Abstract
Introduction:
The notion of autonomy in Self-Determination Theory is at the core of intrinsically motivated learning, and fulfilment of the need for autonomy is essential for thriving at school. Therefore teacher-provided autonomy support has grown into a key concern in educational research. In the present study into primary school music education, the notion of creative autonomy support is introduced. Research into autonomy support is typically focused on verbal interaction. However, from an enactive perspective, teachers’ gesturing, bodily movement, facial expression, and musical action form an integral part of the socially situated interaction in music lessons, inherently involving autonomy support. In the present study, a distinction is made between creative verbal autonomy support and creative musical and non-verbal autonomy support.
Methods:
Applying a process-based time-serial methodology, rooted in a Complex Dynamic Systems and Enactive perspective, the effects of an intervention with Video Feedback Coaching for teachers were investigated. Video data of 105 music lessons of 18 teachers (intervention and control condition) from six primary schools was gathered, to examine teachers’ creative autonomy support at both the individual and group level.
Results:
The findings show that teachers in the intervention condition, compared to the control group, achieved a meaningful increase in their ability to offer creative autonomy support verbally. Teachers also showed development for the non-verbal and musical aspects of offering creative autonomy support. However, particularly for offering higher-level creative autonomy support in the non-verbal and musical mode, significant results were found for less than half of the intervention teachers.
Discussion:
These results underline the importance of embracing and studying the bodily dimension as an integral part of teacher autonomy support, aimed at emergence of students’ musical creativity, in primary school music education and in teacher training. We explain how these results might be relevant for autonomy enhancing musical activities in vulnerable groups.
1. Introduction
When it comes to musical creativity, in free settings such as the playground, children show self-determined activity by inventing and singing songs to accompany their play (Campbell, 2010). Self-determination, as opposed to external regulation of behavior, is linked to intrinsic motivation and provides a powerful drive for learning (DeCharms, 1972; Deci and Ryan, 1985). Research underscores the need for promoting self-determination in all students (Shogren et al., 2015; Burke et al., 2018), both in regular and special needs education. In the latter, students tend to be less self-determined than children in regular schools (Wehmeyer et al., 2010).
The notion of autonomy in self-determination theory (SDT) is key in intrinsically motivated learning and satisfaction of the need for autonomy is vital for thriving in education (Ryan and Deci, 2000). Autonomy support is a powerful way for teachers to stimulate students’ creativity in a domain (Koestner et al., 1984; Beghetto, 2019) and, considering the linkages between students’ creativity and their wellbeing and flourishing at school (Fredrickson and Losada, 2005; Seligman et al., 2009), is a fundamental interaction strategy for teachers to apply. The importance of providing autonomy support in music teaching (e.g., Kupers, 2014; Evans, 2015; McPherson et al., 2018; Bonneville-Roussy et al., 2020) seems obvious, but can be a challenge for primary school teachers who oftentimes experience a lack of confidence in music teaching (e.g., Viig, 2015). However, numerous interventional studies have successfully demonstrated that offering autonomy support can be learnt (Reeve and Cheon, 2021).
Teachers’ gesturing, bodily movement, facial expression and musical action form an integral part of classroom interaction in music lessons, inherently involving autonomy support. The aim of the present study is to contribute to insights into the relation between autonomy support, including the role of the body in music learning and teaching, and students’ musical creativity. To this end the results of an intervention study in regular primary education for enhancing teachers’ competency to offer autonomy support in music lessons are presented. The notion of creative autonomy support is introduced, building on Stefanou et al. (2004). In the discussion we will address the relevance of our findings for teaching in special needs education. In the first section the need for autonomy and autonomy support in relation to stimulation of (musical) creativity will be discussed through the lens of SDT (Deci and Ryan, 1985, 2000; Ryan and Deci, 2000) and Enaction theory (Varela et al., 1991; Di Paolo, 2019) also in relation to music (e.g., Van der Schyff et al., 2016; Schiavio et al., 2017). In the subsequent section development of teacher competency in an intervention for supporting students’ autonomy will be discussed from a process-based complex dynamic systems (CDS) perspective (Thelen and Smith, 1994; Van Geert, 1994; Van Geert and De Ruiter, 2022) and related to music (e.g., Leman et al., 2018; Schiavio and Van der Schyff, 2018; Bremmer and Nijs, 2020; Kupers and Van Dijk, 2020).
1.1. Autonomy and autonomy support
The opportunities teachers offer students to be creative promote children’s agency and ownership (Creech et al., 2020), but how are autonomy and autonomy support linked to development of musical creativity? Building on what DeCharms (1972) termed personal causation, Self-Determination Theory (SDT) inherently links autonomy to intrinsic motivation. The need for autonomy is related to people’s “internal perceived locus of causality” (DeCharms, 1972) which forms the fundament for intentional behavior and goal setting. Intrinsic motivation emerges from the value someone attributes to an activity and is important for eliciting creativity (Koestner et al., 1984; Amabile and Hennessey, 1992). SDT has been widely applied in educational research in many domains, including music (e.g., Kupers, 2014; McPherson et al., 2018; Reeve and Cheon, 2021).
In SDT three inter-related fundamental psychological needs are identified which must be fulfilled for people to become intrinsically motivated (Deci and Ryan, 1985; Ryan and Deci, 2000). The need for relatedness is defined as the need to feel connected to others. The need for competence is the need to feel capable of achieving one’s goals. Autonomy is defined as the need for self-regulation and is linked to people’s sense of receiving space to act, based on their own authentic interests and values (Deci and Ryan, 2000).
Deci and Ryan (2000, p. 229) define needs as “innate, organismic necessities rather than acquired motives” and state that “in SDT, needs specify innate psychological nutriments that are essential for ongoing psychological growth, integrity, and well-being.” In contrast, Leontiev (1978, p. 119) stated in his Activity Theory that human needs and motives emerge in activity such as in play, schooling or work. He saw activity itself as the driving force behind the production of needs. The activity that dominates children’s motivation is play. Play leads to the acquisition of skill. In play new dominating motives for activity and the motivation to improve one’s skills emerge Leontiev as cited in Van Geert (1988). In Activity theory, consistent with Enaction theory, goals invite the learning body to engage in activity, and extend itself, using materials and tools. This also aligns with CDS-oriented views that goals self-organize in people’s environment and play a causal role in action and behavior (Gibbs and Van Orden, 2003).
In line with Leontiev, we see needs as dynamic psychological states, which vary within the activity agents engage with, alone and with others. The co-regulation of a psychological need like autonomy in education takes place in a process which is embedded in interactions between the child, teacher and task (Steenbeek and Van Geert, 2013). Rather than an individual characteristic, autonomy is an enacted, dynamic property, emerging in the ongoing interactions students have with their social and material environment (Kupers and Hendriks, 2022). From the perspective of Enaction theory the need for autonomy and its satisfaction in music lessons inherently involves embodiment. How students engage with a task, depends on how a task is delivered (Ames, 1992). For instance, continued instructing and modeling supports students’ autonomy less, compared to asking questions, gesturing and positive facial expression to invite students to act upon their musical ideas. The latter involves the creating body and invites extendedness, i.e., using instruments and producing sound to contribute to the enactive musical process.
Teacher provided autonomy support is the driver for students’ intrinsic motivation and, by extension, also for students’ performance of tasks (Vansteenkiste et al., 2005; Reeve and Cheon, 2021). Research revealed that autonomy support not only resulted in more autonomous motivation but also satisfied students’ need for competency (Deci and Ryan, 2000).
Research into self-determination with students in regular and special needs education showed that the latter are more at risk when it comes to autonomy and agentic behavior, possibly due to lack of opportunities to develop these skills in their environment (Wehmeyer et al., 2010; Shogren et al., 2018). One reason may be that this is due to an imbalance in need support, i.e., stimulation of psychological need satisfaction, from educators. In special needs education teachers were found to provide need satisfaction for relatedness by showing involvement and providing structure, but did not offer much autonomy support (Haakma et al., 2017).
Just like autonomy, students’ performance of musical creativity is a property enacted in the music-pedagogical setting, rather than stored in the brain in the form of cognitive representations. It emerges during teacher-student interaction, through embodied action through engagement with instruments, the task, and with sound, and is extended beyond the individual (e.g., Van der Schyff et al., 2016; Schiavio and Van der Schyff, 2018; Silverman, 2020). In school music education, autonomy support was found to affect students’ performance (e.g., Green, 2006) and in instrumental music lessons students’ autonomous behavior was linked to positive performance (Kupers, 2014). But how to best support students’ autonomy for stimulating musical creativity?
1.2. How to support students’ autonomy?
Autonomy support contributes to students’ agency and self-initiated progress, while experience of autonomy dissatisfaction has been linked to disengagement and lack of agency (Reeve et al., 2020). However, teacher-student interaction often relies on fixed patterns (Initiate-Respond-Evaluate) and teachers may sometimes find autonomous expressions by students disruptive (Beghetto, 2019) or offer limited opportunities for students to exert autonomy, particularly in special needs education (Shogren et al., 2018).
A student-centered perspective involving autonomy-supportive instructional behaviors such as questioning, inviting students to pursue their interests, offering space for self-initiated action and choice, explaining constraints and positive feedback when appropriate are all part of an autonomy-supportive teaching style (Stefanou et al., 2004; Reeve and Cheon, 2021). Control and motivational strategies like rewards and threats are to be avoided (Skinner and Belmont, 1993; Stroet et al., 2015) as they incite an externally perceived locus of causality, undermining the need for autonomy with “corresponding effects on creativity” (Deci and Ryan, 2000, p. 234).
Stefanou et al. (2004) distinguish between “organizational,” “procedural” and “cognitive” autonomy support (Stefanou et al., 2004, p. 101). Organizational autonomy support provides students with “ownership of environment,” e.g., by offering them choice in with whom or where to work. Procedural autonomy support ‘encourages ownership of form’ by tuning in on students’ needs and wants, and offering them choice in tasks, task approach, materials and so on. Cognitive autonomy support targets students’ “ownership of the learning” and fosters critical thinking and deep learning. It includes asking students to explain and underpin their ideas, and generate and evaluate their own solutions.
However, learning and skill development aren’t limited to merely thinking but are integrated in a simultaneous process of action and perception (Fischer, 1980; Noë, 2004). In musical creativity thinking and acting coalesce. In current perspectives musical creativity is described as a process (socially) situated in embodied activity (e.g., Elliot, 2009; Burnard, 2012a,b; Barbot and Webster, 2016, 2018; Leman et al., 2018; Kupers and Van Dijk, 2020). To achieve agency and action in music learning, appropriate teacher-provided autonomy support is indispensable (e.g., Green, 2006; Kupers, 2014). Therefore, autonomy support in creative musical activity requires encouragement of both thought and action.
Building on Stefanou’s classification, we propose the notion of creative autonomy support, and define it as an autonomy-supportive strategy to provide students with “ownership of the creative process,” in which stimulation of the senses, of thought and imagination, as well as active exploration and creation are intertwined. In line with Burnard (2012a) notion of multiple creativities, creative autonomy support allows all teachers and their classes, regardless of type of education or vulnerability to enact their own musical creativity in idiosyncratic creative processes. Creative autonomy support involves open and inviting teacher expression such as student-centered questioning and encouragement in order to stimulate musical imagination and exploration, offering choice and providing contingent positive feedback.
From an enactive perspective, communication is always also affected by non-verbal behavior, e.g., when verbal teacher expression is accompanied or substituted by gestures and movement (Goldin-Meadow, 1999; Novack and Goldin-Meadow, 2015; Shapiro and Stolz, 2019; Simones, 2019). Moreover, students learn more when their teachers gesture effectively (Alibali et al., 2013). Gesturing is tightly intertwined with verbal expression in timing, meaning and function and within this interplay, contributes to learning because it lightens the cognitive load for users and listeners (Goldin-Meadow and Wagner, 2005). Simones (2019) proposed the “Teacher Behavior and Gesture (TBG) framework” and situates gestures and body movement as an integral part of enactive music educational processes.
Educational reformers like Montessori and Dewey have paved the way for pedagogies embracing embodied forms of learning. In music learning, each in their own way, the pedagogies of Kodály, Dalcroze, Suzuki, Orff, and to a lesser extent Gordon, involve the body. However, they do not particularly promote teacher autonomy support and lean more on classical instructional methods.
Creative autonomy support includes embodied ways of enacting musical creativity, triggered through the sensing body in interaction with its environment. Both co-verbal gesturing and co-musical gesturing give direction, but at the same time leave space for the learner’s own interpretation (Simones, 2019). Examples of co-musical gesturing are hand gestures to indicate the pace, or to invite students to continue and challenge themselves. Other non-verbal modes, which impact the degree of creative autonomy support, include modeling and facial expression. Modeling the intended performance elicits imitation and strongly affects the degree of teacher control (Van de Pol et al., 2010). Teachers’ facial expression during conducting was found to significantly affect students’ ensemble playing and expressivity (Silvey, 2013). In music education, providing exploration time, active listening and observing students’ musical activity, in order to contingently coach students when needed, are part of an autonomy-supportive teaching style too (Green, 2006; Renwick and Reeve, 2012).
Hence, offering creative autonomy support, through open and student-centered verbal interaction and through non-verbal and musical modes such as gesturing, moving and sharing music together with students (see Figure 1), are expected to stimulate development of musical creativity. But to which degree are these modes of creative autonomy support in music lessons trainable? So far little or no research was dedicated to development of teacher autonomy support in the natural setting of primary school music lessons in interventions, targeting both verbal and embodied aspects of autonomy support.
Figure 1

Examples illustrating embodiment in non-verbal and musical autonomy support: modeling, offering space for students to conduct, turn giving and participation.
1.3. Intervening to enhance autonomy support: A process-based approach
Although teachers keep on learning on the job throughout their career, research shows that learning by experience only, ultimately leads to stagnation (Korthagen, 2010). A complicating factor is that many generalist teachers perceive a lack of confidence in the domain of music education (e.g., De Vries, 2011; Viig, 2015; Van Essen et al., 2019). Teachers’ self-efficacy, defined as “the belief that one can accomplish a given task” (Siegle et al., 2020, p. 1600), are a key factor in shaping their competence, and vice versa, as efficacy beliefs are influenced by actual teaching accomplishments (Bandura, 2006) in music (De Vries, 2013). Teachers identified professional development as key to the success of their music teaching (de Vries, 2015). The provision of psychologically safe practice and support structures at school enhances teachers’ motivation to teach music (de Vries, 2015; Garrett, 2019). On-the-job coaching provides such a safe haven. Professional development trajectories can impact teaching practice considerably (Korthagen, 2010) and enhance student learning too (e.g., Wetzels et al., 2016; Van Vondel et al., 2017).
There are many ways to evaluate the effectiveness of interventions. Developmental processes, such as in interventions, both with regular and vulnerable primary school students, are highly idiosyncratic (Steenbeek and Van Geert, 2015) as is teaching and learning in the domain of music (Bisschop Boele, 2015). However, much research, including intervention-based studies, depart from the assumption that findings in large samples are representative for the entire population and therefore also for individual cases. This approach disregards the ergodicity problem which entails that differences and relationships on the group level cannot be generalized to particular processes for individual cases (Molenaar and Campbell, 2009; Hamaker, 2012; Van Geert and De Ruiter, 2022). Many human processes are non-ergodic, i.e., what holds for a group does not necessarily hold for individuals in it, over time. Such individual change processes of teachers and their classes in interventions may show large contrasts compared to the so-called ‘average’ trajectory (Steenbeek and Van Geert, 2015). In fact, for a complete image of progress/change in an intervention, effect measures at group-level are meaningful only in relation to individual measures. Therefore, statements about a group requires collecting a large amount of processual data of individual cases over time.
Despite their claim for generalization, results based on group data do not offer insight in the dynamics/variability of actual change processes. From a process-based CDS perspective, variability (intra- and inter-individual) constitutes a central property of development (Van Geert and Van Dijk, 2002).
In sum, investigating how the verbal and bodily dimensions of teacher autonomy support contribute to students’ musical creativity and flourishing, requires examining exemplary individual cases of teachers and their classes. Intervention studies, also with (vulnerable) students, can benefit considerably from a process approach, mapping the individual variation, idiosyncrasy and non-ergodicity in development.
