Abstract
With the global focus on climate and environmental issues, green and low-carbon development has become an important way to promote efficiency. However, more research is needed on whether the pilot carbon emissions trading policy can promote economic development while reducing emissions. The panel data of 30 regions in China from 2005 to 2020 are used to examine the impact of carbon emission trading policy on regional total factor productivity. The findings demonstrate that, while the carbon emissions trading pilot policy can enhance total factor productivity, its impact varies across regions. Notably, the policy fosters TFP growth in Beijing and Tianjin but hampers it in Hubei and Guangdong provinces, signifying regional heterogeneity in its effects. These results remain robust even after conducting placebo tests and DID model. Furthermore, the mechanism study reveals that the carbon emissions trading pilot policy affects total factor productivity through pure technical efficiency and scale effects. Given the more stringent environmental regulations brought by the “carbon neutrality” goal, understanding the impact of carbon emissions trading policies on total factor productivity lays the groundwork for establishing a national carbon emissions trading market. This promotes sustainable economic development by helping to achieve a win-win situation between environmental protection and economic growth.
1 Introduction
Global greenhouse gas emissions in 2022 reached a record high of 53.8 GtCO2 eq (one billion tons of carbon dioxide equivalent), up 1.4% from 2021, as indicated in the European Commission’s report “Greenhouse Gas Emissions in the World by Country in 2023,” released on 8 September 2023. Global warming, besides contributing to environmental issues such as sea level rise and glacier melting, has significant adverse effects on economic growth (Callahan and Mankin, 2022). Environmental governance is now imperative. Many countries and regions have embarked on promoting carbon reduction policies and transitioning to a low-carbon economy to realize the dual objective of economic development and environmental protection. Notably, the EU, being one of the major emitters of greenhouse gases, is actively championing global efforts against climate change. The European Commission is advocating for a European vision of achieving carbon neutrality by 2050, aiming to spur economic progress while curtailing emissions. In a similar vein, the United States, through the enactment of the US Clean Energy Act, has committed to reducing greenhouse gas emissions by 83% by 2050 relative to 2005 levels. Japan, on its part, has outlined a draft policy titled “Green Economy and Social Change” laying out medium and long-term strategies for realizing a low-carbon society and fostering harmonious coexistence with nature. Developed countries and economic powerhouse like the European Union, the United States, and Japan have formulated and implemented emission reduction policies. These initiatives have yielded tangible results, advancing the growth of low-carbon economies, and serving as vital benchmarks for developing nations. China, a major carbon dioxide emissions, is projected to release 9,894 million tons of emissions by 2020, surpassing the combined emissions of the US and the EU and accounting for over 31% of the global total. As the largest developing country and an emerging economy, China holds a pivotal role in global climate governance. However, a significant challenge facing China under the “dual carbon” agenda is striking a balance between environmental protection and economic growth to achieve a mutually beneficial outcome.
In the current situation, China is navigating through three interrelated phases: the demographic dividend is waning, concerns about aging and pediatric issues are mounting, and the rate of economic growth is decelerating. To sustain economic growth, the enhancement of total factor productivity is pivotal (Cai, 2017). Currently, China’s overall factor productivity lags behind the United States at just 40%, underscoring the need to transition to an innovation-driven economic model in order to double its GDP per capita and narrow the gap with moderately developed nations by 2035. Consequently, amidst the dual challenges of the emission reduction imperative and economic sluggishness, there arises a pragmatic necessity to investigate the capacity of carbon emissions trading policies to simulate regional total factor productivity. Such policies serve as effective environmental regulatory tools that adeptly blend market mechanisms with the goal of enhancing environmental quality, as elucidated by Lv and Bai (2021).
In 2011, China initiated the establishment of carbon emissions trading pilots in order to achieve its emission reduction targets. Seven carbon emissions trading pilots were officially launched in 2013 across various regions, namely Beijing, Tianjin, Shanghai, Chongqing, Shenzhen, Hubei and Guangdong provinces. The completion of the carbon emissions trading pilot marked the beginning of continuous enhancements in trading standards, safeguard systems, and the standardization of management practices. These efforts laid a solid groundwork for the future establishment of a nationwide carbon emissions market. By 2017, there was a noticeable decline in both the total volume and intensity of carbon dioxide emissions, which was attributed to the participation of over 3,000 key emission units in the carbon emissions trading pilot regions. By September of that year, the cumulative quota turnover had surpassed 197 million tons of carbon dioxide equivalent, valued at approximately 4.5 billion yuan. Following this trend, a national carbon emissions pricing system was formally implemented in 2021, with initial groundwork commencing in December 2017. In 2023, the cumulative 10-year turnover from the seven pilot provinces and cities for carbon emissions trading rights had reached 15.263 billion yuan, signifying a significant contribution towards emissions reduction efforts.
The synthetic control approach was utilized to investigate the effectiveness of the carbon emissions trading pilot program in improving regional total factor productivity while addressing the challenges of declining demographic dividends and escalating environmental pressures. The key research question is whether this pilot strategy can reduce emissions and promote economic growth simultaneously. The mode of action of the carbon emissions trading scheme and its impact on harmonizing environmental and economic development are of paramount importance. In order to account for the endogeneity of policy decisions, the mechanism of the policy is empirically examined using the difference-in-difference model. The findings demonstrate that the carbon emissions trading pilot policy influences total factor productivity through pure technical efficiency and scale effects. Specific impacts vary across regions, with the program stimulating total factor productivity in Beijing and Tianjin while hindering it in Hubei and Guangdong provinces. Additional research is necessary to further explore the relationship between the carbon emissions trading scheme, economic expansion, and emission reduction goals.
The marginal contributions lie in three main areas. Firstly, the synthetic control method is utilized to assess the economic implications of the pilot carbon emissions trading scheme stands out as a significant aspect of the research methodology. While the majority of previous literature has relied on the difference-in-difference model to explore the financial and environmental benefits of carbon emission rights, utilizing the synthetic control method offers a fresh perspective. The difference-in-difference model, although useful in testing policy effects, faces challenges around policy endogeneity when analyzing the carbon emissions trading pilot policy, given that the selection of policy pilot cities is not entirely random. Secondly, a macro-level analysis is undertaken to evaluate the impact of the carbon emissions trading pilot policy on regional total factor productivity. Much of the existing literature focuses on a micro-level examination from the enterprise’s point of view, making this macro analysis a novel contribution. By investigating how carbon emissions rights trading influences regional total factor productivity, this research enhances our understanding of the broader economic implications of carbon emissions trading policies. Lastly, it expands the existing literature on the economic implications of carbon emissions trading by delving into the mechanism through which carbon emissions trading affects total factor productivity. By shedding light on this yet-unexplored area, studying the intricate relationship between carbon emissions trading and total factor productivity provides a basis for policy formulation.
