Abstract
Chinese government has proposed a national contribution plan that involves achieving the peak CO2 emissions by 2030 and carbon neutrality by 2060. To explore the pathway of achieving carbon neutrality, we tried to use resources taxes and land reclamation deposits as compulsory ecological compensation (CEC). In order to test if CEC can affect CO2 emissions, energy intensity was selected as the intermediate variable. We found that the CO2 emissions trend in China is consistent with environmental Kuznets curve hypothesis and proved that CEC displayed a spillover effect on energy intensity. Likely, energy intensity presented a spillover effect on CO2 emissions. Therefore, CEC will spatially affect CO2 emissions. The generalized spatial two-stage least-squares estimate model was used to identify the impact mechanism of coal production on energy intensity with CEC as the instrumental variable. The results indicated that reducing coal production in neighboring regions may cause the mitigation of local CO2 emissions. Finally, regression analyses carried out by region suggested regional cooperation should be carried out in the process of carbon mitigation.
Introduction
The Chinese government has proposed a national contribution plan achieving the peak CO2 emissions by 2030 (Malakoff, 2014) and carbon neutrality by 2060 (Cui et al., 2021). However, China contributed the most CO2 emissions in the world. Because the energy intensity (energy consumption per unit of GDP) is much higher in China than that for other countries (Li et al., 2015). Wang et al. (2019) attributed excessive energy consumption to the fact that energy prices did not include environmental costs. Energy price is the essential factor for carbon intensity and energy intensity and is the crux to CO2 emission mitigation (Lin and Liu, 2010). However, coal contributed 82.9% of CO2 emissions (Lin and Wu, 2018). Therefore, coal should be charged for its external costs to reduce energy intensity and CO2 emissions in China. Besides, coal mining is the main reason for the damaged land (He and Su, 2002). The damaged area caused by mining reached 47,661 hectares in 2017 (MLR, 2018). To test whether compensation for the damaged land caused by mining not only can reduce energy intensity but also can mitigate CO2 emissions is the original intention of this study.
According to the principle of who destroys who governs, the Chinese government imposed compensation fees including resource taxes according to the exploited resources and the security deposit paid for the remediation and restoration of the mine geological environment according to damaged areas caused by mining. For specific terms, refer to Article 5 of the Implementation Rules of the Mineral Resources Law of the People’s Republic of China1 and Article 18 of the Regulations on Mine Geological Environment Protection2. According to these, we set up an indicator called compulsory ecological compensation (CEC). Existing ecological compensation policies focus only on how to subsidize land reclamation, and resource taxes are not used to mitigate CO2 emissions. As China is setting more light on the development quality, economic development can no longer rely on energy consumption regardless of external costs. Economic development can no longer rely on energy consumption regardless of external costs. CEC can be considered as compensation for the negative externalities caused by coal mining. However, regarding ecology compensation, previous studies either only focus on the land loss of stakeholders (Kidido et al., 2015; Adonteng-Kissi, 2017; Shackleton, 2020) or highlight its impact on sustainable development (Novoselov et al., 2021). Although the interconnecting mechanism between land loss and coal-fired pollution emissions has been recovered (Li et al., 2019b), previous research has not fully considered the relationship between ecological compensation and CO2 emission mitigation.
To fill these gaps, this study tried to reveal the mechanism that CEC for damaged land has a spillover effect on CO2 emissions by spatially affecting energy intensity. First, we used spatial econometrics to estimate CO2 emissions and energy intensity in two stages. Second, we focus on the study of the impact of coal production on energy intensity in different regions. Our article is organized as follows. The second part is the literature review and the induced hypothesis. The methodology is shown in the third section. The following section is the results and discussion. In the end, we present the conclusion.
Literature Review
The Relationship Between Charging for Environmental Externalities and CO2 Emissions
Studies have also come to different conclusions about the effects of compensation on the environment. For example, Silva et al. (2021) argued that financial compensation for mining activities is useless for mitigating the negative environmental impacts in Brazil. By contrast, Bennett et al. (2018) proved that environmental compensation indeed mitigates negative externality. The reason for this difference is that the objects of compensation are different. Mining activities in other countries mainly refer to nonenergy minerals, whereas coal mining is the dominant mining activity in China. Charging for coal resources would be more inclined to mitigate CO2 emissions.
Compensation, carbon taxes, and resource taxes can be used as policy instruments to charge for environmental externalities. For example, Whitmore (2020) concluded that compensation could be a motivation tool to manage climate change. In addition, previous studies suggested carbon taxes are helpful to reduce energy demand (Lin and Jia, 2018; Liu et al., 2018) and mitigate CO2 emissions (Li et al., 2019a; Wang and Yu, 2021). Moreover, the effect of mineral rent on CO2 emissions has been revealed (Yue et al., 2020). Resource tax is beneficial to achieve efficient utilization of coal by increasing the cost. Shen et al. (2021) found that resource taxes could mitigate CO2 emissions. Lin and Jia (2020) insisted that resource taxes can manage negative environmental externalities such as carbon emissions more effectively by controlling supply. Wang and Yu (2021) argued that the resource tax should not be too low because it can effectively control carbon emissions. These all show that charging for the negative environmental externalities is of great significance for CO2 emission mitigation in China.
Coal Production and Energy Intensity
Coal production and energy intensity are interrelated. The relationship is not as apparent as it is with carbon emissions. A good example is in coal-rich East Europe; the reliance on coal has led to relatively higher energy intensity (Nielsen et al., 2018). Likewise, it has been proved that some Western European countries such as Britain and Germany have been slow to decline in energy intensity because they have access to cheap coal (Fouquet, 2016). The type of energy consumed is proved to be the determining factor in declining energy intensity (Gentvilaite et al., 2015). As coal is a relatively cheap energy source, too much reliance on it will not help improve energy intensity. Some Nordic countries that lack coal endowments, such as Sweden, declined their energy intensity decline rapidly (Kander et al., 2017).
Spatial Correlation of Energy Intensity and CO2 Emissions
Previous research has proved the unbalanced development of regional energy intensity exists (Song et al., 2018; Yu et al., 2018; Wang et al., 2019; Mussini, 2020). And it is concluded that energy intensity was one of the dominating factors determining the spatiotemporal patterns of China’s carbon intensity (Cheng et al., 2014) and revealed energy intensity displays a spillover effect in China (Wang et al., 2019). Besides, neighborhood effects of CO2 emissions have been recovered (Mussini, 2020; Shahnazi and Shabani, 2021). It enlightened us that the spatial analysis of energy intensity and CO2 emissions should be adopted.
Literature Revelation and Hypothesis
Combing the literature, we get the following three points: (1) charging for environmental externalities can mitigate carbon emissions; (2) coal production is closely related to energy intensity; and (3) both energy intensity and carbon emissions have spatial autocorrelation. However, how charging for environmental externalities affects CO2 emissions is not clear. Considering coal production could affect the trajectory of energy intensity, and energy intensity and carbon emissions are closely linked, we put forward the hypothesis that coal production will affect CO2 emissions positively by influencing energy intensity. We expect to prove that charging for coal production could act as an instrument in mitigating the CO2 emission process. We aim to reveal the spatial spillover effect of charges on CO2 emission mitigation. Our innovation is to consider CEC for damaged land as an incentive instrument.
Data and Methodology
The Definition of CEC
We set up an indicator named CEC. It is the sum of the resources tax and the security deposit paid for the remediation and restoration of the mine geological environment. The data of resource tax are taken from the China Tax Yearbook,3 and the data of mine geological environment restoration deposit is taken from the China Land and Resources Statistical Yearbook.4 Although it may be lower than the cost of ecology restoration, it is still the most reliable data.
Data Processing
The Calculation of CO2 Emissions and Energy Intensity
In order to verify the spatial aggregation effect and heterogeneity of CO2 emissions and clarify the effect factors, we first calculated CO2 emissions and the energy intensity. CO2 emissions mainly stem from the consumption of fossil energy and industrial processes. This calculation does not include CO2 emissions of the agricultural process because the CO2 emissions calculated in the first two parts have accounted for more than 90% of the whole, and CO2 emissions from agriculture energy consumption have been included when calculating fossil energy. Moreover, the impact of CEC on the energy intensity of the agriculture process is not as significant as that of fossil energy consumption and industrial processes.