1.4. Growing from perturbation in interventions
Novel approaches and techniques to process-based research involving a CDS-perspective on development are increasingly also applied to (intervention) research in education (e.g., Pennings and Mainhard, 2016; Van Vondel et al., 2017; Geveke et al., 2020). In the last decade an increased interest for Enactive and CDS-approaches in the field of music (education) research has developed (e.g., Kupers, 2014; Leman et al., 2018; Schiavio and Van der Schyff, 2018; Van der Schyff et al., 2018; Bremmer and Nijs, 2020; Kupers and Van Dijk, 2020). A CDS can be defined as a network of associated components of a, for instance social or psychological nature, which shows change over time as a result of their interactions (e.g., Thelen and Smith, 1994; Van Geert, 1994; Steenbeek and Van Geert, 2015). An educational process, like teacher-student interaction in a music lesson, can be considered a CDS (Steenbeek and Van Geert, 2013; Koopmans and Stamovlasis, 2016) and this applies to professional development interventions for teachers too (Steenbeek and Van Geert, 2015). Moreover, both processes interact over the course of an intervention and the tasks of the student (assignment in the domain of musical creativity) and teacher (teaching for musical creativity) are intertwined (Figure 2). Teachers uptake of coaching content offers input for interaction in subsequent lessons, and lesson experiences offer input for coaching. Students and teachers can keep themselves in an unproductive interaction chain, due to an imbalance in relatedness-autonomy concerns with students relying (too) much on teacher support. Put differently, this interaction chain becomes a self-maintaining attractor. This risk is particularly prevalent in special needs education and can ultimately lead to unsuccessful learning trajectories (Steenbeek and Van Geert, 2013). Interventions can disrupt such a chain and trigger interactional change.
Figure 2

Network model with recurring motif depicting the bi-directional interaction between the core elements in the learning and teaching process (focus on development student) and learning and coaching process (focus on development teacher) in an intervention. Stud, Student; Tea, Teacher; Tstu, task student; Coa, Coach; Ttea, task teacher.
Intervention-based research in itself is a complex process, partly because it is labor-intensive, depends heavily on an enduring and effective collaboration with the research participants and is liable to chance factors including unexpected drop-out. However, the value of process-based approaches to intervention studies outweighs dealing with this kind of complexity.
The effectiveness of an intervention does not depend exclusively on the design, content and implementation of the intervention itself (Wetzels et al., 2016). Both proximal and distal factors influence development (Bronfenbrenner and Morris, 2006). Although an intervention often targets the proximal processes of interactions with the immediate environment in the here-and-now, more distal influences are also represented in the system’s behavior. Distal processes, such as school policies and existing beliefs about art education, take place elsewhere in the environment but do affect teaching. For instance, Burnard and White (2008) have warned for the tension between performativity and creativity in education. While teachers are expected to enhance student agency and creativity, they are also forced to comply to the existing standards of measured achievement. Reckoning with all such influences is difficult. Moreover, we cannot explain effectiveness of interventions by simply adding up the effects of all factors (Molenaar and Campbell, 2009; Wetzels et al., 2016). In an educational intervention the teacher, the students and the task are considered the core components of the system (Steenbeek and Van Geert, 2013). From a CDS-perspective, their collective behavior on the micro-timescale integrates both proximal and distal influences, and reflects change resulting from the interventional press on the system.
The aim of an intervention is to provoke teachers to let go of more or less solidified ways of teaching, i.e., temporary stable and self-sustaining attractor states in CDS, to form new ones (Steenbeek and Van Geert, 2015). An attractor state is a stable pattern of activity (Kelso, 2012), such as a particular habit in teaching. External disruption of old routines, termed perturbation in CDS, is needed to make way for new, in this case more autonomy-supportive strategies, forming new (metastable) attractors. Existing attractors can be quite resistant to challenge and liable to bounce back (Kelso, 2012). However, development is said to benefit from, and even needs challenge to facilitate growth (MacNamara et al., 2016). Given the idiosyncrasy of intervention trajectories, determining an optimal load for an intervention seems hard. Space for adaptation to the teachers’ needs and load tolerance in interventions is needed to ensure their motivation.
For teachers an intervention literally constitutes a balancing act as the outcome depends on the attraction to their former routines, and the emergence of, and attraction to new ones. When teachers are clearly drawn to both former, and newly developed routines, this is called bifurcation, and means that development can take different pathways (Kunnen and Van Geert, 2012). Because teachers can be expected to alternate between different approaches, teacher trajectories in interventions are non-linear, and will always show (increased) within-person variability (Steenbeek and Van Geert, 2015), i.e., fluctuation in performance of a person at different points in time (Van Geert and Van Dijk, 2002). Non-linearity can be found on all timescales of change, during lessons, between lessons, throughout an intervention etc. Increased variability, such as sudden jumps, zigzagging or slowing down, is considered an early sign of a transition (Van der Maas and Molenaar, 1992). Such intra-individual variability should not be explained away as measurement errors in favor of smoothly presented growth curves. Instead, it should be acknowledged as an inherent developmental property providing insight into the complex learning processes of individuals. Following a CDS-approach, measuring development in an intervention therefore requires considerably more measurement points, than usually delivered in traditional pre- and post-test interventions, covering the entire timespan of the intervention (Koopmans and Stamovlasis, 2016).
1.5. Present study and content of the intervention
The present study is based on the results of an intervention aimed at improving teachers’ competencies to stimulate students’ musical creativity. The study focused on change in primary teachers’ creative autonomy support. During the intervention Video Feedback Coaching (VFCt) for teachers (Van den Heijkant et al., 2006) was used. VFCt is an evidence-based method for improving teachers’ interactional strategies. Its aim is for teachers to reflect and receive feedback based on video recordings of their own lessons. This method significantly affected the interaction skills of professionals in different contact professions, including teachers (Fukkink et al., 2011) and proved to be effective in previous intervention research in primary education (e.g., Su and Reeve, 2011; Wetzels, 2015; Van Vondel et al., 2017).
An educational intervention study also needs to take teachers’ own need for autonomy into account to ensure their intrinsic motivation. Therefore, the principles underlying autonomy-supportive teaching also apply to the coaching trajectory and the interaction between coach and teachers. In fact, an autonomy-supportive coaching style, which invites teachers to reflect on their goals, choices and actions and which promotes ownership of the professionalization trajectory, may be expected to stimulate the teacher’s creativity in teaching. Creative teaching is connected to teachers’ sense of professional autonomy and can be seen as teachers’ resourcefulness and flexibility in fostering children’s self-direction, engagement and agency in task design as well as in the interaction process (Cremin, 2009).
The intervention departed from three inter-related assumptions or principles. The first principle is that children are curious by nature, which is visible in their exploration and enthusiasm (e.g., Steenbeek and Van Geert, 2013). The second principle is that music has meaning for practically everyone. Every person leads a musical life in his own way, teachers as well as children (Bisschop Boele, 2013). The third principle is that musical creativity is not a static personal characteristic but is developed in children in dynamic and socially situated processes through the interaction with their (learning) environment(s) (e.g., Hallam, 2006; Burnard, 2012a,b; McPherson and Williamon, 2015; Kupers and Van Dijk, 2020).
The intervention focused on (1) enhancing knowledge about teaching for musical creativity in music lessons, (2) bringing about change in teachers’ interactional competency to stimulate musical creativity through VFC-t, and (3) formulating personal learning goals related to the aims of the intervention. During the intervention teachers were acquainted with a set of evidence-based pedagogical strategies to stimulate a shift from a method- and/or teacher-centered to a more student-centered and autonomy-supportive approach, and enhance teacher-student interaction in music lessons. The first strategy involves offering space for students to think, explore and create such as in student-centered questioning (e.g., Oliveira, 2010; Van Vondel et al., 2017). The second strategy consists of following a four-phase lesson model for art education, called the creative cycle (Stichting Leerplan Ontwikkeling, 2019), which was introduced relatively recently in Dutch primary education, and aids to structure the creative process. The four phases of this iterative model are (a) orientation, (b) exploration, (c) creation and performance, and (d) evaluation. The third strategy is scaffolding, an approach used to offer students contingent adaptive support, which is gradually phased out, in order to reach higher levels of functioning, eventually without support (Steenbeek et al., 2012; Van de Pol et al., 2012, 2019). Based on review of single (autonomy-supportive) and multi-component (needs-supportive) interventions, it has been suggested that needs-supportive interventions should first focus on autonomy support and include offering structure in an autonomy-supportive way in order to stimulate development of competence (Cheon et al., 2020). Therefore, applied in a coherent and autonomy-supportive manner, the three process-oriented strategies in the present intervention study were expected to contribute to students’ musical creativity. In the coaching sessions the focus was on the enacted creative process in teachers’ own lessons. Teachers and coach viewed recordings and reflected in depth on teachers’ utterances/actions and subsequent verbal/musical student expression.
1.6. Research questions and hypotheses
Research question 1: To what extent does primary school teachers’ Verbal Creative Autonomy Support (CASV) in music lessons change over the course of an intervention for enhancing musical creativity?
1.1. The first hypothesis is that teachers’ average level of CASV will increase at the (a) individual, and (b) group level, which is sustained during post-measurement, compared to baseline and to the control condition.
1.2. Secondly, we hypothesize that teachers’ higher-level CASV will increase at the (a) individual, and (b) group level, which is sustained during post-measurement, compared to baseline and to the control condition. It is expected that teachers will encourage students more, and ask more student-centered, thought-provoking and creativity enhancing questions.
1.3. Furthermore the aim is to explore the nature of change in teachers’ CASV and higher-level CASV, generated during the coaching program, specifically with regard to signs of non-linearity. A crucial principle of the CDS approach is that fluctuations represent the underlying dynamics of the change process, and therefore exploring variability in trajectories is important.
Research question 2: To what extent do the Musical and Non-Verbal aspects of teachers’ Creative Autonomy Support (CASM) in music lessons change over the course of an intervention for enhancing musical creativity?
2.1. The first hypothesis is that teachers’ average level of CASM will increase at the (a) individual, and (b) group level, compared to baseline and to the control condition.
2.2. Secondly, we hypothesize that teachers’ higher-level CASM will increase at the (a) individual, and (b) group level, compared to baseline and to the control condition. It is expected that teachers will encourage students more, and ask more student-centered, thought-provoking and creativity enhancing questions.
2.3. Additionally the aim is to explore the nature of change, specifically with regard to signs of non-linearity in teachers’ CASM and higher-level CASM, generated during the coaching program.
Given that an intrinsic part of teaching involves lower-level autonomy support like providing information and instructions, teachers’ higher-level CASV and CASM were examined as separate variables (hypothesis 1.2 and 2.2), in order to develop more insight into teachers’ development in offering particularly higher-level autonomy support, like student-centered questioning to stimulate musical imagination, and encouragement in gesture, movement and/or facial expression to stimulate exploration and risk-taking.
2. Materials and methods
2.1. Participants
Twelve primary school teachers and their classes from six schools in the North of Netherlands participated in the intervention, which took place in the academic years 2018/2019 and 2019/2020. To assure internal validity (Baldwin, 2018) a control group with 6 participants similar to the experimental VFCt-group and working in similar conditions, was used to compare growth and rule out maturation effects. The control group was smaller than intended due to COVID-19/lockdowns. In the intervention condition one participant was lost before post-measurement. Teachers from both groups (Table 1) taught in the middle grades of primary education (Dutch grade 3–6, student age range 6–10). All teachers were female and expressed having affinity with music. Nine intervention teachers (control: five) used a music method in school, but in both conditions were not always satisfied with this method. With Monte Carlo analyses (Todman and Dugard, 2001) we tested for differences in distribution between conditions across age, experience in (music) teaching, musical involvement and grade and for musical involvement outside school in students but no differences were found (p = 0.16–0.59).
Table 1
| Schools (n) | Teachers (n) | Average age and range | Musical back-grounda | Teaching experience in yearsb | Music teachingb | Studentsc (n) | Primary grade classes (n) | |||
|---|---|---|---|---|---|---|---|---|---|---|
| 3 | 4 | 5 | 6 | |||||||
| Intervention | ||||||||||
| 6 | 12 | 38 (29–54) | 6 (3) | 12 | 2.2 (1) | 278 (34) | 3 | 5 | 3 | 1 |
| Control | ||||||||||
| 4 | 6 | 36(29–40) | 3 (1) | 8 | 1.8 (1) | 136 (24) | 1 | 3 | 1 | 1 |
Participants’ characteristics.
aNumber of teachers who followed music education in the past. Between brackets: Number of teachers still actively involved in music making. bAverage experience in (music) teaching prior to the intervention. Music teaching rated on a scale from not (1) to very experienced (5). Between brackets: Mode. cBetween brackets: Number of students who follow instrumental/vocal music education outside of school.
Regarding external and ecological validity, in order to foster generalizability (Campbell and Stanley, 1963) data was collected in the natural setting of the classroom, and teachers were asked not to participate in other workshops and activities related to music teaching to prevent multiple-treatment interference. Teachers were recruited via e-mail, flyers and personal meetings. In teachers’ motivation to participate four, partly overlapping, reasons can be distinguished: the desire to improve the quality of their music lessons, teach music on a more structural basis, feel more confident teaching music and enjoy music lessons more. The teachers in the control condition participated in the waiting list condition.
The study was approved by the Ethical Committee of Psychology of the University of Groningen.
2.2. Procedure
The data collection consisted of video recordings of music lessons for both the classes in the intervention and control condition. A total number of 105 recordings of lessons were video-taped, with one camera aimed at the teacher and a second camera aimed at the children. Figure 3 shows the procedure for the intervention and control condition. The intervention started with an introductory session, led by the coach(es), to acquaint teachers with the pedagogical strategies. The session also contained practical activity, focusing on implementation of the strategies in creative musical tasks. Next, four lessons were observed and video-taped, both for coaching purposes and data collection. Each lesson was followed by a VFCt-session with the teacher. Coaching was carried out by two coaches: a conservatoire trained music teaching educator, who was also involved in developing the coaching trajectory, and the first author (see Supplementary material for additional information). The control condition consisted of recordings only.
Figure 3

Study design for the intervention condition (upper panel) and control condition (lower panel). VFCt, video feedback coaching for teachers.
Due to the outbreak of COVID-19 the data collection was interrupted in 2020 so that three teachers who were about to enter the study, could not continue their participation. Therefore, the control group was eventually restricted to 6 teachers, smaller than intended. For two classes in the intervention post-measurement took place after nearly 5 months. For one class only one lesson was recorded for post-measurement. It was decided to include these late post-measurements in the study while taking the delay into account in the interpretation of the results.
2.3. Variables and coding procedure
All music lessons were coded for creative verbal autonomy support (CASV) using a coding scheme based on an existing system for coding Teacher Openness (Oliveira, 2010; Meindertsma et al., 2014; Van Vondel et al., 2017). The system was adapted for use in the context of creative tasks in music education. In addition, a separate version was developed for coding the Musical and non-verbal aspects of offering Creative Autonomy Support (CASM). The schemes were tested and adapted in the pilot phase of the study prior to the empirical study, based on guidelines for systematic observation of (recorded) behavior (Van de Sande, 1984; Bakeman and Gottman, 1997) for the development of coding systems with mutually exclusive categories. This includes defining operational categories which are observable, accurate, concrete and clear in order to avoid personal interpretation and takes the unit of analysis (teacher turns in this study) into account.
For each lesson four fragments with a sufficient amount of content-related verbal and musical teacher-student interaction were selected, as follows. From the introduction and from the end of the lesson a 2-min fragment was selected. From the lesson core two 3-min fragments were captured, in which teacher and students were actively engaged with the task. The resulting timeseries of 10 mi per lesson was coded, on a continuous basis, with Mediacoder (Bos et al., 2017), an online application for coding video data. In the selection of fragments the (in)visibility of the teacher was taken into account as much as possible.