2 Literature review and research hypotheses
2.1 Literature review
Carbon emissions trading is a solution based on the Coase theorem (Dales, 1969) that addresses environmental pollution externalities. It is considered one of the more effective methods among various environmental regulatory instruments and is implemented in economies such as the European Union, the United States, and China (Narassimhan et al., 2018). The EU initiated its carbon emissions trading system earlier and serves as a prominent example of mandatory trading. This system has spurred enterprises to invest in low-carbon innovations (Calel and Dechezleprêtre, 2016), thereby enhancing emission reduction outcomes. Despite not being a party to the Kyoto Protocol, which imposes limits on greenhouse gas emissions in developed countries, the United States successfully managed sulfur dioxide emissions for 4 decades through trading mechanisms, showcasing itself as a voluntary trading pioneer. In contrast to the EU and the US, China’s carbon emissions trading market began later. Nevertheless, China can leverage the advanced experiences of the EU and the US during its development, including the implementation of carbon emissions trading pilot programs. The concept of carbon emissions trading involves setting predetermined total emissions criteria to regulate carbon emission reductions. Additionally, carbon emission quotas are freely tradable in the market, leading to reduced business costs. If an enterprise acquires excess carbon emission quotas, it can either sell them to other firms in the market or increase technological investments to enhance energy efficiency and emission reduction practices.
Some scholars, such as Porter and van der Linde (1995), argue that appropriate environmental regulation can stimulate technological innovation and influence productivity. Contrary to the traditional belief that stringent environmental regulations can impede R&D investment and hamper labor productivity enhancement in the manufacturing sector (Yuan and Xiang, 2018), recent studies, like that of (Li et al., 2019), suggest that environmental regulations can actually enhance total factor productivity. Albrizio et al. (2017) conducted a study using enterprise data from OECD countries to examine the link between environmental regulations and enterprise productivity, concluding that the Porter hypothesis holds true. Hamamoto (2006) analyzed empirical data from five companies in the chemical and steel industries from the 1960s and 1970s, demonstrating the significant role of environmental regulations in boosting total factor productivity. Notably, environmental regulations, including carbon emissions trading, can impact productivity. The question of whether carbon emissions trading influences total factor productivity stands as a crucial research topic in the realm of environmental economics.
In the literature, the effects of carbon emissions trading on emission reduction and economic growth have been extensively studied. Researchers have demonstrated that carbon emissions trading can effectively reduce carbon dioxide emissions (Hu et al., 2020), impact market value (Hao et al., 2022), and influence business profitability (Li et al., 2022). To analyze the emission reduction effects of carbon emissions trading policies, scholars utilize various methodologies including the Computable General Equilibrium (CGE) model (Liu et al., 2017), general equilibrium model (Zhou and Fan, 2016), as well as empirical approaches such as the difference-in-difference model (Xiao et al., 2021), difference-in-difference propensity score matching model (Zhou et al., 2019), difference-in-difference synthetic control variable model (Liu et al., 2019), nonlinear programming model (Zhang et al., 2016), and systematic generalized method of moments (Zhang et al., 2017). These methodologies are used to evaluate the emission reduction impact of implementing carbon emissions trading policies. Moreover, studies have indicated that differentiated carbon quota allocation can help effectively achieve emission reduction target (Weng and Xu, 2018).
Scholars have not yet reached a unified conclusion on the impact of the carbon emissions trading pilot policy on economic effects. Some researchers argue that the carbon trading market can stimulate enterprises to adopt technological advancements, increase investment in research and development (R&D), and enhance technology levels, thereby fostering innovation within firms (Ambec et al., 2013). This positive impact on enterprise innovation is believed to promote total factor productivity (Hu et al., 2020) and create a “win-win” scenario for the economy and the environment. Government incentives, such as tax reductions or subsidies for businesses using green technology, can further encourage R&D efforts and drive technological innovation. Moreover, carbon emissions trading is viewed as a mechanism that can boost technological innovation and diffusion (Borghesi et al., 2015), as well as improve the efficiency of production factor allocation. On the other hand, a contrasting viewpoint held by another group of scholars suggests that the carbon trading market may not facilitate the enhancement of total factor productivity in enterprises (Shi et al., 2022). Strict environmental regulations result in limited carbon emissions, leading companies to curtail production to reduce emissions for profitability, thus dampening their motivation to innovate (Chen et al., 2021). Dong et al. (2019) even posit that the carbon emission trading pilot policy might induce reductions in carbon emissions but not necessarily contribute to GDP growth. The emissions trading system is believed to enhance total factor productivity by impacting technological innovation, resource allocation efficiency, and cost-effectiveness (Cheng and Xiao, 2023). Meanwhile, Tang M et al. (2023) have explored the influence of China’s carbon emissions trading policy on enterprise total factor productivity, examining it through the lenses of business strategy, technological innovation and market dynamics. While scholarly research has focused on various dimensions of the impact of carbon emissions trading on total factor productivity, there is a dearth of studies from a regional perspective. Yin and Chang (2022) specifically delved into the effects of pilot policies on regional green total factor productivity growth, analyzing aspects such as industrial structure upgrade and advancements in scientific and technological innovation.
The existing literature on the impact of carbon emissions trading pilot policies on total factor productivity exhibits several deficiencies. Firstly, the predominant focus of current research is on micro-enterprise-level studies, with minimal attention given to regional perspectives. To address this gap, this study aims to investigate the impact of pilot policies on total factor productivity from a regional standpoint. Secondly, existing literature predominantly scrutinizes external factors influencing the mechanism through which carbon emission trading pilot policies affect total factor productivity, neglecting to consider internal determinants. In light of this, the analysis of the impact mechanism of pilot initiatives entails the decomposition of total factor productivity into three key categories: scale effect, pure technical efficiency, and technological advancement. Thirdly, the majority of empirical evaluations exploring the relationship between carbon emissions trading pilot policy and total factor productivity rely on the difference-in-difference model, with minimal application of the synthetic control variable method. In an effort to appraise the effects of carbon emissions trading pilot policy on total factor productivity across different regions, this report conducts separate examinations and assessments for each province and city. Subsequently, the synthetic control method and difference-in-difference model are utilized to empirically examine the influence of carbon emissions trading pilot policy on total factor productivity and its mechanism after a theoretical analysis.
2.2 Research hypotheses
Environmental regulation, such as emissions trading, can enhance production efficiency, as suggested by Porter’s hypothesis (Costantini and Mazzanti, 2012). The theory of induced innovation illustrates that stringent environmental regulations and increasing carbon emission rights prices incentivize enterprises to innovate technologically to reduce costs and lower carbon dioxide emissions (Hicks, 1932). This dual effect prompts enterprises to elevate their technology levels and total factor productivity. In this context, enterprises assess the trade-off between purchasing allowances and escalating R&D expenses to make decisions that maximize profitability. Furthermore, strict environmental regulations encourage specialization among enterprises, allowing those without pollution mitigation capabilities to obtain emissions through the market, while enabling technologically advanced enterprises to enhance their capabilities and sell emission allowances to those lacking R&D resources for profit. Consequently, the carbon emissions trading policy not only achieves pollutant control objectives and alleviates environmental stress, but also enhances technology levels and resource allocation efficiency, thereby effectively boosting total factor productivity.
Hypothesis 1:The carbon emissions trading pilot policy will promote growth in total factor productivity.Enterprises with a competitive advantage will, on the one hand, invest more in R&D to meet the goal of reducing emissions and raise their technological bar (Gray and Shadbegian, 2003); on the other hand, these enterprises can generate revenue by selling the rights to emit carbon dioxide, which encourages them to invest even more in R&D. The carbon emissions trading pilot policy has a significant impact on regional technological advancement. Enterprises must increase their pollution management expenses to comply with strict environmental regulations. Enterprises will improve the efficiency with which they employ input resources in the production process, enhance their management skills, communication and coordination efficiency, and lessen the asymmetry of information in order to produce more with lower input and control costs. The carbon emissions trading policy will have an effect on the region’s pure technological efficiency. The carbon emissions trading policy helps internalize negative environmental externalities caused by pollution, transforming the environment from a public good to an economically valued resource. Additionally, enterprises may opt to cluster their industries to streamline operations, capitalize on cost efficiencies, and take advantage of shared infrastructure and economies of scale. This clustering strategy further contributes to resource optimization and cost reduction within the industry.