(1) CO2 emissions from the consumption of fossil energy. Previous studies (Cheng et al., 2014; Wu et al., 2020; Zhang et al., 2020) used eight kinds of fossil energy sources to build the formula (Equation 1).
Herein, corresponds to the total CO2 emissions in province for year ; indicates the natural gas, diesel oil, coal oil, gasoline, fuel oil, crude oil, coke, and coal, which corresponds to the eight types of fossil energy used for year in province ; represents the average low-order calorific value for each type of fossil energy that can be found in Appendix 4 of the China Energy Statistical Yearbook (NBS, 2018); denotes the carbon content of energy ; is the rate of carbon oxidation. The values of and were taken from IPCC (2006).
(2) CO2 emissions from the industrial process. The coefficient 1.012 represents the total emissions resulting from fossil energy consumption and other industrial processes such as ammonia production, lime production, and steel production. These are equivalent to 1.2% of China’s emissions from fossil fuel combustion (Liu et al., 2015). Besides, CO2 emissions from cement production were introduced. denotes cement production in province ; represents the cement emission factor, which displays a value of 0.1065 (IPCC, 2006; Liu et al., 2015); and 44/12 is the molecular weight ratio of CO2.
Energy intensity is expressed as the ratio of energy consumption to GDP (Cheng et al., 2014; Li et al., 2019b; Liu and Song, 2020). In order to calculate energy intensity, in addition to fossil fuels, we added electricity.5 Each energy source was converted into its corresponding standard coal consumption and is shown in Eq. 2. represents energy intensity in province for year; corresponds to electricity consumption in province for year; indicates the average low-order calorific value of electricity; the values were taken from Supplementary Appendix S4 of the China Energy Statistical Yearbook, 2018.
The Method to Test Spatial Correlation
To test the spatial relationship among CEC, CO2 emissions, and energy intensity, Moran’s I6 was used. Both Moran’s I and spatial analysis need to determine spatial weight matrix initially. The weight matrix represents the importance of each province. According to Tobler’s first law of geography, the attributes of spatial observations close to each other are more similar than those dispersed. We also used a row-normalized inverse distance weight matrix , which equals 1/. represented the distance between the and the (≠ j) provinces, based on the latitude and longitude of the capital city in each province. This spatial weight matrix ensures that variables of neighboring provinces decrease with distance and vice versa. Table 1 shows the description and sources of each variable.
TABLE 1
| Name of variable | Description | Data source |
|---|---|---|
| Eight types of fossil energy (104 tons) including natural gas, diesel oil, coal oil, gasoline, fuel oil, crude oil, coke, and coal | China energy statistical yearbook | |
| Production of cement (104 tons) | National Bureau of Statistics: https://data.stats.gov.cn | |
| CO2 emissions (104 tons) | Calculated using Eq. 1 | |
| Gross domestic production (104 CNY) | National Bureau of Statistics: https://data.stats.gov.cn | |
| Population (104 persons) | National Bureau of Statistics: https://data.stats.gov.cn | |
| Energy intensity (t/104 CNY) | The ratio of the total energy consumption (standard coal equivalent) to GDP | |
| The ratio of foreign direct investment to total GDP | National Bureau of Statistics: https://data.stats.gov.cn | |
| Urbanization: the proportion of urban population in the totala | National Bureau of Statistics: https://data.stats.gov.cn | |
| Industrial structure: the percentage of industrial added value to GDPb | National Bureau of Statistics: https://data.stats.gov.cn | |
| Coal prices (Qinhuangdao port, 5,500 kcal/kg) | Wind Database | |
| Coal production | China energy statistical yearbook | |
| Compulsory ecological compensation (resources tax plus amount of security deposit) | Security deposit: China land and resources statistical yearbook; resources tax: China Tax Yearbook |
List of explanatory variables used in the analysis and data sources.
Notes: aThis kind of expression is questioned due to the inconsistency of the household registration system with population movements (Ni et al., 2014) and the reasonableness of statistical calibers (Tao and Xu, 2005), and so on, to simplify the analysis, we used this indicator to represent the level of urbanization. bThis variable was used by Lin and Jiang, (2009).
Research Framework
As coal resources display regional disparity among provinces, the damaged land caused by coal mining activities has the characteristics of spatial aggregation. CEC for the damaged land (Supplementary Figure S1) is also spatially converged and heterogeneous. It has been concluded that CO2 emissions are also spatially heterogeneous (Liu and Liu, 2019; Li et al., 2020; Li and Li, 2020).
To investigate the impact mechanism of CEC for destructed land on CO
2emissions and to avoid bias, spatial spillover effects analysis was used in this study. Furthermore, we used energy intensity as an intermediate variable. To research the mechanism of CEC on CO
2emissions, the research framework contained four steps (
Figure1).
Step 1: We tested spatial convergence spatial correlation characteristics using Moran’s I and Moran scatterplot.
Step 2: The spillover effect of energy intensity on CO2 emissions was examined by comparing three spatial econometric models of the spatial Durbin model (SDM), the spatial lag model (spatial autoregressive [SAR]), and the spatial error model (SEM).
Step 3: SAR, SEM, and SDM models were compared to test the spillover effect of CEC on energy intensity.
Step 4: Using generalized spatial two-stage least-squares estimates (GS2SLSs) to analyze the impact of CEC and coal production on energy intensity. As CEC would increase the cost of coal mining and affect coal production, coal production was considered as an explanatory variable of energy intensity.
FIGURE 1

Research framework diagram.
The Model Specification
Considering the particularity of the geographical environment of Tibet and the poor availability of data for Hong Kong, Macao, and Taiwan, we selected annual panel data for 30 provinces covering the period 2009–2017.
Spatial econometrics method was selected to test the direct and the spillover effect of damaged land compensation on energy intensity and CO2 emissions. According to the strategy proposed by Belotti et al. (2016) and Elhorst (2014), we selected panel SDM as a general specification and tested for the alternatives. The panel SDM is represented in Eq. 3:where is a vector of the dependent variable for province and year ; (). represents the effects of the interaction between the dependent variables of neighboring provinces. is the spatial autoregressive coefficient that measures the magnitude of interaction among provinces. is a matrix of observations for the explanatory variables with an associated vector of coefficients . indicates the spatial lag coefficients of explanatory variables, whereas and are the fixed effects of space and time, respectively. represents the error term, which is independent and identically distributed with the mean equals zero; the variance is . corresponds to the weight matrix. Following Elhorst (2014), from the panel SDM, a family of spatial econometric models can be deduced using the likelihood ratio tests. If the restriction is considered, the SEM can be obtained. It indicates that spatial dependence exists only in the error term. If and , the SAR model is obtained. This model implies that spatial dependence only occurs for the dependent variable and reveals the interrelation of dependent variables among adjacent provinces.
CO2 emissions are the dependent variables in the first stage. Eq. 4 presents the initial dependent variable (); the descriptions of other explanatory variables are shown in Table 1. The environmental Kuznets curve (EKC) hypothesis was examined by Grossman and Krueger (1995) and Shafik and Bandyopadhyay (1992), and it has been proven at the city level, province level, and national level in China (Kang et al., 2016; Jiang et al., 2019; Chen et al., 2020). We determined selecting the squared term of GDP for that the relationship between economic development level and CO2 emissions should not be linear.
The references related to independent variables are shown in Table 2. According to previous studies (Liu and Liu, 2019; Li et al., 2020; Li and Li, 2020; Liu and Song, 2020; Zhang et al., 2020), we chose the energy intensity as the explanatory variable in the initial. The multicollinearity problem of selected variables was tested by variance inflation factor (VIF) test (Tables 3, 4).