Time-serial coding for both CASV and CASM consisted of a first round for coding the unit of analysis (teacher turn) and a second round for the levels of autonomy support. Time-serial coding refers to frequent repeated measurements within a chosen time frame and reckons with the idea that most human functioning varies even within short time spans. Both variables were coded on an ordinal scale, ranging from 1 to 8 (Table 2). For CASV level 1 indicates restriction of autonomy (“It’s not your turn yet”) and level 8 indicates encouragement (“Nice, please continue!”). For CASM level 1 indicates non-verbal interruption and level 8 highly stimulative encouragement in gesture, movement and/or facial expression.
Table 2
| Creative verbal autonomy support (CASV) | Level | Creative musical and non-verbal autonomy support (CASM) |
|---|---|---|
| Lower-level autonomy support | ||
| Stop Stop please |
1 | Stop sign Raising hand |
| Instruction Repeat after me |
2 | Modeling Playing/singing/clapping etc. based on prescribed/teacher ideas |
| Information If you play the drum you need to hit it in the middle for a good sound |
3 | Participative support Playing/singing/clapping etc. along based on student ideas |
| Teacher-centered question Was this music fast or slow? |
4 | Representational gesturing Raising/lowering hand to indicate high or low tone during explanation |
| Higher-level autonomy support | ||
| General autonomy-supportive question/remark Can you come choose an instrument? |
5 | General autonomy-supportive movement or activity Handing an instrument to a student |
| Cognitive autonomy-supportive student-centered question What do you think is the difference between a melody and a rhythm? |
6 | Gesturing and turn-giving in order to elicit musical exploration Indicating the beat, gesturing to indicate a student can join in |
| Creative autonomy-supportive student-centered question How does a ray of sun sound? Could you let us hear? |
7 | Observing and offering space with minimal intervention Closely listening to students’ musical play and nodding to the beat |
| Encouragement Please continue, You can do it! Could you try it again? How could you do it differently? |
8 | Encouragement Highly stimulating support in gesture and/or movement and/or facial expression to stimulate exploration and risk-taking |
| Other | O | Other |
Coding scheme for teachers’ creative autonomy support in music lessons.
Coding was done by trained coders and the first author. A manual with information about creative autonomy support and coding instructions was used. To foster alignment between coders, training was done with separate video footage from lessons (15–20% of the amount of data) until a substantial inter-rater reliability was reached. For teachers’ CASV the agreement percentage was 81% (Cohen’s Kappa 0.76). For teachers’ CASM it was 82% (Cohen’s Kappa 0.76).
2.4. Data analysis
2.4.1. Missing data
The percentage of missing values for CASV was 0.5% and for CASM 4.3%, which is below the percentage where missing values might become problematic (5–20%; Schlomer et al., 2010). To correct for missing values, we followed a simple three-step procedure (for details see Supplementary material Data Analysis) to comply to recommendations for applying pattern-matching imputation (Schlomer et al., 2010).
2.4.2. Analysis procedure
For the hypotheses related to both research question 1 for CASV and 2 for CASM the same procedure was followed. All calculations were carried out in Excel using non-parametric techniques from the Paul’s functions library (Van Geert, 2020), comparable to the widely used poptools functions (Hood, 2010), because of the non-normality of the data and the relatively small number of participants.
2.4.2.1. Effect measurement hypothesis 1.1 and 2.1
The focus was on examining the effects of the intervention on the timescale of development of the intervention trajectory. In line with this timescale, for the hypotheses for CASV (1.1) and CASM (2.1) of a positive effect of coaching on teacher autonomy support during music lessons, compared to pre-measurement and the control condition, regression analysis was performed. First the weighted lesson averages were calculated. The second step consisted of calculating and testing slopes, linear change (i.e., a straight regression line) and effect size. Because a value of p indicates only the likelihood of the existence of an effect, but not its size, and given the time-serial nature of our data, providing reasonable statistical power, effect sizes were calculated. We defined a simple and intuitively easy to interpret effect size to describe the trend for the regression of the data trajectories. It was calculated by dividing the linear change, predicted by the linear regression model, by the average of the timeseries, consisting of the average values for the 8 lessons:
Step 1: (intercept +8*slope) – (intercept+1*slope) = (8–1)*slope = 7*slope.
Step 2: 7*slope/mean.
This effect size represents the proportion of the linear increase/decrease of the average over the eight lessons in the trajectory.
For testing the slopes, linear change and regression effect size for both the first six lessons (baseline and intervention) and for the entire eight-lesson trajectory (including post-measurement) Monte Carlo analysis (Todman and Dugard, 2001) was performed for all individual teachers and on the group level in the experimental and control condition (see Supplementary material).
2.4.2.2. Effect measurement hypothesis 1.2 and 2.2
Teachers’ higher-level CASV and CASM were examined separately from lower-level autonomy support and analyzed in two ways. For the hypothesis of an increase in expression of higher-level autonomy support for CASV (1.2) and CASM (2.2), throughout the intervention, compared to pre-measurement and the control condition, the first method consisted of the same calculations and tests (linear regression analysis) as used for hypothesis 1.1 and 2.1, applied on recoded data. For the second method, in order to refine our understanding of the idiosyncratic processes underlying the expected change, Moving Max (MM) graphs were plotted for two contrasting teacher trajectories for CASV and CASM as an indicator of the extent of difference in development of offering higher-level autonomy support over the eight lessons. The trajectories were chosen based on effect size (highly versus non-meaningful). A Moving Max shows the maximum value for a chosen timeframe (e.g., 60 s) from the beginning to the end of a trajectory, with this timeframe moving up every second. Moving Max graphs can be used to display variability around a general trend and for detecting increase through jumps and plateaus in data trajectories (Van Geert and Van Dijk, 2002) which would not be visible by solely looking at Moving Averages (MA). Secondly, the resulting timeseries were smoothed using a Loess (locally estimated scatterplot smoothing) technique (Simonoff, 1996) while retaining enough detail to detect notable peaks and/or decline. For further details see Supplementary material.
Changes in teachers’ Moving Average and Max were inspected to identify behavioral reorganization in the form of (a) a general trend (b) peaks and/or plateaus in the expression of higher-level autonomy support, with peaks indicating rapid change, and plateaus and a relatively constant MM-MA bandwidth, indicating de(stabilization) of behavior and the potential formation of new attractor states. The MM-MA bandwith refers to the space between the MM and MA in the graph as a source of information about variability and fluctuation over time (Van Geert and Van Dijk, 2002).
To assure a reliable visualization data had to be recoded. “No teacher utterances” (0) remained at the neutral level (0). Higher-level CASV and CASM (5–8) were recoded into 1 to 4. Lower-level CASV and CASM (1–4) were recoded into −4 to −1. This was done to prevent that the neutral level (0) in the original coding scheme would otherwise be visualized as the lowest autonomy level, whilst in reality this level does not imply intentional expression of autonomy support.
2.4.2.3. Explorative questions 1.3 and 2.3
Because the individual trajectories were expected to show variability, for the explorative questions 1.3 (CASV) and 2.3 (CASM) the (non-linear) effects throughout the intervention were explored by calculating and plotting the 95% confidence intervals (CI’s) for the weighted lesson averages for individual teachers in both conditions. This was done using Bootstrapping (Monte Carlo technique) by randomly resampling the averages per lesson fragment with replacement (see Supplementary material Data Analysis). In the resulting graphs each CI represents a lesson. A rectangle marks the baseline CI (lesson 1 and 2), to facilitate comparing with the following lesson CI’s.
For identifying intervention effects, a relevant question is whether meaningful discontinuous non-linearity occurs. This term means that change does not occur gradually, depending on the progression of the VFCt-intervention itself. Such non-linearity can be identified in the variability in performance during lessons (width of lesson CI’s), differences between lessons (distance/overlap between CI’s) and development throughout the intervention (growth/relapse toward baseline CI’s). When CI’s during and post-intervention are moving further away from the baseline CI’s, a clear effect exists. CI’s outside the baseline CI’s during the intervention, but relapsing or overlapping baseline CI’s during post-measurement, indicate a temporary effect. If all CI’s overlap the baseline CI, there is no effect. In addition, plotting CI’s for individual teachers facilitate detection of inter-individual differences and visual inspection of the order/pattern in the CI sequence throughout their trajectories.
The effects will be discussed considering the timescales of micro-, meso- and macro-level change. The general trend across all lessons in a trajectory can be defined as change on the macro-level timescale. The micro-level timescale (width of CI’s) refers to variation within lessons. The meso-level concerns fluctuations between lessons (distance between CI’s) and between measurement-stages (distance between CI’s two consecutive stages, e.g., baseline-intervention).
2.4.3. Effect evaluation
Effect evaluation is based on both significance testing and effect size, interpreted within the scope, context and nature of the data. The effect is labeled negligible with effect size <0.10 and p not significant; Moderate with effect size ≥0.10 and p significant at p < 0.10; Substantial with effect size ≥0.30 and/or p significant at p < 0.05 and Highly meaningful with effect size ≥0.50 and/or p significant at p < 0.01.
The assessment of the efficacy of the intervention in relation to the research questions and the acceptance or (partial) rejection of the null hypothesis (H0) is done based on the following guidelines. For rejection of H0:
-
a) A moderate effect for 75% of the teachers or a substantial or highly meaningful effect for the majority of the intervention group teachers must be achieved over the course of the 8-lesson trajectory.
-
b) The percentage of intervention group teachers with an at least moderate effect should outweigh the percentage of control group teachers with a moderate effect.
-
c) In combination with an at least moderate effect at group level, compared to the control condition.
For partial rejection of H0 (only) the first guideline is abandoned and replaced by:
-
d) An at least moderate effect for the majority of the intervention group teachers must be achieved over the course of the 8-lesson trajectory.
In all other cases H0 is accepted.
3. Results
3.1. RQ 1: To what extent does primary school teachers’ verbal creative autonomy support in music lessons change?
3.1.1. Hypothesis 1.1
Table 3A summarizes the results of the regression for CASV (hypothesis 1.1) for individual teachers and at group level. Regarding change in CASV Table 3A shows that 10 intervention teachers (n = 12) achieved an increase (2 moderate, 4 substantial and 4 highly meaningful), with effect sizes ranging between 0.12 and 0.49. Note that post-measurement is missing for intervention teacher 6. In the control condition 3 teachers (n = 6) showed an increase (2 substantial and 1 moderately meaningful, range effect size, 0.13–0.34). At group level (Table 3B) the increase was nearly two times larger (p = 0.04) for the intervention group (slope: 0.17; effect size: 0.29) compared to the control condition (slope: 0.09; effect size: 0.17).
Table 3A
| CASV | |||||||
|---|---|---|---|---|---|---|---|
| Teacher | Mean | Slope | Increase | 95% CI | p | Effect size | |
| LL | HL | ||||||
| Experimental group | |||||||
| 1 | 4.75 | 0.12 | 0.87 | 3.41 | 6.35 | 0.077 | 0.18 |
| 2 | 4.46 | 0.18 | 1.25 | 3.57 | 5.19 | <0.001 | 0.28 |
| 3 | 4.30 | 0.14 | 0.96 | 2.94 | 5.42 | 0.045 | 0.22 |
| 4 | 4.34 | 0.31 | 2.14 | 3.29 | 5.96 | <0.001 | 0.49 |
| 5 | 4.98 | 0.32 | 2.24 | 2.98 | 6.23 | <0.001 | 0.45 |
| 6a | 4.51 | 0.41 | 2.05 | 3.07 | 5.53 | <0.001 | 0.45a |
| 7 | 4.11 | 0.07 | 0.51 | 3.29 | 4.93 | 0.097 | 0.12 |
| 8 | 4.09 | 0.14 | 0.96 | 3.12 | 5.44 | 0.041 | 0.24 |
| 9 | 4.72 | 0.24 | 1.71 | 3.64 | 5.94 | <0.001 | 0.36 |
| 10b | 4.39 | 0.09 | 0.62 | 3.12 | 5.44 | 0.041 | 0.14 |
| 11b | 4.94 | 0.16 | 1.10 | 4.04 | 6.69 | 0.037 | 0.22 |
| 12b | 4.59 | −0.02 | −0.14 | 3.61 | 5.98 | 0.388 | −0.03 |
| Control group | |||||||
| 13 | 3.48 | 0.07 | 0.48 | 2.90 | 4.14 | 0.041 | 0.14 |
| 14 | 3.22 | 0.01 | 0.08 | 3.01 | 3.44 | 0.349 | 0.03 |
| 15 | 3.82 | 0.08 | 0.53 | 3.26 | 4.64 | 0.137 | 0.14 |
| 16 | 3.40 | 0.09 | 0.65 | 2.92 | 3.82 | 0.103 | 0.19 |
| 17 | 3.87 | 0.19 | 1.33 | 3.03 | 4.83 | 0.010 | 0.34 |
| 18 | 4.00 | 0.08 | 0.54 | 3.50 | 4.50 | 0.090 | 0.13 |
Results regression analyses creative autonomy support verbal.
Results individual teachers for comparing baseline and post-measurement. CI’s for lesson means. aTeacher 6: results for baseline and intervention only, because of missing post-measurement. bDue to COVID-19 late post-measurement for teachers 10 and 12 and post-measurement missing 1 lesson for teacher 11.
Table 3B
| Slope | 95% CI | p | Mean | Increase | p | Effect size | ||
|---|---|---|---|---|---|---|---|---|
| LL | HL | |||||||
| CASV | ||||||||
| Exp. gr. | 0.17 | 0.12 | 0.19 | 0.06 | 4.52 | 1.22 | 0.02 | 0.29 |
| Contr. gr. | 0.09 | 0.04 | 0.13 | 1.00 | 3.63 | 0.60 | 0.97 | 0.17 |
| Difference | 0.08 | 0.89 | 0.62 | 0.04 | 0.13 | |||
Group results regression analysis creative autonomy support verbal.
Results comparing baseline and post-measurement.
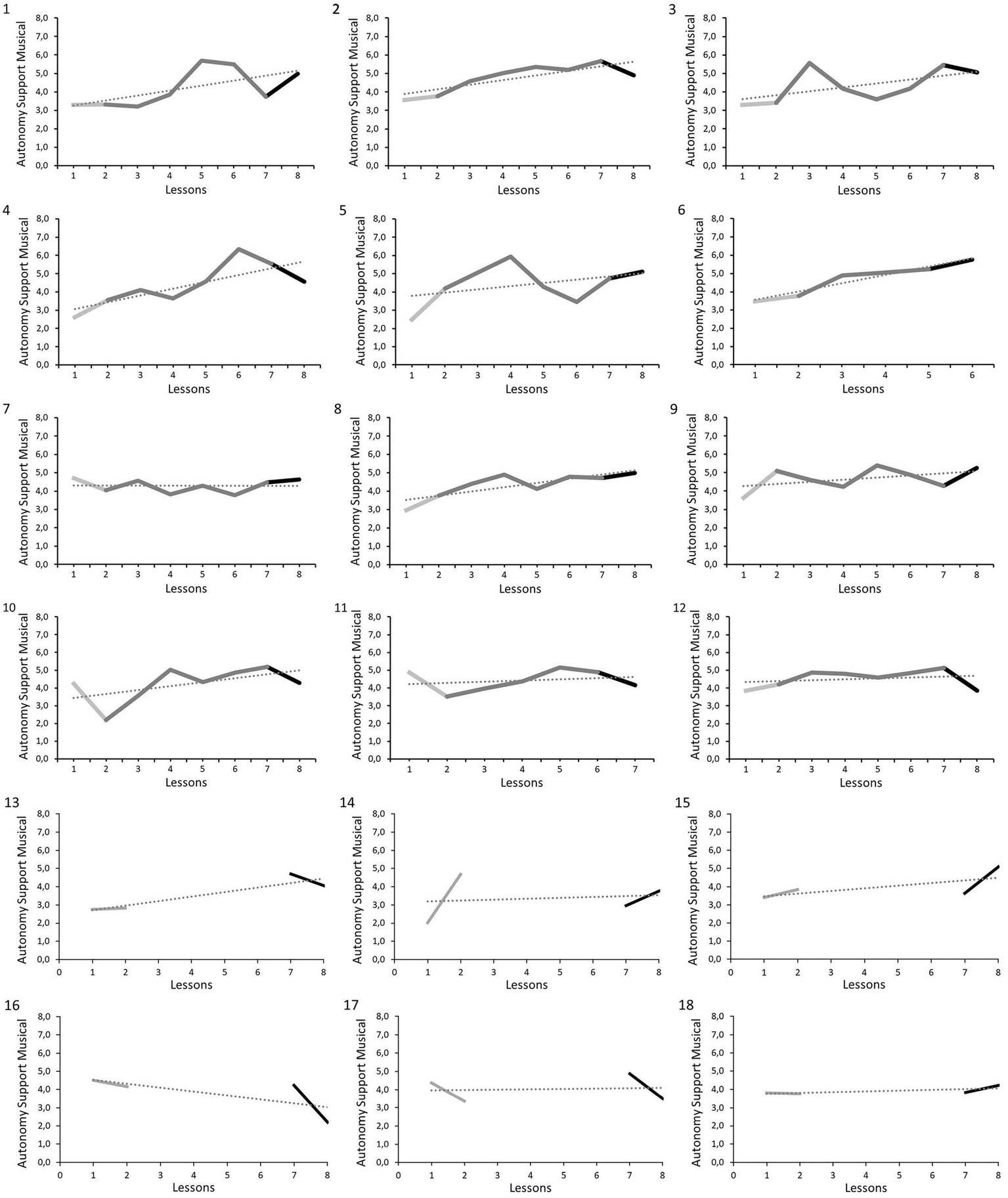
In line with our views on non-ergodicity and idiosyncrasy of intervention processes, Figure 4 depicts teachers’ individual trajectories for CASV. An ascending trend can be discerned for 11 intervention teachers (n = 12). Most of the trajectories exhibit an initiation effect in lesson three after introduction of the principles of the intervention. Throughout the lessons the trajectories start to diverge from each other. Teachers 4, 5, 7, and 12 showed degeneration during post-measurement, although compared to baseline, the increase was still significant for 3 of them. For the control group (teachers 13–18), except for teacher 17, no convincing progress between pre- and post-measurement can be discerned as a function of time alone. Differences between consecutive lessons and pre- and post-measurement are small.
