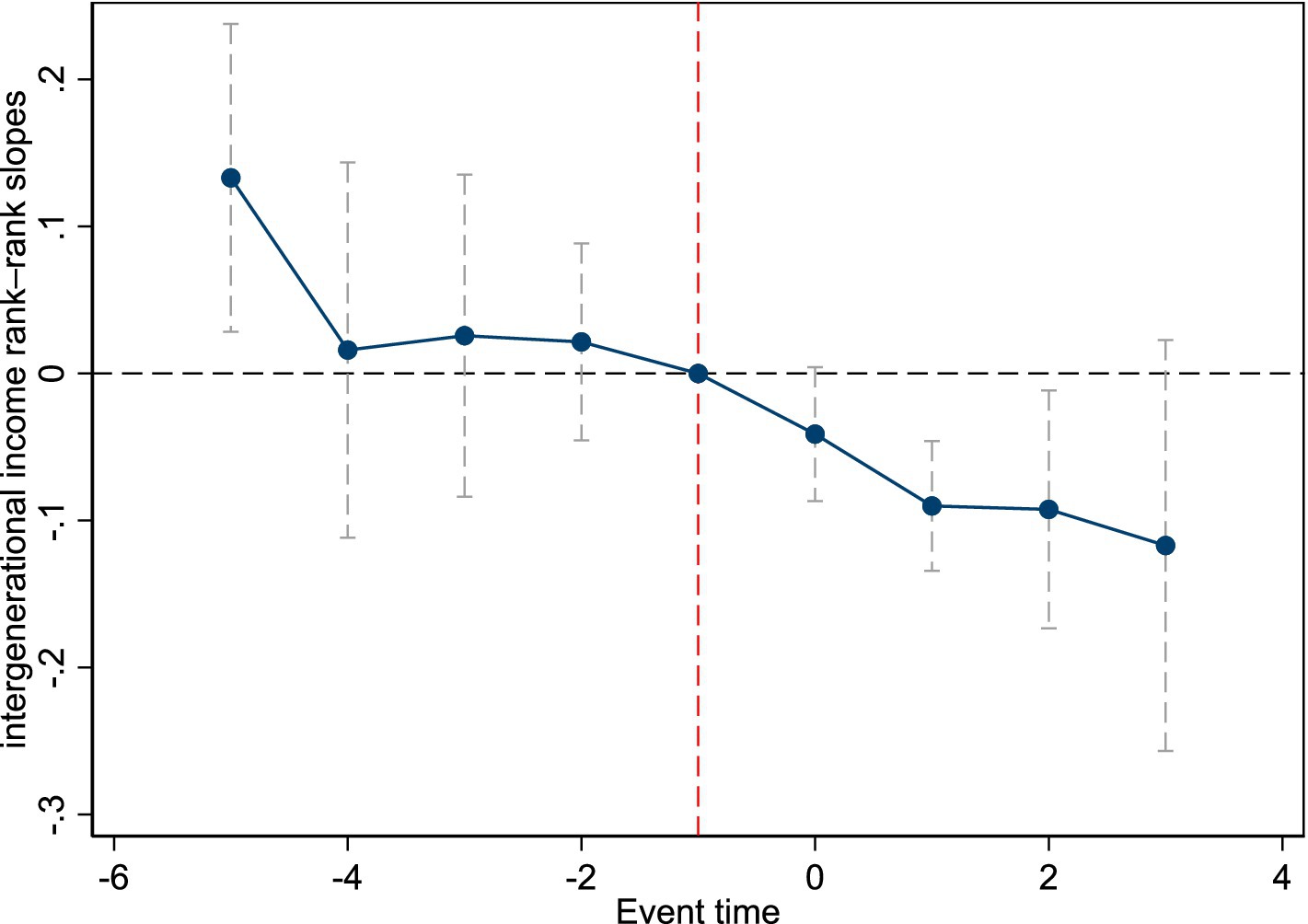
Introduction: Intergenerational income mobility serves as a key indicator of equality of opportunity and social stratification. Education is widely seen as a vital pathway for enhancing social mobility. This paper examines China's Compulsory Education Law of 1986 and analyzes its effects on intergenerational income mobility. Methods: Using data from the China Household Income Project, this study constructs matched samples of parents and adult children. Income adjustment and Heckman selection models are employed to correct measurement errors and co-residence selection bias. A difference-in-differences approach is used to identify the causal effects of the policy, supplemented by triple differences, event-study designs, and other robustness checks. Results: The study finds that the Compulsory Education Law significantly reduced intergenerational income correlation, thereby increasing income mobility. The mechanism analysis shows that the policy significantly reduced inequalities in access to junior secondary education and non-agricultural employment opportunities, thereby enhancing intergenerational income mobility. Yet, persistent inequalities in access to senior secondary education and high-status occupations, together with class-based differences in returns to education, may have partially offset these gains. The heterogeneity analysis further shows that the policy had a stronger effect on intergenerational mobility among urban households compared with rural ones, while no significant differences were observed by gender. Discussion: Expanding access to compulsory education can, to some extent, weaken the intergenerational transmission of economic advantages and promote social mobility, although its effects vary across social groups. The findings provide empirical evidence for ongoing policy debates on whether to extend the duration of compulsory education and offer broader insights into the dynamics of social mobility in developing economies.
Keywords: intergenerational income mobility, Compulsory education law, Education inequality, Social Mobility, China
Received: 09 Jul 2025; Accepted: 27 Oct 2025.
Copyright: © 2025 Yuan, Liu and Wu. This is an open-access article distributed under the terms of the Creative Commons Attribution License (CC BY). The use, distribution or reproduction in other forums is permitted, provided the original author(s) or licensor are credited and that the original publication in this journal is cited, in accordance with accepted academic practice. No use, distribution or reproduction is permitted which does not comply with these terms.
* Correspondence:
Qingqing Yuan, yuanqq22@snnu.edu.cn
Zeyun Liu, zeyun_liu@bnu.edu.cn
Disclaimer: All claims expressed in this article are solely those of the authors and do not necessarily represent those of their affiliated organizations, or those of the publisher, the editors and the reviewers. Any product that may be evaluated in this article or claim that may be made by its manufacturer is not guaranteed or endorsed by the publisher.