TABLE 2
| Dependent variable | Explanatory variable | Findings in the previous research |
|---|---|---|
| Carbon emissions | Per capita GDP or GDP | Yang et al. (2019); Zhang et al. (2020); Wu et al. (2020); Li and Li (2020); Li et al. (2020); Liu and Liu (2019); Liu and Song (2020); Cui et al. (2019); Chen and Lee (2020) |
| The squared term of GDP | Wu et al. (2020); Li and Li (2020) | |
| Population | Yang et al. (2019); Li et al. (2020); Liu and Liu (2019); Chen and Lee (2020) | |
| Energy intensity or energy efficiency | Zhang et al. (2020); Li and Li (2020); Li et al. (2020); Liu and Liu (2019); Liu and Song (2020) | |
| FDI | Cheng et al. (2014); Long et al. (2020) | |
| Energy intensity or carbon intensity | Industrial structure | Wang et al. (2019); Song et al. (2018); Lv et al. (2017); Long et al. (2016); Cheng et al. (2014) |
| Energy price | Wang et al. (2019); Lv et al. (2017); Zhong et al. (2018); Neng (2011) | |
| CEC of destructed land | Our new idea |
Summary of factors determining dependent variables.
TABLE 3
| Dependent variable: lnEmc | VIF | lnEMC | lnGDP | lnPop | Ein | FDI |
|---|---|---|---|---|---|---|
| lnEMC | 1.000 | |||||
| lnGDP | 4.36 | 0.466*** | 1.000 | |||
| lnPop | 3.81 | 0.522*** | 0.697*** | 1.000 | ||
| Ein | 1.46 | 0.041*** | 0.251*** | 0.127*** | 1.000 | |
| FDI | 1.31 | 0.010 | 0.054*** | 0.000 | 0.129*** | 1.000 |
Correlation coefficient matrix and VIF tests for lnEmc.
Notes: ***p < 0.1.
TABLE 4
| Dependent variable: Ein | VIF | Ein | Urba | Ist | lnCEC | lnEpr |
|---|---|---|---|---|---|---|
| Ein | 1.000 | |||||
| Urba | 1.34 | 0.111*** | 1.000 | |||
| Ist | 1.27 | 0.009 | 0.038*** | 1.000 | ||
| lnCEC | 1.51 | 0.049*** | 0.195*** | 0.120*** | 1.000 | |
| lnEpr | 1.21 | 0.007 | 0.019** | 0.082*** | 0.120** | 1.000 |
Correlation coefficient matrix and VIF tests for Ein.
Notes: **p < 0.05, ***p < 0.1.
We started by hypothesizing that energy intensity (Ein) is an endogenous variable. Then, the Hausman specification test was used to test the endogeneity of Ein. When the null hypothesis is not rejected, we can affirm the SDM model provides a consistent estimation and ensures a relatively small variance. In order to recover the impact mechanism of CEC on energy intensity, we introduced Eq. 5 and chose, Urba, Ist, lnCEC, and lnEpr as explanatory variables. The descriptions of the variables are summarized in Table 1. The references are in Table 2. We start the analysis with the panel SDM.
As most of the damaged land has been caused by coal mining activities, was used as a new explanatory variable and Ist and lnEpr as the remaining explanatory variables. GS2SLS methods were applied (Kelejian and Robinson, 1993; Kelejian and Prucha, 1999) if coal production was endogenous. Finally, because of the spatial heterogeneity of coal distribution, China’s territory was divided into three regions: the east, central, and west (Supplementary Figure S3). The GS2SLS method was applied in order to perform a regional analysis and provide a basis for interaction between regions during CO2 emission mitigation.
Results and Discussion
Multicollinearity Tests
Tables 3 and 4 show that the selected variables for Eqs 4, 5 are correlated to a low degree. The values of the coefficients are all less than 0.8. The VIF values are all less than 10. We could conclude that multicollinearity does not exist in explanatory variables in the equations.
Statistical Descriptions and Spatial Characterization of CEC, CO2 Emissions, and Energy Intensity
Supplementary Figures S2A,B show the spatial distribution of CO2 emissions in each province. Data indicated that CO2 emissions in China display spatial agglomeration. High-carbon emission areas are those rich in coal resources, such as Shanxi, Inner Mongolia, and Xinjiang and the developed provinces such as Shandong, Jiangsu, and Guangdong. Supplementary Figures S2C,D show that energy intensity is also spatially agglomerated. The high-value provinces are leading coal producers, such as Inner Mongolia, Shanxi, Xinjiang, and Ningxia.
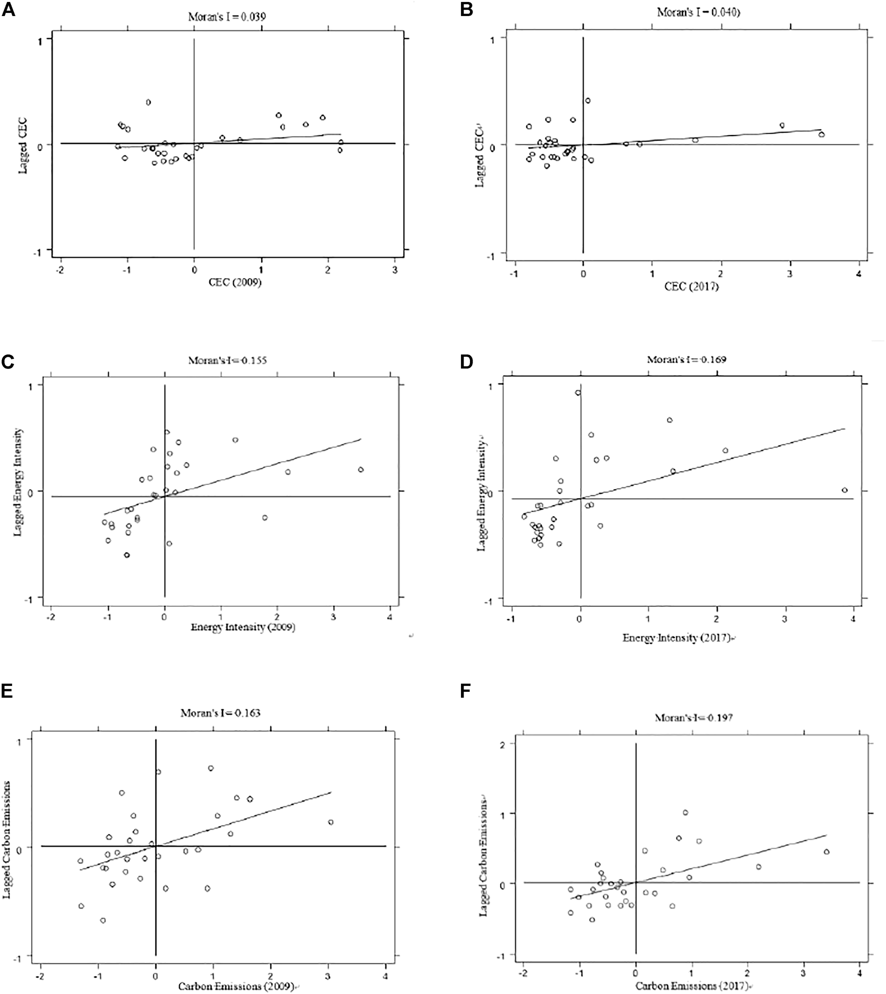
Table 5 shows the results of Moran’s I for CEC, CO2 emissions, and energy intensity. The values are all positively significant at the 5% level, indicating that CEC, Emc, and Ein are spatially converged.