Figure 4

Trajectories Creative Autonomy Support Verbal for teachers experimental group (1-12) and control group (13-18) for CASV over 8 lessons. The light shaded grey line depicts baseline measurement (lessons 1 and 2). The grey line depicts measurement during intervention for the experimental group. The black line depicts post-measurement (lessons 7 and 8). Note that for teacher 6 lesson 7 and 8, and for teacher 11 lesson 8 is missing.
Following the percentages defining our decision rules regarding meaningful intervention effects, an effect for CASV was found for almost all intervention teachers and at group level. Because 91% of the intervention teachers and 50% of the teachers in the control condition achieved an at least moderate effect, and because at group level also a significant difference between conditions existed (effect size: 0.13), H0 of no effect of the intervention for CASV is rejected.
3.1.2. Hypothesis 1.2
For the hypothesized increase in teachers’ higher-level CASV after recoding. Table 4A shows that 6 intervention teachers (n = 1) accomplished an increase in higher-level CASV (highly meaningful: 3, 5, 9, 10; substantial: 7, 4). In the control condition only 1 teacher showed an increase (highly meaningful: 14). At group level (Table 4B) no effect was achieved for the control group (slope: 0.00; effect size: – 0.01), whilst the effect for the intervention group (slope: 0.11; effect size: 0.46) was significantly larger and highly meaningful (p < 0.01).
Table 4A
| Higher-level CASV | |||||||
|---|---|---|---|---|---|---|---|
| Teacher | Mean | Slope | Increase | 95% CI | p | Effect size | |
| LL | HL | ||||||
| Experimental group | |||||||
| 1 | 1.96 | 0.05 | 0.33 | 0.80 | 2.91 | 0.245 | 0.17 |
| 2 | 2.24 | 0.00 | 0.02 | 1.52 | 2.89 | 0.464 | 0.01 |
| 3 | 1.88 | 0.16 | 1.15 | 0.30 | 2.65 | 0.020 | 0.61 |
| 4 | 1.91 | 0.12 | 0.80 | 0.61 | 2.73 | 0.049 | 0.42 |
| 5 | 1.99 | 0.26 | 1.79 | 0.20 | 2.92 | <0.001 | 0.90 |
| 6a | 1.89 | 0.31 | 1.57 | 0.68 | 2.68 | .010a | 0.83a |
| 7 | 1.91 | 0.01 | 0.06 | 1.29 | 2.64 | 0.445 | 0.03 |
| 8 | 1.68 | 0.10 | 0.68 | 0.30 | 2.78 | 0.097 | 0.41 |
| 9 | 1.85 | 0.16 | 1.10 | 0.48 | 2.83 | 0.015 | 0.59 |
| 10b | 1.56 | 0.13 | 0.94 | 0.60 | 2.68 | 0.013 | 0.60 |
| 11b | 2.03 | 0.04 | 0.26 | 1.37 | 2.53 | 0.296 | 0.13 |
| 12b | 1.83 | −0.05 | −0.35 | 1.00 | 2.59 | 0.210 | −0.19 |
| Control group | |||||||
| 13 | 1.72 | 0.00 | 0.03 | 0.74 | 2.67 | 0.474 | 0.02 |
| 14 | 0.83 | 0.07 | 0.46 | 0.20 | 1.24 | 0.077 | 0.56 |
| 15 | 1.72 | −0.10 | −0.71 | 0.40 | 2.36 | 0.774 | −0.41 |
| 16 | 0.79 | 0.01 | 0.04 | 0.20 | 1.08 | 0.440 | 0.05 |
| 17 | 1.73 | 0.02 | 0.14 | 0.20 | 2.23 | 0.422 | 0.08 |
| 18 | 1.76 | −0.01 | −0.05 | 1.29 | 2.40 | 0.442 | −0.03 |
Results regression analyses higher-level creative autonomy support verbal.
Results individual teachers and group comparing baseline and post-measurement. CI’s for lesson means. Higher-level creative autonomy support verbal was recoded into values 1–4. aTeacher 6: results for baseline and intervention only, because of missing post-measurement. bDue to COVID-19 late post-measurement for teachers 10 and 12 and post-measurement missing 1 lesson for teacher 11.
Table 4B
| Slope | 95% CI | p | Mean | Increase | p | Effect size | ||
|---|---|---|---|---|---|---|---|---|
| LL | HL | |||||||
| Higher-level CASV | ||||||||
| Exp. group | 0.11 | 0.06 | 0.13 | 0.053 | 1.70 | 0.79 | 0.009 | 0.46 |
| Contr. group | 0.00 | −0.07 | 0.05 | 1.00 | 1.43 | −0.02 | 0.996 | −0.01 |
| Difference | 0.11 | 0.27 | 0.81 | 0.007 | 0.47 | |||
Group results regression analysis higher-level creative autonomy support verbal.
Results comparing baseline and post-measurement.
Summarizing, because 6 (55%) intervention teachers (n = 11) and 1 control teacher (n = 6) achieved an at least substantial effect, and given the highly meaningful difference at group level (effect size: 0.47), H0 of no increase for the intervention compared to the control condition for higher-level CASV, is rejected.
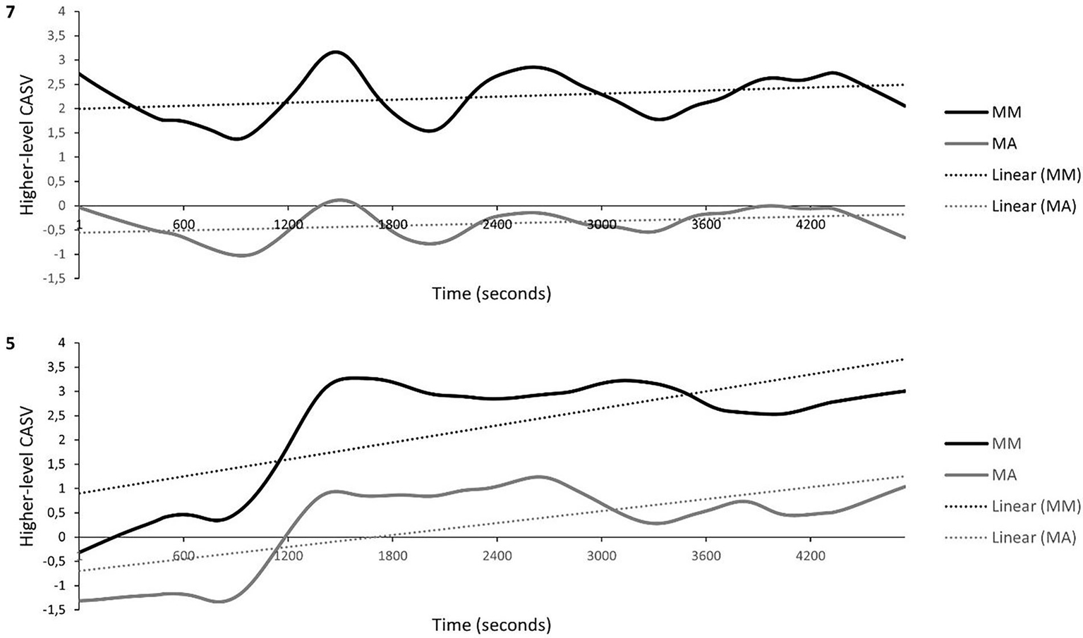
To provide more insight into the extent of change, two contrasting cases, covering the range of behavioral reorganization for higher-level CASV are discussed (see Figure 5).
Figure 5

Moving Maximum and Average CASV non-optimal trajectory 7 and optimal trajectory 5 Note. Example of a non-optimal (7) and an optimal trajectory (5): smoothed timeseries over 8 lessons (600 coded seconds per lesson. Total length of the timeseries: 4800 seconds). The intervention starts after lesson 2 (1200 seconds) and ends after lesson 6 (3600 seconds). MM = Moving Max. MA = Moving Average. Because of the decreasing length of the moving window towards the end of the timeseries inherent to this technique, the graphs do not display the last 10% of the last lesson.
In terms of increase, teacher trajectory 7 represents a suboptimal pathway. In addition to its Moving Average (MA), Figure 5 shows its Moving Maximum (MM) as an indicator for development of higher-level CASV. For this trajectory the MM and MA tend to oscillate together but show only marginal development. Initially the MM is already situated around level 2. The MM peaks after lesson 2, indicating a temporal initiation effect, and shows two increases, halfway and after the intervention, and then relapses. Despite fluctuations, potentially indicating active exploration of offering higher-level CASV, during the intervention, a sustained increase post-intervention is lacking.
Showing a steady upward trend, teacher trajectory 5 represents a more positive pathway. Both the MM and MA take an upward leap after lesson 2, indicating an initiation effect. The MM and MA reach a plateau, which is maintained at level 3 the entire intervention, and coincides with an increase in the MM-MA bandwidth, suggesting destabilization of existing habits for offering higher-level CASV. After a slight decrease, both MM and MA regenerate during post-measurement. Throughout the trajectory the MM remains at an elevated level, which might indicate stabilization, i.e., the reorganization into a new attractor state.
Regarding their MM, both the suboptimal and positive teacher trajectories show presence of offering higher-level CASV and display averages, which are higher than the averages for the control trajectories. Trajectory 7 initially showed a higher level compared to the positive trajectory, but despite increased variability during the intervention, achieved only negligible change for the MM. Trajectory 5 achieved considerable change in developing the competence to offer more higher-level autonomy support, a scenario observed for the majority of the intervention teachers.
3.1.3. Research question 1.3
For the explorative question about the nature of change for teacher CASV, Figure 6 depicts the confidence intervals (CI’s) per teacher. CI’s outside the baseline CI (rectangle) indicate a clear effect, and CI’s within or close to this rectangle indicate no or less effect. The observed effects are discussed considering the timescales of micro-, meso- and macro-level change.
Figure 6

Confidence intervals teachers 1–12 (experimental group) and teachers 13–18 (control group) for CASV over 8 lessons. Lesson numbers are next to CI’s. The vertical rectangle depicts the baseline range (confidence intervals lessons 1 and 2). Note that for teacher 6 lesson 7 and 8, and for teacher 11 lesson 8 is missing.
3.1.3.1. Experimental condition
Macro-timescale: For the intervention group (n = 12) it can be noticed that (a) for eight teachers (1, 2, 3, 4, 5, 8, 9, and 11) the post-measurement CI’s are situated entirely above the baseline CI rectangle; (b) for seven teachers the intervention CI’s (6) and post-measurement CI’s exceed the baseline CI, entirely (1, 2, 3, and 5) or nearly entirely (8, 10); (c) an almost consistent linear upward trend throughout the trajectory exists only for teacher 2.
Meso-timescale: Non-linear change, between lessons and measurement stages, is visible in the form of (d) initiation effects after introduction of the intervention for lesson 2 to 3 for seven teachers (1, 3, 5, 6, 7, 8, and 10); (e) trend reversal for eight teachers, throughout the trajectory (10, 12), during post-measurement through a final growth spurt (1, 2, 3, 8, 9, and 10) or degeneration (1, 3 and 12), although the post-measurement CI’s for teacher 1 and 3 remain above the rectangle. Within-stage fluctuation during the intervention was observed in (f) a delayed initiation effect for four teachers (4, 9, 11, and 12); (g) relapse and/or (small) fluctuations after a substantial initiation effect (1, 3, 5, 6, 7, 8 and 10) while, except for teacher 7, remaining above baseline CI; (h) one-lesson-relapses in an upward or stable trend for five teachers (3, 9, 10, 11 and 12). Between- and within-stage variation is observed in (i) rather chaotic fluctuation for three teachers (1, 5, and 7); (j) slowing down in an upward trend preceding relapse (2, 3).
Micro-timescale: Differences in within-lesson variation between stages are shown in k) larger CI’s for intervention lessons compared to baseline.
3.1.3.2. Control condition
Macro-timescale: For the control group (n = 6), Figure 6 shows that (a) all but one teacher’s post-measurement CI’s remain within the baseline rectangle, entirely (teacher 14), or partly (13, 15, 16, and 18); (b) for teachers 17 and 18 a linear upward trend can be noticed.
Meso-timescale: Because pre- and post-measurement involve only two lessons, identifying within-stage linear change is hardly meaningful. Non-linear change between pre- and post-measurement can be identified in the form of (c) a modest initial leap between the CI’s for lesson 2 and 7 for four teachers (13, 15, 16, and 17); (d) trend reversal (up-down) for teacher 13. Non-linear change during post-measurement is shown in (e) reversal of an upward leap (13, 15, and 16).
Micro-timescale: During pre- and post-measurement control trajectories show g) small lesson CI’s, except for one teacher (16), revealing little within-lesson variation. CI’s remain (partly) within or close to baseline CI’s, suggesting natural variability in performance.
Summarizing, for the intervention teachers across all timescales mostly non-linear positive change for CASV was observed with widening CI’s during intervention, indicating increased variability. Except for one, the control teachers showed smaller CI’s, indicating less variability and more fixed patterns, that did not change much comparing baseline and post-measurement.
3.2. RQ 2: To what extent do the musical and non-verbal aspects of teachers’ creative autonomy support in music lessons change?
3.2.1. Hypothesis 2.1
Tables 5A,B summarize the results of the regression for teachers’ CASM at the individual and group level. At first sight means and slopes for CASM seem to be higher for intervention teachers, but for higher-level CASM this difference between intervention and control group seems less clear. At group level differences in mean exist for both CASM and higher-level CASM, but for slope only for CASM.