Hypothesis 2:The pilot policy on carbon emissions trading has the potential to affect total factor productivity by influencing technological progress, pure technical efficiency and scale effects.
3 Research design
The effectiveness of policy effects can be examined through various measuring methods, including breakpoint regression, propensity score matching, instrumental variables, and the difference-in-difference model. The difference-in-difference model is widely favored as it accommodates unobservable elements. Xiao and Yin (2017) utilized the single-difference method to assess the impact of the carbon emissions trading pilot on emission reduction, allowing comparison of pre- and post-pilot effects. However, this approach does not fully isolate the pilot’s effects from external factors like technological advancements. Wang et al. (2018), Tan and Cheng (2018), and other researchers utilized the difference-in-difference model and the double difference propensity score matching method to analyze policy impacts on emission reduction. Nonetheless, the former struggles to disentangle other influencing factors when parallel trends are absent, while the latter imposes overly stringent conditions. Prior to investigating the economic implications of the carbon emissions trading pilot policy, the reliability of assessment methods must be considered. Although the policy is considered exogenous, the selection of pilots involves a comprehensive evaluation of regional carbon emissions, economic conditions, and governmental capacities. The difference-in-difference model lacks flexibility in reference group selection and fails to address endogeneity issues. Even when a reference group is established using propensity score matching, individual policy impacts remain unexplored. In response to the limitations of the single-difference and conventional difference-in-difference models, the synthetic control method proposed by Abadie and Gardeazabal, 2003 is applied to evaluate the emission reduction impact of the carbon emissions trading pilot policy. Particularly suited for scenarios with fewer pilots, the synthetic control method enhances the robustness of policy evaluations by mitigating subjective selection errors and preventing endogeneity issues (Su and Hu, 2015). By creating a composite control group from unaffected groups through a weighted average, this approach ensures greater credibility in assessing the influence of the carbon emissions trading pilot policy on total factor productivity. The synthetic control methodology is employed to investigate the policy’s implementation effects, while the difference-in-difference model confirms the robustness of the policy’s impact.
3.1 Synthetic control method model
Suppose there are a total of regions. The total factor productivity of region i () in period t () is . Region 1 starts implementing the carbon emissions trading policy in period (), while the other regions do not adopt this policy. and denote the total factor productivity levels of region i in period t without and with carbon trading policy, respectively. Then the total factor productivity effect of region 1 is after the implementation of carbon emissions trading right policy in period is . Total factor productivity can be observed in region 1 after period for the implementation of the pilot policy, but it is not possible to directly observe total factor productivity in the absence of carbon emissions trading. Based on the parametric regression factor model of Abadie et al. (2010), the total factor productivity of region 1 without carbon trading is . Where is a time fixed effect, is an observable control variable, and are parameters, and is an unobservable shock. The unobservables , are estimated by constructing dimensional weight vectors. There exists a set of non-negative weight vectors that satisfy and that satisfy . Then the total factor productivity of region 1 without carbon trading after period , is denoted by the synthetic control group as , and the effect of policy implementation is .
3.2 Difference-in-Difference model
The difference-in-difference model is utilized to examine the effects of carbon emissions trading policy on regional total factor productivity. Specifically, the Equation 1 is structured as follows:
Here, represents the regional total factor productivity, with indicating the time dummy variable. The carbon emissions trading pilots in China commenced in 2013, marking a significant policy change, thus the time node is set at 2013. Prioritizing the establishment of carbon emissions trading pilots, specific provinces and municipalities, namely, Guangdong, Hubei, Chongqing, Shanghai, Tianjin, Beijing, and Shenzhen, serve as the experimental group. Shenzhen, as part of Guangdong Province, is excluded, resulting in six provinces and municipalities as the experimental group, while the synthesized control province is assigned the dummy variable . The interaction term represents the double-difference term measuring the policy effect. Control variables including population density, industrial structure, urbanization rate, education human capital, capital deepening and infrastructure level are denoted by . Moreover, individual fixed effects and time fixed effects are integrated into the model to capture unobserved heterogeneity.
Equations 2, 3 aim to evaluate the influence of the carbon emissions trading pilot policy on regional total factor productivity, examining the mediating channels of technical progress, pure technical efficiency, and scale effect.
The mediating variable, denoted as , captures the mechanisms through which the cabon emissions trading pilot policy impacts total factor productivity. Various control variables, denoted as , are included to account for other determinants of regional productivity levels.
3.3 Variable selection and data description
Regional total factor productivity is the explained variable. The regional total factor productivity growth rate is measured using the DEA-Malmquist index method and decomposed into pure technical efficiency, technical progress and scale efficiency. The DEA-Malmquist index method, a non-parametric analysis method based on data envelopment analysis, calculates the technical efficiency of each unit and ranks them. Subsequently, the technical progress rate and efficiency change rate are computed based on the technical efficiency of each unit at different time points, resulting in the calculation of the Malmquist index. By comparing and analyzing the Malmquist index, the trend of performance can be determined. The output data include regional GDP, which is converted to real GDP using 2000 as the base period, while the input data consist of physical capital stock and labor force. The physical capital stock is computed following the method proposed by Zhang et al. (2004) and is converted to real physical capital stock with 2000 as the base period. The labor force data is represented by the number of employed people in the region.
Control variables play a crucial role in economic analysis, as they can significantly impact the efficiency and productivity of a region. 1) Population aging. The physical quality and learning ability of workers will change with age, thus affecting production efficiency. The proportion of residents aged 65 or older to the total population in an area serves as an indicator of population aging. 2) Number of patents granted. Innovation is an important factor affecting total factor productivity. Innovation capability is often measured by the number of patents granted. 3) Urbanization rate. The transfer of rural population to urban areas has improved the efficiency of labor allocation and is conducive to the improvement of total factor productivity. An indication of urbanization rate is the ratio of the resident urban population to the total population of the region. 4) Educational human capital. The higher the level of education, the higher the quality of the labor force, the higher the individual productivity. The average years of education are commonly used to gauge educational human capital, with different educational levels multiplied by corresponding years of education and population proportions to assess the overall educational human capital within a region. 5) Capital deepening. Capital deepening brings capital-embodied technological progress, which leads to the improvement of total factor productivity. Capital deepening is measured using the capital stock as a share of employed persons. 6) Infrastructure level. The improvement of infrastructure is conducive to the transfer of resources between regions, reducing resource misallocation, and improving production efficiency. The level of infrastructure is measured using the number of regional highway miles.