TABLE 5
| Moran’s I | CEC | Emc | Ein |
|---|---|---|---|
| 2009 | 0.039** | 0.163** | 0.155** |
| [0.036] | [0.093] | [0.088] | |
| 2010 | 0.167** | 0.191*** | 0.163** |
| [0.094] | [0.094] | [0.087] | |
| 2011 | 0.028 | 0.181** | 0.170** |
| [0.085] | [0.095] | [0.085] | |
| 2012 | 0.044 | 0.218*** | 0.197** |
| [0.093] | [0.095] | [0.089] | |
| 2013 | 0.019* | 0.229*** | 0.146*** |
| [0.034] | [0.090] | [0.077] | |
| 2014 | 0.134* | 0.237*** | 0.143*** |
| [0.095] | [0.089] | [0.076] | |
| 2015 | 0.014* | 0.237*** | 0.144*** |
| [0.034] | [0.090] | [0.076] | |
| 2016 | 0.024** | 0.212*** | 0.144*** |
| [0.034] | [0.091] | [0.077] | |
| 2017 | 0.040*** | 0.197*** | 0.169*** |
| [0.032] | [0.089] | [0.083] |
Moran’s I statistics of CEC, CO2 emissions and energy intensity from 2009 to 2017.
Notes: The values in brackets correspond to standard errors, *p < 0.01, **p < 0.05, ***p < 0.1.
The scatterplot points mostly fall in the first (the upper-right region formed by the x-coordinate and the y-coordinate) and third quadrants (the lower-left region formed by the x-coordinate and the y-coordinate) (Figure 2). When the scatter falls in the first quadrant, it means that the high value is adjacent to the high value, and when the scatter falls in the third quadrant, it means that the low value is adjacent to the low one. CEC is closely related to the land damaged by coal mining. However, the distribution of coal resources in China has significant regional differences and shows the characteristics of relatively concentrated aggregation. Specifically, it is mainly distributed in the north, the northeast, northwest, and southwest. That is the reason why CEC (Figures 2A,B) presents spatial aggregation. These results indicated that energy intensity (Figures 2C,D) and CO2 emissions (Figures 2E,F) are highly spatial correlated. In other words, it shows high–high agglomeration and low–low agglomeration.
FIGURE 2

Scatterplots of Moran ’I of CEC, Energy intensiy and Carbon emissions for 2009 and 2017.
Spatial Spillover Effects of Energy Intensity on CO2 Emissions
According to Table 2, when we estimate the equation with carbon emissions as the dependent variable, GDP, the squared term of GDP, population, and FDI could be chosen as the explanatory variables. When energy intensity was selected as the dependent variable, FDI, industrial structure, energy price, and CEC could be used as independent variables. Thus, we tried to establish a carbon emission determination model using the above explanatory variables with the help of the GS2SLS method. In the equation, Ein was chosen as the endogenous explanatory variable. Hausman specification test (Hausman, 1978) results (Hausman value equals −0.621, and the p value equals 0.987) show that the Ein is not endogenous. Given this result, we used the xsmle estimator7 in Stata, according to Belotti et al. (2016), and obtained the spatial panel estimation models. Ein was used as an explanatory variable analyzing CO2 emissions (Table 2). The results (Table 6) indicate that the SDM model shows the best specification of all three models. Table 6 shows the results for spatial spillover effects of energy intensity on CO2 emissions. The Hausman tests indicated that fixed effects are suitable for all the models. Thus, the SDM model was chosen in the initial. In addition, the spatial is significant, which denotes that spatial correlation ship exists among provinces (Table 6). Moreover, results indicate that GDP is positive, and the coefficient of GDP squared is negative. These data support the validity of the EKC hypothesis for Chinese provinces. In addition, the coefficients of Pop, FDI, and the corresponding lagged terms are all insignificant. Ein and its spatially lagged term are all statistically significant. Their coefficients are equal to 0.533 and 0.643, respectively. Besides, the indirect effect of is significant (Table 7).
TABLE 6
| SDM | SAR | SEM | |
|---|---|---|---|
| lnGDP | 3.974*** | 4.504*** | 4.574*** |
| [1.155] | [0.942] | [0.949] | |
| (lnGDP)2 | −0.086*** | −0.104*** | −0.106*** |
| [0.033] | [0.026] | [0.025] | |
| lnPop | −0.568 | −0.815 | −0.843* |
| [0.455] | [0.104] | [0.500] | |
| Ein | 0.533*** | 0.503*** | 0.505*** |
| [0.094] | [0.089] | [0.092] | |
| FDI | 0.589 | 0.099 | 0.190 |
| [6.778] | [1.051] | [1.060] | |
| W·lnGDP | 5.603 | ||
| [4.187] | |||
| W·(lnGDP)2 | −0.139 | ||
| [0.115] | |||
| W·lnPop | −1.649 | ||
| [3.474] | |||
| W·Ein | 0.643*** | ||
| [0.247] | |||
| W·FDI | 11.054 | ||
| [6.777] | |||
| Spatial ρ | −0.333** | −0.024 | |
| [0.167] | [0.140] | ||
| Lambda | −0.169 | ||
| [0.210] | |||
| Hausman | 41.16*** | 15.12*** | 15.97** |
| Model selection test statistics | SAR vs SDM | SEM vs SDM | |
| 13.99 | 13.64 | ||
| p value | 0.016 | 0.018 |
Spatial model estimation results in the initial.
Notes: Standard errors in brackets **p < 0.01, **p < 0.05, ***p < 0.1.
TABLE 7
| Dependent variable: lnEmc | Dependent variable: Ein | ||||||
|---|---|---|---|---|---|---|---|
| Variable | Direct effects | Indirect effects | Total effects | Variable | Direct effects | Indirect effects | Total effects |
| lnGDP | 3.933*** | 2.560 | 6.493*** | Urba | −3.008** | 1.213 | −1.795* |
| [1.183] | [2.484] | [1.964] | [1.251] | [1.611] | [0.983] | ||
| (LnGDP)2 | −0.085** | −0.066 | −0.151*** | lnCEC | 0.007 | −0.121*** | −0.114** |
| [0.034] | [0.069] | [0.054] | [0.042] | [0.047] | [0.055] | ||
| lnPop | −0.554 | −0.874 | −1.428 | Ist | −2.229 | 2.672 | 0.443 |
| [0.467] | [2.081] | [1.951] | [1.857] | [1.750] | [0.656] | ||
| Ein | 0.528*** | 0.279* | 0.807*** | lnEpr | 0.988 | −0.984 | 0.004 |
| [0.092] | [0.142] | [0.177] | [0.868] | [0.862] | [0.053] | ||
| FDI | 0.486 | 6.496 | 6.982 | ||||
| [1.097] | [4.015] | [4.448] | |||||
Direct, indirect, and total effects of the SDM models.
Notes: Standard errors in brackets *p < 0.01, **p < 0.05, ***p < 0.1.
Carbon constraints have not been implemented in China, which is probably why Ein is not endogenous. In addition, the bidirectional transmission channel between CO2 emissions and energy intensity has not been established. However, it can be predicted that if a carbon-restraint mechanism is established in the future, Ein will become an endogenous variable for CO2 emissions. The significant coefficients of GDP and its squared term imply that China’s carbon peak target is achievable. Data for CO2 emissions show an inverted U-shaped curve. As GDP grows, CO2 emissions will inevitably present an inflexion point. This conclusion can be supported by Baz et al. (2020) and Yue et al. (2020). The lagged term of the FDI is not significant, which indicates that FDI does not significantly influence China’s CO2 emissions. On the other hand, our results differ from those that FDI can reduce carbon productivity by bringing technological innovation (Long et al., 2020). And our results are against the previous conclusion that FDI has a positive impact on CO2 emissions (Shahbaz et al., 2018). Thus, China cannot expect to use FDI to reduce the energy intensity but should seek other motivation. However, the variable Ein and its spatially lagged term indicated that if energy intensity can be reduced by 1%, CO2 emissions can also be reduced by approximately 0.53%, CO2 emissions in neighboring provinces can be reduced by approximately 0.65%. The indirect effect of Ein proves that the spatial spillover effect of Ein is significant. Furthermore, the total effect of Ein is significant and higher than its direct effect. It may indicate that energy intensity affects CO2 emissions not only of the local region but also other regions. Thus, in the process of CO2 emission mitigation, attention should be paid to the spillover effect of energy intensity. The spillover effects are attributed to industrial transfer among regions (Li et al., 2018) and the mimicry of the neighborhood (Wang et al., 2019). This study insists that the unbalanced distribution and consumption of coal resources lead to the spatial spillover effect of energy intensity on CO2 emissions. A decrease in energy intensity of neighboring provinces will cause coal exporting decline from coal production provinces.