Table 5A
| CASM | |||||||
|---|---|---|---|---|---|---|---|
| Teacher | Mean | Slope | Increase | 95% CI | p | Effect size | |
| LL | HL | ||||||
| Experimental group | |||||||
| 1 | 4.20 | 0.27 | 1.88 | 2.93 | 5.90 | 0.011 | 0.45 |
| 2 | 4.76 | 0.25 | 1.75 | 3.41 | 5.86 | 0.001 | 0.37 |
| 3 | 4.34 | 0.21 | 1.48 | 3.07 | 5.74 | 0.010 | 0.34 |
| 4 | 4.37 | 0.37 | 2.60 | 2.35 | 6.53 | <0.001 | 0.60 |
| 5 | 4.41 | 0.18 | 1.23 | 2.34 | 6.22 | 0.030 | 0.28 |
| 6a | 4.70 | 0.46 | 2.28 | 2.91 | 5.89 | 0.006 | 0.49a |
| 7 | 4.29 | 0.00 | −0.02 | 3.59 | 5.03 | 0.520 | 0.00 |
| 8 | 4.33 | 0.23 | 1.61 | 2.82 | 5.12 | 0.008 | 0.37 |
| 9 | 4.67 | 0.11 | 0.80 | 3.33 | 5.61 | 0.077 | 0.17 |
| 10b | 4.21 | 0.22 | 1.54 | 2.01 | 5.35 | 0.006 | 0.37 |
| 11b | 4.41 | 0.06 | 0.39 | 3.36 | 5.32 | 0.223 | 0.09 |
| 12b | 4.51 | 0.05 | 0.36 | 3.65 | 5.31 | 0.248 | 0.08 |
| Control group | |||||||
| 13 | 3.58 | 0.25 | 1.75 | 2.62 | 4.78 | 0.050 | 0.49 |
| 14 | 3.36 | 0.05 | 0.34 | 1.97 | 4.82 | 0.348 | 0.10 |
| 15 | 3.99 | 0.14 | 1.01 | 3.05 | 5.32 | 0.051 | 0.25 |
| 16 | 3.77 | −0.21 | −1.50 | 2.01 | 4.67 | 0.020 | −0.40 |
| 17 | 4.03 | 0.02 | 0.14 | 3.24 | 5.05 | 0.407 | 0.04 |
| 18 | 3.91 | 0.04 | 0.30 | 3.62 | 4.42 | 0.317 | 0.08 |
Results regression analyses creative autonomy support musical and non-verbal.
Results individual teachers for comparing baseline and post-measurement. CI’s for lesson means. aTeacher 6: results for baseline and intervention only, because of missing post-measurement. bDue to COVID-19 late post-measurement for teachers 10 and 12 and post-measurement missing 1 lesson for teacher 11.
Table 5B
| Slope | 95% CI | p | Mean | Increase | p | Effect size | ||
|---|---|---|---|---|---|---|---|---|
| LL | HL | |||||||
| CASM | ||||||||
| Exp. group | 0.19 | 0.14 | 0.23 | 0.054 | 4.44 | 1.30 | 0.006 | 0.31 |
| Contr. group | 0.05 | 0.03 | 0.13 | 1.00 | 3.77 | 0.34 | 0.995 | 0.09 |
| Difference | 0.14 | 0.67 | 0.96 | 0.012 | 0.22 | |||
Group results regression analysis creative autonomy support musical and non-verbal.
Results comparing baseline and post-measurement.
Concerning teachers’ average level of CASM 8 teachers (n = 11) showed an increase (1 moderate, 3 substantial and 4 highly meaningful) over the 8-lesson trajectory. For the control condition (n = 6) 2 teachers showed an increase (1 moderate, 1 substantial) and 1 teacher a decrease (substantial). At group level the increase achieved by the intervention group (slope: 0.19; effect size: 0.31) was about three times larger (p = 0.01) compared to the control condition (slope: 0.05, effect size: 0.09).
Figure 7 depicts teachers’ developmental trajectories for CASM and illustrates for the intervention group that (a) some teachers show an initiation effect from the third lesson on, although less noticeable than for CASV, (b) there is variation in timing and extent of the fluctuations throughout the trajectories, and (c) 6 teachers (2, 3, 4, 10, 11, and 12) exhibit a degeneration during post-measurement, although only the effects achieved by teachers 11 and 12 were negligible. Lastly (d) 9 intervention trajectories show an upward trend for CASM.
Figure 7

Trajectories teachers 1-12 (experimental group) and 13-18 (control group) for CASM over 8 lessons. The light shaded grey line depicts baseline measurement (lessons 1 and 2). The grey line depicts measurement during intervention for the experimental group. The black line depicts post measurement (lessons 7 and 8). Note that for teacher 6 lesson 7 and 8, and for teacher 11 lesson 8 is missing.
The graphs for the control group show that (a) comparing pre- and post-measurement, some trajectories show growth (13 and 15), some remain at the same level (14, 17, and 18) and some show degeneration (16); (b) some teachers show large intra-individual differences, both ascending and descending, in consecutive lessons during pre-measurement (14) or post-measurement (15, 16, and 17); (c) sometimes the level is mostly constant in consecutive lessons for pre-measurement (15 and 16), post-measurement (teacher 13 and 14) or for both (13 and 18); In sum, (d) for the control group for CASM no clear common upward trend can be discerned.
Given our decision rules, from the intervention teachers, 73% achieved an increase, whilst 64% with an at least substantial effect size, outweighing the percentage of teachers in the control condition (50%) with an at least moderate effect. Comparing both conditions, a difference in increase at group level (effect size: 0.22) existed. Therefore, H0 of no effect of the intervention for offering CASM is rejected.
3.2.2. Hypothesis 2.2
Regarding teachers’ higher-level CASM after recoding. Table 6A shows that 5 intervention teachers (n = 11) achieved an increase (1 substantial, 4 highly meaningful). In the control condition (n = 6) 2 teachers (1 substantial, 1 highly meaningful) showed an increase. At group level (Table 6B) the effect for both groups was substantial, but comparable (Experimental: slope = 0.08, effect size = 0.31; Control: slope = 0.09, effect size = 0.34). No significant difference was found (p = 0.83).
Table 6A
| Higher-level CASM | |||||||
|---|---|---|---|---|---|---|---|
| Teacher | Mean | Slope | Increase | 95% CI | p | Effect size | |
| LL | HL | ||||||
| Experimental group | |||||||
| 1 | 1.69 | 0.12 | 0.85 | 0.20 | 2.51 | 0.050 | 0.50 |
| 2 | 2.18 | 0.13 | 0.90 | 1.02 | 2.67 | 0.001 | 0.41 |
| 3 | 1.91 | 0.05 | 0.32 | 0.74 | 2.57 | 0.211 | 0.17 |
| 4 | 1.94 | 0.18 | 1.23 | 0.60 | 2.90 | 0.003 | 0.64 |
| 5 | 2.03 | 0.02 | 0.13 | 1.00 | 2.61 | 0.330 | 0.06 |
| 6a | 1.84 | 0.20 | 0.98 | 0.55 | 2.43 | 0.012 | 0.53a |
| 7 | 2.13 | 0.13 | 0.93 | 1.18 | 2.91 | 0.010 | 0.44 |
| 8 | 1.78 | 0.01 | 0.06 | 0.90 | 2.81 | 0.460 | 0.04 |
| 9 | 2.06 | 0.05 | 0.34 | 0.80 | 2.72 | 0.231 | 0.16 |
| 10b | 1.95 | 0.11 | 0.80 | 0.50 | 2.44 | 0.002 | 0.41 |
| 11b | 2.26 | - 0.02 | −0.12 | 1.31 | 2.57 | 0.656 | −0.05 |
| 12b | 2.14 | 0.02 | 0.14 | 1.31 | 2.57 | 0.230 | 0.06 |
| Control group | |||||||
| 13 | 1.28 | 0.04 | 0.25 | 0.81 | 2.01 | 0.135 | 0.18 |
| 14 | 1.53 | 0.01 | 0.10 | 0.43 | 2.00 | 0.421 | 0.06 |
| 15 | 1.30 | 0.17 | 1.19 | 0.30 | 2.10 | 0.017 | 0.92 |
| 16 | 1.35 | 0.04 | 0.25 | 0.50 | 2.82 | 0.303 | 0.18 |
| 17 | 1.97 | 0.10 | 0.67 | 0.77 | 2.86 | 0.027 | 0.34 |
| 18 | 1.82 | 0.04 | 0.26 | 1.04 | 2.22 | 0.261 | 0.14 |
Results regression analyses higher-level creative autonomy support musical and non-verbal.
Results individual teachers and group comparing baseline and post-measurement. CI’s for lesson means. Higher-level CASM was recoded into values 1–4. aTeacher 6: results for baseline and intervention only, because of missing post-measurement. bDue to COVID-19 late post-measurement for teachers 10 and 12 and post-measurement missing one lesson for teacher 11.
Table 6B
| Slope | 95% CI | p | Mean | Increase | p | Effect size | ||
|---|---|---|---|---|---|---|---|---|
| LL | HL | |||||||
| Higher-level CASM | ||||||||
| Exp. gr. | 0.08 | 0.05 | 0.11 | 0.41 | 1.92 | 0.59 | 0.53 | 0.31 |
| Contr. gr. | 0.07 | 0.02 | 0.13 | 0.65 | 1.54 | 0.52 | 0.38 | 0.34 |
| Difference | 0.01 | 0.38 | 0.07 | 0.83 | 0.03 | |||
Group results regression analysis higher-level creative autonomy support musical and non-verbal.
Results comparing baseline and post-measurement.
To summarize, 5 intervention teachers (n = 11) achieved an at least substantial increase. For the control condition this was 2 teachers (n = 6). At group level no difference existed between both conditions. Therefore, H0 of no meaningful effect of the intervention for offering Higher-level CASM must be accepted for the majority (6) of the intervention group.
Figure 8 shows the extent of difference in development of higher-level CASM for a positive and a suboptimal trajectory.
Figure 8

Moving Maximum and Average CASM non-optimal trajectory 5 and optimal trajectory 4Note. Smoothed timeseries over 8 lessons (600 coded seconds per lesson. Total length of the timeseries: 4800 seconds). The intervention starts after lesson 2 (1200 seconds) and ends after lesson 6 ((3600 seconds). MM = Moving Max. MA = Moving Average. Because of the decreasing length of the moving window towards the end of the timeseries inherent to this technique, the graphs do not display the last 10% of the last lesson.
Teacher trajectory 5 showed a negligible increase in higher-level CASM (slope: 0.02; effect size: 0.06) and, in this respect, represents a suboptimal pathway. This trajectory shows a slightly rising, but eventually attenuating trend for the MM with a peak in lesson 4, suggesting a modest delayed initiation effect, and a smaller increase during post-measurement, followed by a decrease. Apart from the peak in lesson 4, this trajectory does not show much widening and narrowing in the MA-MM bandwidth.
Teacher trajectory 4 (slope: 0.18; effect size: 0.64) represents a positive pathway, showing an initiation effect, multiple increases throughout the intervention and an upward trend for the MM. During post-measurement, the MM shows degeneration whilst remaining above pre-measurement levels. Differences in the MM-MA bandwidth appear during the intervention but because of the degeneration during post-measurement, no stabilization of offering Higher-level CASM seems to occur.
The results for the MM show that the difference in linear increase for higher-level CASM, between the positive and suboptimal trajectory is partly due to a lower level at pre-measurement for trajectory 5. Trajectory 4 shows more variability, suggesting more exploration, whilst for trajectory 5 there may be less space for further growth.
3.2.3. Research question 2.3
For answering question 2.3 about the nature of change for teacher CASM, the confidence intervals (CI’s) per lesson were calculated (see Figure 9). The observed effects will be discussed in view of the micro-, meso-, and macro-timescales of change.
Figure 9

Confidence intervals teachers 1–12 (experimental group) and 13–18 (control group) for CASV and CASM over 8 lessons. Lesson numbers are next to CI’s. The rectangle depicts the baseline range (confidence intervals lessons 1 and 2). Note that for teacher 6 lesson 7 and 8, and for teacher 11 lesson 8 is missing.
3.2.3.1. Experimental condition
Macro-timescale: It can be noticed that (a) for four intervention teachers the post-measurement CI’s entirely exceed the baseline CI (2, 3, 5, and 8); (b) for three teachers the intervention CI’s (teacher 6) and post-measurement CI’s exceed the baseline CI (2, 8) or except one lesson (12).
Non-linear development throughout the trajectory is manifested in (c) chaotic fluctuation showing gaps back-and-forth between CI’s (7); (d) slowing down in an upward trend (2, 8, 10 and 12).
Meso-timescale: Non-linear change between measurement-stages occurs in the form of (e) an initiation effect (2, 3, 6); (f) trend reversal, across lessons or stages (4, 5, 10, 11, 12), a final growth spurt (5) or degeneration during post-measurement (2, 4, 10, 11 and 12). Within-stage fluctuation was observed in g) a delayed initiation effect (10); (h) relapse after (delayed) initiation effects (3, 10); i) one-lesson relapse in upward trend (2, 8, 10, 11).
Micro-timescale: it stands out that (j) lesson CI’s for CASM are larger compared to the CI’s for CASV, which may indicate more within-lesson fluctuation for CASM. Also, the baseline CI’s (rectangles) are significantly wider, compared to CASV, suggesting more between-lesson fluctuation during baseline.
3.2.3.2. Control condition
Macro-timescale: For the control teachers (n = 6), Figure 9 shows that (a) the post-measurement CI’s of five teachers remain within or below (14, 16) or partly remain (15, 17, 18) within baseline CI; (b) the post-measurement CI’s of teacher 13 exceeds the baseline CI; c) no distinct linear trends throughout the trajectory are shown.
Meso-timescale: (d) During baseline, lesson CI’s fall within the same range (13, 15, 18), indicating absence of change, or differ (14, 16, 17). However, with only two lessons, this cannot be meaningfully labeled as linear or non-linear. During post-measurement non-linear change is manifested in e) reversal of leaps up (13, 17) or down (14) between pre- and post-measurement.
Micro-timescale: Although less than for intervention teachers, f) for control teachers (except 13, 18) lesson and baseline CI’s for CASM are larger compared to CASV, suggesting more variability.
With post-measurement CI’s remaining within or close to the, rather large, baseline CI’s for five teachers, the observed fluctuations for control teachers indicate natural variability, and support rejection of H0 for hypothesis 2.1 of no effect of the intervention for CASM.
To conclude, 8 intervention teachers showed an effect for both CASV and CASM, and 2 teachers did so for CASV but not for CASM (n = 11). At group-level for both variables an effect was observed compared to the control group. For the control condition 3 teachers showed an effect only for CASV and 1 for CASM. Following our decision rules, H0 was rejected for hypothesis 1.1 and 2.1.
For higher-level CASV 6 intervention teachers showed an effect, as well as at group-level compared to the control condition. Two control teachers showed an effect. For higher-level CASM 5 teachers showed an effect, but the majority did not, which was confirmed at group-level, compared to the control group. Two control teachers showed an effect for higher-level CASM. Following our decision rules, H0 was rejected for hypothesis 2.1 but accepted for the majority of the intervention teachers for hypothesis 2.2.
For research question 3 about the nature of change throughout the intervention for CASV and CASM, it was found that change was predominantly non-linear. An inventory of the observed non-linear transformation for individual teachers was made by distinguishing between change on the micro-, meso-, and macro-timescale of development.
4. Discussion
This study aimed to examine the effects of an intervention with Video Feedback Coaching for teachers on teachers’ autonomy support in primary school music lessons, from a CDS-Enactive process-based perspective, at both the individual and group-level. In addition to investigating the magnitude of the effect, the aim was to gain insight into the nature of individual teachers’ developmental trajectories throughout the eight lessons of the intervention study.
Hypothesis 1.1 of an increase in teachers’ Verbal Autonomy Support in music lessons was confirmed. For nearly all individual trajectories in the intervention condition an increase was achieved, ranging from moderate to highly meaningful whilst in the control condition only half of the teachers achieved a moderate or substantial increase. At group-level a significant positive difference for the intervention group was found too. In line with previous research (Wetzels, 2015; Van Vondel et al., 2017; Cheon et al., 2018, 2020; Reeve and Cheon, 2021), it can be concluded that teachers are able to offer more autonomy support, adopting a more open interaction strategy.
The findings for teachers’ Higher-level CASV matched hypothesis 1.2 of an increase for intervention teachers. More than half of the participants, and only one teacher in the control condition, achieved an at least substantial effect. At group-level a highly meaningful difference existed, suggesting that the effects for CASV, overall, are particularly due to offering higher-level CASV. By comparing a more optimal and a suboptimal intervention trajectory with Moving Max graphs to explore how higher-level CASV develops in individual cases, we found that both trajectories showed peaks and widening of the MM-MA bandwidth. Such variability may be an indicator of imminent growth and transition (Van Geert and Van Dijk, 2002). However only the optimal trajectory achieved a plateau, indicating a sustained gain. For the suboptimal trajectory the absence of growth appeared to be partly due to its initial level for higher-level CASV.