China, as the country with the highest carbon emissions accounting for one-third of the world according to the World Bank in 2020, is confronted with the dual challenge of balancing environmental protection and economic growth. Therefore, it is imperative to investigate how China can effectively reduce emissions while sustaining economic development. Given its status as an emerging economy and the largest developing nation globally, China’s approach could serve as a valuable model for other developing countries. Panel data from 30 provinces (except Xizang) from 2005 to 2020 is utilized to examine the impact of the carbon emissions trading policy on regional total factor productivity. The carbon neutrality strategy in China is based on the year 2005, with the nationwide carbon emission trading market commencing in 2021. Notably, the data for analysis are logarithmically transformed to ensure data smoothness. The year 2013 marks a pivotal lime point in terms of policy impact. Specifically, seven pilot carbon emissions trading programs were implemented in Guangdong Province, Hubei Province, Chongqing Municipality, Shanghai Municipality, Tianjin Municipality, Beijing Municipality and Shenzhen Municipality. Shenzhen, being a part of Guangdong Province, is consolidated into the experimental group, while the other provinces constitute the control group. The descriptive statistics of the data are detailed in Table 1.
TABLE 1
| Variable | Symbol | N | Mean | SD | min | Median | Max |
|---|---|---|---|---|---|---|---|
| Regional total factor productivity | tfp | 480 | 0.977 | 0.042 | 0.848 | 0.973 | 1.405 |
| Population aging | old | 480 | 10.023 | 2.282 | 5.473 | 9.743 | 17.42 |
| Educational human capital | edu | 480 | 9.610 | 1.288 | 6.461 | 9.61 | 13.85 |
| Capital deepening | pc | 480 | 16.676 | 11.431 | 2.027 | 14.11 | 86.84 |
| Urbanization rate | city | 480 | 55.166 | 14.006 | 26.86 | 53.44 | 89.58 |
| Infrastructure level | infr | 480 | 0.860 | 0.492 | 0.041 | 0.835 | 2.195 |
| Number of patents granted | rd | 480 | 4.12 | 7.523 | 0.008 | 1.417 | 70.973 |
| technological progress | te | 480 | 0.993 | 0.052 | 0.625 | 0.996 | 1.495 |
| pure technical efficiency | tc | 480 | 0.993 | 0.056 | 0.865 | 0.984 | 1.687 |
| scale effects | sc | 480 | 0.993 | 0.034 | 0.828 | 1.004 | 1.083 |
Descriptive statistics.
4 Empirical analysis
4.1 Analysis of the impact of carbon emissions trading pilot policy on regional total factor productivity
The impact of the carbon emissions trading pilot policy on regional total factor productivity is analyzed using the synthetic control method. In order to account for potential regional variations in the policy’s effects, synthetic provinces are constructed individually for each pilot region, rather than grouping them together in one analysis. All 24 provinces and municipalities, excluding the six pilot regions, are considered control regions. The carbon emissions trading policy was initiated 2013, with pilot regions gradually implementing the program. To align the experimental and synthetic control groups prior to policy implementation, predictor variables such as the population aging, number of granted patents, urbanization rate, education human capital, capital deepening, infrastructure level, and total factor productivity in 2008 and 2012 are included. For example, Jiangxi, Jiangsu, Fujian, Sichuan, and Shandong provinces are designated as the matching synthetic provinces for Chongqing with weights of 0.298, 0.25, 0.224, 0.127, and 0.101, summing up to 1. Similar synthetic provinces are generated for the remaining pilot regions, and their outcomes are detailed in Table 2.
TABLE 2
| Tianjin | Shanghai | Beijing | Chongqing | Guangdong | Hubei | ||||||
|---|---|---|---|---|---|---|---|---|---|---|---|
| regions | weights | regions | weights | regions | weights | regions | weights | regions | weights | regions | weights |
| Shandong | 0.615 | Jiangsu | 0.743 | Jiangsu | 0.504 | Jiangxi | 0.298 | Zhejiang | 0.583 | Hunan | 0.498 |
| Zhejiang | 0.385 | Zhejiang | 0.257 | Liaoning | 0.24 | Jiangsu | 0.25 | Heilongjiang | 0.243 | Yunnan | 0.14 |
| Zhejiang | 0.172 | Fujian | 0.224 | Henan | 0.065 | Jiangsu | 0.134 | ||||
| Xinjiang | 0.084 | Sichuan | 0.127 | Hainan | 0.062 | Liangning | 0.121 | ||||
| Shandong | 0.101 | Jiangsu | 0.037 | Henan | 0.051 | ||||||
| Yunnan | 0.009 | Guangxi | 0.03 | ||||||||
| Shanxi | 0.026 | ||||||||||
Weights of synthetic provinces in pilot areas.
In Table 3, a comparison between the real and synthetic values of the predictor variables reveals a minimal discrepancy. This observation indicates a notable similarity among the predictor variables influencing total factor productivity, as reflected in the total factor productivity fitting. Moreover, the synthetic control method is shown to exhibit a superior fitting state with the variables across the six pilot regions.
TABLE 3
| lnold | lnedu | lnpc | lncity | lninfr | lnrd | lntfp (2008) | Lntfp (2012) | ||
|---|---|---|---|---|---|---|---|---|---|
| Beijing | actual value | 2.282 | 2.501 | 3.031 | 4.444 | 0.197 | 9.982 | 0.698 | 0.681 |
| synthetic value | 2.340 | 2.216 | 2.446 | 4.030 | −0.223 | 10.354 | 0.700 | 0.682 | |
| Tianjin | actual value | 2.336 | 2.366 | 3.035 | 4.356 | 0.090 | 8.932 | 0.682 | 0.714 |
| synthetic value | 2.298 | 2.185 | 2.284 | 3.953 | 0.108 | 10.620 | 0.684 | 0.686 | |
| Shanghai | actual value | 2.450 | 2.437 | 3.241 | 4.488 | 0.560 | 10.280 | 0.676 | 0.712 |
| synthetic value | 2.388 | 2.203 | 2.432 | 4.041 | 0.138 | 11.054 | 0.706 | 0.688 | |
| Chongqing | actual value | 2.470 | 2.112 | 2.046 | 3.925 | 0.168 | 8.939 | 0.692 | 0.689 |
| synthetic value | 2.250 | 2.185 | 2.012 | 3.870 | −0.040 | 9.432 | 0.689 | 0.685 | |
| Hubei | actual value | 2.290 | 2.181 | 1.751 | 3.851 | −0.034 | 9.201 | 0.679 | 0.667 |
| synthetic value | 2.295 | 2.176 | 1.795 | 3.781 | −0.221 | 9.148 | 0.679 | 0.667 | |
| Guangdong | actual value | 1.967 | 2.257 | 2.188 | 4.161 | −0.024 | 11.238 | 0.690 | 0.674 |
| synthetic value | 2.231 | 2.190 | 2.267 | 4.005 | −0.376 | 10.031 | 0.689 | 0.677 |
Pre-policy matching of predictor and synthetic variables.
Figure 1 displays the trajectory of total factor productivity change in synthetic provinces and cities and carbon emissions trading pilot locations. Figure 1 shows the change trend of total factor productivity in the pilot region as a solid line, and the change trend of total factor productivity in the synthetic provinces and cities as a dotted line. The graphic depicts a dotted line perpendicular to the abscissa, signifying the time period in 2013 when the carbon emission trading pilot program was launched. Prior to 2013, the strategy was not put into practice, and all four regions—aside from Chongqing and Shanghai—showed a trend in total factor productivity that was consistent with their synthetic provinces, passing the parallel trend test. Following the start of the policy’s implementation in 2013, there was a noticeable increase in regional variation in the trend of total factor productivity. In Beijing and Tianjin, the total factor production has grown dramatically expanding more than that of the other provinces and cities, indicative of the positive impact of the carbon emission market pilot program on total factor productivity in these regions. Conversely, Hubei Province and Guangdong Province have demonstrated slightly higher total factor productivity, although it remains less than that of the synthetic provinces and cities. The improvement of total factor productivity in Guangdong and Hubei Provinces does not appear to be evidently impacted by the carbon emission trading pilot policy.