Spatial Spillover Effects of CEC on Energy Intensity
Although compelling evidence for spatial convergence and correlation of energy intensity in China has been recovered (Liu et al., 2017; Lv et al., 2017; Yu et al., 2018; Wang et al., 2019), we should find out how to reduce Chinese energy intensity. Table 8 shows spatial spillover effects of CEC on energy intensity, which presents the results of SDM, SAR, and SEM models in the second stage. The spatial error parameter, , was statistically significant in these three spatial panel data models, indicating that energy intensity displays spatial correlation. The SDM model was chosen as it showed the best specification of all three models (Table 8). Table 8 also indicates that the Urba was significantly negative at the 1% level. The indirect effect of CEC negatively impacts energy intensity, with the coefficient value significantly equaling −0.121 (Table 7).
TABLE 8
| SDM | SAR | SEM | |
|---|---|---|---|
| Urba | −2.949** | −4.947*** | −4.262*** |
| [1.192] | [1.503] | [0.987] | |
| lnCEC | 0.001 | 0.810 | −0.008 |
| [0.041] | [0.045] | [0.050] | |
| Ist | −2.100 | −1.401 | −1.175 |
| [1.732] | [1.241] | [0.998] | |
| lnEpr | 0.941 | 0.083 | 0.028 |
| [0.809] | [0.060] | [0.041] | |
| W·Urba | −0.015 | ||
| [2.976] | |||
| W·lnCEC | −0.264*** | ||
| [0.096] | |||
| W·Ist | 3.949 | ||
| [2.487] | |||
| W·lnEpr | −1.302 | ||
| [1.129] | |||
| Spatial ρ | −0.905** | −0.352 | |
| [0.368] | [0. 401] | ||
| Lambda | −0.766*** | ||
| [0.274] | |||
| Hausman | 28.64*** | 3.48 | 3.99 |
| Model selection test statistics | SAR vs SDM | SEM vs SDM | |
| 15.97 | 16.75 | ||
| p value | 0.001 | 0.002 |
Spatial model estimation results of energy intensity.
Notes: Standard errors are shown in brackets *p < 0.01, **p < 0.05, ***p < 0.1.
The Urba variable indicated that the direct impact of urbanization on energy intensity is negative. Urbanization-brought related industries developed. As a result, infrastructures were improved, and energy intensity was reduced (Chen et al., 2019). The spatial lagged lnCEC coefficient implies that CEC presented a spillover effect on energy intensity. Therefore, CEC should no longer be an issue of one single region; it should be spatially related. Thus, CEC should be performed at a national level. Combined with the conclusions of The Definition of CEC (as the indirect effects are shown in Table 7, the spatial spillover effect of CEC on CO2 emissions can be proven). It reflects a transmission mechanism: CEC has a spatial spillover effect on energy intensity. Meanwhile, energy intensity also has a spatial spillover effect on CO2 emissions. In other words, for every 1% increase in CEC in the neighboring regions, local CO2 emissions may be mitigated by approximately 0.03%. Previous research insisted people use resources tax (Lin and Jia, 2020; Wang and Yu, 2021) to manage negative environmental externalities and mitigate CO2 emissions. Others suggested that the coal resources tax is helpful to solve the issue of land damage and CO2 emissions (Li et al., 2019a). However, this study proved that CEC is helpful for mitigating CO2 emissions through the intermediate variable of energy intensity because CEC could increase the cost of fossil energy consumption and then drive down coal consumption. More importantly, CEC should be included as one of the carbon management tools.
Spatial Effect of Coal Production on Energy Intensity
In China, the CEC standard is not determined according to the real amount of ecological value loss. Instead, it is determined by coal production. That is why we choose coal production as an explanatory variable. Another reason is that CEC will eventually affect coal production. We built a model that used coal prices (lnEpr) and industrial structure (Ist) as explanatory variables in order to simulate their impacts on energy intensity. Table 9 shows the results of ordinary two-stage least squares (2SLS) and GS2SLS. The Hausman specification test (Hausman, 1978) of both 2SLS and GS2SLS showed that lnCpro is endogenous nationwide. CEC was chosen as the instrumental variable to substitute coal production to build 2SLS and GS2SLS model because it will negatively affect coal mining activities.
TABLE 9
| 2SLS | GS2SLS | |
|---|---|---|
| W·Ein | 1.336*** | |
| [0.311] | ||
| lnCpro | 0.072*** | 0.543*** |
| [0.009] | [0.162] | |
| lnEpr | 0.275 | 0.023 |
| [0.189] | [0.121] | |
| Ist | −0.185 | −3.530*** |
| [0.371] | [0.862] | |
| Constant | −1.272 | −2.987*** |
| [1.151] | [0.944] | |
| Hausman specification test | 4.96** | −15.662*** |
Impact mechanism of coal production on energy intensity using 2SLS and GS2SLS.
Notes: Standard errors are shown in brackets *p < 0.01, **p < 0.05, ***p < 0.1.
Table 9 indicates that the coefficient of the spatial lagged Ein was significant at the 1% level. It shows that energy intensity presents a significant spatial spillover effect. Besides, lnCpro displays a positive impact on energy intensity. Combining with the results in Data Processing, we can conclude that reducing coal production in the neighbor will reduce local CO2 emissions. Ist negatively affected energy intensity. It indicates that the upgrading of the industrial structure in the neighbor will reduce the local CO2 emissions. The result implies that the economic losses caused by the reduction in coal production should be partly accepted by the beneficiaries of CO2 emission mitigation in neighboring provinces.
Because of the spatial heterogeneity of China’s coal resource, the eastern region is traditionally known as the coal consumer, and the Western is the coal provider. However, CO2 emissions are high to the east and low to west China (Long et al., 2016). Therefore, in order to determine the impact of coal production on energy intensity, a regression analysis was carried out considering the different regions (Supplementary Figure S3). The statistical characteristic values of the variables show that the CEC value ranks first in the central, whereas the Western has the highest energy intensity. All values in the eastern are significantly smaller than those in the central and west (Table 10). Table 11 implies that (1) although the influence of coal production on energy intensity is significantly positive in the eastern region, the endogenous test showed that coal production and energy intensity did not display a mutual relationship. The possible reason is that although coal is also produced in the eastern, it is the traditionally net coal import area. Therefore, reducing coal production in the east cannot reduce energy intensity. Meanwhile, the industrial structure of the eastern has also an insignificant impact on energy intensity. The reason maybe is that the value of industrial structure in the eastern is relatively high; the potential for upgrading in the short term is not easy. In the short term, it is not feasible to reduce energy intensity by improving the industrial structure in the eastern region of China. (2) The spatial lagged Ein coefficient was not significant in the central. It indicates that there is no spatial correlation between energy intensity among provinces. However, both the reduction in coal production and the upgrading of the industrial structure can reduce the energy intensity in the local. It implies that the central region has the potential to reduce energy intensity. (3) The spatial lagged Ein coefficient for the west was significant, indicating that energy intensity in the west is positively correlated. The significantly negative correlation between coal production and energy intensity indicated that reducing coal mining will cause energy intensity to decrease. The Western characters as the net coal exporter require reducing coal supply to the east and the central. However, the pathways to reduce coal consumption in the eastern and the central should be different. The east should actively transform the energy structure and reduce the proportion of coal, whereas in the central, improving the industrial structure and reducing energy intensity can reduce the demand for coal. If coal demand and energy structure remain unchanged nationwide, even energy intensity decreases in central China caused by the reduction of coal production in the west will inevitably increase. In the west, renewable energies such as photovoltaics and wind power should be promoted to mitigate the pressure on coal production. Of course, adjusting the price gap between coal and alternative energies is the crux point. CEC could be considered an instrument. At the same time, the relatively advanced industries should be partly relocated from the east and the central to the west in order to reduce energy intensity in these regions.