For the explorative research question 1.3 about the nature of change in teachers’ CASV during the intervention and for the control condition, on the macro-timescale, the general trend for the majority of the intervention teachers confirmed hypothesis 1.1, in that the CI’s for the intervention and post-measurement exceeded the baseline CI. Except for one teacher, the CI’s for the control group (partly) overlapped the baseline CI.
Regarding the nature of change, a linear trend was observed for only one intervention teacher. Non-linear change included non-overlap of CI’s as an indication for discontinuity, variation in width of CI’s and return to baseline CI’s. Discontinuous fluctuation could be observed on the macro-timescale throughout trajectories, and on the micro- and meso-timescales. On the micro-level, the intervention teachers showed larger CI’s in the intervention compared to baseline measurement. Such variation can be due to measurement uncertainty, but, from the perspective of CDS, it can also encompass important information about the change process (Van Geert and Van Dijk, 2002). It can be part of the intrinsically natural dynamics in educational processes (Koopmans, 2015) and/or indicate sensitivity to the environment (Van Dijk and Van Geert, 2007), in the current study also through interventional press. In contrast, the control teachers showed mainly rather tight CI’s, which, except for one teacher, remained largely within the baseline interval. Such low variability on multiple timescales can be an indication for an attractor (Van Geert, 1994, p. 32), i.e., fixed routines. Meso-level non-linear change was observed in the form of gaps between baseline and intervention CI’s, such as initiation effects, and across lessons, like delayed initiation effects, trend reversal, relapses (within a trend) and slowing down of upward trends. Between the intervention and post-measurement (increases in) distance between CI’s indicated final growth spurts or degeneration. The large variety in indicators of non-linear change observed in individual change processes underpin the observation, mentioned in the introduction, that intervention trajectories are highly idiosyncratic (Steenbeek and Van Geert, 2015) as is development in the musical domain (Bisschop Boele, 2015).
For teachers’ CASM, hypothesis 2.1 of an expected increase was accepted. The proportion of intervention teachers achieving an at least substantial effect outweighed the percentage of teachers in the control condition. This finding was confirmed at group-level.
Hypothesis 2.2 wasn’t confirmed, in that an increase in higher-level CASM wasn’t achieved in the intervention, for the majority, but not all, of the teachers, as well as at group-level. These inter-individual differences in effectiveness for higher-level CASM emphasize the principle that ergodicity hardly ever applies to complex processes such as teacher-student interaction. Ergodicity implies that aggregated group-level properties concur with the statistical properties for individual processes. However, nearly all concrete processes are non-ergodic and aggregated findings provide an invalid representation of the mechanism(s) of effectiveness in individual change processes. Therefore, they aren’t the designated markers of effectiveness for interventions. Ergodicity cannot be taken for granted in educational data and underlines the importance of time-serial approaches with considerable measurement occasions for individual cases (Koopmans, 2015) as followed in this study.
The results for the Moving Max suggested that the degree of meaningfulness of the achieved (absence of) effect in individual cases can be partly due to the initial level, which left less potential for growth for the suboptimal trajectory. The more optimal trajectory also revealed more fluctuation of the MM, suggesting perturbation of routines in offering higher-level CASM during the intervention.
For the explorative question 2.3 regarding the nature of development for CASM, the hypothesis 2.1 was confirmed, in that the CI’s for the intervention and post-measurement exceeded the baseline CI. Except for 2 teachers, the CI’s for the control group did not exceed the baseline CI much.
Non-linear change for CASM was observed on the micro-timescale in considerably larger CI’s compared to CASV, suggesting more within-lesson fluctuation, for both the intervention and control group. A possible explanation is that their starting point for CASM was similar, with little experience in music teaching, triggering considerably greater fluctuations for the musical and non-verbal aspects of offering AS, given that quite some teachers did not regularly teach music. Throughout the intervention, the lesson CI’s for CASM became wider for the intervention teachers, suggesting exploration-based variability. In terms of non-linear change, heightened variability can be considered an indicator of transition and self-organization into new patterns (Van Geert and Van Dijk, 2002). However, despite the positive trends for most teachers, in terms of the fluctuation between CI’s, no clear signs of stabilized patterns for CASM were observed for the majority of them. On the meso- and macro-timescale for CASM, compared to CASV, overall the same factors were found in terms of (non-)overlap and/or sudden shifts in lesson CI’s, ranging from growth peaks to trend-reversal and degeneration. However, these factors were differently distributed across the teachers, suggesting that individual teachers benefited differently from this intervention, and in varying degrees for the variables CASV and CASM.
The findings for both research question 1.3 and 2.3, and the effects found for CASV and CASM (hypothesis 1.1. and 2.1) provide converging evidence that the perturbation of existing behavior, instigated by the intervention, was effective for both CASV and CASM. For CASV over 90% of the teachers achieved significant growth and this trend was observed at group-level too, suggesting near-ergodicity of the interventional process for CASV. However, for CASM, and especially higher-level CASM more inter-individual differences existed, underscoring the non-ergodicity of these developmental processes. For hypothesis 1.2 about higher-level CASV a substantial effect was achieved. Although not to the same extent as in the intervention, in the control condition several teachers showed a significant increase for CASV and CASM too. This implies that this ability, up to a certain level, can also grow naturally, i.e., self-organize just by teaching music. However, the effects found for the teachers in the intervention condition illustrate that development often benefits from, and even needs challenge to come about (MacNamarra et al., 2016, p. 339). Interventions, such as in the present study with VFCt, provide the ‘artificial’ generation of challenge in balanced proportions, and combined with ‘confidence- and skill-building feedback, facilitate optimizing development’ (MacNamarra et al., 2016, p. 350).
4.1. Integration into current understanding
Although music teaching practices traditionally tend not to be very autonomy-supportive (Evans, 2015), the present study shows that autonomy support can be learned. In this intervention study teachers learned to support students’ autonomy in addition to offering structure. Although structure and autonomy support may seem incompatible, combining them in a synergetic way acknowledges the principles of scaffolding and confirms recent empirical research (Cheon et al., 2020) that structure can very well be offered in an autonomy-supportive way.
In the present study teachers’ autonomy support was investigated in the context of stimulation of musical creativity. Building on Stefanou et al. (2004), who distinguished between organizational, procedural and cognitive autonomy support, a new dimension to offering autonomy support was added, aimed at eliciting creative student thought and action in the musical domain, introducing the notions of creative verbal autonomy support (CASV) and creative musical and non-verbal autonomy support (CASM).
Simones (2019) attributes a crucial role to teachers’ non-verbal and musical behavior and proposed the “Teacher Behavior and Gesture (TBG) framework” which emerged from studying interactions during piano lessons via video recordings, and integrates theoretical frameworks from various disciplines. Within a corresponding framework, in the present study an empirical effort was done to capture the bodily dimension in the gesturing, movement, facial expression and musical action of 12 primary school teachers’ autonomy support (CASM). The study yielded new insights by addressing both aspects of AS, applying a process-based time-serial methodology. It was demonstrated that most teachers developed their competency in both CASV and CASM, suggesting that offering autonomy support in speech, gesturing, movement, facial expression and musical action during music teaching co-exist as a coupled system. Correspondingly, in earlier educational research, gesture-speech synchronization was found in (dyads of) children, especially during complex tasks (De Jonge-Hoekstra et al., 2021). From an enactive perspective such (interpersonal) synchronization of speech and embodiment operating in autonomy support in music lessons can be expected to influence flourishing in students with and without special needs. Because of the large differences between vulnerable students (autism spectrum disorder, visual impairment, learning or mobility disabilities etc), environmental responsiveness is key to autonomy development (Shogren et al., 2018), also implicating the importance of sensitivity to context. A common denominator is that this group tends to experience interaction problems corresponding to their particular condition. They often have to accommodate to speech as the dominant mode of interaction. However, teachers should adapt to the diversities in needs and embrace the embodied modalities in interaction more (Macrine and Fugate, 2022). Based on the present findings, providing autonomy support including its embodied dimension is trainable. Extending this competency with teacher responsiveness and scaffolding according to students’ particular (special) needs, seems key when it comes to flourishing of all students in music learning, in particular for students with special needs for whom too much reliance on verbal communication poses problems.
For higher-level CASM, most intervention teachers did not show development. A possible explanation is that teachers are more used to verbal interaction and that, given the low self-efficacy for music teaching in primary schools (e.g., Viig, 2015; Burak, 2019), it takes more time to successfully integrate the competency of offering higher-level CASM in teachers’ music-pedagogical repertoire, i.e., to build Mastery experience (Bandura, 1997). Also, this intervention targeted the synchronized performance of higher-level CASV and CASM as separate variables from CASV and CASM. Smoothing applications such as a Moving Maximum and LOESS techniques, and plotting CI’s enabled following teachers’ optimal levels of autonomy support throughout their trajectories and identifying variability on multiple timescales. High synchrony in optimal performance of related skills typically emerges in optimal environmental conditions and tends to disintegrate in humans’ usual functioning (Fischer, 1980). Consequently, because stimulating multiple skills simultaneously is complicated, development of skills tends to be uneven. This may partly explain the non-linear phenomena observed in individual trajectories such as relapse, degeneration during post-measurement and lagging performance, particularly for higher-level CASM.
This intervention study followed a process approach focusing on individual cases. A concern speaking in favor of a process-based approach is the replication problem, which most often pertains to non-corresponding results in repeated studies (e.g., Earp and Trafimow, 2015). Because of intra- and interindividual variability and context-dependance, replication is often problematic. Generalization in replication studies often relies on aggregated measures to make (questionable) claims about individuals qua members of specific populations, e.g., vulnerable students. Instead, replicating process-based studies should focus on (1) replicating the study design; (2) finding characteristics and patterns in multiple cases, and (3) accumulation of findings over time (Van Geert and De Ruiter, 2022). Thus, as they state “generalization is not a fact, but a process” and “can be expected to emerge from a long-term process of accumulating, reflecting upon, and theorizing about concrete and situated findings.”
Another concern is the (blind) reliance on and/or misinterpretation of p-values in significance testing to identify intervention effects (Ioannidis, 2005). For the present study the overall converging findings for the regression analyses, the Moving Max technique focusing on higher-level autonomy support, the confidence intervals, as well as the agreement, at least for CASV, with previous intervention studies into autonomy support, contribute to the plausibility of causal effects for this intervention.
4.2. Limitations
The scope of this intervention study was limited to teachers in regular primary education and based on an emergent and dynamic view on development of musical creativity in all children. This emergent view is also expressed in research with children in special needs education, which showed that these students can perform on the same level as regular students when guided by an adult using appropriate need-supportive scaffolding techniques (Van der Steen et al., 2012).
All participating teachers in the study were female, partly due to interruption of the data-collection during COVID-19. However, there is hardly any evidence of a gender effect for female teachers on children’s achievement in empirical studies (Sabbe and Aelterman, 2007). Moreover, in Netherlands where this study was carried out, 86% of the primary school teachers is female (De Zeeuw et al., 2014).
Autonomy and autonomy support are believed to be particularly valued in Western environments, as opposed to more communal societies, but support for the beneficial role of autonomy support across cultures is emerging (Lynch et al., 2009). Although culture may influence a teacher’s baseline motivating style, intervention studies targeting autonomy-supportive teaching show time and again that culture impacts intervention effects only weakly (Reeve and Cheon, 2021).
During baseline, teachers were asked to teach music as usual. In the intervention, teachers were introduced to the principles of development of musical creativity and offering autonomy support, and were asked to focus on creative musical tasks. Perhaps such tasks afford teachers more space to offer AS, compared to more regular music tasks such as singing. This difference could pose a threat to internal validity. However, during baseline lessons some teachers taught creative tasks too, and in a related earlier baseline study (Hendriks et al., 2022), control for this factor took place.
4.3. Future research
This research could be extended to intervention studies with students in special needs education. The use of Video Feedback Coaching could shed more light on autonomy-supportive teaching and the role of the teacher’s body in the moment-to-moment interaction in music lessons with this diverse group of students.
Teachers usually do not maintain high levels of performance throughout their lessons (e.g., Geveke et al., 2020). When students encounter problems with complex tasks, teachers often decrease autonomy support. A responsive way to bridge student performance to higher levels in (music) teaching is scaffolding, both in terms of motivation and content (Granott, 2005; Van Geert and Steenbeek, 2005; Steenbeek et al., 2012; Kupers, 2014, Van de Pol et al., 2010, 2019). Need support and scaffolding are key factors for overcoming inhibitors of musical creativity and flourishing in vulnerable children and communities (Hill, 2018). Given that vulnerable students often lack opportunities to develop autonomy (Shogren et al., 2018) and the large variety in vulnerabilities, more research is required. Future research should target studying how teachers adapt their autonomy support to (scaffold) students’ performance, and vice-versa, in moment-to-moment interactions in music lessons, in both regular and special needs education. One way to do this is by applying principal component analysis of the time series of teacher-student interaction (Geveke et al., 2020). By capturing the bi-directional aspects in teacher-student interaction in individual cases and by comparing more optimal and suboptimal trajectories, interventional research can help teachers to change existing self-sustaining transactional patterns of scaffolding (Steenbeek et al., 2012).
This study focused on examining the effects of the intervention on teachers’ CASV and CASM separately. However, this inherently implicates the question of their relation, particularly the temporal relation between the two. Do these variables have a positive relation and to what extent do they complement each other? In addition to calculation of classical correlations, analysis of this relation on the micro-timescale can contribute to the pedagogical and didactical insights into offering Creative Autonomy Support in the musical domain, for instance by performing State Space Grid analysis (Hollenstein, 2013). State space grids consist of two dimensions and allow visualizing and examining teacher-student interaction as a coupled variable This technique is especially suitable for analyzing patterns. It could also visualize the interplay between autonomy support and musical creativity or portray CASV and CASM as coupled variables. In recent research into primary physical education autonomy-supportive teaching enhanced students‘engagement, eventually triggering elicitation of teacher-provided autonomy support by students themselves (Reeve et al., 2020). State space grids affords visualization of such iterative effects.
In line with Thelen and Smith (1994) premise to treat variability as data, future research into teachers’ autonomy support could focus on the fluctuations identified throughout interventions as a variable in itself. Investigating the variability in students’ musical creativity can provide more insight into how change is generated as a result of a distributed/situated process (Van Dijk and Van Geert, 2007).
Future research could include studying primary school teachers’ self-efficacy and attitudes toward music teaching and/or evaluation of the intervention, through periodical self-report of feelings of self-efficacy throughout the intervention, and/or by conducting interviews with a random selection of teachers.
4.4. Implications
Considering the relation between autonomy support and (musical) creativity (Koestner et al., 1984; Amabile and Hennessey, 1992; Granott, 2005; Hennessey, 2019; Hendriks et al., 2022; Kupers and Hendriks, 2022), and given the findings of the present study that autonomy support can be learnt, an important practical implication is the recommendation to offer students creative verbal and non-verbal autonomy support in music lessons for (pre-service) primary teachers, and to pay attention to this in teacher training. Training the competence to flexibly apply autonomy-supportive strategies, including higher-level autonomy support when appropriate, is highly recommended as many teachers in this study initially felt insecure about how to provide such support in music lessons. Alongside verbal autonomy support, embracing the (unused) potential of the bodily dimension as an integral part of autonomy support is essential for (special needs) students’ musical creativity to emerge, in primary music education and in teacher training. Instead of going into control mode, by using verbal instructions and modeling, teachers can engage students in creative musical processes in which thought and action provoking questions, turn-giving and ample space for exploration, curious observation, gesturing and body movement, and scaffolding according to students’ needs, are coupled.