FIGURE 1

Total factor productivity in carbon emissions trading pilot and synthesis regions.
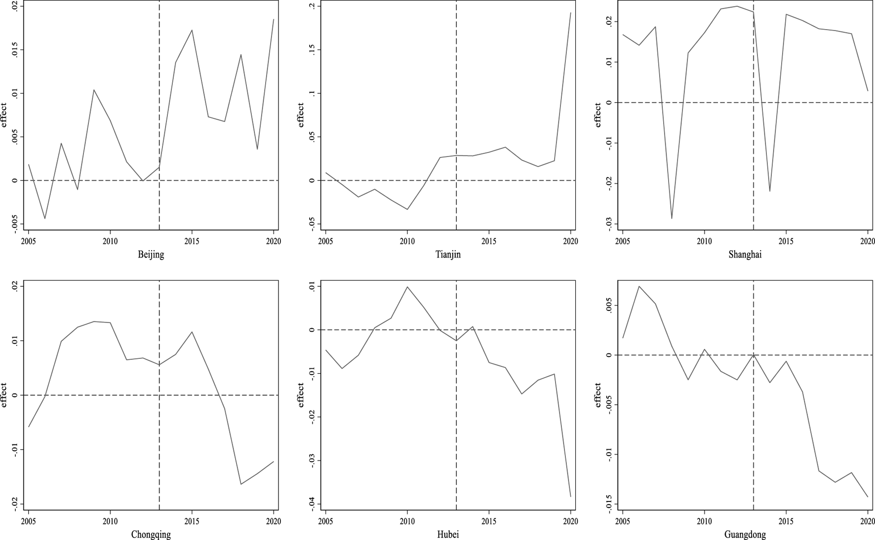
After the policy was put into effect in 2013, Figure 2 illustrates the precise consequences of the carbon emissions trading pilot policy’s deployment on total factor productivity. The implementation of the pilot policy in 2013 resulted in a significant positive impact on the growth of total factor productivity, as demonstrated by a significant increase in the difference in total factor productivity between Beijing and Tianjin and their combined provinces and cities, indicating that the policy had a notable effect. In contrast, there was a slight decrease in the difference in total factor productivity between Hubei Province and Guangdong Province, as well as their combined provinces and cities, suggesting a less pronounced impact of the pilot policy on total factor productivity in these regions. The pilot policy’s implementation had no discernible impact on the promotion of total factor productivity. This is lack of effect may be attributed to various factors, such as the higher levels of human capital and robust research and development capabilities in Beijing and Tianjin compared to Hubei and Guangdong. Notably, Beijing and Tianjin have a focus on tertiary services and experience lower pollution levels, creating a conducive environment for the pilot policy to enhance total factor productivity. Additionally, the profits generated from carbon emissions trading in these regions have contributed to technological advancement and further boosted total factor productivity. On the other hand, Guangdong and Hubei are recognized for their advanced manufacturing sectors but have not experienced the same level of improvement in total factor productivity following the implementation of the carbon emissions trading pilot policy. Despite reducing emissions, the policy has not yet achieved its intended goal of accelerating technological advancement or raising total factor productivity in these regions. Additional efforts may be needed to maximize the benefits of the pilot policy and drive sustainable growth in total factor productivity across all provinces and cities involved in the trading scheme.
FIGURE 2

Difference in total factor productivity between carbon credits education pilot and synthetic regions.
4.2 Robustness tests
4.2.1 Placebo test
The experimental group is selected randomly from one of the 24 regions assumed to have implemented the carbon emissions trading policy, alongside the pilot region. To examine the robustness of the synthetic control method results through the ranked placebo test, the change in total factor productivity within the chosen region is analyzed using the synthetic control technique (Abadie et al., 2010). The results of the sorted placebo test are illustrated in Figure 3. In Figure 3, the dotted line represents the trend of total factor productivity change in the hypothetical pilot region, while the solid line represents the trend of total factor productivity change in each of the six pilot regions. Prior to the implementation of the pilot policy in 2013, most regions, with the exception of Shanghai and Chongqing, had relatively small differences in total factor productivity. However, post-implementation of the policy, a noticeable difference in total factor productivity emerged when compared to the hypothetical pilot region. Beijing and Tianjin experienced a significant increase in total factor productivity following the pilot program implementation, while Hubei and Guangdong were less adversely affected. The results from the sorted placebo test indicate that the conclusions drawn from the synthetic control method are robust.
FIGURE 3

Total factor productivity difference between carbon emissions trading pilot regions and other regions.
4.2.2 Analysis of DID results
Table 4 presents the results of the difference-difference model test investigating the impact of pilot carbon emissions trading policies on regional total factor productivity. Column (1) of Table 4 showcases the outcomes for all pilot regions as the experimental group and other regions as the control group. Columns (2) to (7) in Table 4 exhibit the results separately for the pilot regions of Guangdong Province, Beijing, Tianjin, Shanghai, Chongqing, Hubei, and Tianjin Province as the experimental group, with other regions serving as the control group. The findings indicate that the adoption of carbon emissions trading pilot policies can foster the growth of total factor productivity. Specifically, the pilot policies in Beijing and Tianjin demonstrate a significant positive impact on total factor productivity. In contrast, the pilot policies in Shanghai and Chongqing show a positive influence on total factor productivity, albeit not statistically significant. Conversely, the implementations in Hubei Province and Guangdong Province hinder total factor productivity growth, with the regression results in Guangdong Province lacking significance. These results from Table 4 suggest that while the carbon emissions trading pilot policy is conducive to enhancing total factor productivity growth, there exists heterogeneity across regions. The disparities in human capital levels among regions contribute to varied effects of the carbon emission trading pilot policy on regional total factor productivity. Regions like Beijing and Tianjin, which possess high levels of human capital, drive total factor productivity improvements through technological innovation. Conversely, regions such as Hubei and Guangdong, characterized by lower human capital levels, face challenges in enhancing total factor productivity due to stringent environmental regulations.
TABLE 4
| (1) | (2) | (3) | (4) | (5) | (6) | (7) | |
|---|---|---|---|---|---|---|---|
| time×treated | 0.005* | 0.017*** | 0.046*** | 0.008 | 0.002 | −0.012** | −0.010 |
| (0.003) | (0.006) | (0.007) | (0.006) | (0.006) | (0.006) | (0.007) | |
| Controls | Yes | Yes | Yes | Yes | Yes | Yes | Yes |
| constant | 0.602*** | 0.607*** | 0.657*** | 0.609*** | 0.587*** | 0.637*** | 0.627*** |
| (0.033) | (0.032) | (0.038) | (0.035) | (0.030) | (0.035) | (0.034) | |
| Year Effect | Yes | Yes | Yes | Yes | Yes | Yes | Yes |
| Individual Effect | Yes | Yes | Yes | Yes | Yes | Yes | Yes |
| N | 480 | 400 | 400 | 400 | 400 | 400 | 400 |
| R2 | 0.334 | 0.357 | 0.395 | 0.361 | 0.330 | 0.332 | 0.333 |
Impact of pilot carbon emissions trading policy on total factor productivity.