TABLE 10
| Variables | Mean | Std.Dev | Minimum | Maximum | Observations | |
|---|---|---|---|---|---|---|
| Est | CEC | 276610.40 | 333742.60 | 0 | 1499751.00 | 99 |
| Ein | 0.55 | 0.24 | 0.14 | 1.21 | 99 | |
| Cpro | 3023.42 | 4681.44 | 0 | 17667.60 | 99 | |
| Central | CEC | 431716.80 | 476868.70 | 26931.20 | 2783452.00 | 81 |
| Ein | 1.08 | 0.89 | 0.20 | 4.23 | 81 | |
| Cpro | 25025.21 | 34309.06 | 315.50 | 104190.90 | 81 | |
| West | CEC | 322764.80 | 300433.00 | 15077.00 | 1583978.00 | 90 |
| Ein | 1.15 | 0.68 | 0.34 | 3.52 | 90 | |
| Cpro | 10963.27 | 13175.97 | 425.45 | 57102.48 | 90 |
Statistical properties of CEC, Ein, and Cpro in different regions.
TABLE 11
| East | Central | West | |
|---|---|---|---|
| W·Ein | 1.394*** | 0.738 | 1.052*** |
| [0.270] | [0.866] | [0.395] | |
| lnCpro | 0.141** | 0.558** | −0.562* |
| [0.057] | [0.240] | [0.299] | |
| lnEpr | −0.013 | 0.135 | 0.145 |
| [0.064] | [0.265] | [0.193] | |
| Ist | −0.707 | −3.362*** | 1.842 |
| [0.489] | [1.225] | [1.735] | |
| Constant | −0.219 | −4.031** | 3.591 |
| [0.320] | [1.857] | [0.142] | |
| Hausman specification test | −5.947 | −10.174** | −8.435* |
Impact mechanism of coal production on energy intensity using GS2SLS by region.
Notes: Standard errors are shown in brackets *p < 0.01, **p < 0.05, ***p < 0.1.
Policy Implication
The spatial spillover effect of energy intensity and CEC implies that CEC policies should focus on its impact on the neighboring areas. Pigou tax can support our view, and CEC can be seen as a kind of tax that internalizes external effects. However, the focus of the Pigou tax is only on how to make up for the direct gap between private costs and social costs. It does not tell us that external effect charges will also produce spatial spillover effects. Because energy has cross-regional input and output, charging for the externals should pay more attention to the synergy between regions. And this article proves that external charges, that is, CEC has the spatial spillover effect of mitigating CO2 emissions across provinces. The practical enlightenment of this article is as follows: (1) The goal of carbon neutrality is difficult to achieve only by relying on regulations and policies. The government should guide the market formation in the process of environmental governance. Ecological costs should be paid to internalize external costs. The increased prices will promote a decline in energy intensity and then mitigate CO2 emissions. The CEC proposed in this article can be used as a marketable tool to achieve carbon neutrality. (2) Establishing the CEC mechanism is the crux to promoting the coordinated achievement of carbon neutral goals among regions. On the spatial scale, the interregional ecological compensation mechanism with spatial spillover effects can promote the alignment of carbon neutral actions between neighboring provinces, especially the developed provinces and energy resource endowment provinces. The spatial correlation proposed in this article provides the basis. (3) Ideas are provided for the development strategies of coal resources in different regions. Because of the uneven spatial distribution of coal resources and the various resource endowments of provinces, this article proposes coal resource-mining strategies suitable for regional characteristics.
In order to achieve carbon peak and carbon neutrality, we suggest that (1) the Chinese government increase CEC in order to reduce CO2 emissions. (2) CEC should not be limited to the loss of ecological value itself or consider only one area. Policymakers should contemplate a national perspective. (3) In the process of implementing carbon quotas, the standards for non–coal-producing regions should be strengthened, whereas in coal-producing areas, they should be lessened. At the same time, non–coal-producing regions are encouraged to purchase quotas from coal-producing provinces to compensate for the economic losses of coal-producing regions due to coal production reduction. These will have a spatial spillover effect on CO2 emission mitigation in the neighbor.
Conclusion
In this study, we used panel data of 30 Chinese provinces from 2009 to 2017 and different spatial econometric models to recover the spillover effect of CEC on CO2 emissions. The results support the validity of the EKC hypothesis. Moreover, we determined that (1) reducing energy intensity will spatially mitigate CO2 emissions. Likewise, CEC also presents a spillover effect on energy intensity. Thus, CEC is spatially related to CO2 emissions. (2) Coal production positively affects energy intensity; industry structure negatively affects energy intensity. Reducing coal production and upgrading the industrial structure in the neighbor will mitigate local CO2 emissions. (3) The regression analysis of the different regions indicated that interregional cooperation is necessary to reduce energy intensity. In addition, the east and the central should develop alternative energy to collaborate with the Western to reduce coal production and energy intensity. In the future, other developing countries that rely on resources for economic development should pay more attention to the impact and the spillover effects of ecological compensation on CO2 emissions.
Statements
Data availability statement
The original contributions presented in the study are included in the article/Supplementary Material, further inquiries can be directed to the corresponding authors.
Author contributions
SW: initial conceptualization, data collection and processing, methodology building, software application, writing-original draft. NB-O: conceptualization, discussion, supervision. JY: methodology guidance and software application. FC: writing-review, supervision, funding. YW: supervision. All authors contributed to the paper and approved the submitted version.
Funding
This work was supported by Joint Ph.D. Program of “Double First Rate” Construction Disciplines of CUMT and key project of Jiangsu Key Laboratory of Coal-based Greenhouse Gas Control and Utilization (NO. 2020ZDZZ03).
Conflict of interest
The authors declare that the research was conducted in the absence of any commercial or financial relationships that could be construed as a potential conflict of interest.
Publisher’s note
All claims expressed in this article are solely those of the authors and do not necessarily represent those of their affiliated organizations, or those of the publisher, the editors and the reviewers. Any product that may be evaluated in this article, or claim that may be made by its manufacturer, is not guaranteed or endorsed by the publisher.
Supplementary material
The Supplementary Material for this article can be found online at: https://www.frontiersin.org/articles/10.3389/fenvs.2021.778937/full#supplementary-material
Footnotes
1.^http://f.mnr.gov.cn/201907/t20190728_2449555.html
2.^http://f.mnr.gov.cn/201702/t20170206_1436681.html
3.^https://data.cnki.net/yearbook/Single/N2020050205
4.^https://data.cnki.net/yearbook/Single/N2020030130
5.^In order to avoid double calculations, the electricity consumption refers to electricity consumption from non-fossil energy sources.
6.^Moran’I statistic: , among them is the sample variance, is the spatial weight matrix. is the sum of all weights. The value of Moran'I ranges from -1 to 1, and greater than 0 indicates a positive correlation. In other words, the high values are adjacent to the high ones, and the low values are adjacent to the lows. A value less than 0 indicates a negative correlation, which denotes the high values are adjacent to the low values.
7.^It is a computer command for spatial econometrics.