Consistent with other studies (Wetzels, 2015; Van Vondel et al., 2017), given the idiosyncratic nature of professionalization trajectories, this study highlights the necessity to tailor coaching to teachers’ developmental processes. Considering the mixed results during post-measurement, with signs of stabilization for some teacher trajectories and degeneration for others, especially for CASM, the present study raises the issue of how to consolidate growth achieved in interventions. To facilitate stabilization of novel autonomy-supportive patterns, the VFCt-program could be extended or include a follow-up after several months with refresher sessions. Another recommendation could be to integrate peer intervision (Thurlings et al., 2009), or a tandem approach with pairs of teachers observing lessons/recordings and discussing their interaction, to consolidate improved autonomy-supportive behaviors.
It is recommended that the implementation of VFCt, as well as the specified related arrangements, are supported at school level, in order to facilitate sustainable development of autonomy-supportive teaching for creativity and flourishing of all students in primary music education.
Funding
This study was funded by the Hanze University of Applied Sciences, Groningen and University of Groningen as part of a regular tenure at Hanze University of Applied Sciences.
Publisher’s note
All claims expressed in this article are solely those of the authors and do not necessarily represent those of their affiliated organizations, or those of the publisher, the editors and the reviewers. Any product that may be evaluated in this article, or claim that may be made by its manufacturer, is not guaranteed or endorsed by the publisher.
Statements
Data availability statement
The video datasets presented in this article are not readily available because of participant privacy. Coded datasets supporting the conclusions of this article will be made available by the authors, without undue reservation.
Ethics statement
The studies involving human participants were reviewed and approved by Ethical Committee of Psychology of the University of Groningen. Written informed consent to participate in this study was provided by the participants’ legal guardian/next of kin.
Author contributions
LH: conceptualizing ideas, conducting the research process, design CASV and CASM coding systems, coding of video data, developing and designing methodology, interpretation of analyses, design figures and tables, and draft of manuscript. HS: conceptualized ideas, feedback on design coding systems, interpretation of analyses, editing of manuscript, and general advice on research procedure and writing. EB: conceptualizing ideas, feedback on design coding systems and interpretation of analyses, general advice on research procedure and writing, and editing of manuscript. PG: conceptualizing ideas, developing and designing methodology, interpretation of analyses, general advice on research procedure and writing, and editing of manuscript. All authors contributed to the article and approved the submitted version.
Acknowledgments
We acknowledge the assistance of Luan Herders, Alexandra van Gunzel, and Rik Visser in coding the data.
Conflict of interest
The authors declare that the research was conducted in the absence of any commercial or financial relationships that could be construed as a potential conflict of interest.
Supplementary material
The Supplementary material for this article can be found online at: https://www.frontiersin.org/articles/10.3389/feduc.2022.1102011/full#supplementary-material
References
1
Alibali M. W. Young A. G. Crooks N. M. Yeo A. Wolfgram M. S. Ledesma I. M. et al . (2013). Students learn more when their teacher has learned to gesture effectively. Gesture13, 210–233. doi: 10.1075/gest.13.2.05ali
2
Amabile T. M. Hennessey B. A. (1992). “The motivation for creativity in children” in Achievement and motivation: A social-developmental perspective. eds. BoggianoA. K.PittmanT. S. (New York: Cambridge University Press), 54–74.
3
Ames C. (1992). Classrooms: goals, structures, and student motivation. J. Educ. Psychol.84, 261–271. doi: 10.1037/0022-0663.84.3.261
4
Bakeman R. Gottman J. M. (1997). Observing interaction: An introduction to sequential analysis, Cambridge, UK: Cambridge university press doi: 10.1017/CBO9780511527685.
5
Baldwin L. (2018). “Internal and external validity and threats to validity” in Research concepts for the practitioner of educational leadership ed L. Baldwin (Leiden, The Netherlands: Brill), 31–36. doi: 10.1163/9789004365155_007
6
Bandura A. (1997). Self-efficacy: The exercise of control. New York: W.H. Freeman.
7
Bandura A. (2006). Toward a psychology of human agency. Perspect. Psychol. Sci.1, 164–180. doi: 10.1111/j.1745-6916.2006.00011.x
8
Barbot B. Webster P. R. (2018). “Creative thinking in music” in The creative process. Perspectives from multiple domains. ed. LubartT. (London: Palgrave McMillan), 255–274. doi: 10.1057/978-1-137-50563-7_10
9
Beghetto R. (2019). “Creativity in classrooms” in The Cambridge handbook of creativity. eds. KaufmanJ.SternbergR. (Cambridge: Cambridge University Press), 587–606. doi: 10.1017/9781316979839.029
10
Bisschop Boele E. B. (2013). From institutionalized musicality to idiosyncratic musickership: calling a paradigm into question. in VugtA.DeMalmbergI. (Eds.), European perspectives on music education, 47–61. Innsbruck: Helbling.
11
Bisschop Boele E. (2015). “Towards idiocultural music education: an alternative vision for Dutch music education in the 21st century” in Künstlerinnen und Künstler im Dazwischen: Forschungsansätze zur Vermittlung in der Kulturellen Bildung. eds. EgerN.KlingeA. (Bochum: Projektverlag), 85–94.
12
Bonneville-Roussy A. Hruska E. Trower H. (2020). Teaching music to support students: how autonomy-supportive music teachers increase students’ well-being. J. Res. Music. Educ.68, 97–119. doi: 10.1177/0022429419897611
13
Bos J. Boels S. E. Steenbeek H. W. (2017). Mediacoder 2009: A simple application for coding behaviour within media files [Dutch manual]. Groningen: University of Groningen.
14
Bremmer M. Nijs L. (2020). The role of the body in instrumental and vocal music pedagogy: a dynamical systems theory perspective on the music teacher's bodily engagement in teaching and learning. Front. Educ.5:79. doi: 10.3389/feduc.2020.00079
15
Bronfenbrenner U. Morris P. A. (2006). “The bioecological model of human development” in Handbook of child psychology: Theoretical models of human development. eds. LernerR. M.DamonW. (Hoboken, NJ: Wiley), 793–828.
16
Burak S. (2019). Self-efficacy of pre-school and primary school pre-service teachers in musical ability and music teaching. Int. J. Music. Educ.37, 257–271. doi: 10.1177/0255761419833083
17
Burke K. M. Raley S. K. Shogren K. A. Hagiwara M. Mumbardó-Adam C. Uyanik H. et al . (2018). A meta-analysis of interventions to promote self-determination for students with disabilities. Remedial Spec. Educ.41, 176–188. doi: 10.1177/0741932518802274
18
Burnard P. (2012a). Musical creatives in practice. Oxford: Oxford University Press. doi: 10.1093/acprof:oso/9780199583942.001.0001
19
Burnard P. (2012b). “Rethinking ‘musical creativity’ and the notion of multiple creativities in music” in Musical creativity: Insights from music education research. ed. OdenaO. (Surrey, UK: Ashgate), 27–50.
20
Burnard P. White J. (2008). Creativity and performativity: counterpoints in British and Australian education. Br. Educ. Res. J.34, 667–682. doi: 10.1080/01411920802224238
21
Campbell P. (2010). Songs in their heads: Music and its meaning in children's lives, New York: Oxford University Press.
22
Campbell D. T. Stanley J. C. (1963). “Experimental and quasi-experimental designs for research on teaching” in Handbook of research on teaching. ed. GageN. L. (Chicago: Rand McNally), 171–246.
23
Cheon S. H. Reeve J. Lee Y. Lee J.-w. (2018). Why autonomy-supportive interventions work: explaining the professional development of teachers’ motivating style. Teach. Teach. Educ.69, 43–51. doi: 10.1016/j.tate.2017.09.022
24
Cheon S. H. Reeve J. Vansteenkiste M. (2020). When teachers learn how to provide classroom structure in an autonomy-supportive way: benefits to teachers and their students. Teach. Teach. Educ.90:103004. doi: 10.1016/j.tate.2019.103004
25
Creech A. Varvarigou M. Hallam S. (2020). Emergent musical possible selves in primary school: Contexts for Music Learning and Participation. Palgrave Macmillan: Cham. doi: 10.1007/978-3-030-48262-6_3
26
Cremin T. (2009). Creativity in Primary Education? ed. A. Wilson (Exeter, UK, Learning Matters), 36–46.
27
De Jonge-Hoekstra L. Cox R. van der Steen S. Dixon J. A. (2021). Easier said than done? Task difficulty’s influence on temporal alignment, semantic similarity, and complexity matching between gestures and speech. Cogn. Sci.45:e12989. doi: 10.1111/cogs.12989
28
De Vries P. (2011). The first year of teaching in primary school: where is the place of music?Int. J. Educ. Arts12, 1–25. http://www.ijea.org/v12n2/v12n2.pdf
29
De Vries P. (2013). Generalist teachers' self-efficacy in primary school music teaching. Music. Educ. Res.15, 375–391. doi: 10.1080/14613808.2013.829427
30
de Vries P. A. (2015). Music without a music specialist: a primary school story. Int. J. Music. Educ.33, 210–221. doi: 10.1177/0255761413515818
31
De Zeeuw E. L. van Beijsterveldt C. E. M. Glasner T. J. Bartels M. de Geus E. J. C. Boomsma D. I. (2014). Do children perform and behave better at school when taught by same-gender teachers?Learn. Individ. Differ.36, 152–156. doi: 10.1016/j.lindif.2014.10.017
32
DeCharms R. (1972). Personal causation training in the schools. J. Appl. Soc. Psychol.2, 95–113. doi: 10.1111/j.1559-1816.1972.tb01266.x
33
Deci E. L. Ryan R. M. (1985). Intrinsic motivation and self-determination in human behavior. New York, NY: Plenum, doi: 10.1007/978-1-4899-2271-7
34
Deci E. L. Ryan R. M. (2000). The" what" and" why" of goal pursuits: human needs and the self-determination of behavior. Psychol. Inq.11, 227–268. doi: 10.1207/S15327965PLI1104_01
35
Di Paolo E. A. (2019). Process and individuation: the development of sensorimotor agency. Hum. Dev.63, 202–226. doi: 10.1159/000503827
36
Earp B. D. Trafimow D. (2015). Replication, falsification, and the crisis of confidence in social psychology. Front. Psychol.6:621. doi: 10.3389/fpsyg.2015.00621
37
Elliot D. J. (2009). Praxial music education: Reflections and dialoguesNew York: Oxford university press doi: 10.1093/acprof:oso/9780195385076.001.0001.
38
Evans P. (2015). Self-determination theory: an approach to motivation in music education. Music. Sci.19, 65–83. doi: 10.1177/1029864914568044
39
Fischer K. W. (1980). A theory of cognitive development: the control and construction of hierarchies of skills. Psychol. Rev.87, 477–531. doi: 10.1037/0033-295X.87.6.477
40
Fredrickson B. L. Losada M. F. (2005). Positive affect and the complex dynamics of human flourishing. Am. Psychol.60, 678–686. doi: 10.1037/0003-066X.60.7.678
41
Fukkink R. G. Trienekens N. Kramer L. J. (2011). Video feedback in education and training: putting learning in the picture. Educ. Psychol. Rev.23, 45–63. doi: 10.1007/s10648-010-9144-5
42
Garrett B. (2019). Confronting the challenge: the impact of whole-school primary music on generalist teachers’ motivation and engagement. Res. Stud. Music Educ.41, 219–235. doi: 10.1177/1321103X18814579
43
Geveke C. Steenbeek H. Doornenbal J. Van Geert P. L. (2020). How to measure expressed pedagogical content knowledge in real-time interaction?: an illustration from the field of out-of-school science activities. Int. J. Compl. Educ.1, 43–71.
44
Gibbs R. W. J. Van Orden G. C. (2003). Are emotional expressions intentional? A self-organizational approach. Conscious. Emot.4, 1–16. doi: 10.1075/ce.4.1.02gib
45
Goldin-Meadow S. (1999). The role of gesture in communication and thinking. Trends Cogn. Sci.3, 419–429. doi: 10.1016/S1364-6613(99)01397-2
46
Goldin-Meadow S. Wagner S. M. (2005). How our hands help us learn. Trends Cogn. Sci.9, 234–241. doi: 10.1016/j.tics.2005.03.006
47
Granott N. (2005). Scaffolding dynamically toward change: previous and new perspectives. New Ideas Psychol.23, 140–151. doi: 10.1016/j.newideapsych.2006.07.002
48
Green L. (2006). Popular music education in and for itself, and for ‘other’ music: current research in the classroom. Int. J. Music. Educ.24, 101–118. doi: 10.1177/2F0255761406065471
49
Haakma I. Janssen M. Minnaert A. (2017). The influence of need-supportive teacher behavior on the motivation of students with congenital deafblindness. J. Vis. Impair. Blind.111, 247–260. doi: 10.1177/0145482X1711100305
50
Hallam S. (2006). Music psychology in education. London, United Kingdom: Institute of Education, University of London.
51
Hamaker E. L. (2012). “Why researchers should think “within-person”: a paradigmatic rationale” in Handbook of research methods for studying daily life. eds. MehlM. R.ConnerT. S. (New York, NY: Guilford), 43–61.
52
Hendriks L. H. Bisschop Boele E. H. Steenbeek H. W. Van Geert P. L. (2022). “Exploring the relation between teacher autonomy support and children’s musical creativity: a complexity approach to studying interaction in primary school music lessons” in Manuscript in preparation. Faculty of Behavioural and Social Sciences (Oxford: University of Groningen)
53
Hennessey B. A. (2019). Motivation and creativity. in The Cambridge handbook of creativity, eds. J. C. Kaufman and R. J. Sternberg (Cambridge: Cambridge University Press). 374–395. doi: 10.1017/9781316979839.020
54
Hill J. (2018). Becoming creative: insights from musicians in a diverse world. Oxord University Press doi: 10.1093/oso/9780199365173.003.0005.
55
Hollenstein Tom . (2013). State space grids: Depicting dynamics across development. New York: Springer. doi: 10.1007/978-1-4614-5007-8
56
Hood G. M. PopTools version 3.2.5. (2010). Available at: http://www.poptools.org
57
Ioannidis J. P. (2005). Why most published research findings are false. PLoS Med.2:e124. doi: 10.1371/2Fjournal.pmed.0020124
58
Kelso J. S. (2012). Multistability and metastability: understanding dynamic coordination in the brain. Philos. Trans. R. Soc. B Biol. Sci.367, 906–918. doi: 10.1098/rstb.2011.0351
59
Koestner R. Ryan R. M. Bernieri F. Holt K. (1984). Setting limits on children's behavior: the differential effects of controlling vs. informational styles on intrinsic motivation and creativity. J. Pers.52, 233–248. doi: 10.1111/j.1467-6494.1984.tb00879.x
60
Koopmans M. (2015). When time makes a difference: addressing ergodicity and complexity in education. Complicity12, 5–25. doi: 10.29173/cmplct23335
61
Koopmans M. Stamovlasis D. (2016). “Introduction to education as a complex dynamical system” in Complex dynamical systems in education, eds. M. Koopmans and D. Stamovlasis (Cham: Springer), 1–7. doi: 10.1007/978-3-319-27577-2_1
62
Korthagen F. A. (2010). Situated learning theory and the pedagogy of teacher education: towards an integrative view of teacher behavior and teacher learning. Teach. Teach. Educ.26, 98–106. doi: 10.1016/j.tate.2009.05.001
63
Kunnen S. van Geert P. (2012). “General characteristics of a dynamic systems approach” in A dynamic systems approach to adolescent development. ed. KunnenE. S. (New York, NY: Psychology Press), 15–34. doi: 10.4324/9780203147641-10
64
Kupers W. E. (2014). Socially situated learning in individual music lessons. [doctoral dissertation, University of Groningen].
65
Kupers E. Hendriks L. (2022). “Autonomy” in The Palgrave encyclopedia of the possible. ed. GlăveanuV. P. (Cham: Palgrave Macmillan) doi: 10.1007/978-3-319-98390-5_265-1
66
Kupers E. van Dijk M. (2020). Creativity in interaction: the dynamics of teacher-student interactions during a musical composition task. Think. Skills Creat.36:100648. doi: 10.1016/j.tsc.2020.100648
67
Leman M. Maes P. J. Nijs L. Van Dyck E. (2018). “What is embodied music cognition?” in Springer handbook of systematic musicology. ed. BaderR. (Berlin, Heidelberg: Springer Handbooks. Springer), 747–760. doi: 10.1007/978-3-662-55004-5_34
68
Leontiev A. N. (1978). Activity, consciousness and personality. Englewood Cliffs, NJ: Prentice Hall.