Note:*p < 0.10,**p < 0.05,***p < 0.01; standard errors in parentheses.
4.3 Results discussion
The previously mentioned research’s findings demonstrate that the carbon emission trading pilot policy can encourage an increase in total factor productivity. Some studies have obtained the opposite results. For instance, Shi et al. (2022) analyzed county-level panel data from 1997 to 2017 using the DID model and found that carbon emission trading pilot policy did not yield economic benefits, consequently not promoting total factor productivity improvement. However, the reliability of the DID model results may be compromised due to questionable random sampling conditions resulting from inappropriate grouping and time divisions. To address these limitations, this study employs the synthetic control method, which compensates for the shortcomings of the DID model. This paper uses the synthetic control method to make up for the shortcomings of the DID model, and concludes that the pilot policy of carbon emission trading can promote the improvement of total factor productivity. Some relevant researches support this conclusions. For example, Pan et al. (2022) and Cheng and Meng (2023) have also investigated the economic implications of carbon emissions trading, particularly focusing on micro-enterprises. Their studies have underscored the positive influence of carbon trading on total factor productivity. In light of the sluggish global economic growth and escalating environmental pressures, adopting a pilot policy on carbon emission trading holds significant potential benefits. By curbing carbon emissions and bolstering economic gains, this approach stands to facilitate a harmonious balance between environmental sustainability and economic prosperity.
5 Mechanism testing
In Tab. 5, columns (1) and (2) present the impact of carbon emissions trading pilot policies on total factor productivity through the mechanism of technological progress. The findings reveal a positive influence of the carbon emissions trading policy on technological progress, although it is not statistically significant. Notably, simultaneous inclusion of pilot policies and technological progress shows that the latter significantly positive contributes positively to total factor productivity. Moving on to columns (3) and (4) in Table 5, these focus on the pure technical efficiency mechanism. The results demonstrate a significant positive effect of carbon emissions trading pilot policies in enhancing pure technical efficiency. When both pilot policies and pure technical efficiency are considered together, they exert significant positive influences on total factor productivity. Shifting attention to columns (5) and (6) in Table 5, these explore the scale effect mechanism. The results indicate a significant positive promotion effect of the carbon emissions trading pilot policy in the scale effect. When both the pilot policy and scale effect are examined simultaneously, they exhibit significant positive impacts on total factor productivity. Therefore, the outcomes presented in Table 5 underscore the ability of pilot carbon emissions trading policies to influence total factor productivity through enhancements in pure technical efficiency and scale effect mechanisms.
TABLE 5
| (1) | (2) | (3) | (4) | (5) | (6) | |
|---|---|---|---|---|---|---|
| lnte | lntfp | lntc | lntfp | lnsc | lntfp | |
| time×treated | 0.006 | 0.004 | 0.005*** | 0.006* | 0.013** | 0.005* |
| (0.009) | (0.003) | (0.002) | (0.003) | (0.005) | (0.003) | |
| lnte | 0.206*** | |||||
| (0.014) | ||||||
| lntc | 0.086** | |||||
| (0.022) | ||||||
| lnsc | 0.167* | |||||
| (0.101) | ||||||
| Controls | Yes | Yes | Yes | Yes | Yes | Yes |
| constant | −0.019 | 0.606*** | −0.015 | 0.590*** | −0.304*** | 0.498*** |
| (0.092) | (0.027) | (0.017) | (0.033) | (0.053) | (0.071) | |
| Year Effect | Yes | Yes | Yes | Yes | Yes | Yes |
| Individual Effect | Yes | Yes | Yes | Yes | Yes | Yes |
| N | 480 | 480 | 480 | 480 | 480 | 480 |
| R2 | 0.136 | 0.556 | 0.472 | 0.357 | 0.406 | 0.338 |
Mechanisms of the impact of pilot carbon emissions trading policies on total factor productivity.
Note:*p < 0.10,**p < 0.05,***p < 0.01; standard errors in parentheses.
6 Conclusion
6.1 Conclusion and recommendations
In the context of its significant carbon dioxide emissions, China, a large country, is faced with the pressing need to enhance total factor productivity during its economic transition to achieve the dual objectives of economic growth and emission reduction. Therefore, an investigation into the potential impact of China’s carbon emission trading pilot policy on total factor productivity using the synthetic control method holds substantial practical importance. Analysis reveals that while the pilot policy has been shown to enhance total factor productivity, its effectiveness exhibits regional variations. Specifically, the pilot policy yields discernible improvements in the total factor productivity of Beijing and Tianjin, yet its impact is less pronounced in Hubei and Guangdong. To validate the findings obtained through the synthetic control method, the study further employs the Difference-in-Differences (DID) model and placebo test. Moreover, the results of the mechanism test suggest that the pilot policy of carbon emissions trading influences total factor productivity by altering pure technical efficiency and scale effect.
Based on the above conclusions, here are some policy recommendations.
Firstly, the government should improve relevant laws and regulations, strengthen the supervision of the carbon emissions trading market, severely punish enterprises that disseminate false information and fail to meet emission reduction targets. Due to information asymmetry, the transparency and credibility of carbon emission data are not high, the enthusiasm of enterprises to participate in carbon trading is not high, and government supervision is difficult. The government should accelerate the development of blockchain technology, give full play to the “blockchain + carbon trading” model, strengthen the credibility of data disclosure, and improve regulatory capacity.
Secondly, the government should increase investment in education and improve the level of human capital. There is regional heterogeneity in the impact of carbon emission trading pilot policies on total factor productivity. In areas with low levels of human capital, carbon emission trading policies have failed to achieve the desired results. The government can extend free education time and improve the level of human capital. The improvement of human capital is conducive to improving innovation ability, prompting enterprises to improve technology and methods, reduce carbon emissions, and increase total factor productivity.
Thirdly, the government should promote cooperation between research and development (R&D) institutions and enterprises, promote the combination of R&D results and actual production, and promote the transformation of R&D results into innovation results. R&D institutions can better understand the needs of enterprises, develop corresponding technical equipment to meet the needs of enterprises. Enterprises can provide timely feedback on the use of new technologies, which is conducive to R&D institutions to improve technology. R&D institutions and enterprises to deepen cooperation, and to ensure the success of the carbon emissions trading market, improve total factor productivity.
6.2 Limitations and future research
In the course of the study, some caveats must be mentioned. From the perspective of the research object, the data sample size is small as the experimental group comprises only six provinces implementing the pilot policy of carbon emission trading. This study solely focuses on the economic benefits of the pilot policy of carbon emissions trading without taking into account the impact of marketization on carbon emissions trading, which could potentially restrict its effectiveness. It is noteworthy that a low degree of marketization may limit carbon emissions trading. As carbon emission trading will be rolled out nationwide in 2021, future research can delve into the economic benefits of carbon emission trading policies on a broader scale. Analyzing the influence of marketization on the economic benefits of carbon emission trading policies should also be a key aspect of further investigation.