References
1
Adonteng-KissiO. (2017). Poverty and Mine's Compensation Package: Experiences of Local Farmers in Prestea Mining Community. Resour. Pol.52, 226–234. 10.1016/j.resourpol.2017.03.007
2
BazK.XuD.AliH.AliI.KhanI.KhanM. M.et al (2020). Asymmetric Impact of Energy Consumption and Economic Growth on Ecological Footprint: Using Asymmetric and Nonlinear Approach. Sci. Total Environ.718, 137364. 10.1016/j.scitotenv.2020.137364
3
BelottiF.HughesG.Piano MortariA. (2016). Spatial Panel Data Models Using Stata. CEIS Tor Vergata14 (5), 1–40. 10.1177/1536867X1701700109.11
4
BennettM. T.GongY.ScarpaR. (2018). Hungry Birds and Angry Farmers: Using Choice Experiments to Assess "Eco-Compensation" for Coastal Wetlands Protection in China. Ecol. Econ.154, 71–87. 10.1016/j.ecolecon.2018.07.016
5
ChenH.ZhangX.WuR.CaiT. (2020). Revisiting the Environmental Kuznets Curve for City-Level CO2 Emissions: Based on Corrected NPP-VIIRS Nighttime Light Data in China. J. Clean. Prod.268, 121575. 10.1016/j.jclepro.2020.121575
6
ChenQ.KamranS. M.FanH. (2019). Real Estate Investment and Energy Efficiency: Evidence from China's Policy experiment. J. Clean. Prod.217, 440–447. 10.1016/j.jclepro.2019.01.274
7
ChenY.LeeC.-C. (2020). Does Technological Innovation Reduce CO2 emissions?Cross-Country Evidence. J. Clean. Prod.263, 121550. 10.1016/j.jclepro.2020.121550
8
ChengY.WangZ.YeX.WeiY. D. (2014). Spatiotemporal Dynamics of Carbon Intensity from Energy Consumption in China. J. Geogr. Sci.24 (4), 631–650. 10.1007/s11442-014-1110-6
9
CuiL.LiR.SongM.ZhuL. (2019). Can China Achieve its 2030 Energy Development Targets by Fulfilling Carbon Intensity Reduction Commitments?Energ. Econ.83, 61–73. 10.1016/j.eneco.2019.06.016
10
CuiR. Y.HultmanN.CuiD.McJeonH.YuS.EdwardsM. R.et al (2021). A Plant-By-Plant Strategy for High-Ambition Coal Power Phaseout in China. Nat. Commun.12 (1), 1–10. 10.1038/s41467-021-21786-0
11
ElhorstJ. P. (2014). Spatial Econometrics: From Cross-Sectional Data to Spatial Panels. Berlin, and Heidelberg: Springer Press.
12
FouquetR. (2016). Lessons from Energy History for Climate Policy: Technological Change, Demand and Economic Development. Energ. Res. Soc. Sci.22, 79–93. 10.1016/j.erss.2016.09.001
13
GentvilaiteR.KanderA.WardeP. (2015). The Role of Energy Quality in Shaping Long-Term Energy Intensity in Europe. Energies8 (1), 133–153. 10.3390/en8010133
14
GrossmanG. M.KruegerA. B. (1995). Economic growth and the environment. Q. J. Econ.110 (2), 353–377. 10.2307/2118443
15
HausmanJ. A. (1978). Specification Tests in Econometrics. Econometrica46 (6), 1251–1271. 10.2307/1913827
16
HeS.SuG. (2002). Utilization of Waste Land in Mining Areas of China. Resour. Sci.24 (2), 17–21.
17
IPCC (2006). The 2006 IPCC Guidelines for National Greenhouse Gas Inventories. Japan: Institute for Global Environmental Strategies.
18
JiangJ.-J.YeB.ZhouN.ZhangX.-L. (2019). Decoupling Analysis and Environmental Kuznets Curve Modelling of Provincial-Level CO2 Emissions and Economic Growth in China: A Case Study. J. Clean. Prod.212, 1242–1255. 10.1016/j.jclepro.2018.12.116
19
KanderA.WardeP.Teives HenriquesS.NielsenH.KulionisV.HagenS. (2017). International Trade and Energy Intensity during European Industrialization, 1870-1935. Ecol. Econ.139, 33–44. 10.1016/j.ecolecon.2017.03.042
20
KangY.-Q.ZhaoT.YangY.-Y. (2016). Environmental Kuznets Curve for CO 2 Emissions in China: A Spatial Panel Data Approach. Ecol. Indicators63, 231–239. 10.1016/j.ecolind.2015.12.011
21
KelejianH. H.PruchaI. R. (1999). A Generalized Moments Estimator for the Autoregressive Parameter in a Spatial Model. Int. Econ. Rev.40 (2), 509–533. 10.1111/1468-2354.00027
22
KelejianH. H.RobinsonD. P. (1993). A Suggested Method of Estimation for Spatial Interdependent Models with Autocorrelated Errors, and an Application to a County Expenditure Model. Pap. Reg. Sci.72 (3), 297–312. 10.1007/BF01434278
23
KididoJ. K.AyiteyJ. Z.KuusaanaE. D.GavuE. K. (2015). Who Is the Rightful Recipient of Mining Compensation for Land Use Deprivation in Ghana?Resour. Pol.43, 19–27. 10.1016/j.resourpol.2014.10.004
24
LiH.-Z.TianX.-L.ZouT. (2015). Impact Analysis of Coal-Electricity Pricing Linkage Scheme in China Based on Stochastic Frontier Cost Function. Appl. Energ.151, 296–305. 10.1016/j.apenergy.2015.04.073
25
LiJ.LiS. (2020). Energy Investment, Economic Growth and Carbon Emissions in China-Empirical Analysis Based on Spatial Durbin Model. Energy Policy140, 111425. 10.1016/j.enpol.2020.111425
26
LiK.FangL.HeL. (2020). The Impact of Energy price on CO2 Emissions in China: A Spatial Econometric Analysis. Sci. Total Environ.706 (2), 135942. 10.1016/j.scitotenv.2019.135942
27
LiL.HongX.PengK. (2019a). A Spatial Panel Analysis of Carbon Emissions, Economic Growth and High-Technology Industry in China. Struct. Change Econ. Dyn.49, 83–92. 10.1016/j.strueco.2018.09.010
28
LiY.ChiuY.-h.LinT.-Y. (2019b). Coal Production Efficiency and Land Destruction in China's Coal Mining Industry. Resour. Pol.63, 101449. 10.1016/j.resourpol.2019.101449
29
LinB.-q.LiuJ.-h. (2010). Estimating Coal Production Peak and Trends of Coal Imports in China. Energy Policy38 (1), 512–519. 10.1016/j.enpol.2009.09.042
30
LinB.JiaZ. (2020). Supply Control vs. Demand Control: Why Is Resource Tax More Effective Than Carbon Tax in Reducing Emissions?Humanit. Soc. Sci. Commun.7 (1), 1–13. 10.1057/s41599-020-00569-w
31
LinB.JiaZ. (2018). The Energy, Environmental and Economic Impacts of Carbon Tax Rate and Taxation Industry: A CGE Based Study in China. Energy159, 558–568. 10.1016/j.energy.2018.06.167
32
LinB.JiangZ. (2009). Environmental Kuznets Curve Forecast of China's Carbon Dioxide and Analysis of Influencing Factors. Manage. World04, 27–36.
33
LinB.WuW. (2018). Demand for Coal in Current Chinese Economic Development. Soc. Sci. China2018 (02), 141–161+207-208.
34
LiuF.LiuC. (2019). Regional Disparity, Spatial Spillover Effects of Urbanisation and Carbon Emissions in China. J. Clean. Prod.241, 118226. 10.1016/j.jclepro.2019.118226
35
LiuH.SongY. (2020). Financial Development and Carbon Emissions in China since the Recent World Financial Crisis: Evidence from a Spatial-Temporal Analysis and a Spatial Durbin Model. Sci. Total Environ.715, 136771. 10.1016/j.scitotenv.2020.136771
36
LiuJ.ChengZ.ZhangH. (2017). Does Industrial Agglomeration Promote the Increase of Energy Efficiency in China?J. Clean. Prod.164, 30–37. 10.1016/j.jclepro.2017.06.179
37
LiuL.HuangC. Z.HuangG.BaetzB.PittendrighS. M. (2018). How a Carbon Tax Will Affect an Emission-Intensive Economy: A Case Study of the Province of Saskatchewan, Canada. Energy159, 817–826. 10.1016/j.energy.2018.06.163
38
LiuZ.GuanD.WeiW.DavisS. J.CiaisP.BaiJ.et al (2015). Reduced Carbon Emission Estimates from Fossil Fuel Combustion and Cement Production in China. Nature524 (7565), 335–338. 10.1038/nature14677
39
LongR.GanX.ChenH.WangJ.LiQ. (2020). Spatial Econometric Analysis of Foreign Direct Investment and Carbon Productivity in China: Two-Tier Moderating Roles of Industrialization Development. Resour. Conservation Recycling155, 104677. 10.1016/j.resconrec.2019.104677
40
LongR.ShaoT.ChenH. (2016). Spatial Econometric Analysis of China's Province-Level Industrial Carbon Productivity and its Influencing Factors. Appl. Energ.166, 210–219. 10.1016/j.apenergy.2015.09.100
41
LvK.YuA.BianY. (2017). Regional Energy Efficiency and its Determinants in China during 2001-2010: a Slacks-Based Measure and Spatial Econometric Analysis. J. Prod. Anal.47 (1), 65–81. 10.1007/s11123-016-0490-2
42
MalakoffD. (2014). China's Peak Carbon Pledge Raises Pointed Questions. Science346 (6212), 903. 10.1126/science.346.6212.903
43
MLR (2018). China Land and Resources Statistical Yearbook. Beijing: Geological publishing house.
