ORIGINAL RESEARCH article
Front. Toxicol.
Sec. Computational Toxicology and Informatics
Retrospective Analysis of Clinical Laboratory Parameters in Han Wistar Rat Controls
Provisionally accepted- 1Fraunhofer-Institut fur Toxikologie und Experimentelle Medizin ITEM, Hanover, Germany
- 2Sanofi, Preclinical Safety, Frankfurt, Germany
- 3Merck Healthcare KGaA, Darmstadt, Germany
- 4F Hoffmann-La Roche AG, Basel, Switzerland
- 5Bayer Pharma AG Forschung und Entwicklung, Berlin, Germany
- 6Novartis AG, Basel, Switzerland
- 7Organon SRL, Bucharest, Romania
Select one of your emails
You have multiple emails registered with Frontiers:
Notify me on publication
Please enter your email address:
If you already have an account, please login
You don't have a Frontiers account ? You can register here
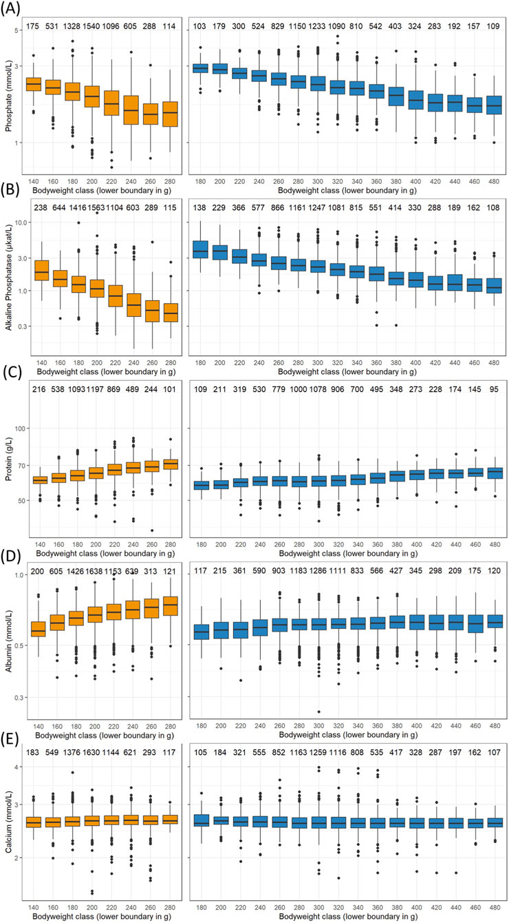
Introduction: Despite the availability of control animal data sets from toxicological studies, the influence of external factors, such as age of animals, test site and study conditions, on clinical laboratory parameters in rats is only sparsely characterized. Objective: In order to analyze the covariates of study design, we leveraged the largest available curated collection of control animal data from toxicological studies, sourced from five European pharmaceutical companies. We investigated the influence of external factors on commonly measured clinical chemistry, enzyme activity and hematology parameters in Han Wistar rats of both sexes. Materials and Methods: 457,605 control group clinical laboratory data points from 1,288 legacy toxicity studies on Han Wistar rats were curated and analyzed by ANOVA and partial eta squared to discern their effect sizes. Results: Our analysis revealed that bodyweight, used as a surrogate for age in rats, significantly influences some parameters, while demonstrating stability in others. Descriptive statistics and tolerance intervals are provided for 20-gram body weight class intervals. The effect size of these body weight classes, as calculated by partial eta squared, is large for parameters that change during development (e.g. phosphate or alkaline phosphatase) but was negligible for more stable parameters (e.g. calcium and alanine aminotransferase). For parameters which are less dependent on body weight class, the relative influence of other factors namely the company providing the study data, as well as study year is more prominent. These factors likely act as summary factors for various influences such as changes in analytical protocols, diet or housing conditions. Conclusion: This analysis provides a comprehensive overview of parameter variability and offers critical guidance for parameters which need to be controlled when utilizing historical control data to establish reference intervals or generate virtual control groups.
Keywords: Han Wistar rat, Preclinical data, Clinical chemistry, enzyme activity, Hematology, Reference intervals, Minerals
Received: 12 Aug 2025; Accepted: 17 Nov 2025.
Copyright: © 2025 Kellner, Amberg, Bringezu, Draganov, Gurjanov, Kreuchwig, Muster, Duchateau-Nguyen, Oberhauser, Piraino, Schaefer, Simetska, Steger-Hartmann and Escher. This is an open-access article distributed under the terms of the Creative Commons Attribution License (CC BY). The use, distribution or reproduction in other forums is permitted, provided the original author(s) or licensor are credited and that the original publication in this journal is cited, in accordance with accepted academic practice. No use, distribution or reproduction is permitted which does not comply with these terms.
* Correspondence: Rupert Kellner, rupert.kellner@item.fraunhofer.de
Disclaimer: All claims expressed in this article are solely those of the authors and do not necessarily represent those of their affiliated organizations, or those of the publisher, the editors and the reviewers. Any product that may be evaluated in this article or claim that may be made by its manufacturer is not guaranteed or endorsed by the publisher.