Statements
Data availability statement
Publicly available datasets were analyzed in this study. This data can be found here: https://data.stats.gov.cn/easyquery.htm?cn=C01 China National Bureau of Statistics.
Author contributions
XW: Conceptualization, Formal Analysis, Methodology, Visualization, Writing–original draft, Writing–review and editing. FM: Conceptualization, Formal Analysis, Methodology, Software, Writing–original draft, Writing–review and editing.
Funding
The author(s) declare that no financial support was received for the research, authorship, and/or publication of this article.
Conflict of interest
The authors declare that the research was conducted in the absence of any commercial or financial relationships that could be construed as a potential conflict of interest.
Publisher’s note
All claims expressed in this article are solely those of the authors and do not necessarily represent those of their affiliated organizations, or those of the publisher, the editors and the reviewers. Any product that may be evaluated in this article, or claim that may be made by its manufacturer, is not guaranteed or endorsed by the publisher.
References
1
AbadieA.DiamondA.HainmuellerJ. (2010). Synthetic control methods for comparative case studies: estimating the effect of California's tobacco control program. J. Am. Stat. Assoc.105 (490), 493–505. 10.1198/jasa.2009.ap08746
2
AbadieA.GardeazabalJ. (2003). The economic costs of conflict: a case study of the Basque Country. Am. Econ. Rev.93 (1), 113–132. 10.1257/000282803321455188
3
AlbrizioS.KozlukT.ZippererV. (2017). Environmental policies and productivity growth: evidence across industries and firms. J. Environ. Econ. Manag.81, 209–226. 10.1016/j.jeem.2016.06.002
4
AmbecS.CohenM. A.ElgieS.LanoieP. (2013). The Porter hypothesis at 20: can environmental regulation enhance innovation and competitiveness?Rev. Environ. Econ. policy7 (1), 2–22. 10.1093/reep/res016
5
BorghesiS.CainelliG.MazzantiM. (2015). Linking emission trading to environmental innovation: Evidence from the Italian manufacturing industry. Research Policy44 (3), 669–683. 10.1016/j.respol.2014.10.014
6
CaiF. (2017). Analysis of China's economic reform effects - the perspective of labor reallocation. Econ. Res. (7), 4–17. Available at: https://kns.cnki.net/kcms2/article/abstract?v=Ma1nt2RbXaiUp2_Nbo7IohevjZUI6O0mA6INABcvwZJQkOC9g7w5jGWG0JaDOA4pZTa1Pg-g-BugUZAuPZEwH14vRfzRwOJe7IUlkdsIyENltj4U4FOzjcY8KGXpdYpEL9FrfHdge5Y=&uniplatform=NZKPT&language=CHS.
7
CalelR.DechezleprêtreA. (2016). Environmental policy and directed technological change: evidence from the European carbon market. Rev. Econ. statistics98 (1), 173–191. 10.1162/REST_a_00470
8
CallahanC. W.MankinJ. S. (2022). Globally unequal effect of extreme heat on economic growth. Sci. Adv.8 (43), eadd3726. 10.1126/sciadv.add3726
9
ChenZ.ZhangX.ChenF. (2021). Do carbon emission trading schemes stimulate green innovation in enterprises? Evidence from China. Technol. Forecast. Soc. Change168, 120744. 10.1016/j.techfore.2021.120744
10
ChengY.XiaoH. (2023). A study on the economic and emission reduction effects of China's carbon emissions trading policy. Statistics Inf. Forum38 (07), 61–74. Available at: https://kns.cnki.net/kcms2/article/abstract?v=Ma1nt2RbXajcj5_yJdWlcMlz_Gi3uMQqzvRNvR2sUovv7yZXr_F7OKeduv1e7hqo8GLi9VgjKpTSKlZ5CzRpn0Csg8dKEj7PGbjR9TBbkOI6yFYRdBuXc8y6XKpJFG1tejTMPFg06bA=&uniplatform=NZKPT&language=CHS.
11
ChengZ.MengX. (2023). Can carbon emissions trading improve corporate total factor productivity?Technol. Forecast. Soc. Change195, 122791. 10.1016/j.techfore.2023.122791
12
CostantiniV.MazzantiM. (2012). On the green and innovative side of trade competitiveness? The impact of environmental policies and innovation on EU exports. Res. Policy41 (1), 132–153. 10.1016/j.respol.2011.08.004
13
DalesJ. H. (1969). Pollution, property and prices. Can. J. Econ.2 (02), 322. 10.2307/133647
14
DongF.DaiY.ZhangS.ZhangX.LongR. (2019). Can a carbon emission trading scheme generate the Porter effect? Evidence from pilot areas in China. Sci. Total Environ.653, 565–577. 10.1016/j.scitotenv.2018.10.395
15
GrayW. B.ShadbegianR. J. (2003). Plant vintage, technology, and environmental regulation. J. Environ. Econ. Manag.46, 384–402. 10.1016/S0095-0696(03)00031-7
16
HamamotoM. (2006). Environmental regulation and the productivity of Japanese manufacturing industriesResource and energy economics28 (4), 299–312. 10.1016/j.reseneeco.2005.11.001
17
HaoX.ChenF.ChenZ. (2022). Does green innovation increase enterprise value?Bus. strategy Environ.31 (3), 1232–1247. 10.1002/bse.2952
18
HicksJ. R. (1932). The theory of wages. New York: Macmillan.
19
HuY.RenS.WangY.ChenX. (2020). Can carbon emission trading scheme achieve energy conservation and emission reduction? Evidence from the industrial sector in China. Energy Econ.85, 104590. 10.1016/j.eneco.2019.104590
20
LiJ.ZhaoM.YangY. (2019). Environmental regulation and firms' performance: a quasi-natural experiment from China. Chin. J. Popul. Resour. Environ.17 (3), 278–294. 10.1080/10042857.2019.1651193
21
LiW.ChenX.HuangJ.GongX.WuW. (2022). Do environmental regulations affect firm's cash holdings? Evidence from a quasi-natural experiment. Energy Econ.112, 106151. 10.1016/j.eneco.2022.106151
22
LiuC.SunZ.ZhangJ. (2019). Research on carbon emission reduction policy effects of China's carbon emissions trading pilot. China Population-Resources Environ.11, 49–57. Available at: https://kns.cnki.net/kcms2/article/abstract?v=Ma1nt2RbXahOGsGBpebJpkMBSiBXJm7fx_x1Q3ieOl0u3ALHAcwVO1jsn3klJR1fDKb2wm1MzDxlJ0u06UAofo9qLogjQ6knzPdf8lV3oXkOxE5S_92LrrGDmDElClLgwJ_FDh6xtBs=&uniplatform=NZKPT&language=CHS.