44
MussiniM. (2020). Inequality and Convergence in Energy Intensity in the European Union. Appl. Energ.261, 114371. 10.1016/j.apenergy.2019.114371
45
NBS (2018). China Energy Statistical Yearbook. Beijing: China statistics press.
46
NengS. (2011). Study on the Regional Distribution of Energy Efficiency from the point of Pollutant Emissions. Chin. J. Popul. Resour. Environ.9 (3), 58–65. 10.1080/10042857.2011.10685039
47
NiP.YanY.ZhangA. (2014). The enigma of Under-urbanization: an Explanation Based on International Trade. Soc. Sci. China07, 107–124+206-207.
48
NielsenH.WardeP.KanderA. (2018). East versus West: Energy Intensity in Coal-Rich Europe, 1800-2000. Energy Policy122, 75–83. 10.1016/j.enpol.2018.07.006
49
NovoselovA.PotravnyI.NovoselovaI.GassiyV. (2021). Compensation Fund as a Tool for Sustainable Development of the Arctic Indigenous Communities. Polar Sci.28, 100609. 10.1016/j.polar.2020.100609
50
ShackletonR. T. (2020). Loss of Land and Livelihoods from Mining Operations: A Case in the Limpopo Province, South Africa. Land Use Policy99, 104825. 10.1016/j.landusepol.2020.104825
51
ShafikN.BandyopadhyayS. (1992). “Economic Growth and Environmental Quality: Time Series and Cross-Country Evidence,” in World Bank Policy Research Working Paper WPS 904. Washington DC: World Bank Publications.
52
ShahbazM.NasirM. A.RoubaudD. (2018). Environmental Degradation in France: The Effects of FDI, Financial Development, and Energy Innovations. Energ. Econ.74, 843–857. 10.1016/j.eneco.2018.07.020
53
ShahnaziR.ShabaniZ. D. (2021). The Effects of Renewable Energy, Spatial Spillover of CO2 Emissions and Economic freedom on CO2 Emissions in the EU. Renew. Energ.169, 293–307. 10.1016/j.renene.2021.01.016
54
ShenY.SuZ.-W.MalikM. Y.UmarM.KhanZ.KhanM. (2021). Does green Investment, Financial Development and Natural Resources Rent Limit Carbon Emissions? A Provincial Panel Analysis of China. Sci. Total Environ.755, 142538. 10.1016/j.scitotenv.2020.142538
55
SilvaL. B.CominiI. B.AlvesE. B. B. M.da RochaS. J. S. S.JacovineL. A. G. (2021). Compensating the Negative Environmental Impacts of Mining with Financial Mechanisms in Brazil. Land Use Policy104, 105351. 10.1016/j.landusepol.2021.105351
56
SongM.ChenY.AnQ. (2018). Spatial Econometric Analysis of Factors Influencing Regional Energy Efficiency in China. Environ. Sci. Pollut. Res.25 (14), 13745–13759. 10.1007/s11356-018-1574-5
57
TaoR.XuZ. (2005). Urbanization, Rural Land System and Migrant’s Social Security. Econ. Res. J.2005 (12), 45–56.
58
WangY.YuL. (2021). Can the Current Environmental Tax Rate Promote green Technology Innovation? - Evidence from China's Resource-Based Industries. J. Clean. Prod.278, 123443. 10.1016/j.jclepro.2020.123443
59
WangZ.SunY.YuanZ.WangB. (2019). Does Energy Efficiency Have a Spatial Spill-Over Effect in China? Evidence from Provincial-Level Data. J. Clean. Prod.241, 118258–118259. 10.1016/j.jclepro.2019.118258
60
WenchaoL.YihuiY.LixinT. (2018). Spatial Spillover Effects of Industrial Carbon Emissions in China. Energ. Proced.152, 679–684. 10.1016/j.egypro.2018.09.230
61
WuX.HuF.HanJ.ZhangY. (2020). Examining the Spatiotemporal Variations and Inequality of China's Provincial CO2 Emissions. Environ. Sci. Pollut. Res.27 (14), 16362–16376. 10.1007/s11356-020-08181-w
62
YangW.WangW.OuyangS. (2019). The Influencing Factors and Spatial Spillover Effects of CO2 Emissions from Transportation in China. Sci. Total Environ.696, 133900. 10.1016/j.scitotenv.2019.133900
63
YuY.HuangJ.ZhangN. (2018). Industrial Eco-Efficiency, Regional Disparity, and Spatial Convergence of China's Regions. J. Clean. Prod.204, 872–887. 10.1016/j.jclepro.2018.09.054
64
YueS.MunirI. U.HyderS.NassaniA. A.Qazi AbroM. M.ZamanK. (2020). Sustainable Food Production, forest Biodiversity and mineral Pricing: Interconnected Global Issues. Resour. Pol.65, 101583. 10.1016/j.resourpol.2020.101583
65
ZhangF.DengX.PhillipsF.FangC.WangC. (2020). Impacts of Industrial Structure and Technical Progress on Carbon Emission Intensity: Evidence from 281 Cities in China. Technol. Forecast. Soc. Change154, 119949. 10.1016/j.techfore.2020.119949
66
ZhongZ.JiangL.ZhouP. (2018). Transnational Transfer of Carbon Emissions Embodied in Trade: Characteristics and Determinants from a Spatial Perspective. Energy147, 858–875. 10.1016/j.energy.2018.01.008
Summary
Keywords
CO2 emissions, compulsory ecological compensation, environmental Kuznets curve, intermediate variable, spatial econometric model
Citation
Wang S, Balta-Ozkan N, Yildirim J, Chen F and Wang Y (2021) Can Compulsory Ecological Compensation for Land Damaged by Mining Activities Mitigate CO2 Emissions in China?. Front. Environ. Sci. 9:778937. doi: 10.3389/fenvs.2021.778937
Received
17 September 2021
Accepted
26 October 2021
Published
25 November 2021
Volume
9 - 2021
Edited by
Faik Bilgili, Erciyes University, Turkey
Reviewed by
Erhan Mugaloglu, Abdullah Gül University, Turkey
Valeria Naciti, University of Messina, Italy
Mohamed R. Abonazel, Cairo University, Egypt
Updates
Copyright
© 2021 Wang, Balta-Ozkan, Yildirim, Chen and Wang.
This is an open-access article distributed under the terms of the Creative Commons Attribution License (CC BY). The use, distribution or reproduction in other forums is permitted, provided the original author(s) and the copyright owner(s) are credited and that the original publication in this journal is cited, in accordance with accepted academic practice. No use, distribution or reproduction is permitted which does not comply with these terms.
*Correspondence: Fu Chen, chenfu@cumt.edu.cn; Yinghong Wang, wyh3337@163.com
This article was submitted to Environmental Economics and Management, a section of the journal Frontiers in Environmental Science
Disclaimer
All claims expressed in this article are solely those of the authors and do not necessarily represent those of their affiliated organizations, or those of the publisher, the editors and the reviewers. Any product that may be evaluated in this article or claim that may be made by its manufacturer is not guaranteed or endorsed by the publisher.