69
Lynch M. F. La Guardia J. G. Ryan R. M. (2009). On being yourself in different cultures: ideal and actual self-concept, autonomy support, and well-being in China, Russia, and the United States. J. Posit. Psychol.4, 290–304. doi: 10.1080/17439760902933765
70
MacNamarra A. Collins D. Holmes P. (2016). Musical prodigies: Does talent need trauma?. in Musical prodigies: Interpretations from psychology, music education, musicology and ethnomusicology, ed G. E. McPherson (Oxford: Oxford University Press) doi: 10.1093/acprof:oso/9780199685851.003.0014
71
Macrine S. L. Fugate J. M. (2022). Embodied Cognition and Its Educational Significance. in Movement matters: How embodied cognition informs teaching and learning eds. S. L Macrine and J. M. B. Fugate (Cambridge: MIT Press). doi: 10.7551/mitpress/13593.001.0001.
72
McPherson G. E. Miksza P. Evans P. (2018). “Self-regulated learning in music practice and performance” in Handbook of self-regulation of learning and performance. eds. SchunkD. H.GreeneJ. A. (New York, NY: Routledge/Taylor & Francis Group), 181–193. doi: 10.4324/9781315697048-12
73
McPherson G. E. Williamon A. (2015). “Building gifts into musical talents” in The child as musician: A handbook of musical development. ed. McPhersonG. E. (Oxford, UK: Oxford Academic), 340–360. doi: 10.1093/acprof:oso/9780198744443.003.0018
74
Meindertsma H. B. van Dijk M. W. Steenbeek H. W. van Geert P. L. (2014). Assessment of preschooler’s scientific reasoning in adult–child interactions: what is the optimal context?Res. Sci. Educ.44, 215–237. doi: 10.1007/s11165-013-9380-z
75
Molenaar P. C. Campbell C. G. (2009). The new person-specific paradigm in psychology. Curr. Dir. Psychol. Sci.18, 112–117. doi: 10.1111/j.1467-8721.2009.0161
76
Noë A. (2004). Action in perception, Cambridge, MA: MIT Press.
77
Novack M. Goldin-Meadow S. (2015). Learning from gesture: how our hands change our minds. Educ. Psychol. Rev.27, 405–412. doi: 10.1007/s10648-015-9325-3
78
Oliveira A. W. (2010). Improving teacher questioning in science inquiry discussions through professional development. J. Res. Sci. Teach.47, 422–453. doi: 10.1002/tea.20345
79
Pennings H. J. Mainhard T. (2016). “Analyzing teacher–student interactions with state space grids” in Complex dynamical systems in education eds. M. Koopmans and D. Stamovlasis (Cham: Springer), 233–271. doi: 10.1007/978-3-319-27577-2_12
80
Reeve J. Cheon S. H. (2021). Autonomy-supportive teaching: its malleability, benefits, and potential to improve educational practice. Educ. Psychol.56, 54–77. doi: 10.1080/00461520.2020.1862657
81
Reeve J. Cheon S. H. Yu T. H. (2020). An autonomy-supportive intervention to develop students’ resilience by boosting agentic engagement. Int. J. Behav. Dev.44, 325–338. doi: 10.1177/0165025420911103
82
Renwick J. M. Reeve J. (2012). “Supporting motivation in music education” in The Oxford handbook of music education. eds. McPhersonG. E.WelchG. F., vol. 1 (New York: Oxford University Press)
83
Ryan R. M. Deci E. L. (2000). Self-determination theory and the facilitation of intrinsic motivation, social development, and well-being. Am. Psychol.55, 68–78. doi: 10.1037/0003-066X.55.1.68
84
Sabbe E. Aelterman A. (2007). Gender in teaching: a literature review. Teachers Teach.13, 521–538. doi: 10.1080/13540600701561729
85
Schiavio A. Van der Schyff D. (2018). 4E music pedagogy and the principles of self-organization. Behav. Sci.8:72. doi: 10.3390/2Fbs8080072
86
Schiavio A. van der Schyff D. Cespedes-Guevara J. Reybrouck M. (2017). Enacting musical emotions. Sense-making, dynamic systems, and the embodied mind. Phenomenol. Cogn. Sci.16, 785–809. doi: 10.1007/s11097-016-9477-8
87
Schlomer G. L. Bauman S. Card N. A. (2010). Best practices for missing data management in counseling psychology. J. Couns. Psychol.57, 1–10. doi: 10.1037/a0018082
88
Seligman M. E. P. Ernst R. M. Gillham J. Reivich K. Linkins M. (2009). Positive education: positive psychology and classroom interventions. Oxf. Rev. Educ.35, 293–311. doi: 10.1080/03054980902934563
89
Shapiro L. Stolz S. A. (2019). Embodied cognition and its significance for education. Theory Res. Educ.17, 19–39. doi: 10.1177/1477878518822149
90
Shogren K. A. Shaw L. A. Raley S. K. Wehmeyer M. L. (2018). Exploring the effect of disability, race-ethnicity, and socioeconomic status on scores on the self-determination inventory: student report. Except. Child.85, 10–27. doi: 10.1177/0014402918782150
91
Shogren K. A. Wehmeyer M. L. Palmer S. B. Forber-Pratt A. J. Little T. J. Lopez S. (2015). Causal agency theory: Reconceptualizing a functional model of self-determination. Educ. Train. Autism Dev. Disab., 50, 251–263.
92
Siegle D. DaVia Rubenstein L. McCoach D. B. (2020). Do you know what I'm thinking? A comparison of teacher and parent perspectives of underachieving gifted students' attitudes. Psychol. Sch.57, 1596–1614. doi: 10.1002/pits.22345
93
Silverman M. (2020). Sense-making, meaningfulness, and instrumental music education. Front. Psychol.11:837. doi: 10.3389/fpsyg.2020.00837
94
Silvey B. A. (2013). The role of conductor facial expression in students’ evaluation of ensemble expressivity. J. Res. Music. Educ.60, 419–429. doi: 10.1177/0022429412462580
95
Simones L. (2019). Understanding the meaningfulness of vocal and instrumental music teachers' hand gestures through the teacher behavior and gesture framework. Front. Educ.4:141. doi: 10.3389/feduc.2019.00141
96
Simonoff J. S. (1996). Smoothing methods in statistics. New York: Springer-Verlag, doi: 10.1007/978-1-4612-4026-6.
97
Skinner E. A. Belmont M. J. (1993). Motivation in the classroom: reciprocal effects of teacher behavior and student engagement across the school year. J. Educ. Psychol.85, 571–581. doi: 10.1037/0022-0663.85.4.571
98
SLO, Stichting Leerplan Ontwikkeling . (2019). Het creatieve proces, SLO. Available at: https://www.slo.nl/thema/vakspecifieke-thema/kunst-cultuur/leerplankader-kunstzinnige-orientatie/leerlijnen/informatie/creatieve-proces/
99
Steenbeek H. Jansen L. van Geert P. (2012). Scaffolding dynamics and the emergence of problematic learning trajectories. Learn. Individ. Differ.22, 64–75. doi: 10.1016/j.lindif.2011.11.014
100
Steenbeek H. van Geert P. (2013). The emergence of learning-teaching trajectories in education: a complex dynamic systems approach. Nonlinear Dynamics Psychol. Life Sci.17, 233–267. PMID:
101
Steenbeek H. W. van Geert P. L. (2015). A complexity approach toward mind–brain–education (MBE); challenges and opportunities in educational intervention and research. Mind Brain Educ.9, 81–86. doi: 10.1111/mbe.12075
102
Stefanou C. R. Perencevich K. C. DiCintio M. Turner J. C. (2004). Supporting autonomy in the classroom: ways teachers encourage student decision making and ownership. Educ. Psychol.39, 97–110. doi: 10.1207/s15326985ep3902_2
103
Stroet K. Opdenakker M. C. Minnaert A. (2015). What motivates early adolescents for school? A longitudinal analysis of associations between observed teaching and motivation. Contemp. Educ. Psychol.42, 129–140. doi: 10.1016/j.cedpsych.2015.06.002
104
Su Y. L. Reeve J. (2011). A meta-analysis of the effectiveness of intervention programs designed to support autonomy. Educ. Psychol. Rev.23, 159–188. doi: 10.1007/s10648-010-9142-7
105
Thelen E. Smith L. B. (1994). A dynamic systems approach to the development of cognition and actionCambridge, MA: The MIT Press.
106
Thurlings M. C. G. Kreijns K. Bastiaens T. J. Stijnen P. J. J. (2009). “Video intervision peer coaching in teacher professionalization: first online explorations” in Research highlights in information technology and teacher education 2009. ed. MadduxC. (Association for the Advancement of Computing in Education (Waynesville, NC USA AACE)), 319–327.
107
Todman J. B. Dugard P. (2001). Single-case and small-n experimental designs. A practical guide to randomization tests. Hove, United Kingdom: Lawrence Erlbaum Associates, doi: 10.4324/9781410600943.
108
Van de Pol J. Mercer N. Volman M. (2019). Scaffolding student understanding in small-group work: students’ uptake of teacher support in subsequent small-group interaction. J. Learn. Sci.28, 206–239. doi: 10.1080/10508406.2018.1522258
109
Van Essen M. Temorshuizen T. Van den Broek A. (2019). Monitor Cultuureducatie primair onderwijs 2018-2019. ResearchNed. https://fvcp.fra1.cdn.digitaloceanspaces.com/uploads/landelijke-monitor-cultuureducatie-2018-2019-def-5e5c2.pdf
110
Van de Pol J. Volman M. Beishuizen J. (2010). Scaffolding in teacher–student interaction: a decade of research. Educ. Psychol. Rev.22, 271–296. doi: 10.1007/s10648-010-9127-6
111
Van de Pol J. Volman M. Beishuizen J. (2012). Promoting teacher scaffolding in small-group work: a contingency perspective. Teach. Teach. Educ.28, 193–205. doi: 10.1016/j.tate.2011.09.009
112
Van de Sande J. P. (1984). Gedragsobservatie: Een inleiding tot systematisch observeren. Wolters-Noordhoff: Groningen.
113
Van den Heijkant C. Quak G. Van Swet J. Vloet K. De Vos M. Van der Wegen R. (2006). School video interactie begeleiding van meerdere kanten bekeken. [School video interaction guidance: Viewed from multiple angles]. Antwerpen/Apeldoorn: Garant.
114
Van der Maas H. L. Molenaar P. C. (1992). Stagewise cognitive development: an application of catastrophe theory. Psychol. Rev.99, 395–417. doi: 10.1037/0033-295X.99.3.395
115
Van der Schyff D. Schiavio A. Elliott D. J. (2016). Critical ontology for an enactive music pedagogy. Acti. Crit. Theory Mus. Educ.15, 81–121. doi: 10.22176/act15.5.81
116
Van Der Schyff D. Schiavio A. Walton A. Velardo V. Chemero A. (2018). Musical creativity and the embodied mind: exploring the possibilities of 4E cognition and dynamical systems theory. Mus. Sci.1:6792. doi: 10.1177/2059204318792
117
Van Der Steen S. Steenbeek H. Wielinski J. Van Geert P. (2012). A comparison between young students with and without special needs on their understanding of scientific concepts. Educ. Res. Int.2012, 1–12. doi: 10.1155/2012/260403
118
Van Dijk M. Van Geert P. (2007). Wobbles, humps and sudden jumps: a case study of continuity, discontinuity and variability in early language development. Inf. Child Dev.16, 7–33. doi: 10.1016/S0163-6383(02)00140-6
119
Van Geert P. (1988). De Sovjet-benadering van de ontwikkeling in Verhofstadt-DenèveL. (red.), Theorieën en modellen in de ontwikkelingspsychologie. Heerlen: Open Universiteit.
120
Van Geert P. (1994). Dynamic systems of development: Change between complexity and chaos. New York: Harvester Wheatsheaf.
121
Van Geert P. (2020). Paul’s functions [excel add-in for statistical analysis].
122
Van Geert P. de Ruiter N. (2022). Toward a process approach in psychology: stepping into Heraclitus' riverCambridge University Press doi: 10.1017/9781108859189.
123
Van Geert P. Steenbeek H. (2005). The dynamics of scaffolding. New ideas in Psychology, 23, 115–128. doi: 10.1016/j.newideapsych.2006.05.003.
124
Van Geert P. Van Dijk M. (2002). Focus on variability: new tools to study intra-individual variability in developmental data. Infant Behav. Dev.25, 340–374. doi: 10.1016/S0163-6383(02)00140-6
125
Van Vondel S. Steenbeek H. van Dijk M. van Geert P. (2017). Ask, don't tell; a complex dynamic systems approach to improving science education by focusing on the co-construction of scientific understanding. Teach. Teach. Educ.63, 243–253. doi: 10.1016/j.tate.2016.12.012
126
Vansteenkiste M. Simons J. Lens W. Soenens B. Matos L. (2005). Examining the motivational impact of intrinsic versus extrinsic goal framing and autonomy-supportive versus internally controlling communication style on early adolescents' academic achievement. Child Dev.76, 483–501. doi: 10.1111/j.1467-8624.2005.00858.x
127
Varela F. J. Thompson E. Rosch E. (1991). The embodied mind: cognitive science and human experience. MIT Press. doi: 10.7551/mitpress/6730.001.0001
128
Viig T. G. (2015). Composition in music education: a literature review of 10 years research articles published in music education journals. Nordic Res. Mus. Educ.16, 227–257. http://hdl.handle.net/11250/2425480
129
Webster P. R. (2016). Creative thinking in music, twenty-five years on. Music. Educ. J.102, 26–32. doi: 10.1177/00274321156238
130
Wehmeyer M. L. Shogren K. A. Zager D. Smith T. E. C. Simpson R. (2010). Research-based principles and practices for educating students with autism: self-determination and social interactions. Educ. Train. Auti. Dev. Disab.45, 475–486.
131
Wetzels A. (2015). Curious minds in the classroom: the influence of video feedback coaching for teachers in science and technology lessons. [doctoral dissertation, University of Groningen].
132
Wetzels A. Steenbeek H. Van Geert P. (2016). A complexity approach to investigating the effectiveness of an intervention for lower grade teachers on teaching science. Complicity13:22. doi: 10.29173/cmplct23022
Summary
Keywords
autonomy support, musical creativity, primary education, creative thinking, music education, teacher-student interaction, enaction embodiment, teaching intervention
Citation
Hendriks LH, Steenbeek HW, Bisschop Boele EH and van Geert PLC (2023) Promoting creative autonomy support in school music education: An intervention study targeting interaction. Front. Educ. 7:1102011. doi: 10.3389/feduc.2022.1102011
Received
18 November 2022
Accepted
28 December 2022
Published
03 February 2023
Volume
7 - 2022
Edited by
Luc Nijs, University of Luxembourg, Luxembourg
Reviewed by
Mark Reybrouck, KU Leuven, Belgium; Lilian Simones, The Open University, United Kingdom; Erkki Huovinen, Royal College of Music in Stockholm, Sweden
Updates
Copyright
© 2023 Hendriks, Steenbeek, Bisschop Boele and van Geert.
This is an open-access article distributed under the terms of the Creative Commons Attribution License (CC BY). The use, distribution or reproduction in other forums is permitted, provided the original author(s) and the copyright owner(s) are credited and that the original publication in this journal is cited, in accordance with accepted academic practice. No use, distribution or reproduction is permitted which does not comply with these terms.
*Correspondence: Linda H. Hendriks, ✉ l.h.hendriks@pl.hanze.nl
This article was submitted to Educational Psychology, a section of the journal Frontiers in Education
Disclaimer
All claims expressed in this article are solely those of the authors and do not necessarily represent those of their affiliated organizations, or those of the publisher, the editors and the reviewers. Any product that may be evaluated in this article or claim that may be made by its manufacturer is not guaranteed or endorsed by the publisher.