23
LiuY.TanX.YuY.QiS. Z. (2017). Assessment of impacts of Hubei Pilot emission trading schemes in China-A CGE analysis using Term CO2 model. Appl. Energy189, 762–769. 10.1016/j.apenergy.2016.05.085
24
LvM.BaiM. (2021). Evaluation of China's carbon emission trading policy from corporate innovation. Finance Res. Lett.39, 101565. 10.1016/j.frl.2020.101565
25
NarassimhanE.GallagherK. S.KoesterS.AlejoJ. R. (2018). Carbon pricing in practice: a review of existing emissions trading systems. Clim. Policy18 (8), 967–991. 10.1080/14693062.2018.1467827
26
PanX.PuC.YuanS.XuH. (2022). Effect of Chinese pilots carbon emission trading scheme on enterprises' total factor productivity: the moderating role of government participation and carbon trading market efficiency. J. Environ. Manag.316, 115228. 10.1016/j.jenvman.2022.115228
27
PorterM. E.van der LindeC. (1995). Toward a new conception of the environment-competitiveness relationship. J. Econ. Perspect.9 (4), 97–118. 10.1257/jep.9.4.97
28
ShiB.LiN.GaoQ.LiG. (2022). Market incentives, carbon quota allocation and carbon emission reduction: evidence from China's carbon trading pilot policy. J. Environ. Manag.319, 115650. 10.1016/j.jenvman.2022.115650
29
SuZ.HuD. (2015). Does inflation targeting work? New evidence from synthetic control methods. Econ. Res.6, 74–88. Available at: https://kns.cnki.net/kcms2/article/abstract?v=Ma1nt2RbXag-_c2b4AWiStc2KGiN0hzt74hvJkljExbE-_WwiiYc5wLQCLht0UbwUo6GB3wRZzNmMVU7FNky53xXcK41SVnG3RUEQ9Wty2ms6UVKo1Qc0kHGFC6ToOB1bTLkI6-dmAo=&uniplatform=NZKPT&language=CHS.
30
TanZ.ChengB. (2018). Analysis of net policy effects of western development. China Population-Resources Environ.28 (3), 169–176. Available at: https://kns.cnki.net/kcms2/article/abstract?v=Ma1nt2RbXajPzPWllunVOcuTaxCQDZ_nHahf_w4Q5DmDUGohkk1pUw9fRZV8j3pHsFf0jb-HoBf842zY4MyCoTOrfTaHVYZRVYAoLLSAVm9vUhrwIdi7ZpjV_o1AfdDX-9XfDJGE-O8=&uniplatform=NZKPT&language=CHS.
31
TangM.ChengS.GuoW.MaW.HuF. (2023). Relationship between carbon emission trading schemes and companies' total factor productivity: evidence from listed companies in China. Environ. Dev. Sustain.25 (10), 11735–11767. 10.1007/s10668-022-02552-8
32
WangW.XieP.LiC.LuoZ.ZhaoD. (2018). Assessment of emission reduction effectiveness and analysis of influential elements of China's carbon emissions trading pilot mechanism. China Population-Resources Environ.28 (4), 26–34. Available at: https://kns.cnki.net/kcms2/article/abstract?v=Ma1nt2RbXaiOrXuPurdbhtcLzhiK0zxcdnb_sJ1I9gYJxV4sVxCikKjyKHWld_ybSrsTiNgP1URIRk36hoFgYMuVr-AD_SskYBR5Zv1CeqBlCrV64ZgxgT7e9tYU85k6ZuYDBV8Fyo8=&uniplatform=NZKPT&language=CHS.
33
WengQ.XuH. (2018). A review of China's carbon trading market. Renew. Sustain. Energy Rev.91, 613–619. 10.1016/j.rser.2018.04.026
34
XiaoJ.LiG.ZhuB.XieL.HuY.HuangJ. (2021). Evaluating the impact of carbon emissions trading scheme on Chinese firms' total factor productivity. J. Clean. Prod.306, 127104. 10.1016/j.jclepro.2021.127104
35
XiaoY.YinH. (2017). Analysis of the operation and effect of China's carbon emissions trading pilot. Ecol. Econ.33 (5), 57–62. Available at: https://kns.cnki.net/kcms2/article/abstract?v=Ma1nt2RbXah_UwcmspVB1yhs-l6Zu6MmkptkLXQ5MxYieK5dh9hVeQmrVyBI4cRiOphRlHIMaJlLhVgQWtx7dBZYhPCQirPx4vJ5j7BSd7PoMkdaEEVx3HyLgRw_jwmn_8EhgUGeExQ=&uniplatform=NZKPT&language=CHS.
36
YinY.ChangX. (2022). Does China's carbon emissions trading policy promote regional green total factor productivity?Finance Econ.3, 60–70. 10.19622/j.cnki.cn36-1005/f.2022.03.007
37
YuanB.XiangQ. (2018). Environmental regulation, industrial innovation and green development of Chinese manufacturing: based on an extended CDM model. J. Clean. Prod.176, 895–908. 10.1016/j.jclepro.2017.12.034
38
ZhangC.WangQ.ShiD.CaiW. (2016). Scenario-based potential effects of carbon trading in China: an integrated approach. Appl. Energy182, 177–190. 10.1016/j.apenergy.2016.08.133
39
ZhangJ.WuG.ZhangJ. (2004). Estimation of interprovincial physical capital stock in China:1952-2000. Econ. Res.10, 35–44. Available at: https://kns.cnki.net/kcms2/article/abstract?v=Ma1nt2RbXagNCYBlkGjlOoQG-6uiuM3XG-POIs-GfHxiVajUZ38Bgxn_N_nNbOWw8-NBtenSIXz0OrLNCBTkHdLIDA3iMoMbvcE_vPFaKQ4ZtMj3ZRm6BWhCXEYd0Eeu&uniplatform=NZKPT&language=CHS.
40
ZhangY.PengY.MaC.ShenB. (2017). Can environmental innovation facilitate carbon emissions reduction? Evidence from China. Energy Policy100, 18–28. 10.1016/j.enpol.2016.10.005
41
ZhouB.ZhangC.SongH.WangQ. (2019). How does emission trading reduce China's carbon intensity? An exploration using a decomposition and difference-in- differences approach. differences approach. Sci. Total Environ.676, 514–523. 10.1016/j.scitotenv.2019.04.303
42
ZhouX.FanQ. (2016). The realization mechanism of carbon intensity emission reduction target and the optimal design of industry emission reduction path. World Econ.39 (7), 168–192. 10.19985/j.cnki.cassjwe.2016.07.009
Summary
Keywords
carbon emissions trading policy, total factor productivity, synthetic control method, pure technical efficiency, scale effects
Citation
Wen X and Meng F (2024) The impact of carbon emission trading policy on regional total factor productivity. Front. Environ. Sci. 12:1411608. doi: 10.3389/fenvs.2024.1411608
Received
03 April 2024
Accepted
17 September 2024
Published
27 September 2024
Volume
12 - 2024
Edited by
Florian Nuță, Ștefan cel Mare University of Suceava, Romania
Reviewed by
Azer Dilanchiev, International Black Sea University, Georgia
Mirela Panait, Petroleum and Gas University of Ploieşti, Romania
Mengxin Wang, Guangzhou University, China
Updates
Copyright
© 2024 Wen and Meng.
This is an open-access article distributed under the terms of the Creative Commons Attribution License (CC BY). The use, distribution or reproduction in other forums is permitted, provided the original author(s) and the copyright owner(s) are credited and that the original publication in this journal is cited, in accordance with accepted academic practice. No use, distribution or reproduction is permitted which does not comply with these terms.
*Correspondence: Fange Meng, fangemeng@cueb.edu.cn
Disclaimer
All claims expressed in this article are solely those of the authors and do not necessarily represent those of their affiliated organizations, or those of the publisher, the editors and the reviewers. Any product that may be evaluated in this article or claim that may be made by its manufacturer is not guaranteed or endorsed by the publisher.